1. Introducción
México es un país lleno de diversidad y desigualdad que se demuestra en los conocimientos matemáticos de los estudiantes. A partir de los resultados de PISA (Programme for International Student Assessment) 2006 se observa que el rendimiento de los estudiantes mexicanos fue inferior al de otros países de la Organización para la Cooperación y el Desarrollo Económico (OCDE), pero que de igual manera lo eran el ingreso per cápita y otros indicadores del desarrollo económico y social del país (Instituto Nacional para la Evaluación de la Educación, 2013).
Eugenio Filloy Yagüe y Carlos Imaz Jahnke, investigadores pioneros en el área de las matemáticas, coincidían en que los estudios en el área debían realizarse desde las matemáticas mismas hacia la educación, de ahí la denominación de matemática educativa, sentando las directrices para posteriores estudios que se realizan en el Centro de Investigación y Estudios Avanzados del Instituto Politécnico Nacional (Martínez y Camarena, 2015). Ya que las matemáticas no son sólo para la ciencia, sino también son una importante herramienta que las personas utilizan para resolver los problemas de la vida diaria (Ozdamli, Karabey y Nizamoglu, 2012), tratar de conectar a las matemáticas con los problemas de la sociedad es uno de los aspectos que actualmente promueven los sistemas educativos, más los relacionados al desarrollo de competencias básicas (Madrid, Maz, León y López, 2017).
Según Martínez y Camarena (2015), parte de los temas que deben ser abordados por las instituciones, investigadores y docentes en relación con la educación matemática son: la incorporación de la tecnología electrónica como mediadora del aprendizaje y la inclusión de estrategias didácticas. Dentro de la preparación de su clase, el docente debe considerar diferentes recursos pedagógicos, la resolución de problemas y programas de computación que tienen un alto contenido matemático ya que son de gran utilidad para el estudiante (Cárdenas y Carreño, 2017). Estos programas permiten aprender matemáticas con una mayor profundidad mediante el uso apropiado de la tecnología y mejorando su aprovechamiento (Eyyam y Yaratan, 2014). En estudios realizados sobre la enseñanza y el aprendizaje del cálculo diferencial se identificaron dificultades que presentan los estudiantes en la solución de problemas de optimización, principalmente en la traducción del lenguaje natural al lenguaje algebraico (Díaz, 2014).
1.1 Integración de las Tecnologías de la Información y la Comunicación en las aulas
La integración de las Tecnologías de la Información y la Comunicación (TIC) en las aulas ha causado un cambio radical en las prácticas educativas (Hanna, Jahnke y Pulte, 2010), formando parte de la función de los profesores quienes, antes de introducirlas, deben plantearse el modo de hacerlo eficazmente para que sea coherente con la propia visión del proceso de enseñanza y aprendizaje, esto dependerá de la selección y el diseño de tareas que se van a trabajar con estos recursos y, por supuesto, en función de los objetivos que se pretenden lograr con las tareas y unidades didácticas (Mañas, 2013). Artigue (2011) observó que los programas computacionales de geometría dinámica constantemente estaban evolucionando y que, de manera evidente, se subestimaba la complejidad del trabajo del profesor en entornos informáticos ya que debía mantener el desarrollo de nuevas competencias técnico-matemáticas y de manejo de clase requeridas. Por tal motivo, es indispensable formar a los docentes para que asuman el reto de utilizar las TIC como mediación para facilitar el aprendizaje de la geometría, permitiendo a los estudiantes razonar en forma abstracta, visualizar aplicaciones, discutir la solución de los problemas y su aplicabilidad, así como articular la geometría con otras disciplinas (Torres y Racedo, 2014).
Las TIC pueden jugar un papel muy importante en el proceso de enseñanza y aprendizaje de las matemáticas, proporcionando en el aula la ayuda necesaria para desarrollar la deducción matemática, como un método para comprender cosas no evidentes (Hernández, Briones, Serdeira y Medina, 2016) ya que elimina la complejidad asociada a la experimentación científica y/o la carencia de contenidos significativos (Romero y Quesada, 2014). Los softwares matemáticos ofrecen grandes capacidades para la visualización y experimentación, manteniendo la promesa de mejorar (Hanna, Janhke y Pulte, 2010).
Díaz (2014) menciona que con el paso de los años la computadora se ha integrado a la visualización, constituyendo una herramienta fundamental para ello, la cual no puede compararse con los medios de enseñanza tradicionales. Sin embargo, los estudiantes se han sentido satisfechos y motivados cuando el docente utiliza los dispositivos móviles para el aprendizaje (Ozdamli, Karabey y Nizamoglu, 2012), existiendo una relación directa y significativa entre su utilización y la motivación de los estudiantes hacia las matemáticas (Taleb, Ahmadi y Musavi, 2015).
1.2 Herramientas digitales para abordar problemas matemáticos
Las aplicaciones educativas motivan a los estudiantes y capturan su atención mientras se enfocan en resolver problemas, mejoran su memoria y adquieren habilidades de lectura y escritura (Taleb, Ahmadi y Musavi, 2015). El software GeoGebra permite diseñar diferentes aplicaciones interactivas que se pueden usar como herramientas en la enseñanza de la matemática (Caligaris, Schivo y Romiti, 2015) y experimentar con modelos significativos, utilizando múltiples representaciones y herramientas de modelado (Bu, Spector y Haciomeroglu, 2011).
La aplicación del software GeoGebra permite a los estudiantes comprender los conceptos geométricos, propiciando el intercambio de experiencias que enriquezcan y mejoren la calidad de la enseñanza en la educación (Torres y Racedo, 2014), presentando un gran potencial para el tratamiento de la interpretación ya que permite discriminar la congruencia entre las características visuales y la semántica de la expresión algebraica (Gómez, Guirette y Morales, 2017). Geogebra es una herramienta que permite a los estudiantes tener un aprendizaje interactivo y autónomo (Arango, Gaviria y Valencia, 2015). El uso de GeoGebra en la enseñanza de las matemáticas en los diferentes niveles educativos es un factor importante para promover el aprendizaje permanente (Zengin, Furkan y Kutluca, 2012, Zerrin, 2010).
1.3 Importancia del cálculo diferencial
La matemática es de suma importancia en la formación profesional de los ingenieros ya que constituye el lenguaje para modelar fenómenos de la naturaleza, de ingeniería o de la ciencia en general. Para Brito, Alemán, Fraga, Para y Arias (2011), el conocimiento matemático permite que el profesional de la ingeniería modele, analice, interprete y se comunique en un lenguaje algebraico preciso. Ruiz, Jiménez y Montiel (2017) mencionan que la matemática es la herramienta más poderosa del ingeniero y su dominio le permitirá el progreso a lo largo de su formación profesional debido a que ayuda al desarrollo del razonamiento abstracto, el cual es fundamental en la formación del ingeniero.
Según García (2013), el cálculo constituye la base del desarrollo profesional del futuro ingeniero y el propósito general de un curso de cálculo diferencial en una carrera de ingeniería es que los estudiantes apliquen los conceptos y procedimientos del cálculo en la diferenciación de funciones, mediante el uso de límites y teoremas de derivación, para resolver problemas cotidianos, con el objetivo de proporcionar conocimientos en los estudiantes que les permitan interpretar, plantear y resolver problemas de ingeniería (Zuñiga, 2007).
Dentro de esta asignatura, la derivada es un tema medular que se considera importante para el análisis y resolución de problemas de diferente índole, sin embargo, en la literatura se encuentra que los estudiantes presentan serias dificultades para su aprendizaje como, por ejemplo, cuando utilizan las definiciones y los teoremas con el propósito de interpretar cuando una función es creciente o decreciente, para determinar los puntos críticos de una función o usar el criterio de la primera y segunda derivada (Londoño, Kakes, y Decena, 2013). Para Areaya y Sidelil (2012) la falta de asociación entre el concepto de la derivada y los problemas de aplicación de optimización es una dificultad importante en los estudiantes de cálculo.
La optimización consiste en lograr máximo beneficio, mínimo costo, tiempo mínimo, tamaño óptimo, área mínima, distancia máxima, intensidad máxima o distancia mínima; para los ingenieros la optimización adquiere un rol esencial en el desarrollo de su profesión (Baccelli, Anchorena, Moler y Aznar, 2013) y para ello se requiere una importante apropiación del concepto de derivada. En este sentido, Cuevas y Pluvinage (2013) mencionan que es de suma importancia introducir los conceptos matemáticos a partir de problemas de interés para los estudiantes, así como la inclusión de los distintos registros de representación.
Navarro, Robles, Ansaldo y Castro (2016) diseñaron e implementaron una actividad didáctica a partir de la resolución de problemas de optimización para la construcción del concepto de derivada en donde los investigadores observaron una contribución positiva en el interés de los estudiantes para lograr el dominio de los elementos matemáticos asociados a la optimización.
En las carreras de ingeniería los conocimientos matemáticos que adquieren los estudiantes sobre el Cálculo Diferencial son de suma trascendencia, toda vez que esta unidad de aprendizaje es precedente de cursos como: Cálculo Integral, Ecuaciones Diferenciales, Cálculo Multivariable, Transferencia de Calor y Masa, Estática, Dinámica, Electricidad y Magnetismo, Circuitos Eléctricos, entre otros.
En razón de lo anterior y con el propósito de mejorar la enseñanza y el aprendizaje de la matemática, particularmente en el campo del cálculo diferencial, se diseñó y se puso en escena una estrategia didáctica con estudiantes de ingeniería para que resuelvan problemas de optimización y mejoren su comprensión de los conceptos matemáticos asociados.
1.4 Objetivo
El objetivo de esta investigación es evaluar la producción de habilidades matemáticas de los estudiantes cuando se enfrentan a una estrategia didáctica que incluye el software GeoGebra y problemas típicos de optimización, la utilización por parte de los estudiantes del software GeoGebra y el proceso de resolución de los problemas de optimización son los medios para promover la apropiación de conceptos del cálculo diferencial (valor máximo o valor mínimo relativo, crecimiento y decrecimiento de una función, concavidad y puntos de inflexión). La puesta en escena se lleva a cabo con estudiantes de primer semestre de una carrera de ingeniería. Por tanto, se pretende aportar una propuesta pedagógica que incluye el uso del software GeoGebra como mediador entre los estudiantes y conceptos matemáticos asociados a la resolución de problemas de optimización en un curso de cálculo diferencial.
2. Marco referencial
Desde la perspectiva de la teoría de representaciones semióticas de Raymond Duval (1993, 2000, 2006a, 2006b), los objetos matemáticos no son directamente accesibles a la percepción, consecuentemente para su estudio y tratamiento se requiere contar con representaciones de los mismos, estas representaciones externas a las que hacemos alusión pueden ser de carácter geométrico, algebraico y numérico del objeto. Un registro de representación cuenta con reglas precisas de funcionamiento y es el medio para realizar la actividad matemática; en este sentido, las representaciones permiten el acceso al objeto matemático. A través de los procesos de representación, tratamiento y conversión se permite exteriorizar las representaciones mentales de los individuos, motivando la retroalimentación y mejoramiento de las mismas.
En las matemáticas los procesos se presentan por dos tipos de transformaciones de representaciones; la actividad cognitiva de representación constituye una marca o conjunto de marcas perceptibles e identificables respecto de un objeto matemático y es indispensable para la comunicación; el tratamiento es la transformación de la representación dentro del mismo registro de representación; calcular la derivada de una función es un ejemplo de una transformación interna; la conversión es la transformación de la representación en otra representación de un registro diferente al original pero que conserva su esencia; elaborar la gráfica de la derivada de una función a partir de su expresión algebraica es un ejemplo de conversión, evidentemente estas posibilidades de transformación están sujetas a las reglas matemáticas (Duval, 2006a). Para nuestro referente teórico, la operación de conversión se logra si no se confunde el objeto matemático con alguna de sus representaciones y, en consecuencia, el conocimiento matemático es transferible a contextos diferentes de estudio, sin embargo, esta transformación es compleja y está relacionada con la congruencia, la cual depende de la dirección de los registros involucrados; no presenta la misma dificultad elaborar la gráfica a partir de una expresión algebraica que determinar la expresión algebraica a partir de la representación gráfica, en una dirección la actividad puede ser congruente y no congruente en otra.
Para entender las dificultades que los estudiantes tienen con el aprendizaje de las matemáticas se propone utilizar dos tipos de transformaciones en las representaciones semióticas, el tratamiento y la conversión. Estas transformaciones afectan cualquier actividad matemática y explican el tipo de sistema semiótico que se necesita para una situación específica pues permiten analizar la causa de los problemas en el entendimiento de las matemáticas (Duval, 2006a).
3. Metodología
La metodología utilizada es de corte cuantitativo puesto que se obtiene información a través de la aplicación de un instrumento de medición postest y se complementa con la observación del investigador durante la puesta en escena de una secuencia didáctica para el estudio de conceptos matemáticos asociados a problemas de optimización.
3.1 Sujetos
Se aplicó la secuencia didáctica a 94 estudiantes distribuidos de manera uniforme en 4 grupos, quienes cursaron la asignatura de cálculo diferencial durante el semestre agosto-diciembre 2018 en una Facultad de Ingeniería.
3.2 Secuencia didáctica
La secuencia didáctica es diseñada a partir de las teorías cognitivas de Duval, (1993, 2000, 2006a, 2006b) toda vez que en las actividades diseñadas los estudiantes tienen que cambiar de un registro de representación (algebraico, numérico y geométrico en 2 y 3 dimensiones) a otro; la visualización, desde la perspectiva de Duval, es una actividad cognoscitiva y juega un papel primordial en el diseño de la estrategia didáctica ya que ésta se basa en los procesos de discriminación, producción y coordinación de las representaciones semióticas; la visión permite el acceso al objeto matemático pero la exploración de la percepción visual de los distintos registros de representación promueven la comprensión de los conceptos matemáticos. En este marco referencial para el diseño de la estrategia se adicionan los avances logrados con la incorporación de la tecnología, particularmente con el software GeoGebra (Zerrin y Sebnem, 2010; Bu, Spector y Haciomeroglu, 2011; Torres y Racedo, 2014; Arango, Gaviria y Valencia, 2015; Caligaris, Schivo y Romiti, 2015; Nazihatulhasanah y Nurbiha, 2015; Gómez, Guirette y Morales, 2017).
La secuencia didáctica utilizada se considera instruccional; de acuerdo a Feo (2010), toda vez que se pretende que el estudiante logre objetivos particulares, la interrelación presencial entre el docente y el estudiante es indispensable, se basa en materiales impresos e incluye recurso tecnológico como mediador entre el sujeto y el objeto de conocimiento. La secuencia didáctica está integrada por tres hojas de trabajo que hacen referencia a tres problemas de optimización: el caso de la caja sin tapa, el caso del cilindro y el caso de los corrales adyacentes, cada uno de los cuales cuenta con una aplicación creada en GeoGebra con extensión .ggb para que el estudiante interactúe con ella.
La inclusión de problemas de optimización en la estrategia instruccional cumple con dos propósitos, el primero se refiere a motivar el planteamiento y resolución de problemas de optimización y el segundo a abordar conceptos matemáticos asociados (puntos críticos, crecimiento y decrecimiento de una función, concavidades y puntos críticos).
A manera de ejemplo, se describe la actividad didáctica correspondiente al problema de optimización de la caja sin tapa, cuyos objetivos son: obtener una función para el volumen de la caja en términos de la medida del corte; identificar y localizar los valores máximos y/o mínimos relativos en un intervalo de una función; calcular el valor crítico de una función; determinar los intervalos de crecimiento y decrecimiento de una función mediante el criterio de la primera derivada; y plantear y resolver enunciados problema de ingeniería que requieran acciones de optimización para su solución.
A continuación, se ilustran las instrucciones de la hoja de trabajo (Tabla 1) del problema de optimización de la caja sin tapa, así como los objetivos específicos y los registros de representación involucrados, con la siguiente simbología: lenguaje natural (LN), algebraico (A), numérico (N) y gráfico (G). Una vista de la aplicación en GeoGebra para este problema se ilustra en la Figura 1.
Tabla 1 Hoja de trabajo del problema de optimización de la caja sin tapa
| Instrucción o cuestionamiento en la hoja de trabajo | Objetivos específicos | Registro inicial y final involucrado |
|---|---|---|
| Se va a construir una caja con una pieza rectangular de material, cuyos lados miden 4 (ancho) y 6 (largo) metros, se recortarán las esquinas iguales y se doblarán para formar la caja. Hallar las dimensiones de la caja de máximo volumen que es posible construir. | Leer y comprender el problema. | LN |
| 1. En la Vista Gráfica 2 cuentas con seis botones de control y dos renglones de edición, escribe las medidas de la pieza rectangular, inicia presionando el botón de la medida del corte x=0 y luego el botón de inicio. Observa en la Vista Gráfica (sistema de coordenadas bidimensional) cómo se va construyendo la gráfica (medida del corte contra volumen) y, simultáneamente, en la Vista Gráfica 3D (sistema de coordenadas tridimensional) la producción de la caja. | Utilizar la aplicación GeoGebra. Editar medidas de la pieza
rectangular. Asociar Vista Gráfica con la Vista Gráfica 3D, la producción simultánea de la gráfica medida del corte contra volumen y producción de la caja. |
G - G |
| 2. Observa como en la Vista Gráfica 2 cambian los valores de la medida del corte (eje horizontal) y el volumen de la caja (eje vertical). | Asociar los valores de la me dida del corte y volumen de la caja de la Vista Gráfica 2 con la gráfica medida del cor te contra volumen en la Vista Gráfica y la caja que se obtie ne en la Vista Gráfica 3D. | G - N |
| 3. Una vez construida la gráfica, activa la recta tan
gente, en caso de que aún no lo esté. Para detener la
simulación, puedes usar el botón de pausa. Para manipular la
recta tangente, usa el puntero y reco rre la
gráfica. Si la medida del corte es x = 0, ¿cuál es el volumen de la caja? Si la medida del corte es x = 2, ¿cuál es el volumen de la caja? Explica tu respuesta. Explica qué pasa con los valores de la pendiente de la recta tangente conforme la medida x del corte varía. |
Asociar la medida del corte, el volumen con el gráfico en dos dimensiones de la Vista Gráfica y la construcción de la caja en el sistema tridimensional. Establecer valores puntuales respecto del volumen de la caja a partir de la medida del corte. Vincular la pendiente de la rec ta tangente con los valores cal | N - G G - N |
| 4. De acuerdo con el contexto del problema y la Vista Gráfica 3D, determina la función de volumen de la caja contra la medida del corte x. En la Vista Gráfica utiliza un punto sobre la gráfica medida de corte contra volumen para validar tu modelo, por ejemplo, el punto (1.23, 6.7). | Utilizar el gráfico en tres di mensiones para generar la fun ción del volumen de la caja. Modelar la función que repre senta el volumen de la caja a partir de la medida del corte. Validar la función obtenida a partir del punto proporcionado. | G - A A - N |
| 5. ¿En qué intervalo la pendiente de la recta tangen te es
positiva? ¿En qué intervalo la función es creciente? Cuándo la función crece y luego decrece, ¿se obtie ne un máximo o un mínimo? Cuándo la función decrece y luego crece, ¿se obtie ne un máximo o un mínimo? |
Asociar la condición crecien te o decreciente de la función con el signo de la pendiente de la recta tangente. Asociar el crecimiento y de crecimiento de la función con un máximo relativo. Asociar el decrecimiento y crecimiento de la función con un mínimo relativo. | G - N G - A G - LN |
| 6. ¿Qué sucede con los valores de la pendiente de la recta
tangente conforme te aproximas al máximo? ¿Cuál es el valor de la derivada (pendiente de la recta tangente) en el máximo de la función? ¿Para qué valor de x se tiene el volumen máximo? |
Asociar la disminución del va lor de la pendiente de la recta tangente conforme se aproxi ma al máximo relativo. Asociar el máximo relativo con el valor de cero de la pen diente de la recta tangente. Asociar el volumen máximo con el máximo relativo y el va lor de cero de la pendiente de la recta tangente. | G - N N - G |
| 7. Determina V´(x), iguala a cero dicha función y calcula el valor o los valores de con los que se obtienen los puntos críticos (criterio de la primera derivada). | Utilizar el criterio de la prime ra derivada para determinar el máximo relativo. Calcular la derivada de la función de vo lumen y el máximo relativo. | A - N N - G |
| 8. Utiliza el criterio de la segunda derivada para determinar si los puntos críticos que obtuviste son mínimo relativo o máximo relativo. | Asociar el signo de la segunda derivada con el máximo rela tivo. | A - N |
Fuente: Elaboración propia
3.3 Instrumento de medición
Con el propósito de medir las habilidades matemáticas que produce la puesta en escena de la secuencia didáctica descrita en los párrafos anteriores, se diseñó un instrumento de medición basado en el modelo de Nitko (1994) para desarrollar exámenes orientados por el currículo. Dicho modelo se complementa por la metodología para la construcción de test criteriales de Popham (1990) y con aportaciones metodológicas y operativas de Contreras (1998, 2000). El instrumento está compuesto por 18 reactivos y es de opción múltiple ya que se pide al estudiante elegir de entre 4 respuestas la que es correcta; cada reactivo es independiente, toda vez que contiene la información necesaria para plantearlo y responderlo; el instrumento es criterial, ya que tiene el propósito de evaluar el aprendizaje informando que puede hacer o no el examinado. La Tabla 2 exhibe la composición del instrumento de medición y presenta la descripción de 6 dimensiones del postest asociadas al concepto matemático evaluado y los reactivos de cada dimensión.
Tabla 2 Composición de cada uno de los reactivos del instrumento postest
| Dimensión | Reactivos | Concepto |
|---|---|---|
| 1 | 1, 2, 15 | Pendiente de la recta tangente |
| 2 | 3, 4, 13 | Máximo/Mínimo relativo |
| 3 | 5, 6, 7, 16 | Función creciente/Decreciente |
| 4 | 8, 9, 17 | Punto de inflexión |
| 5 | 10, 11, 18 | Concavidad |
| 6 | 12, 14 | Máximo/Mínimo absoluto |
Fuente: Elaboración propia
3.4 Procedimiento
El proceso metodológico incluye las siguientes etapas:
► Etapa 1. Diseño de la actividad didáctica. La secuencia didáctica se integró con tres hojas de trabajo y tres archivos creados en GeoGebra con extensión .ggb, una hoja de trabajo y un archivo para cada problema de optimización.
► Etapa 2. Pilotaje de prueba. Al principio del semestre agosto-diciembre 2018 la secuencia didáctica se aplicó a estudiantes de un grupo de cálculo diferencial para identificar errores de edición o diseño. Posteriormente, se realizaron cambios para mejorar las hojas de trabajo y los archivos en GeoGebra para una mejor visualización.
► Etapa 3. Puesta en escena. La puesta en práctica de la secuencia didáctica se hizo con 94 estudiantes, distribuidos de manera uniforme en cuatro grupos. Se llevó a cabo en las aulas de cómputo del laboratorio de ciencias básicas de la Facultad de Ingeniería; cada participante contó con las tres hojas de trabajo, una computadora y tres archivos creados en GeoGebra con extensión .ggb. La actividad se desarrolló en seis sesiones de 50 minutos cada una.
► Etapa 4. Diseño de un instrumento de medición. Se diseñó un instrumento de medición postest compuesto por 18 reactivos, mismo que se aplicó a los estudiantes en una sesión adicional de 50 minutos.
► Etapa 5. Organización de la información. Con base en las evidencias recolectadas a través de las hojas de trabajo y la administración del postest se elaboró una base de datos para ser tratada en hoja electrónica de Microsoft® Office Excel.
4. Resultados y discusión
Este apartado se compuso de tres secciones, la primera se refiere a la calidad del instrumento de medición postest, la segunda corresponde al análisis de los resultados desde una perspectiva cuantitativa y la tercera es un análisis cuantitativo de las habilidades matemáticas que logran los estudiantes a partir de la interacción con la secuencia didáctica y desde la perspectiva de la teoría de las representaciones.
4.1 Calidad del instrumento de medición postest
En virtud de la importancia del instrumento de medición, se considera necesaria la determinación de la confiabilidad (que permite medir la consistencia o estabilidad de las medidas cuando el proceso de medición se repite), validez de contenido y los índices de dificultad, discriminación y correlación biserial (Carmines y Zeller, 1987; García y Vilanova, 2008; Prieto y Delgado, 2010).
4.1.1 Validez de contenido
El postest evalúa el conocimiento de los estudiantes después de aplicada la estrategia didáctica, la cual consiste en un examen o postest de 18 reactivos de opción múltiple que incluye los temas de la cuarta unidad del curso de cálculo diferencial. Los temas a evaluar son: la recta tangente; máximos y mínimos; relativos y absolutos; intervalos de crecimiento y decrecimiento; intervalos de concavidad, y puntos de inflexión de una función. El instrumento de medición se ha diseñado para medir actividades cognitivas de acuerdo con los distintos tipos de registro de representación e indicadores de logro propios de conceptos matemáticos asociados a la resolución de problemas de optimización. La validez de contenido se llevó a cabo mediante el juicio de expertos (Alsina y Coronata, 2014), se garantizó con la participación de cuatro jueces expertos (profesores de Cálculo Diferencial con experiencia docente mínima de cinco años) y con un método de consenso grupal (Corral, 2009) en los temas objeto de la validación, quienes analizaron la coherencia de los reactivos con los que se desea evaluar, la complejidad de los reactivos y la habilidad cognitiva a evaluar (Barraza, 2007).
4.1.2 Confiabilidad
Se realizó un análisis de confiabilidad mediante el método de mitades partidas, corregido por la fórmula de Spearman-Brown; si el instrumento es confiable, las puntuaciones de ambas mitades deben estar fuertemente correlacionadas. El número de estudiantes que participaron en el examen fue de 94. La confiabilidad del instrumento de medición calculada mediante el método de mitades partidas es r = 0.90, la cual se considera como aceptable (Contreras, Bachhoff y Larrazolo, 2004; Muñoz y Mato, 2008; Ding, Chabay, Sherwood y Beichner, 2006). De manera adicional, se calculó el coeficiente delta de Ferguson que mide el poder de discriminación de una prueba completa, el rango de dicho coeficiente es [0,1] El coeficiente delta de Ferguson en el instrumento es 0.95, lo que satisface ampliamente el criterio establecido (Ding, et al., 2006; Engelhardt, 2009).
4.1.3 Índice de dificultad, discriminación y punto biserial. Índice de dificultad de los reactivos
El índice de dificultad (ID) está relacionado con la proporción de estudiantes que resuelven correctamente un reactivo y se calcula, de acuerdo con Crocker y Algina (1986), por medio de la proporción de examinados que contestaron correctamente el reactivo. Ding y colaboradores (2006) sugieren que el ID de los reactivos y el promedio de la dificultad se encuentren entre 0.30 y 0.90. Se observó el cumplimiento de este criterio con los 18 reactivos. El promedio del índice de dificultad es de 0.73 ± 0.16 (media ± desviación estándar), el cual cumple también con el criterio sugerido.
Índice de discriminación de los reactivos
El índice de discriminación del reactivo (IDC) permite diferenciar (discriminar) entre aquellos estudiantes que obtuvieron buenas calificaciones en la prueba y aquellos que obtuvieron bajo puntaje, está relacionado entonces con la posibilidad alta de responder correctamente el reactivo por aquellos estudiantes con un desempeño en general sobresaliente en la prueba, situación opuesta para el caso de los estudiantes con un desempeño deficiente. Para Contreras y colaboradores (2004) el valor discriminativo del reactivo se considera apropiado si es mayor que 0.2. Se observó el valor del IDC para cada reactivo en donde se observa el cumplimiento del criterio de los 18 reactivos. Para el postest el promedio del IDC es 0.46 ± 0.16 (media ± desviación estándar), el cual cumple también con el criterio declarado por Ding y colaboradores (2006) en el que el IDC promedio es mayor a 0.3.
Coeficiente de correlación del punto biserial
Se calculó el coeficiente de correlación del punto biserial (rpbis); para algunos investigadores (Henryssen, 1971; Molina, Wizner, Lacave y Gallardo, 2015) este coeficiente es un indicador de validez predictiva en donde se relaciona la respuesta a un reactivo por un estudiante y el resultado que obtuvo de la prueba, este indicador psicométrico se calcula de acuerdo con el modelo de Backhoff, Larrazolo y Rosas (2000). El promedio de los coeficientes de correlación biserial de la prueba es 0.45 ± 0.12 (media ± desviación estándar) y los valores de rpbis de cada reactivo es mayor a 0.2, por lo que cumplen con la recomendación de los especialistas (Ding et al., 2006; Engelhardt, 2009).
4.2 Análisis cuantitativo
La estrategia se llevó a cabo durante dos semanas en las salas de cómputo de la institución, donde cada estudiante contó con las tres secuencias didácticas (el problema de la caja sin tapa, el problema de los corrales adyacentes y el problema del cilindro) y una computadora con los archivos diseñados en GeoGebra. El postest mide los conocimientos adquiridos por los estudiantes a partir del uso de las secuencias didácticas; el postest en esta ocasión fungió como el examen de la cuarta unidad, cuyos resultados se exhiben a continuación.
El promedio de las respuestas correctas en el postest es 13.10 de 18 puntos posibles, el promedio expresado en porcentaje respecto del total de puntos es 73 %, el cual corresponde al ID promedio de 0.73. La distribución del número de reactivos correctos fue significativamente no normal (Kolmogorov-Smirnov, D (94) = 0.175, p<0.01). La asimetría de la distribución del número de re-activos correctos es -0.627 (Desviación = 0.249), dichos valores indican una asimetría negativa y moderadamente sesgada, el vértice de la curva normal queda a la derecha de la media, lo cual favorece los resultados de los estudiantes en términos del número de reactivos correctos y de la calificación obtenida, la curtosis de la distribución es -0.572 (Desviación = 0.493), lo cual indica una curva menos apuntada o más achatada de lo normal, es decir, se tiene una menor concentración de datos en torno a la media y mayor concentración alrededor de la mediana y la moda. Por el tipo de distribución se adicionan las medidas de tendencia central y de dispersión, la media es 13.10, la moda es 15, la mediana es 14, el cuartil 1 es 10 y el cuartil 3 es 16, el rango es 13. La desviación estándar es 3.34. La asimetría negativa evidencia un desempeño favorable en el postest; de los 94 estudiantes, 64 (68 %) obtuvieron una calificación aprobatoria (mayor o igual que 60).
4.3 Análisis cuantitativo de las habilidades matemáticas
En esta sección se realizó un análisis sobre las habilidades matemáticas que logran los estudiantes a partir de su interacción con la secuencia didáctica y los resultados obtenidos en los 18 reactivos del postest.
Una prueba ANOVA con post-hoc de Tukey entre los conceptos matemáticos evaluados y el ID no mostró (p = 0.69) diferencias significativas (Tabla 3), sin embargo, se nota que la mayor dificultad (Tabla 3) para los estudiantes corresponde a la determinación de máximos y mínimos relativos (promedio en el ID = 0.64), particularmente, cuando se trata de asociar el valor de cero de la derivada con un mínimo relativo, no así cuando obtienen el máximo o mínimo a partir del registro algebraico, sólo el 24 % de los estudiantes respondió correctamente todos los reactivos correspondientes a máximos y mínimos relativos. Le sigue la dimensión 1, referida a la pendiente de la recta tangente (promedio en el ID = 0.65) cuando se solicita al estudiante determinar el valor de la abscisa tal que la función tiene una recta tangente horizontal y el cálculo de la pendiente de la recta tangente a partir de una representación gráfica, sólo el 37 % de los estudiantes respondió correctamente todos los reactivos que representan este concepto.
Tabla 3 Índices promedio de dificultad para los conceptos matemáticos evaluados
| Tukey | ||||
|---|---|---|---|---|
| Dimensión | Número de reactivos | Subconjunto para alfa = .05 | Reactivos pertenecientes a cada dimensión | Concepto matemático |
| ID promedio | ||||
| 2 | 3 | .6367 | 3, 4, 13 | Máximo / Mínimo relativo |
| 1 | 3 | .6500 | 1, 2, 15 | Pendiente de la recta tangente |
| 5 | 3 | .6900 | 10, 11, 18 | Concavidad |
| 4 | 3 | .7633 | 8, 9, 17 | Punto de inflexión |
| 3 | 4 | .8050 | 5, 6, 7, 16 | Función creciente / Decreciente |
| 6 | 2 | .8150 | 12, 14 | Máximo / Mínimo absoluto |
| Se visualizan las medias para los grupos en los subconjuntos homogéneos. | ||||
| a. Utiliza el tamaño de la muestra de la media armónica = 2.880. | ||||
| b. Los tamaños de grupo no son iguales. Se utiliza la media armónica de los tamaños de grupo. Los niveles de error de tipo I no están garantizados. | ||||
Fuente: Elaboración propia con software SPSS
De acuerdo con los resultados, el trabajo de los estudiantes con la secuencia didáctica aportó favorablemente la apropiación de los conceptos de función creciente y decreciente (promedio en el ID = 0.8050), así como en el caso de máximos y mínimos absolutos (promedio en el ID = 0.8150). Los registros mayormente involucrados en estos reactivos son gráficos y algebraicos, y hay un balance en cuanto a las actividades cognitivas requeridas para su resolución. El 48 % y 66 % de los estudiantes respondió correctamente todos los reactivos que representan estos conceptos.
La Tabla 4 muestra los porcentajes de las respuestas que seleccionaron los estudiantes para cada reactivo del postest, en negrita se tienen las respuestas correctas, así como el registro inicial y final involucrado, además se adiciona la actividad cognitiva de representación (R), tratamiento (T) o conversión (C) requerida para la resolución del reactivo. Para analizar el instrumento de medición se contemplan dos criterios, en el primero de ellos se han discriminado los reactivos en donde los porcentajes de las opciones de respuestas incorrectas son menores al 10 % y, en consecuencia, el porcentaje de respuestas correctas es superior al 70 %, como aquellos reactivos en donde las secuencias didácticas han favorecido notoriamente a los estudiantes en la apropiación de los conceptos matemáticos. En el segundo criterio los porcentajes de al menos una de las opciones de respuestas incorrectas son mayores al 10 %, esto evidencia temas específicos en los que todavía hay dudas por parte de los estudiantes.
Tabla 4 Las 6 dimensiones evaluadas en el postest, la descripción de cada reactivo, los porcentajes seleccionados de las opciones en cada reactivo (la respuesta correcta se muestra en negrita), el registro inicial y final involucrado y, finalmente, la actividad cognitiva
| Dim | Reactivo | Descripción | A | B | C | D | Registro inicial y final involucrado | Actividad cognitiva |
|---|---|---|---|---|---|---|---|---|
| 1 | 1 | Determinar la pendiente de la recta tangente a partir de una representación gráfica. | 9 % | 21 % | 6 4 % | 6 % | G - N | C |
| 2 | Determinar el intervalo de la función en donde el signo de la pendiente de la recta tangente es negativo a partir de una representación gráfica. | 13 % | 80 % | 4 % | 3 % | G - A | C | |
| 15 | Determinar el valor de la abscisa tal que la función tiene una recta tangente horizontal. | 10 % | 10 % | 30 % | 51 % | A - N | C | |
| 2 | 3 | Determinar la coordenada de un máximo relativo a partir de la representación algebraica. | 6 % | 80 % | 9 % | 4 % | A - N | C |
| 4 | Determinar la coordenada de un mínimo relativo a partir de la representación algebraica. | 81 % | 7 % | 5 % | 6 % | A - N | C | |
| 13 | Asociar el valor de cero de la derivada con mínimo relativo. | 54 % | 30 % | 11 % | 5 % | LN - LN | T | |
| 3 | 5 | Determinar el intervalo en donde la función es creciente a partir de la representación algebraica. | 87 % | 3 % | 4 % | 5 % | A - A | T |
| 6 | Determinar el intervalo en donde la función es decreciente a partir de la representación algebraica. | 4 % | 83 % | 3 % | 9 % | A - A | T | |
| 7 | Determinar los intervalos de la función en donde es decreciente a partir de la representación gráfica. | 2 % | 90 % | 5 % | 1 % | G - A | C | |
| 4 | 16 | Asociar el signo de la derivada con la condición decreciente de la función. | 13 % | 62 % | 18 % | 7 % | LN - A | C |
| 8 | Determinar el punto de in- flexión de la función a partir de su representación gráfica. | 2 % | 11 % | 85 % | 1 % | G - N | C | |
| 9 | Determinar el punto de inflexión de la función a partir de su representación algebraica. | 78 % | 4 % | 1 % | 16 % | A - N | C | |
| 17 | Asociar el valor de la segunda derivada con el punto de inflexión. | 14 % | 4 % | 66 % | 16 % | LN - LN | T | |
| 5 | 10 | Determinar el intervalo donde la función es cóncava hacia arriba a partir de su representación algebraica. | 16 % | 5 % | 1 % | 77 % | A - A | T |
| 11 | Determinar el intervalo donde la función es cóncava hacia arriba a partir de su representación gráfica. | 16 % | 0 % | 2 % | 82 % | G - A | C | |
| 18 | Asociar el signo positivo de la segunda derivada con la concavidad hacia arriba de la función. | 29 % | 7 % | 15 % | 48 % | A - LN | C | |
| 6 | 12 | Identificar máximos y mínimos (relativos y absolutos) de la función a partir de su representación gráfica. | 21 % | 1 % | 78 % | 0 % | G - G | R |
| 14 | Calcular el máximo ab- soluto de una función a partir de su representación algebraica. | 85 % | 6 % | 2 % | 6 % | A - N | C |
Fuente: Elaboración propia
En el primer criterio tenemos (reactivos 3, 4, 5, 6, 7 y 14) que la secuencia didáctica favorece directamente al estudiante en la determinación de las coordenadas de máximos y mínimos relativos a partir de su representación gráfica, la determinación de los intervalos en donde la función es creciente o decreciente (Figura 2) a partir de sus representaciones gráficas y algebraicas, así como también el cálculo de máximos y mínimos absolutos a partir también de su representación algebraica. Este conjunto de reactivos se caracteriza por la actividad cognitiva de conversión mayormente con registro inicial algebraico y registro final numérico, sin embargo, también se cuenta que el 90 % de los estudiantes determinó correctamente los intervalos en donde la gráfica de una función de cuarto grado es decreciente. En dos de los reactivos (5 y 6) cuya actividad cognitiva versa sobre la transformación interna en el ambiente algebraico pero que implican la determinación de los intervalos en donde la función es creciente o decreciente a partir de la función se alcanzaron índices de dificultad de 0.87 y 0.83, respectivamente.

Fuente: Elaboración propia con software GeoGebra y respuestas de estudiantes
Figura 2 Respuesta de un estudiante en la secuencia didáctica a partir del uso de la aplicación en GeoGebra
En el segundo criterio de análisis se tienen los reactivos 1, 2, 15, 13, 16, 8, 9, 17, 10, 11, 18 y 12, mismos que a continuación se analizan uno por uno. En el reactivo 1 se presenta una gráfica de grado 3 y se solicita calcular la pendiente de la recta tangente para un valor de x dado, el 64 % determinó correctamente su valor, mientras que el 21 % confundió el valor de la pendiente de la recta tangente con la ordenada en el origen, el 9 % con la abscisa de un mínimo relativo y el resto consideró que la pendiente de la recta tangente era indeterminada.
En el reactivo 2 se presenta una gráfica de grado 4 y se solicita determinar un intervalo en donde el signo de la pendiente de la recta tangente únicamente es negativo, en las secuencias didácticas se pretende que a través de la manipulación de la recta tangente sobre la representación gráfica el estudiante asocie la condición creciente o decreciente de la función con el signo de la pendiente de la recta tangente, el 80 % respondió de manera correcta, aunque el porcentaje de respuestas es significativo, el 13 % de los estudiantes eligió un intervalo que incluía una sección en donde el signo de la pendiente de la recta tangente es positivo, el resto eligió intervalos en donde el signo de la pendiente de la recta tangente únicamente es positivo.
En el reactivo 15 se presenta una expresión cúbica, de la cual se solicita al estudiante determinar la abscisa en la que al trazar una recta tangente su pendiente sea cero, sólo el 51 % logró la respuesta correcta, con el resto de los estudiantes se asume que no logran asociar correctamente el valor de la pendiente de la recta tangente en un ambiente gráfico con el valor de la derivada en un ambiente algebraico; en este mismo sentido, especialistas (Sánchez, García y Llinares, 2008) determinaron que los estudiantes presentan confusiones comunes con el signo de la pendiente de la recta tangente, la intersección de la recta tangente con el eje horizontal y la ordenada en el origen de la recta tangente.
En el reactivo 13 se solicita al estudiante que asocie el valor de la primera derivada con un mínimo relativo, sólo el 30 % respondió correctamente, el 54 % se presume que confundió el signo positivo de la segunda derivada con la concavidad hacia arriba y, en consecuencia, con un mínimo relativo, el 11 % presenta similar confusión en el sentido de que si la segunda derivada es negativa se trata entonces de un mínimo relativo, el resto consideró que la derivada es indeterminada. En una investigación realizada por Maharaj y Ntuli (2018) sobre la comprensión de la derivada y sus aplicaciones se determinó que sólo el 46 % de los estudiantes calculó correctamente el máximo relativo a partir de su expresión algebraica, estos estudiantes vincularon correctamente el cero de la derivada con el máximo relativo.
En el reactivo 16 se presentan enunciados en donde se solicita al estudiante elegir aquel que sea correcto (Figura 3), el estudiante debe asociar el signo negativo de la primera derivada con la función decreciente, el 62 % respondió de forma correcta, 18 % asoció de manera incorrecta el signo positivo de la primera derivada con la concavidad hacia arriba de la función, 13 % asoció de forma incorrecta el signo positivo de la primera derivada con la función decreciente, el resto vinculó de manera incorrecta el signo negativo de la primera derivada con la concavidad hacia abajo de la función en un intervalo dado.
En el reactivo 8, el 85 % de los estudiantes determinó correctamente la abscisa del punto de inflexión en una representación gráfica, sin embargo, el 11 % confundió la abscisa de la inflexión con la ordenada en el origen de la gráfica, el resto confundió la abscisa de los puntos (máximo, mínimo) relativos con el punto de inflexión.
En el reactivo 9 se solicita determinar la coordenada del punto de inflexión a partir de una representación algebraica, se trata de una función de tercer grado, el 78 % respondió de forma correcta, el 16 % respondió que no tiene punto de inflexión, lo anterior puede deberse a que en el procedimiento se obtiene la expresión 2x = 0, el alumno asume erróneamente una indeterminación, el 4 % confundió el orden de la coordenada.
En el reactivo 17 se le solicita al estudiante que asocie correctamente el valor de cero de la segunda derivada con la obtención del punto de inflexión, el 66 % contestó de forma correcta, el 16 % contestó que la segunda derivada es indeterminada, el 14 % respondió incorrectamente que la segunda derivada es positiva y el resto que es negativa.
En el reactivo 10 (Figura 4) a partir de una expresión algebraica se le solicita al estudiante determinar el intervalo donde dicha función es cóncava hacia arriba, el 77 % encontró el punto de inflexión y asoció correctamente el signo positivo de la segunda derivada con la concavidad hacia arriba de la función, el 16 % encontró el punto de inflexión pero asoció de manera incorrecta el signo negativo de la segunda derivada con la concavidad hacia arriba de la función, el resto de los estudiantes no logró determinar el punto de inflexión.
En el reactivo 11 se presentó una gráfica y se solicitó al estudiante determinar el intervalo en donde la función tiene concavidad hacia arriba, el 82 % visualizó el punto de inflexión y determinó correctamente el intervalo, el 16 % confundió la concavidad hacia abajo como concavidad hacia arriba, el resto de los estudiantes no lograron identificar el punto de inflexión.
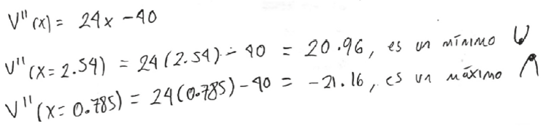
En el reactivo 18 se trata de asociar el signo positivo de la segunda derivada con la concavidad hacia arriba de la función, el 48 % logró hacer esta asociación de forma correcta y lo plasmó adecuadamente en la secuencia didáctica (Figura 5), el 29 % confundió el signo positivo de la segunda derivada con la función creciente, 15 % confundió el signo positivo de la segunda derivada con la concavidad hacia abajo y el resto de los estudiantes confundió el signo positivo de la segunda derivada con la función decreciente.

Fuente: Elaboración propia a partir de respuestas de los estudiantes
Figura 5 Respuesta en la secuencia didáctica de un estudiante a partir del uso de la aplicación en GeoGebra
En el reactivo 12 se solicita identificar en un gráfico dado (Figura 6) un máximo relativo y un mínimo absoluto, el 78 % de los estudiantes contestó correctamente, sin embargo, el 21 % confundió el máximo absoluto con un máximo relativo aunque acertó con el mínimo absoluto, el resto localizó correctamente el máximo relativo y confundió un punto de inflexión con el mínimo absoluto.
De acuerdo con los criterios establecidos, este conjunto de reactivos evidencian dificultades para los estudiantes; aun a pesar de la interacción con la estrategia didáctica, la actividad cognitiva de conversión es preponderante y también lo es la prevalencia del lenguaje natural, tanto en el registro inicial y final el gráfico lo es como registro inicial. Desde la perspectiva de los investigadores estás dificultades pueden deberse a la no congruencia en la actividad cognitiva de conversión de un registro inicial o final en lenguaje natural por la sintáctica del enunciado o por el contenido matemático mismo.
Una prueba post-hoc de Tukey entre los registros iniciales y el ID mostró diferencias significativas (p = 0.039) entre el registro inicial en lenguaje natural y los registros iniciales algebraico y gráfico (Tabla 5), los 3 reactivos con registro inicial en lenguaje natural son de tipo conceptual, no implican un procedimiento y eso motiva la dificultad presentada para el estudiante, confirma el hecho que la enseñanza del cálculo se ha formalizado a través de una práctica mayormente algebraica (Artigue, 1998).
Tabla 5 Resultados de la prueba post-hoc de Tukey entre los registros iniciales y el ID
| Registro inicial | Número de reactivos | Subconjunto para alfa = .05 | ||
| 1 | 2 | |||
| Lenguaje natural | 3 | .5267 | ||
| Algebraico | 9 | .7444 | ||
| Gráfico | 6 | .7983 | ||
Fuente: Elaboración propia con software SPSS
Una prueba post-hoc de Tukey entre los registros finales y el ID mostró diferencias significativas entre el registro final en lenguaje natural (ID = 0.48) y los registros finales algebraico (ID = 0.78) y numérico (ID = 0.76), los 3 reactivos con registro final en lenguaje natural son de tipo conceptual y nuevamente se comprueba la dificultad que tienen los estudiantes cuando enfrentan situaciones de corte no procedimental.
Habre y Abboud (2006) encontraron que los estudiantes de cálculo diferencial privilegian el enfoque procedimental simbólico. Otros investigadores (Ubuz, 2007; Díaz, Haye, Montenegro y Córdoba, 2013; Andrade y Montecino, 2013) mencionan que los estudiantes de matemáticas presentan dificultades al convertir un enunciado en lenguaje natural en otro registro de representación, tales como el gráfico o algebraico y viceversa.
Sin embargo, de la primera prueba post-hoc se rescata la influencia favorable de la utilización de la secuencia didáctica en el ambiente gráfico, toda vez que los estudiantes lograron un desempeño sobresaliente en los reactivos con este registro inicial, también la interpretación lograda por los estudiantes en el ambiente gráfico proporciona significado en el ambiente algebraico.
5. Conclusiones
Como se describe al inicio del documento, este trabajo reporta la investigación realizada al poner en práctica una secuencia didáctica distinta a la tradicional en el curso de Cálculo Diferencial para el estudio y tratamiento de puntos críticos, función creciente y decreciente, puntos de inflexión y concavidad, utilizando como pretexto natural los problemas de optimización. La secuencia didáctica diseñada contempla un enfoque que va más allá de la manipulación algorítmica respecto de un esquema tradicional, toda vez que la secuencia didáctica enfatiza en el uso de los diferentes registros de representación y la articulación de los mismos. Al incluir GeoGebra a la propuesta se busca que el estudiante construya los conceptos matemáticos a partir de la vinculación de los distintos registros de representación, así como generar conocimiento a partir de su interacción con los objetos matemáticos, por lo que la teoría de representaciones semióticas juega un papel primordial a partir de las actividades cognitivas de tratamiento y conversión.
La puesta en escena de la secuencia didáctica asistida con GeoGebra se considera exitosa en varios aspectos, por una parte se logra que los estudiantes se apropien intelectualmente de los problemas de optimización, el recurso tecnológico incluido y los conceptos matemáticos asociados; la utilización de la secuencia didáctica y las aplicaciones en GeoGebra permiten utilizar el tiempo de manera eficiente, toda vez que la manipulación numérica y algebraica queda en segundo término, por lo que se privilegia el tránsito entre los diferentes registros de representación y se promueven las habilidades de análisis e interpretación.
Se diseñó un instrumento de medición postest para evaluar las habilidades matemáticas de los estudiantes cuando utilizan una secuencia didáctica para interactuar con los objetos matemáticos. El instrumento resultó válido y altamente confiable, toda vez que se obtuvo un coeficiente r = 0.90 por el método de mitades partidas y r = 0.95 para el caso del coeficiente delta de Ferguson.
Resulta evidente que en general la secuencia didáctica fortalece la apropiación por parte de los estudiantes de los conceptos: puntos de inflexión, función creciente y/o decreciente y valores absolutos; particularmente, el uso de la secuencia didáctica favorece notoriamente al estudiante en cuanto a la comprensión de máximos y mínimos relativos y la determinación de los intervalos en donde la función es creciente y/o decreciente en un ambiente gráfico. La secuencia didáctica y el postest permitieron detectar que los estudiantes presentan confusiones entre el signo de la segunda derivada con la condición de función mínima o máxima relativa, también se detectaron confusiones entre los valores relativos y los absolutos y el punto de inflexión con los máximos y mínimos relativos. Los análisis realizados también permitieron detectar dificultades importantes en las transformaciones del lenguaje natural a otros registros de representación, lo cual confirma que aún la enseñanza de las matemáticas en los niveles previos tiene un énfasis muy importante en el uso de reglas y métodos, lo que disminuye el aprovechamiento de los estudiantes en cuanto a la potencialidad del cálculo. La experiencia de esta investigación y los resultados obtenidos indican la necesidad de fortalecer la enseñanza del cálculo a través de secuencias didácticas que promuevan un balance en el uso de los registros de representación, acercamientos intuitivos a los conceptos y el uso de recursos tecnológicos para permitir al estudiante la exploración, la conjetura y la validación de sus procedimientos y resultados.










text new page (beta)






