Services on Demand
Journal
Article
Indicators
-
Cited by SciELO -
Access statistics
Related links
-
Similars in
SciELO
Share
Hidrobiológica
Print version ISSN 0188-8897
Hidrobiológica vol.15 n.3 Ciudad de México 2005
Artículo
Variación morfológica de algunas especies de Ophiocytium Nägeli (Xantophyceae) de cuerpos de agua temporales del Estado de México
Morphological variation of some Ophiocytium Nägeli species (Xanthophyceae) of temporary body waters from México State
Valentina Chávez◊, Laura Zariñana◊, Eberto Novelo1 y Rosaluz Tavera2
◊ Estudiantes egresadas de la licenciatura en Biología de la Facultad de Ciencias, Universidad Nacional Autónoma de México.
1 Departamento de Biología Comparada; Facultad de Ciencias, UNAM.
2 Departamento de Ecología y Recursos Naturales. Facultad de Ciencias, UNAM. Autor para correspondencia: A.P. 70-474, CU, Coyoacán, D.F., 04510, México. E mail: enm@hp.fciencias.unam.mx
Recibido: 25 de enero de 2004
Aceptado: 3 de septiembre de 2005
Resumen
Las especies del género Ophiocytium Nägeli (Mischococcales, Xanthophyceae) tienen una distribución mundial principalmente en ambientes ácidos a neutros. Son especies poco comunes en los registros florísticos de nuestro país, pero en la localidad de Santa Ana, en el Estado de México, se presentaron condiciones adecuadas para su desarrollo, por lo que fue posible observarlas durante un tiempo prolongado (diciembre 1993 - abril 1995). Se caracterizaron 9 variantes morfológicas que, aunque corresponden con especies según la bibliografía, fueron ubicadas sólo en cinco una vez que se evaluaron los caracteres morfológicos que se utilizan en la delimitación específica. Además la variación morfológica de O. parvulum, la especie más abundante, se utilizó para proponer un patrón de desarrollo durante el ciclo anual que podría extrapolarse al conjunto de especies en Santa Ana.
Palabras clave: Ophiocytium, Xanthophyceae, México.
Abstract
The species belonging to genus Ophiocytium Nägeli (Mischococcales, Xanthophyceae) have a world distribution in acidic to neutral environments; these species are little common in floristic records in our country. The suitable conditions observed in Santa Ana, in México State, for development of Ophiocytium species made possible their study for several months (December 1993 - April 1995). Nine morphotypes were characterized. Although they may correspond to species according to bibliography, only five were determined after evaluation of morphological characters that are used in the specific delimitation. Additionally, the variation of O. parvulum, the most abundant species, was used to propose an annual development pattern that may be extrapolated to all species in Santa Ana.
Key words: Ophiocytium, Xanthophyceae, México.
Introducción
Ophiocytium fue descrito por Nägeli (1849) como parte de las Chlorophyceae en la familia Characieae. Más tarde este género fue ubicado por Pascher (1939) en la familia Chlorotheciaceae (Heterokontae) y luego Bourrelly (1981) ubicó en Sciadiaceae Pascher (Chromophyta) a dicha familia. Sin embargo, fue Smith en 1920 quien había delimitado la familia Ophiocytaceae (Xanthophyta), como unigenérica.
El género comprende 14 especies y reúne formas solitarias o coloniales, libres o fijas y siempre inmóviles, con multiplicación por autosporas o por zoosporas con uno o dos flagelos; la descripción más completa de esas especies fue hecha por Ettl (1978). Es de notar que O. majus ha sido señalada como perteneciente a las Eustigmatophyta por las secuencias genéticas de la oxidasa en la subunidad I del citocromo mitocondrial (Ehara et al. 1997) y desde esta última fecha no se han publicado más cambios o transferencias taxonómicas de este género a dicha División, por lo que hasta ahora se mantiene la validez de la pertenencia de Ophiocytium en la familia Ophiocytaceae del orden Mischococcales aunque a nivel de Clase y División hay todavía desacuerdos (Ettl, 1978; Hoek et al. 1995; Johnson 2003; Ott & Oldham-Ott 2003). Para nosotros este género debe ser ubicado en la clase Xanthophyceae de la División Heterokontophyta (sensu Hoek et al. 1995).
La definición de los caracteres taxonómicos utilizados en la delimitación de las especies no es clara. La aproximación morfológica clásica a las Xanthophyceae y a las Mischococcales, más la falta de una nomenclatura adecuada para las estructuras consideradas como importantes, han producido muchas especies que no están bien delimitadas. Aunado a lo anterior está la falta de información básica (iconotipos, ejemplares representativos en herbarios y dibujos adecuados) lo que no permite una confirmación de las identificaciones.
Se tienen sólo algunos registros de las especies de Ophiocytium en México: O. arbuscula (A. Braun) Rabenhorst en Puebla (Novelo 1998) y Quintana Roo (E. Novelo, datos no publicados); O. capitatum Wolle en Xochimilco, D.F. (Flores-Granados 1980); O. cochleare (Eichwald) A. Braun en el Estado de México (Mendoza-González 1985; Ruiz 1993) y O. parvulum (Perty) Braun en el Estado de México (Zariñana, 1997). Las referencias de Ophiocytium no han sido abundantes en México en parte debido a que las comunidades perifíticas y metafíticas no han sido recolectadas consistentemente. Por eso fue notable la presencia continua y la diversidad poco usuales de especies de este género en un área muy pequeña en el Municipio El Oro, en el Estado de México; en este sitio pudimos delimitar 5 especies: O. capitatum, O. cochleare, O. lagerheimii Lemmermann, O. majus Nägeli y O. parvulum.
Aquí presentamos una descripción amplia de esas especies y una propuesta para revalorar los caracteres taxonómicos y su aplicación en la delimitación de las especies. Asimismo, se argumenta una utilización más precisa de los términos espina y pedículo.
Sitio de colecta
Santa Ana se ubica en el km 157 de la carretera Atlacomulco - El Oro (19° 49' N y 100° 02' O, Fig. 1), a una altitud de 2600 msnm (INEGI, 1984). El área presenta un clima C(w): templado subhúmedo medio con lluvias en verano y temperatura media anual de 12.6 °C (Vidal-Zepeda 1990 a, b). Santa Ana es un sistema de cuerpos de agua que incluye un cuerpo principal perenne y varios charcos pequeños y canales que se forman durante la época seca. Todos se fusionan durante la época de lluvias. El cuerpo de agua principal se utiliza como reserva de agua para riego y tiene una profundidad variable, según la época. Las características generales de este sistema se muestra en la Tabla 1.

Métodos
Se hicieron 15 visitas al sitio entre diciembre de 1993 y abril de 1995 (Tabla 2). Las visitas fueron aproximadamente mensuales. Se obtuvieron 82 muestras directas de perifiton y metafiton de la orilla o de los charcos relacionados con el cuerpo de agua principal, con ayuda de una espátula pequeña (perifiton) y de un colador para recolectar las natas flotantes (metafiton). Las muestras fueron fijadas con formaldehído al 3% y depositadas en el Herbario de la Facultad de Ciencias de la UNAM (FCME); posteriormente, fueron observadas en un microscopio compuesto Zeiss equipado con una cámara lúcida. Los intervalos de medidas de los caracteres utilizados fueron expresados como porcentaje para reunirlos en gráficas de radar (Davidson 1947, Stuessy 1990). Se utilizó esta representación gráfica, más que un análisis estadístico, debido a las diferencias en las abundancias de las formas encontradas. Estas gráficas también permiten comparar los intervalos de los caracteres y resaltar las relaciones y dependencias entre ellos; además ofrecen una imagen de las especies a comparar, por ejemplo, la similitud entre los morfotipos 'g' y 'h' (Fig. 2) se vuelve obvia a la vista, así como la diferencia entre los morfotipos 'j' y 'l', que es un ejemplo extremo.
Para las descripciones, las referencias sobre la distribución y ecología de cada especie fueron obtenidas principalmente de Ettl (1978) y Johnsson (2003)
Resultados
La diversidad morfológica de poblaciones de Ophiocytium encontrada en Santa Ana fue analizada inicialmente de manera convencional y se determinó la presencia de 9 especies (según la bibliografía consultada: O. arbuscula, O. capitatum, O. cochleare, O desertum Printz, O. gracillimum Borzi em. Pascher, O. lagerheimii, O. majus, O. maximum Borzi em. Pascher y O. parvulum). Utilizando la aproximación hecha por Komárek (1989) y Comas (1989) se analizó esa diversidad, estableciendo los intervalos de caracteres y ordenándolos en ejes de manera que mostraran relaciones directas entre ellos. Este ordenamiento produjo imágenes (gráficas de radar, Fig. 2) que hicieron posible analizar el grado de variación tomado en conjunto, para cada grupo y para el total de las poblaciones. Se hizo un nuevo análisis y las 9 especies que se reconocieron inicialmente, al trabajar con caracteres aislados, fueron consideradas como morfotipos y quedaron circunscritas a 5 que corresponden con O. capitatum, O. cochleare, O. lagerheimii, O. majus, y O. parvulum, que se describen más adelante.
La distribución estacional de las especies y morfotipos se muestra en la Tabla 2. Ophiocytium parvulum fue la especie más abundante y presente en casi todas las fechas recolectadas, por esa razón fue utilizada como un ejemplo del desarrollo estacional durante el periodo estudiado.
Descripción del género. Las especies del género Ophiocytium se distinguen por vivir individual o colonialmente, libres o fijas al sustrato por un pedículo; las células son curvas, sigmoides y hasta helicoidales; las células siempre son cilíndricas; la pared celular es lisa o ligeramente rugosa. Los ápices son redondeados a dilatados y en algunas especies con espinas largas y delgadas, gruesas o capitadas. La pared celular está compuesta de dos partes de las cuales sólo una de ellas sufre elongación por crecimiento, la segunda conforma el opérculo que encierra la célula. La pared celular puede presentar incrustaciones de fierro en los extremos. Los cloroplastos son escasos en las células jóvenes, a veces sólo uno, pero proliferan posteriormente; con forma variable de lámina, disco, estrella o banda en anillo. En el protoplasma hay abundantes gotas de aceite. Inicialmente las células son uninucleadas y posteriormente multinucleadas. La multiplicación es por medio de zoosporas desnudas que son liberadas apicalmente. Después las células se fijan o viven libremente. En algunos casos, la fijación se realiza en la cercanía del opérculo materno formando colonias en forma de umbela.
Descripciones de las especies de Ophiocytium de Santa Ana. Se incluyen las variantes de los morfotipos y se presentan entre paréntesis cuadrados los datos de la bibliografía que contrastan con los nuestros.
O. capitatum Wolle 1887 (Figs. 2j; 3)

Células solitarias, rectas, curvas (onduladas o espirales). Los dos extremos son iguales o uno de ellos más redondeado o delgado, con espinas en ambos extremos, cortas o largas. Las espinas con longitud diferente. Pared celular delgada. Células de 15-151 µm de largo, 3-7 µm de diámetro [5-7(-10), en la literatura], espinas de 0.5-15.5 µm.
Recolectada en el cuerpo principal, charcos y canales. pH 5-6.
Según Ettl (1978) es una especie que crece en Europa central en ambientes ligeramente ácidos; según Johnson (2003) es una especie cosmopolita que crece en ambientes ácidos. También registrada en Brasil (Rodrigues & Bicudo 2001) en pH circumneutro y en México (Flores 1980) en ambientes tibios, sin datos de pH.
O. cochleare (Eichwald) A. Braun 1855 (Figs. 2b-f; 4a-d)
Morfotipos 'cochleare' (Figs. 2c, 4a), 'arbuscula' (Figs. 2b, 4b), 'gracillimum' (Figs. 2d, 4c), 'maximum' (Figs. 2e, 4d)
Células solitarias o colonias umbeladas a radiales. Las células son rectas y curvas a sigmoides o ligeramente angulosas, en ocasiones entrelazadas. Las colonias se forman por la germinación de las esporas en la boca del esporangio. Polos redondeados. Un extremo más amplio y el otro con una espina corta o larga y en ocasiones un pedículo en la célula materna. Las células hijas sin discos de fijación. Pared celular delgada. Células de 8-180 µm de largo [10-500, en la literatura], 3-9 (-15.5) µm de diámetro [5-9, en la literatura], espina de 0.5-12.2 µm.
Recolectada en el cuerpo principal, canales, charcos. pH 5-7.
Según Ettl (1978) y Johnson (2003) es una especie ampliamente distribuida en países templados y tropicales, con un espectro ecológico amplio.
O. lagerheimii Lemmermann 1899 (Figs. 2k, 5)
Células solitarias, rectas o curvas. Una espina muy larga en uno de los extremos que posibilita el engarce de varios individuos formando agregados complejos. El otro extremo es redondeado. Pared celular delgada a gruesa. Células de 17.5-35 µm de largo, 3.7-4.5 µm de diámetro [5, en la literatura], espina de 14-14.5 µm.
Recolectada en canales. pH 6.
Según Ettl (1978) es una especie distribuida principalmente en charcos de zonas templadas.
O. majus Nägeli 1849 (Figs. 2g-i; 6a-b)

Morfotipos 'majus' (Figs. 2h, 6a) y 'desertum' (Figs. 2g, 6b)
Células solitarias y de vida libre o sésiles, generalmente muy largas, rectas aunque pueden curvarse y entrelazarse entre sí. Un extremo redondeado y más amplio, el otro con un pedículo ligeramente curvo y con disco basal. Pared celular delgada a gruesa. Células de 9.5-114.7 µm de largo [80-600, en la literatura], 3-11.5 µm de diámetro [5-10, en la literatura], largo del pedículo de 1-6 µm.
Recolectada en el cuerpo principal, charcos y canales. pH 5-6
Según Ettl (1978) es muy abundante en zonas templadas como metafítica en charcos y estanques con pH bajos. Según Johnson (2003) probablemente cosmopolita, metafítica en charcos someros y en corrientes lentas; característica de aguas duras y especialmente común en sustratos de calizas de magnesio.
O. parvulum (Perty) A. Braun 1855 (Figs. 2l, 7)
Células solitarias, de vida libre, curvas y generalmente muy largas. Pared celular delgada, en ocasiones con incrustaciones de fierro. Un extremo más ensanchado que el otro, pero ambos redondeados, sin espinas. Células de 6-222.5 µm de largo [hasta 1000, según la literatura], 4-14 µm de diámetro [3-9, en la literatura].
Recolectada en el cuerpo principal, canales y charcos. pH 5-6.
Según Ettl (1978) y Johnson (2003) es una especie ampliamente distribuida, planctónica, que prefiere las aguas ácidas y con contenido de fierro.
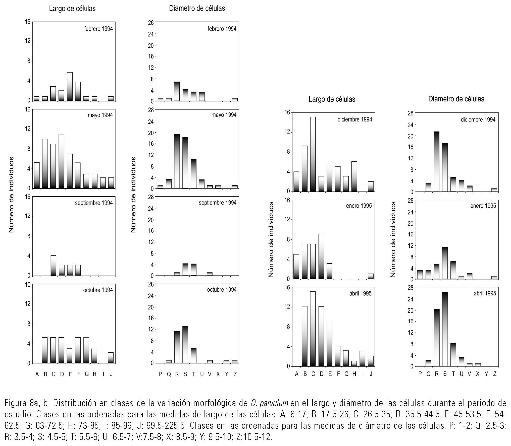
Patrón de desarrollo estacional de O. parvulum en 1994-1995. La distribución de la variación morfológica y el número de individuos durante el año indicó que existen al menos dos periodos de multiplicación (mediados de primavera y principios de invierno) con un periodo de latencia en el verano (Fig. 8a,b):
En febrero la población presentó una fase de crecimiento (tallas medias) en largo y diámetro.
En mayo se presentó el máximo periodo de multiplicación con una población muy densa (más de 530 organismos en una muestra), con crecimiento sostenido, pues las tallas se mantuvieron con una tendencia a los valores menores (células jóvenes).
En septiembre hubo una reducción en la población que se mantuvo con tallas intermedias; pues fue la época de crecimiento de las células jóvenes del periodo anterior.
En octubre aumentó la población, con una tendencia a las tallas intermedias a mayores, sin tallas menores extremas; lo que puede interpretarse como un fase de estabilidad y crecimiento vegetativo.
En diciembre continuó el aumento en la población y la tendencia fue a presentar las tallas grandes, es decir hubo multiplicación y crecimiento vegetativo simultáneamente.
En enero la población se redujo a tallas pequeñas con organismos jóvenes solamente, lo que muestra el inicio de la siguiente fase de crecimiento.
En abril se repite el patrón observado en mayo del año anterior, es decir con aumento de la población, con tallas menores a medianas.
Distribución temporal de las especies. La tabla 2 reúne en columnas la distribución temporal de las especies y sus morfotipos. Nótese que las columnas sombreadas (A, F e I) corresponden a las especies con caracteres menos variables, mientras que las columnas claras (B-E, G-H) corresponden con las especies que incorporan morfotipos.
Ninguna de las especies estuvo presente en todo el ciclo y fue notoria su ausencia durante los meses de verano (junio - agosto) con temperaturas más altas (31°C) y época de lluvias (Tabla 2). Los morfotipos de O. cochleare se presentaron siempre en conjunto excepto en marzo de 1995; pero los morfotipos de O. majus, se presentaron simultáneamente sólo en tres ocasiones (febrero, octubre y diciembre de 1994).

Discusión
La designación como morfotipos de especies a las variantes morfologógicas se ha utilizado pues no hay una evaluación amplia de poblaciones disyuntas que permitiera establecer sinonimias. Aun no se sabe si los caracteres que actualmente se utilizan son ontogenéticos, respuestas a condiciones ambientales o verdaderamente estables.
Hasta ahora los caracteres para separar las especies de Ophiocytium son: forma de vida (libre o sésil), tipo de talo (solitario o colonias formando umbelas), forma de las células (rectas, onduladas o helicoidales), forma de los polos (agudos, redondeados), largo de los pedículos (cortos o largos), espinas polares (ausentes o presentes), número de espinas (una o dos), tipo de espinas (capitadas o agudas), largo de las espinas (largas o cortas), grosor de la pared (delgada o gruesa), diámetro de la célula, largo de la célula y relación largo-ancho de la célula (Bourrelly 1981; Ettl 1978; Novelo 1998). La forma de vida resulta un carácter muy dudoso para delimitar especies porque la condición ticoplanctónica está presente en muchas algas y por ello, el encontrar una población mixta de formas sésiles y de vida libre con morfologías similares no permite la clara delimitación específica (morfotipos 'desertum' -'majus'). Asimismo, cuando se utiliza el tipo de talo intervienen por un lado, elementos propiamente ontogenéticos que se sobrelapan entre especies y elementos posiblemente modulados por el medioambiente, que resultan facultativos en algunas especies. Por ejemplo, O. cochleare puede formar colonias facultativamente (Pascher, 1939), y la formación de colonias por la germinación en la boca del esporangio de zoosporas y autosporas puede presentarse en varias especies de manera consistente (O. arbuscula, O. longipes Pascher, O. mucronatum (A. Braun) Rabenhorst, O. ilkae (Istvanffi) Heering y O. gracilipes (A. Braun) Rabenhorst). Es de notar que no hay estudios sobre la germinación de las esporas como un carácter consistente en las especies formadoras de colonias. Es decir, la utilización de la forma de vida, a veces como el criterio de mayor peso, resulta bastante artificial e incluso ad hoc para condiciones claramente diferentes.
Con respecto a la condición sésil, ésta se asocia con pedicelos y discos de fijación, sin embargo la literatura no hace una clara distinción entre estas estructuras y las espinas capitadas. Incluso algunos autores las utilizan indistintamente. Las figuras de la bibliografía tampoco permiten distinguir entre ellas. En nuestro caso, el grosor de estas estructuras tomado en conjunto, se traslapa en 5 de los 9 morfotipos (Fig. 2). Por lo anterior proponemos que la distinción entre ambas estructuras puede seguir las definiciones utilizadas en otras algas (Chlorococcales, s.l., por ejemplo). Las espinas son proyecciones de la pared celular solamente y los pedículos son procesos celulares, con una parte conteniendo citoplasma (cfr. Font Quer 1985) y cuya función se evidencia en la condición sésil por la modificación de la pared celular formando discos de fijación. Los pedúnculos y pedicelos son modificaciones morfológicas multicelulares o una diferenciación de la célula basal de organismos multicelulares (Font Quer 1985). De esta manera, en Santa Ana sólo los morfotipos 'capitatum', 'lagerheimii' y 'cochleare' pueden considerarse como poseedores de espinas y el resto de los morfotipos encontrados con proyecciones tendrían pedículos (Fig. 2). Nótese que la condición de vida libre del morfotipo 'majus' no influye en la definición de pedículo; asimismo, la condición sésil del morfotipo 'arbuscula', no puede considerarse como un organismo pediculado, sino espinulado. En relación con este último caso es de notar que las descripciones de la bibliografía hacen mención a los discos basales de las células hijas, sin embargo en las ilustraciones y la mayoría de las fotografías accesibles tanto en la bibliografía como en la Internet no es posible distinguir claramente esa estructura (un ejemplo en el que sí se muestra esa estructura aparece en PIS 1995-2004).
En la bibliografía se hacen distinciones entre las especies mayores y menores por su diámetro y con proporciones más largas que anchas (Ettl, 1978). En nuestros ejemplares estos datos se traslapan en todos los morfotipos, con excepción de un ejemplar (morfotipo 'maximum'). En las gráficas de radar (Fig. 2) se pueden distinguir al menos tres poblaciones con caracteres específicos claros: O. capitatum (con dos espinas polares), O. lagerheimii (una espina larga) y O. parvulum (sin espinas). En cambio, no es evidente la distinción entre los morfotipos 'desertum' - 'majus' (espinas capitadas - pedículo con disco) y sólo la condición sésil o de vida libre podría distinguirlas. Para Ettl (1978), O. desertum, hasta ahora sólo conocida para Noruega, es una fase juvenil de alguna otra especie del género, aunque O. desertum var. minor ha sido registrada en varias ocasiones en los Estados Unidos de América (Schumacher et al. 1966; USGS 1998). Por las similitudes morfológicas, la caracterización de las proyecciones como pedículos, no como espinas y por la presencia común de estos morfotipos en varias fechas (tabla 2) los consideramos como una sola especie, O. majus.
El grupo de morfotipos 'arbuscula' - 'cochleare' - 'gracillimum' - 'maximum' (una espina corta) también puede reunirse bajo el epíteto O. cochleare por las siguientes razones: a) O. arbuscula ha sido registrada como habitante de aguas calcáreas; b) las proyecciones que presentan son espinas no pedículos; c) el morfotipo 'gracillimum' tiene un intervalo de grosor más amplio que el registrado en la bibliografía (aunque más delgado que el registrado para O. cochleare); d) los datos de la longitud de las espinas se traslapan o bien son un continuo entre los cuatro morfotipos, pues hay ejemplares en el morfotipo 'arbuscula' con longitudes de espinas mayores al diámetro de la célula, como en O. cochleare. Los demás caracteres son similares. Del morfotipo 'maximum' sólo se encontró un ejemplar y su largo coincide con los de O. cochleare.
La longitud de las espinas es un carácter utilizado por Ettl (1978) para separar O. lagerheimii de otras especies. En Santa Ana esa especie sólo se presenta durante octubre y diciembre de 1994 en el periodo de mayor desarrollo de las otras especies. Es muy probable que se trate de una variante extrema en el desarrollo de O. cochleare, pero durante ese periodo no se observaron ejemplares con longitudes de espinas intermedias que justifiquen la reunión de ambos taxones. Por esa razón se utilizó la longitud de las espinas como criterio de separación a pesar de ser un carácter discutible pues depende de condiciones ambientales y del desarrollo de la célula.
Las descripciones de las poblaciones europeas (Ettl, 1978), hacen hincapié en la similitud morfológica y en la distinción relacionada con los ambientes donde viven. La única especie que puede, según Ettl (íbid) distinguirse claramente de las demás es O. parvulum por su capacidad de adsorber fierro en su pared y de ser habitante de ambientes ácidos. Con los ejemplares analizados, la distinción específica inicial muestra que la apreciación de Ettl es básicamente correcta pues las condiciones ambientales podrían aportar otros elementos para describir mejor las especies que sólo los morfológicos y aunque en las descripciones antiguas no se resaltaron las condiciones ambientales, puede suponerse que su consideración ayudará a la delimitación más precisa. Seguramente la sistemática de las especies de Ophiocytium se modificará cuando se comparen los estudios de morfología y fisiología de material de campo y de cultivos. También los análisis moleculares de secciones conservadas de su genoma contribuirán a esa modificación.
Es interesante que si se siguieran los criterios tradicionales para ponderar los caracteres, en el material de Santa Ana podrían considerarse las 9 especies referidas en la literatura, en lugar de las entidades que aquí hemos designado como morfotipos, lo que resultaría en un traslape muy notorio de caracteres.
Aunque la presencia de las especies de Ophiocytium (Tabla 2) no parece seguir ningún patrón estacional, en O. parvulum la variación de las tallas denota un cierto patrón de desarrollo que puede relacionarse tanto con la época del año como con la influencia de la cuenca. Es evidente que hay dos períodos de reproducción importantes fuera de la estación de lluvias (picos primaveral e invernal, Fig. 8a,b) que podrían corresponder a épocas bajas en nutrimentos. Pecora & Rhodes (1973) indujeron la zoosporulación de O. majus en medios deficientes de nitrato. Un posible acarreo de nutrimentos de la cuenca al cuerpo de agua debido a las lluvias, inhibiría el desarrollo y la zoosporulación no sólo de O. majus, sino también de las otras especies del género. Con base en el patrón que ha sido analizado solamente en O. parvulum, se propone que una situación similar podría presentarse en todas las especies de este cuerpo de agua, sobre todo por la coincidencia estacional del conjunto de morfotipos.
Agradecimientos
Al Dr. Carlos E. de M. Bicudo y a dos revisores anónimos por sus valiosos comentarios y sugerencias que contribuyeron a precisar las opiniones vertidas en este artículo.
Referencias
BOURRELLY, P. 1981. Les algues d'eau douce. Initiation a la Systématique. Tome II. Les algues jaunes et brunes, Chrysophycées, Phéophycées, Xanthophycées et Diatomés. Ed. N. Boubé et Cie. París. 512 pp., 135 pls. [ Links ]
COMAS, A. 1989. Taxonomische Übersicht de zönobialen Chlorokokkalalgen von Kuba I. Fam. Hydrodictyaceae. Taxonomical review of the coenobial chlorococcal algae from Cuba. Algological Studies 55: 129-151 [ Links ]
DAVIDSON, J. F. 1947. The polygonal graph for simultaneous portrayal of several variables in population analysis. Madroño 9 (3): 105-110 [ Links ]
EHARA, M., Y. HAYASHI-ISHIMRU, Y. INAGAKI & T. OHAMA. 1997. Use of a deviant mitochondrial genetic code in yellow-green algae as a landmark for segregating members within the phylum. JOURNAL OF MOLECULAR EVOLUTION 45 (2): 119-24 [ Links ]
ETTL, H. 1978. Xanthophyceae. In: Ettl, H., J. Gerloff & H. Heynig, (Eds.). Süsswasserflora von Mitteleuropa. Vol. 3. Número 1. Gustav Fischer Verlag. Jena. 530 p. [ Links ]
FLORES-GRANADOS, C. 1980. Variaciones estacionales en la composición florística del fitoplancton de dos canales de Xochimilco, D.F. México. Tesis de licenciatura. Escuela Nacional de Ciencias Biológicas, Instituto Politécnico Nacional, México. 139 p. [ Links ]
FONT QUER, P. 1985. Diccionario de Botánica. 9a. Edición. Ed. Labor, S.A. Barcelona. 1244 p. [ Links ]
HOEK, C. VAN DEN, D.G. MANN & H.M. JAHNS. 1995. Algae. An introduction to Phycology. Cambridge University Press, Cambridge, 576 p. [ Links ]
INSTITUTO NACIONAL DE ESTADÍSTICA, GEOGRAFÍA E INFORMÁTICA (INEGI). 1984. Anuario estadístico del Estado de México. INEGI. México. 428 p. [ Links ]
JOHNSON, L. R. 2003. Phylum Xanthophyta (Yellow-Green Algae). In: D. M. John, B. A. Whitton & A. J. Brook (Eds.) The freshwater algal flora of the British Isles. An identification guide to freshwater and terrestrial algae. Cambridge University Press. Cambridge, pp: 245-270. [ Links ]
KOMÁREK, J. 1989. Studies on the Cyanophytes of Cuba 4-6. Folia geobotanica et phytotaxonomica 24: 57-97 [ Links ]
MENDOZA-GONZÁLEZ, A. C. 1985. Estudio florístico ficológico estacional de la Laguna de Victoria o de Santiago Tilapa, México. Phytologia 58 (7): 479-87. [ Links ]
NÄGELI, C. 1849. Gatungen einzelliger Algen, physiologisch und systematisch Bearbitet. Neue Denkschriften der Allgemeinen Schweizerischen Gessellschaft fur die Gesammten Naturwisswissenschften 10 (7): 87. [ Links ]
NOVELO, E. 1998. Floras Ficológicas de Tehuacán, Puebla. Tesis de Doctorado en Ciencias (Biología). Facultad de Ciencias, Universidad Nacional Autónoma de México. México. 599 p. [ Links ]
OTT, D. W. & C. K. OLDHAM-OTT. 2003. Eustigmatophyte, Raphidophyte, and Tribophyte algae. In: Wehr, J. D. & R. G. Sheath (Eds.) Freshwater algae of North America. Ecology and classification. Academic Press. San Diego. pp: 423-469. [ Links ]
PASCHER, A. 1939. Heterokonten. In: L. Rabenhorst, (Ed.) Kryptogamen Flora von Deutschland, Österrreich und der Schweiz. Vol 2. No. 11. Akademie Verlagsgesellchaft. Leipzig. pp: 481-832. [ Links ]
PECORA, R. A. & R. G. RHODES. 1973. Zoospore production in selected Xanthophycean algae. British Phycological Journal. 8: 321-324. [ Links ]
PIS, PROTIST INFORMATION SERVER. 1995-2004. Accesible en: http://protist.i.hosei.ac.jp/PDB/Images/Heterokontophyta/Ophiocytium/index.html [ Links ]
RODRIGUES, L. & D. DE C. BICUDO. 2001. Similarity among periphyton algal communities in a lentic-lotic gradient of the upper Paraná river floodplain, Brazil. Revista brasileira de Botanica, Sao Paulo 24 (3): 235-48. [ Links ]
RUIZ, A. 1993. Elementos para una revisión de Ophiocytium Nägeli 1849 (Xanthophyceae). Resúmenes. Primer Congreso Mexicano, Tercer Congreso Latinoamericano y Primera Reunión Iberoamericana de Ficología. México. p: 141, Resumen 234. [ Links ]
SCHUMACHER, G. J., Y. C. KIM, L. A. WHITFORD & G. E. DOLLARD. 1966. Additions to the fresh-water algae in North Carolina. VII. Journal of the Elisha Mitchell Scientific Society 82 (2): 131-38. [ Links ]
SMITH, G. M. 1920-1924. Phytoplankton of the inland lakes of Wisconsin. Reprint 1977. Bibliotheca Phycologica 30. J. Cramer. Vaduz. 243+227 p. [ Links ]
STUESSY, T. D. 1990. Plant taxonomy: the systematic evaluation of comparative data. Columbia University Press. New York. 514 p. [ Links ]
USGS, NORTHERN PRAIRE WILDLIFE RESEARCH CENTER. 1998. Accesible en: http://www.npwrc.usgs.gov/resource/othrdata/basinwet/appenda.htm [ Links ]
VIDAL-ZEPEDA, R. 1990A. Carta Clima. IV.4.4. Atlas Nacional de México. Vol II. Naturaleza. Instituto de Geografía, Universidad Nacional Autónoma de México. [ Links ]
VIDAL-ZEPEDA, R. 1990B. Carta Clima. IV.4.10. Atlas Nacional de México. Vol II. Naturaleza. Instituto de Geografía, Universidad Nacional Autónoma de México. [ Links ]
ZARIÑANA LEGUÍZAMO, M. L. 1997. Variación estacional de Ophiocytium parvulum (Perty) A. Braun 1855 en un sistema acuático inestable en el Municipio de El Oro, Estado de México. Tesis de licenciatura. Facultad de Ciencias, Universidad Nacional Autónoma de México. 79 p. [ Links ]













