Introducción
Las investigaciones neotectónicas se enfocan en la determinación de los movimientos tectónicos más jóvenes de la corteza terrestre y poseen un gran significado en el análisis geomorfológico, pues en gran medida reactivan, reconstruyen y reordenan, parcial o totalmente, el plano morfoestructural antiguo del relieve. En Cuba son diversos los criterios para enmarcar cronológicamente la etapa neotectónica. Iturralde-Vinent (1978) la identifica como la etapa neoplatafórmica, iniciando al final del Paleógeno, con lo que coinciden Shein et al. (1975), Formell et al. (1984), Orbera (1986) y Makarov (1987). Lilienberg (1984), desde posiciones evolutivas del relieve, distingue dos sub-etapas: neotectónica temprana (Oligoceno-Mioceno) y neotectónica tardía (final del Mioceno al Pleistoceno).
Las hipótesis formuladas por Iturralde-Vinent (1978, 1998) definen como complejo estructural neoplatafórmico a las estructuras formadas a partir del Eoceno superior, sobre la base del desarrollo de sistemas de horst y graben. Los bloques de horst presentaron una tendencia al ascenso, con espesores limitados de rocas sedimentarias jóvenes y con afloramientos del substrato más antiguo (pre-Eoceno superior), generando áreas montañosas y de lomeríos altos. Los bloques de tipo graben presentaron una tendencia al descenso, mostrando potentes espesores de sedimentos jóvenes y formado un relieve actual llano a suavemente ondulado.
En la década de los años 70 se realizó un importante número de investigaciones estructuro-geológicas en Cuba (Orbera y Cabrera, 1975; Orbera et al., 1975; Shein et al., 1976), todas complementadas con datos geofísicos y perforaciones, lo que permitió la primera división en bloques morfoestructurales de diferentes órdenes jerárquicos: megabloque, macrobloque, mesobloque y bloques menores. La llanura Sur de Pinar del Río se emplaza en el mesobloque Batabanó, limitado por los mesobloques Pinar y Habana-Matanzas, y controlado por el sistema de fallas Sur Cubano (Cabrera et al., 2012). A su vez, en la llanura sur de Pinar del Río se reportan velocidades de los movimientos verticales recientes del orden de +2.0 a +4.0 mm/año, de acuerdo con las investigaciones geodésicas de nivelaciones sucesivas (Lilienberg, 1984; Díaz y Lilienberg, 1989), los que influyen en la conformación del relieve actual. La existencia de diferentes morfoestructuras locales, anomalías en la red de drenaje y una costa con características de sumersión, que condiciona su naturaleza pantanosa, son elementos que apuntan a la existencia de estos movimientos (Marques et al., 1981; Barrios et al., 1988; Estévez et al., 2010).
En resumen, los principales métodos utilizados para reconocer las deformaciones neotectónicas han sido las investigaciones instrumentales (sismológicas y geodésicas), histórico-arqueológicas y geólogo-geomorfológicas. En Cuba se han aplicado criterios sedimentarios-estructurales para diferenciar los estilos tectónicos de los depósitos plioceno-cuaternarios (neoautóctono) respecto al sustrato plegado (terrenos acrecionados) (Iturralde-Vinent, 1978). De forma simultánea, estás hipótesis fueron corroboradas mediante criterios geofísicos y datos de perforaciones profundas (Arriaza, 1975 y Shein et al., 1978). Como soporte esencial a las investigaciones neotectonicas del archipiélago cubano, se incluyeron, además, investigaciones geomorfológicas cuantitativas (Orbera y Cabrera, 1975) y técnicas de teledetección (Capote et al., 1990). En estos trabajos se aplicaron de forma muy limitada los métodos morfotectónicos, al no contarse con modelos numéricos del terreno que facilitaran su uso.
En la actualidad, la creación de modelos digitales de elevación (MDE) permite la caracterización cuantitativa del relieve (Burrough y McDonnell, 1998; Wilson y Gallant, 2000) y reconocer el efecto tectónico en su evolución, especialmente en zonas tectónicas muy activas (Delcaillau, 2001; Scott y Pinter, 2003; Molin et al., 2004; Ganas et al., 2005). En las regiones llanas resulta difícil la detección de evidencias de deformaciones neotectónicas en su relieve, por lo que resulta necesario utilizar un enfoque complejo. En este sentido, el análisis morfotéctonico permite identificar formas del relieve controladas por los movimientos neotectónicos, cuando las velocidades de deformación son relativamente altas (Ruszkiczay-Rüdiger et al., 2009).
Durante los trabajos de prospección de áridos en la llanura sur de Pinar del Río (Mederos et al., 2009, Estévez et al., 2010) se establecieron regularidades en la distribución de los sedimentos aluviales, los paleocauces y la desviación de los principales ríos. Estos elementos motivaron el presente trabajo, cuyo objetivo es revelar la actividad tectónica plioceno-cuaternaria a partir de las manifestaciones geomorfológicas y de la red de drenaje de la llanura sur de Pinar del Río.
Área de estudio: contexto geólogo-tectónico
La llanura sur de Pinar del Río se ubica en la región suroccidental de Cuba (Figura 1A y B). Sus límites norte y oeste los constituye la falla Pinar, estructura tectónica de desplazamiento horizontal izquierdo, con componente normal y rumbo NE-SW. Esta dislocación, de larga duración, inicia su actividad al concluir los sobrecorrimientos laramídicos, desde inicios del Paleógeno al presente (Cobiella, 2008), manifestando cambios cinemáticos en sus desplazamientos (Cofiño y Cáceres, 2003; Cruz et al., 2007), activa en la actualidad (McGillavry, 1970; Gordon et al., 1997). El límite sur del área está configurado por la costa del Mar Caribe, mientras al este la llanura coincide con la transición de los sedimentos aluviales a marinos de las formaciones terrígenas Guane y Guevara hacia sedimentos carbonatados.

Figura 1 A: Ubicación geográfica. B: Representación esquemática del Macrobloque Occidental, modificado de Cabrera et al. (2012), donde (1) Mesobloque Pinar, (2) Mesobloque Habana-Matanzas y (3) Mesobloque Batabanó, (FP) falla Pinar de desplazamiento horizontal izquierdo, con componente normal, (FPS) falla Los Palacios de desplazamiento horizontal izquierdo, con componente normal, (FMC) falla Mariel-Carraguao C: Formaciones geológicas presentes en la llanura Sur de Pinar del Río, modificado del Instituto de Geología y Paleontología de Cuba (2006): 1. Depósitos palustres (Q2 am), 2. Depósitos aluviales (Q2 alv), 3. Formación Guevara (Q11-2 gv), 4. Formación Guane (N22-Q11 gne), 5. Formación Paso Real (E32-N12 psr) , 6. Formación Capdevila (E21 cp), 7. Formación Universidad (E21-E22 un), 8. Formación Loma Candela (E22-E23 lc), 9. Formación Mariel (E11-E21 ml), 10. Formación Vía Blanca (K5-K6 vb).
Esta región coincide espacialmente con la denominada zona estructuro-tectónica San Diego de los Baños y, desde el punto de vista geomorfológico, abarca parcialmente tanto las premontañas de las sierras del Rosario y de los Órganos, como la llanura sur de Pinar del Río. Esta se destaca por su relieve llano; no presenta gran complejidad geológica y es cortada por diversas corrientes fluviales, en cuyos valles se han acumulado depósitos areno-arcillosos. Las rocas que afloran poseen una edad que abarca desde el Cretácico superior hasta el Cuaternario (Figura 1C).
El área de estudio es de constitución post-orogénica, con depósitos neoplatafórmicos de espesores considerables (Pszczólkowski et al., 1975; Piotrowska, 1976; Iturralde-Vinent, 1978), y en su sustrato se manifiestan fallas escalonadas y subparalelas a la falla Pinar (Somin y Millán, 1981; López et al., 1987) (Figura 2). Entre las formaciones geológicas se encuentran: Formación Paso Real (Oligoceno superior-Mioceno superior basal), constituida por calizas biogénicas y biodetríticas, margas, arcillas carbonatadas con intercalaciones de areniscas; Formación Guane (Plioceno superior-Pleistoceno inferior), formada por conglomerados, arenas y arenas arcillosas; Formación Guevara (Pleistoceno inferior-medio), integrada por arcillas y arcillas arenosas; y depósitos del Cuaternario actual, compuestos por arenas y arenas arcillosas de estratificación horizontal (Figura 1C). Sobre ellas existe un relieve de baja disección vertical, que fluctúa entre los 0 y 67 m/ha (5.5 m/ha, como promedio), ya que el sistema de llanuras alcanza hasta 100 m sobre el nivel del mar.

Figura 2 Corte esquemático de la llanura sur que muestra su estructura tectónica y los principales bloques. Leyenda: 1. Complejo ofiolítico, 2. Formaciones geológicas con edades enmarcadas entre Cretácico superior y el Eoceno inferior, caracterizadas litológicamente por la presencia de areniscas polimícticas y calizas con alto contenido de arcillas. 3. Secuencias oligoceno-cuaternarias (modificado de Barrios et al., 1988).
Cabrera et al. (2012) proponen la existencia de una terraza holocénica baja, de 1-2 m de altitud, y cuatro niveles de terrazas pleistocénicas entre los 3 y los 72 m. Barrios et al. (1988) reconocen llanuras marinas, fluviomarinas y terrazas aluviales, que se corresponden con unidades litoestratigráficas determinadas. A su vez, Lilienberg (1973) estableció un espectro de niveles geomorfológicos: Holoceno (3-5 y 7-8 m de altitud), Pleistoceno tardío (10-15, 20-25 y 30-35 m), medio (40-50 y 50-60 m) y temprano (80-90 y 100-120 m), en los cuales sobresalen pequeñas morfoestructuras locales de horst y graben, producto de la actividad tectónica cuaternaria.
Materiales y métodos
Para el análisis neotectónico y estructuro-geomorfológico se aplicaron los métodos siguientes: a) interpretación hipsométrica y topográfica, a escala 1:25 000; b) estudio morfométrico de las cuencas hidrográficas; y c) análisis del drenaje y sus anomalías. Además, se analizó la distribución de los sedimentos aluviales, utilizando los mapas geológicos, a escalas 1:50 000 (IGP, 2006) y 1: 100 000 (García-Delgado et al., 2005); el mapa de suelo, escala 1:25 000 (Ministerio de la Agricultura, 2002); y el mapa espectrométrico (canal del potasio) (IGP, 2002).
Interpretación hipsométrica y topográfica del relieve
Mediante esta interpretación se identificaron las deformaciones del drenaje y del relieve moderno. Este método es simple pero muy efectivo, pues revela estructuras de bloques levantados o hundidos. El análisis hipsométrico se realizó con 3 perfiles paralelos al eje de la llanura, empleando un modelo digital de elevación (MDE) con 30 m de resolución espacial (GEOCUBA, 2001) y una orientación NE-SW, así como otros 3 perfiles transversales (Figura 3).
Estudio morfométrico de las cuencas hidrográficas
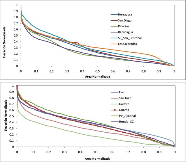
La tectónica activa se evaluó a partir del análisis cuantitativo de diferentes índices morfométricos, derivados del MDE. La morfometría, como expresión cuantitativa de las geoformas (Keller y Pinter, 2002), permite comparar segmentos de la superficie terrestre. Los MDE se usan para el reconocimiento y la clasificación de las formas del relieve (Székely, 2001; Scott y Pinter, 2003), la morfotectónica y la modelación de procesos superficiales. A partir de ese modelo se delimitaron las 15 subcuencas principales que drenan la llanura, además se extrajo la red de drenaje sintética, utilizando el algoritmo D8, implementado en ArcGis v. 10.2.1 (Heine et al., 2004). El análisis incluyó los índices geomórficos: integral hipsométricas (HI), el factor de asimetría de cuenca (AF), la pendiente media y la densidad de drenaje, los que reflejan los cambios topográficos y la actividad neotectónica asociada. Por otra parte, la topografía de las cuencas hidrográficas fue analizada y comparada a través de curvas hipsométricas.
Estas curvas indican la proporción área/altitud y permiten comparar cuencas de diferentes tamaños. Cuando estas se apartan de las teóricas o presentan más de un punto de inflexión se pueden relacionar con controles tectónicos o litológicos. Para calcular este índice (Mayer, 1990; Keller y Pinter, 2002) se utilizó la ecuación siguiente: HI= (Elev_media-Elev_min)/(Elev_max-Elev_min), donde Elev_media, Elev_min y Elev_max son las cotas media, mínima y máxima de la cuenca. Los valores extremos de la integral hipsométrica indican deformaciones neotectónicas.
El factor de asimetría (AF) permite evaluar la existencia de inclinación tectónica en una cuenca hidrográfica (Hare y Gardner, 1985). AF se define por: AF=Ad/At*100, donde Ad es el área de la cuenca a la derecha del cauce principal (aguas abajo) y At es el área total de la cuenca de drenaje. Para determinar la dirección de inclinación se calcula el factor de asimetría relativo, como: AF_rel= 50-AF, donde 50 representa el valor de AF en cuencas simétricas; valores positivos de la diferencia indican una inclinación hacia el oeste, mientras que los negativos lo hacen hacia el este. Este índice es sensible a cambios en la inclinación perpendicular a la dirección de la corriente. Los valores de AF significativamente mayor o menor de 50 indican la influencia de la tectónica activa, del control litológico o la erosión diferencial.
Para toda el área se calcularon la disección vertical (Figura 4) y la rugosidad del relieve (Figura 5). El valor de disección refleja la magnitud del corte erosivo por unidad de área (m/ha o m/km2). En localidades con homogeneidad litológica, la presencia de mayor disección vertical indica ascensos tectónicos notables. La rugosidad o textura del relieve cuantifica su irregularidad vertical y su grado de disección (Ben-Hassen et al., 2014; Grohmann, 2004; Rosenau, 2004), además, es la medida de lo variado (varianza), que es el relieve en un punto y en su entorno inmediato.
Análisis del drenaje y sus anomalías
Todas las desviaciones del patrón dendrítico o direcciones de flujo oblicuas al gradiente topográfico regional -“misfit drainage”- (Deffontaines et al., 1992) se consideran anomalías del drenaje por discontinuidades estructurales o litológicas (Deffontaines et al., 1997; Pubellier et al., 1994). La idea subyacente es que los ríos fluyen necesariamente de las zonas más elevadas a las más bajas, paralelos al gradiente topográfico regional. Por ello, toda corriente fluvial que fluye en contra o de forma muy oblicua respecto a dicho gradiente indica un posible control tectónico.
Diferentes procesos suelen ser responsables de la migración preferencial de un río (Osborn y Du Toit, 1991), y pueden ser clasificados en dos categorías: a) fuerzas externas (inclinación tectónica del terreno, desplazamiento por el rumbo de un estrato resistente) y b) procesos fluviales internos (desplazamiento progresivo respecto a los depósitos del cauce, protegidos por sedimentos gruesos y desplazamiento respecto a los depósitos de diques naturales de antiguos cauces). Las fuerzas externas ejercen una influencia uniforme sobre la migración lateral de los ríos afectados, dando lugar a una dirección de migración bien definida para una población de corrientes. Los procesos internos influyen, de manera independiente, en la migración de las corrientes fluviales.
Como anomalías se identificaron cambios bruscos en la dirección del flujo, meandros comprimidos, puntos de ruptura en perfiles longitudinales, incisión del canal, variaciones anómalas de la sinuosidad, meandros con giros bruscos, flujo en contra del gradiente regional y la distribución de zonas de inundación, lagos locales y áreas anegadas. Las respuestas típicas de las redes fluviales ante la elevación del terreno incluyen el desarrollo de meandros comprimidos, convexidad del perfil longitudinal y avulsiones frecuentes del cauce (Jain y Sinha, 2005). Las áreas sometidas a subsidencia muestran cambios repentinos en la dirección del flujo, debido al cambio en la pendiente local, extensas zonas de anegamiento y aumento de las inundaciones.
El estudio de la distribución espacial de los sedimentos aluviales incluyó la integración de los mapas geológicos, de suelos y del espectrométrico del canal de potasio, para evaluar la relación espacial entre las anomalías de K, los sedimentos aluviales y las corrientes fluviales. Su uso es posible pues la fuente principal de aporte de material terrígeno lo constituyen las areniscas cuarzo-feldespáticas de la Formación jurásica San Cayetano, la cual aporta el potasio.
Resultados y discusión
El análisis hipsométrico del relieve comenzó con el trazado de los perfiles transversales (Figura 3) y longitudinales (Figura 6), y la construcción de histogramas y del gráfico Q-Q (Cuantil-Cuantil) (Figura 7). Los perfiles topográficos (Sur, Centro, Norte) permitieron diferenciar tres bloques escalonados de oeste a este, con una reducción gradual de la altitud. Esta diferenciación del relieve en bloques es evidente en las partes meridional y central de la llanura, pero se atenúa en las proximidades de la falla Pinar. El límite entre los bloques I-II parece coincidir con una falla que canaliza al río Hondo, mientras que los bloques II-III se separan por una discontinuidad coincidente con el río Bacunagua. Para identificar puntos de inflexión, como indicadores de cambios bruscos en los valores de las cotas en la llanura, se construyó el gráfico Q-Q (Figura 7).

Figura 6 Perfiles topográficos longitudinales (NE-SW) con los diferentes bloques individualizados. 1. Río Hondo, 2. Río San Diego, 3. Río Bacunagua. La posición de los perfiles se muestra en la figura 3.

Figura 7 Gráfico Q-Q de los valores de cota en el MDE, que indican los principales puntos de inflexión, que corresponden con las elevaciones +2,5 m, +12 m, +25 m, +70 m y +80 m.
Las curvas de nivel generalizadas, que representan estos puntos de inflexión, se muestran en la Figura 8, los mismos separan zonas de la llanura, donde se manifiestan transiciones de las formas del relieve así como de los tipos de sedimentos. La curva +2,5 m, paralela a la costa actual, separa, a groso modo, los sedimentos marinos, formados en una costa de sumersión, de los de origen fluviomarino. La curva +12 m indica un claro escarpe de abrasión marina, bien expresado en el relieve, que coincide con la posición de una antigua línea de costa. Este escalón marca el inicio de la formación de los sedimentos deltaicos, que modelan la configuración actual de la costa. Esta isolínea cambia bruscamente su dirección hacia el NE y luego recupera su orientación original, como consecuencia del hundimiento del terreno en el extremo SE de la llanura. La curva +25 m muestra también un cambio brusco de orientación, pero este se manifiesta hacia el centro de la llanura, donde convergen los ríos Hondo, Santa Clara, Paso Viejo y Ajiconal. Hacia la parte oriental, la isolínea mantiene su rumbo y marca aproximadamente el límite entre los sedimentos de las formaciones Guane y Guevara.

Figura 8 Principales bloques individualizados en la llanura sur, sobre la base del análisis hipsométrico del relieve y su diferenciación en los perfiles topográficos longitudinales.
El mapa geológico (Figura 1) también muestra evidencias directas del descenso de los bloques II y III respecto al bloque I, específicamente durante el Pleistoceno medio-superior, cuando ocurrió la transgresión marina que permitió la acumulación de los sedimentos de la Formación Guevara. El desplazamiento del contacto entre las formaciones Guane y Guevara, en dirección tierra adentro y a lo largo del límite entre los bloques I-II, atestigua el hundimiento de la parte oriental de la llanura, permitiendo una mayor distribución areal de la Formación Guevara en esa zona.
Para el estudio morfométrico del relieve se analizaron 15 cuencas hidrográficas dentro del perímetro de la llanura sur, especialmente las que desembocan directamente en la costa sur. En algunos casos, para estimar los índices morfométricos, se individualizaron subcuencas, como en los ríos Paso Viejo-Ajiconal, Hondo-Santa Clara y Santa Cruz-San Cristóbal (Figura 9).

Figura 9 Principales subcuencas hidrográficas, extraídas del MDE. Sus nombres aparecen en la Tabla 1.
Los parámetros morfométricos calculados para las cuencas se muestran en la Tabla 1. Un elemento de interés son las asimetrías de las cuencas (AF y AF_rel), que muestran sus valores máximos en los ríos de la parte oriental de la llanura, entre el Santa Clara y el San Cristóbal, con la excepción del río Herradura, que por el valor de AF parece ser una cuenca casi simétrica.
Tabla 1 Parámetros morfométricos de la principales cuencas hidrográficas.
| Cuenca | Área | Área_I | Área_D | AF | AF_rel | HI | Pm | Dd |
|---|---|---|---|---|---|---|---|---|
| 1-Galafre | 33.27 | 14.74 | 18.53 | 44.30 | 5.70 | 0.20 | 3.57 | 1.23 |
| 2-San Juan | 67.23 | 38.47 | 28.76 | 57.22 | -7.22 | 0.29 | 3.60 | 1.38 |
| 3-Feo | 209.59 | 119.20 | 90.39 | 56.87 | -6.87 | 0.38 | 5.07 | 1.66 |
| 4-Guama | 138.87 | 72.79 | 61.08 | 52.42 | -2.42 | 0.36 | 2.60 | 1.08 |
| 5-Paso_Viejo | 100.14 | 62.70 | 37.44 | 62.61 | -12.61 | 0.39 | 2.92 | 1.21 |
| 6-Ajiconal | 69.59 | 29.40 | 40.19 | 42.25 | 7.75 | |||
| 7-Hondo | 201.24 | 70.78 | 130.46 | 35.17 | 14.83 | 0.37 | 3.24 | 1.32 |
| 8-Santa Clara | 140.18 | 97.28 | 42.89 | 69.40 | -19.40 | |||
| 9-Herradura | 244.05 | 134.77 | 109.28 | 55.22 | -5.22 | 0.27 | 2.09 | 1.08 |
| 10-San Diego | 213.60 | 158.93 | 54.67 | 74.41 | -24.41 | 0.28 | 2.34 | 1.02 |
| 11-Palacios | 213.13 | 154.64 | 58.50 | 72.55 | -22.55 | 0.22 | 1.56 | 0.81 |
| 12-Bacunagua | 225.71 | 171.83 | 53.87 | 76.13 | -26.13 | 0.22 | 1.55 | 0.92 |
| 13-San Cruz | 59.61 | 45.76 | 13.85 | 76.77 | -26.77 | 0.31 | 1.71 | 0.98 |
| 14-San Cristobal | 111.89 | 88.04 | 23.85 | 78.68 | -28.68 | |||
| 15-Los Colorados | 69.98 | 36.65 | 33.33 | 52.37 | -2.37 | 0.32 | 1.94 | 1.49 |
*Área_I: Área a la izquierda del cauce principal, Área_D: a la derecha del cauce, AF-Factor de asimetría, AF_rel-Factor de asimetría relativo al valor 50, HI-Integral hipsométrica, Pm-Pendiente media, Dd-densidad del drenaje (km/km2).
Al inspeccionar el mapa de cuencas, la mitad norte de este río, por encima del eje longitudinal de la llanura, posee una asimetría comparable con los ríos adyacentes, mientras que en la mitad sur los cauces se desplazan en sentido contrario. Este hecho, originado al parecer por una causa local, provoca una falsa simetría de la cuenca. Las cuencas occidentales son ligeramente asimétricas por la forma de las redes de drenaje, con los afluentes en el margen derecho de los cauces principales (Figura 9).
Otra regularidad son los valores negativos del AF relativo (50-AF), que reflejan el desplazamiento del cauce principal hacia el margen oriental de la cuenca. Las excepciones a esta tendencia regional se manifiestan en el centro de la llanura, que coinciden con las cuencas de los ríos Hondo y Ajiconal. Este índice, muy sensible a los cambios en la inclinación perpendicular a la dirección de la corriente, indica que en los bloque II y III existe una inclinación tectónica del terreno, forzando la migración de la red con rumbo este.
La integral hipsométrica (HI), que fluctúa entre 0.29-0.39, muestra los máximos valores en el bloque I, lo cual se interpreta como un volumen mayor de rocas dentro de estas cuencas, que aun no ha sido erosionado, probablemente por la reactivación de los movimientos neotectónicos de ascenso en esta parte de la llanura (Figura 10). Hacia el extremo oriental, HI va disminuyendo y se incrementa en el límite entre los bloque II-III. En la subcuenca Paso Viejo-Ajiconal se manifiesta el máximo valor HI y la mayor convexidad (Figura 11). Estos ríos no se ajustan al patrón regional de inflexión horaria de sus cauces, quizás sean las corrientes más jóvenes de la parte central de la llanura. Los índices Pm y Dd muestran un comportamiento muy similar al descrito por HI, máximos hacia el oeste, diminución hacia el este y un ligero incremento en el extremo oriental. La distribución espacial de estos tres índices confirma la diferenciación en bloques. Las curvas hipsométricas (Figura 11) permiten comparar la elevación de las diferentes cuencas de drenaje e indican una diferencia espacial entre las del extremo oriental y las del occidental de la llanura. Las curvas de las cuencas situadas hacia el oeste son más convexas que las orientales.
Además de la marcada asimetría, la mayoría de las cuencas hidrográficas muestran otro rasgo inusual y es la desviación sistemática de los cauces principales respecto a la dirección del gradiente topográfico regional de 151° (Figura 12). Esta anomalía, que se manifiesta en la parte axial de la llanura fue cuantificada, midiendo el ángulo de deflexión de los diferentes cauces (Tabla 2). Sus valores varían entre 32° y 55° con una media de 43,5°. Llama la atención la constancia de la deflexión, que es interrumpida solamente en las cuencas donde convergen los ríos Paso Viejo y Ajiconal.

Figura 12 Mapa hipsométrico con los cauces principales superpuestos, donde se indica la deflexión sistemática hacia el SW de los cursos de agua, en la parte axial de la llanura sur de Pinar del Río.
Tabla 2 Valores de los ángulos de dirección y desviación de los cauces fluviales.
| Cuencas | 2 | 3 | 4 | 7 | 8 | 9 | 10 | 11 | 12 |
|---|---|---|---|---|---|---|---|---|---|
| Dirección/deflexión (en °) | 190/39 | 195/44 | 183/32 | 199/48 | 206/55 | 202/51 | 196/45 | 194/43 | 186/35 |
El hecho de que la desviación ocurre en el contacto entre las formaciones terrígenas Guane y Guevara motiva a pensar que la causa de las anomalías es litológica. Sin embargo, la notable similitud litológica entre ambas formaciones, que dificulta su diferenciación en el campo, y la existencia de deviaciones sobre los afloramientos de la Formación Guane, alejados del contacto con la Formación Guevara, son elementos en contra de la hipótesis litológica. Por otra parte, la persistencia en la dirección y el ángulo de las deflexiones hacen rechazar la dinámica interna de las corrientes fluviales como causa posible. Por ello, la desviación se asocia con movimientos neotectónicos de cizalladura de la estructura que limita la depresión Los Palacios por la parte sur.
La red de drenaje también fue analizada para determinar anomalías fluviales como respuestas a los movimientos de ascenso y descenso del terreno. Este análisis se integró al estudio espectrométrico del canal de K y a la distribución de los sedimentos aluviales. En la red de drenaje se pueden revelar diferentes patrones o configuraciones, que varían de sur a norte.
La zona ubicada más al sur, adyacente a la costa, muestra baja densidad del drenaje y una configuración distributaria típica de formaciones deltaicas. La parte centro-occidental presenta configuración dendrítica y densidad media de la red de drenaje, y básicamente todos los cauces corren sobre la Formación Guane. La porción centro-oriental de la llanura muestra baja densidad de la red de drenaje, sus ríos fluyen sobre la Formación Guevara, de forma paralela o subparalela y equidistantes uno de otros, lo que está generado por el control estructural. La parte septentrional es la de mayor densidad; aquí predomina un patrón dendrítico con algunos cauces que fluyen en sentido opuesto al buzamiento de las capas (ríos subsecuentes e insecuentes). Esto está generado por la existencia de un parteaguas paralelo al rumbo de la estructura geológica.
La distribución de los sedimentos aluviales, obtenida de los mapas geológicos y de suelo, también muestra la inflexión de los ríos hacia el SW; en la franja central las llanuras de inundación alcanzaron un gran desarrollo, lo cual se hace más evidente hacia la parte oriental. Probablemente los cambios de pendientes provocados por los movimientos neotectónicos obligaron a los cauces a cambiar constantemente de posición, lo que cuadyuvó a la acumulación de sedimentos aluviales. Otra zona anómala es la formada en la convergencia de los ríos Hondo, Ajiconal, Paso Viejo y Santa Clara. Aquí la llanura de inundación alcanza su máxima amplitud (7 km de ancho, aproximadamente), y los ríos Ajiconal y Paso Viejo rompen con el patrón regional de desviación hacia el SW, lo que es causado por el hundimiento ocurrido a lo largo de la discontinuidad tectónica que separa los bloques I y II.
Las anomalías del canal de potasio muestran una clara correlación con el mapa de distribución de los sedimentos aluviales. El patrón de desviación sistemático de los ríos aparece como anomalías lineales de orientación SW, además se revela una amplia zona de sedimentos aluviales, al este del río Los Palacios; al parecer estos aluviones fueron quedando abandonados a medida que el río migró hacia el oeste, lo cual provocó la asimetría del delta formado. Además, la distribución de los sedimentos aluviales entre los ríos San Diego y Los Palacios indica la conexión hidráulica que existió entre estos cursos y que fue interrumpida por movimientos locales de ascenso. Finalmente, la espectometría del canal de potasio delimita bien los diferentes deltas formados a lo largo de la costa, muchos de los cuales no poseen una clara expresión en la configuración de la costa actual, por lo que este elemento permite definir la posición de la antigua línea costera.
Entre las principales anomalías encontradas en la red de drenaje (Figura 13) destacan meandros comprimidos, redes de drenaje radial, evidencias de avulsiones, paleocauces y tramos atrincherados de ríos, las cuales se sintetizan a continuación. Sector I, constituye una estructura circular positiva, con una red de drenaje radial; este tipo de morfoestructuras se repite en toda la premontaña y constituye una huella clara de ascenso tectónico sostenido. Sector II, convergencia de cuatro ríos y sus afluentes, lo que unido al ensanchamiento de la llanura de inundación con cauces abandonados en forma de herradura y gran cantidad de cuerpos de agua, apunta a una zona de descenso sostenido, que determinó la acumulación de los sedimentos deltaicos en el sur. Sector III, avulsiones o derrames, que se concentran fundamentalmente en la margen izquierda del río Los Palacios. Sector IV, cauces abandonados meandriformes entre los ríos San Diego y Los Palacios, conexión interrumpida por deformaciones neotectónicas. Sector V, tramos de meandros comprimidos dentro de cauces rectilíneos, concentrados en el centro de la llanura. Sector VI, morfoestructura positiva con corrientes fluviales divergentes, rodeando la estructura local, con presencia de sedimentos aluviales colgados en la zona con anomalías altas del potasio. Resulta obvio el atrincheramiento del río San Diego en su curso inferior, lo que constrasta con las corrientes adyacentes, lo que sugiere un ligero basculamiento de su cuenca (Figura 13).

Figura 13 Mapa espectrométrico del canal de potasio (en %), con las localizaciones de las principales anomalías de la red de drenaje y los límites de los sedimentos aluviales.
Algunas de las anomalías encontradas en la red de drenaje manifiestan una clara expresión en los mapas de disección vertical (Figura 4) y de rugosidad del relieve (Figura 5), especialmente las morfoestructuras locales positivas, situadas en las premontañas y en las cercanías de la falla Pinar, donde se manifiestan los mayores ascensos. Los valores de estos parámetros disminuyen hacia el extremo oriental de las premontañas. También resultan claramente contrastante los valores de estos parámetros en los sectores donde ocurre el atrincheramiento de los ríos.
A partir de las evidencias encontradas en la red de drenaje y en los índices geomórficos calculados es posible presentar una descripción general de la neotectónica de la llanura sur y su papel en la formación de su relieve actual
Iturralde-Vinent (1978, 1998) definió la existencia de dos tipos de bloques desde el Eoceno superior al Reciente. En esta región estos bloques estaban bien establecidos durante el Mioceno inferior y medio, como lo demuestran los resultados geofísicos y de las perforaciones, donde el horst meridional estaba levantado y no se depositaron sedimentos paleogénicos (Barrios et al., 1988). Los movimientos de ascenso del terreno comenzaron a dominar desde el Mioceno tardío (Iturralde-Vinent, 2003), lo que permitió que aflorara la Formación Paso Real (Oligoceno superior-Eoceno superior) y que la misma fuera sometida a intenso proceso de karstificación.
En el Plioceno-Pleistoceno temprano ocurre el hundimiento de la parte sur, permitiendo la transgresión marina que acumuló los sedimentos de la Formación Guane. Ya en el Pleistoceno inferior-medio es evidente la división en bloques transversales, especialmente en la parte sur. Los bloques orientales II y III sufrieron un mayor descenso respecto al occidental, lo que se manifiesta en una mayor extensión de la Formación Guevara y un desplazamiento hacia el norte del contacto entre ambas formaciones.
En el Pleistoceno medio-superior emergió el territorio y comenzó una regresión marina, dejando huellas de antiguas posiciones en el relieve actual, como el escarpe de abrasión marina en la parte SW, que marca el inicio de la formación de los diferentes deltas (Figura 12). En esta etapa se reactiva el escalón tectónico -límite meridional de la depresión Los Palacios- lo que provocó la deflexión en sentido horario de la mayoría de los cursos fluviales. Esta desviación es superada en las subcuencas Paso Viejo-Ajiconal por el descenso del terreno entre los bloques I y II, provocando la confluencia de las corrientes fluviales y la ampliación de la llanura de inundación.
Según Iturralde-Vinent (2003), este escalón tectónico esta abruptamente interrumpido por la falla Mariel-Carraguo, lo que explica el comportamiento diferente de la red de drenaje en el bloque más oriental (bloque III). En los bloques II y III se ha manifestado una inclinación prolongada hacia el oriente, provocando cuencas asimétricas y el desplazamiento de los ríos en esa dirección. Ya en el Holoceno continúa el basculamiento premontañoso, fundamentalmente en las estribaciones de la falla Pinar y la sumersión de la costa sur, lo que provoca el empantanamiento, el desarrollo de depósitos de manglares y de abundantes lagunas y llanuras palustres litorales.
Conclusiones
Desde el punto de vista metodológico, queda demostrada la eficiencia del empleo conjunto de los métodos geológicos, geomorfológicos y edafológicos en los estudios neotectónicos de zonas relativamente llanas, tales como la evaluación morfométrica del relieve, el análisis de anomalías del drenaje, el estudio de la distribución espacial de los complejos estratigráficos y de los sedimentos aluviales, y la espectrometría del canal de potasio en los mismos.
La aplicación de los índices morfométricos del relieve permitió identificar la actividad neotectónica en la llanura sur de Pinar del Río, destacando la existencia de bloques longitudinales de tipo horst y graben, así como la identificación de tres bloques transversales escalonados, de oeste a este, con amplitudes diferenciadas de los desplazamientos verticales del orden de 6 a 10 m. En sentido general, la distribución espacial de los valores morfométricos dentro de la llanura confirma su diferenciación en bloques.
Los bloques centro-orientales (II y III) han experimentado una inclinación tectónica sistemática, forzando la migración de la red fluvial en dirección suroeste, como lo evidencia la asimetría de las cuencas hidrográficas y la migración de los ríos en esa dirección.
Finalmente, se pudo establecer que los ríos en la parte axial de la llanura muestran un patrón regional de inflexión horaria de sus cauces, asociado a movimientos neotectónicos de cizalladura, manifiestos en la estructura que constituye el límite meridional de la depresión Los Palacios.










text new page (beta)







