Introducción
Uno de los problemas fundamentales en el uso operacional de la tecnología de los sensores remotos es el relativo al escalamiento espacial de la información espectral. Por ejemplo, el uso de sensores de alta resolución espacial (pixeles de 30 m × 30 m) como el TM/ETM de los satélites LANDSAT tiene el inconveniente de tiempos de revisita de 16 días, mientras que el sensor MODIS de resolución media (pixeles de 250 m × 250 m) del satélite TERRA/AQUA tiene tiempos de revisita diarios. La fusión (escalamiento) de la información de ambos sistemas permitiría un monitoreo continuo (diario) del estado de la vegetación sobre la superficie terrestre.
En el campo de los sensores remotos se ha planteado el problema de escalamiento relacionado con la varianza estadística (o medidas similares) de las reflectancias (Woodcock y Strahler, 1987), esto bajo el formulismo de una interpretación probabilística del efecto de escala. Así, el problema de escalamiento consiste en encontrar una dimensión espacial óptima donde las variaciones de las reflectancias sean mínimas (Marceau et al., 1994a, b). Zarco et al. (2008), han discutido este tipo de enfoques probabilísticos y utilizando un marco teórico determinístico espacio-temporal de las reflectancias de la vegetación, y han argumentado que la búsqueda de dimensiones espaciales óptimas, están sesgada por la variaciones ópticas de la vegetación y del fondo de ella, así como por el estado del crecimiento de la vegetación (índice de área foliar y la cobertura de la vegetación). La aproximación probabilística implica escalas “óptimas” múltiples y resulta poco útil sin el conocimiento previo del estado y conformación, incluida la óptica de la vegetación.
Zarco et al. (2008), utilizando la formulación determinística del escalamiento de medios radiativos turbios (medios con elementos ópticos infinitesimales) desarrollada por Knyazikhin et al. (1997) y Tian et al. (2002), han planteado que el escalamiento espacial espectral debe ser hecho en términos de las reflectancias en el infinito (medios turbios ópticamente densos; es decir, donde sólo la vegetación interviene en la mezcla suelo-vegetación), las cuales, son función de los albedos foliares de la vegetación. Bajo la consideración de respetar la ley de conservación de la energía en la ecuación tri-dimensional de la transferencia de fotones en la vegetación, la conservación del promedio (ponderado) del albedo (transmitancia más reflectancia) foliar es un requisito para el escalamiento espacial espectral (Tian et al., 2002). Los desarrollos de los autores mencionados, utilizan la restricción de que el fondo (suelo) debajo de la vegetación es ópticamente absorbente (suelo negro, los fotones que chocan con él son absorbidos totalmente).
Zarco et al. (2008), definieron el esquema general de escalamiento, lo cual no fue desarrollado por el problema residual de que la aplicación del formulismo introducido solo es válido para medios físicamente homogéneos y densos (medios donde la vegetación cubre totalmente al suelo en forma densa y forma un continuo de fitoelementos; es decir, que el suelo es equivalente a ser absorbente, ya que el follaje de la vegetación y el suelo, absorben todos los fotones que penetran) o turbios ópticamente densos en términos radiativos. En este trabajo se presenta el marco teórico-operativo para convertir medios heterogéneos (cobertura parcial del suelo; donde las plantas o conjuntos de ellas tienen arreglos espaciales específicos) en homogéneos, bajo la restricción de utilizar medios radiativos equivalentes (medios que tiene los mismos valores de índice de área foliar global o propiedades ópticas; producto de diferentes configuraciones geométricas de la distribución de plantas), y así usar el esquema de escalamiento introducido por Tian et al. (2002). Adicionalmente, para la aplicación del escalamiento espacial, dependiente de las reflectancias en el infinito, permanece el problema que éstas sean invariantes en el tiempo (crecimiento de las vegetación), requisito para utilizar el marco teórico introducido. Para responder a esta pregunta se formuló un experimento en el Valle del Yaqui en Ciudad Obregón, Sonora, México usando el esquema experimental introducido por Paz et al. (2009a).
Materiales y métodos
Escalamiento Espacial Espectral
Para plantear el problema del escalamiento espectral en términos generales, consideraremos el caso de un píxel (voxel) de resolución media (V × V, espacio 3-D) en una zona agrícola cualquiera (Figura 1), donde hay 7 parcelas con o sin cultivos, las cuales fueron delimitadas por un sensor de alta resolución (v × v, espacio 3-D), menor a las dimensiones de las parcelas i (vi × vi), i = 1, 2,..., 7.
Medios Radiativamente Equivalentes
Dejando fuera el problema asociado a la geometría sol-sensor (función de distribución bidireccional de la reflectancia y su contraparte geométrica de la distribución de las plantas en una parcela o píxel), se introduce el concepto de medio radiativo equivalente como un esquema operacional a la imposibilidad de conocer, en primera aproximación, los elementos constituyentes de un píxel en una imagen satelital, sin recurrir a hipótesis restrictivas.
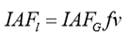
En una parcela o rodal o píxel, el índice de área foliar (IAF) estimado experimentalmente representa uno global (IAFG):
Sin considerar efectos de borde, el IAFl o local (plantas individuales) está relacionado con el global como:
donde: fv = fracción de vegetación y está dado en proporción de 0 a 1. La fracción de cobertura del suelo es fs = 1 - fv.
Un medio equivalente (términos físicos) es aquel que cumple:
Es decir, para una medición de IAFG hay un número infinito de combinaciones equivalentes de IAFl y fv que satisfacen la Ecuación 3. En términos ópticos, un medio radiativo equivalente cumple la Ecuación 3, dado que el IAFl y fv están en función de las propiedades ópticas del suelo y los fitoelementos de la vegetación (dejando lo demás fijo).
El escalamiento del IAF a la escala V es función de los IAF de las parcelas i a la escala vi:
En el caso de las reflectancias, R, tenemos que:
La igualdad de la Ecuación 5 solo es valida para el caso extremo de que todas las parcelas tengan cultivos radiativamente iguales (mismas propiedades ópticas y geométricas) y que los fondos de éstas sean también ópticamente iguales. En el caso de existir un predio con suelo desnudo, esto invalida la igualdad. Evidentemente esta es una hipótesis sumamente restrictiva y normalmente no aplicable en la práctica, aunque muy usada en los ejercicios de escalamiento espectral usando enfoques probabilísticos.
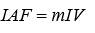
En el caso de los índices espectrales de la vegetación o IV, basados generalmente en el contraste entre la banda del rojo (R) y del infrarrojo cercano (IRC) para la vegetación y el suelo desnudo, el escalamiento de los IV, usando reflectancias para estimarlos, en un formato similar al de la Ecuación 5, tiene las mismas limitaciones discutidas anterioremente (Chen, 1999). Para poder escalar los IV, sin sesgos asociados, es necesario que estos satisfagan la Ecuación:
donde m es una constante arbitraria.
Escalamiento de Medios Radiativos Turbios
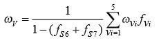
Suponiendo medios turbios de la vegetación (mezclas suelo-vegetación) de las parcelas contenidas en un píxel de dimensión V, Tian et al. (2002) demostraron que el escalamiento espectral, respetando la ley de la conservación de la energía, debe ser a nivel de albedos foliares ω:
donde fv (píxel V) está dada por:
En el caso de la Figura 1, considerando que la parcela 6 y 7 son suelo desnudo, el escalamiento espectral implica:
Es decir, el escalamiento solo se aplica al caso de vegetación y no a suelo desnudo (no vegetación; cuando el IAF > 0, entonces debe considerarse como vegetación), donde éste último es invariante bajo efecto de escala (Zarco et al., 2008).
El problema del escalamiento espectral definido por la Ecuación 7 es que solo es aplicable a medios homogéneos densos o turbios con suelo absorbente, por lo que es necesario un desarrollo teórico-metodológico para convertir medios heterogéneos a esta condición.
Conversión de Medios Radiativamente Heterogéneos a Homogéneos
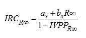
Para introducir la metodología de la conversión de medios heterogéneos a homogéneos, se usaron las simulaciones radiativas para las bandas del rojo (R) e infrarrojo cercano (IRC) (medios turbios) de mezclas suelo-vegetación discutidas en Paz et al. (2005), que utilizan suelos con propiedades ópticas diferentes (Figura 2). En la Figura 2 las líneas iso-IAF (IRC = a0 + b0R) representan la misma cantidad de vegetación, pero con suelos diferentes; donde el caso de IAF = 0 representa la línea del suelo desnudo (IRC = aS + bSR). Si el suelo (reflectancia) permanece constante, entonces el crecimiento de la vegetación sigue una curva iso-suelo. El atrayente de la dinámica del crecimiento de la vegetación para la banda del R es el punto de convergencia de todas las curvas iso-suelo. En este punto la banda del R se satura (no cambia de valor al incrementarse el IAF) y representa a un medio ópticamente denso o infinito (Ross, 1981), por lo que se le denomina R∞. El valor del IRC asociado al R de saturación es IRCR∞. La banda del IRC sigue creciendo hasta alcanzar su propio punto de saturación definido por IRC∞.

Figura 2. Patrones espectrales en el espacio del R-IRC asociados al crecimiento de un cultivo de maíz.
Las reflectancias en el infinito están en función de las propiedades ópticas de las hojas y su distribución angular, así como geometría sol-sensor, principalmente (Goudriaan, 1977; Ross, 1981; Zarco et al., 2008; Paz et al., 2009a).
El problema asociado al espacio del R-IRC es que el punto de convergencia de las curvas iso-suelo (R∞, IRC R∞) es difícil de estimar, por lo que es necesario transformar las curvas iso-suelo a un formato lineal. Para hacer lineales las curvas iso-suelo se usa el espacio espectral IVPP-R (Paz et al., 2009a), donde IVPP = dIRC/IRC (Paz et al., 2003) (Figura 3a). El índice dIRC = IRC - (aS + bSR), fue introducido por Paz et al. (2005 y 2006). La ventaja del espacio IVPP-R es que solo considera la perspectiva de la banda del R y está acotado por el límite de los patrones iso-suelo del espacio R-IRC hasta el punto (R∞, IRCR∞) de la Figura 2, ya que el formato del IVPP reduce los efectos de las contribuciones mayores a este valor (hacia la saturación de la banda del IRC).

Figura 3. Espacio transformado IVPP-R para el crecimiento del cultivo maíz, donde las líneas rectas ajustadas corresponden a líneas iso-suelo.
En la Figura 3b se han agregado las mediciones de reflectancias en campo de un cultivo de maíz usando charolas deslizantes de suelos debajo de éste (Bausch, 1993), donde en las mediciones de reflectancias se usaron fondos de suelo (charolas) para que el substrato fuera un suelo específico (suelos oscuros y claros; secos y húmedos). La reflectancia del maíz fue medida para valores del IAF de 0.02, 0.1, 0.31, 0.58, 1.16, 1.43, 2.58, 3.33, 3.51, 4.10 y 4.16. En la Figura 3b no se usaron los valores para el caso IAF = 0 (suelo desnudo), por problemas de errores fuertes asociados a este espacio para esta situación.
Los valores de (IVPPR∞, R∞) pueden estimarse fácilmente usando un algoritmo basado en la propiedad de que el promedio de un conjunto de líneas rectas se intersecta en un punto definido por la intersección.
En el espacio IVPP-R, las líneas iso-IAF son curvas no lineales (Figura 3), contrastando con la linealidad de las curvas iso-suelo (R = r2 + s2IVPP).
Definido (IVPPR∞, R∞) entonces se puede estimar el valor del IRC asociado:
En la Figura 4 se muestra el patrón entre los parámetros s2-r2 de las líneas del suelo del espacio IVPP-R, se han incluido mediciones de reflectancias en campo de un cultivo de algodón, donde también se usaron charolas deslizantes de suelos (Huete et al., 1985). Las mediciones de reflectancias del algodón se realizaron para IAF de 0.5, 0.7, 1.0, 1.5, 1.75, 2.8, 3.0, 3.3 y 3.6. Al igual que en el caso del maíz, los valores asociados al suelo desnudo fueron omitidos.
La Ecuación mostrada en la Figura 4 está definida por la Ecuación 11:
La cual es consecuencia de la propiedad de un conjunto de líneas rectas que tienen un punto de intersección común. El espacio de la Figura 4 permite estimar en forma simple (diferentes suelos) el punto de convergencia (IVPPR∞, R∞) del espacio IVPP-R.
Un punto implicado en los patrones mostrados en las Figuras 3 y 4 es que los valores de (R∞, IRCR∞) permanecen invariantes (es decir, que los cambios conjuntos en las propiedades angulares y ópticas del follaje mantienen un valor constante) , aún en la etapa reproductiva de los cultivos (IAF > 2, para los cultivos analizados). Si esto es válido, entonces el esquema de escalamiento discutido previamente puede utilizarse en forma confiable hasta, al menos, el punto del IAF máximo.
Estimación del Albedo Foliar para un Medio Homogéneo
Los atrayentes (puntos de convergencia de las líneas o curvas iso-suelo) de la dinámica del crecimiento de los cultivos asociada a los espacios espectrales analizados en la sección anterior (R∞, IRCR∞) y (R∞, IRC∞) permiten estimar las propiedades ópticas y geométricas del follaje (medio equivalente con parámetros efectivos), al convertir un medio heterogéneo (reflectancias no en el infinito) a uno homogéneo (caracterizado por reflectancias en el infinito) (Paz et al., 2009a).
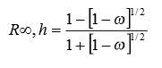
La reflectancia en el infinito para hojas no horizontales, puede aproximarse razonablemente (Goudriaan y van Laar, 1994):
Donde: K es un coeficiente de extinción, dir se refiere a radianza (radiación en bandas espectrales) directa y dif a difusa, y h a hojas con distribución angular horizontal. R se refiere a cualquier banda espectral.
Goudriaan (1977) y Ross (1981), propusieron una serie de simplificaciones para estimar la reflectancia en el infinito para hojas horizontales. Así, para hojas horizontales y bi-Lambertianas (bi-isotrópicas), con ρ = τ, la reflectancia en el infinito está dada por:
De esta forma, conocidos los coeficientes de extinción, se puede invertir a las Ecuaciones 12 y 13 para obtener el albedo foliar, conocida la reflectancia en el infinito, como:
La Ecuación (14) requiere conocer la distribución angular de las hojas, por lo que es factible estimarla en forma indirecta usando propiedades de invarianza asociadas a la geometría sol-sensor (Paz et al., 2009a). Todas las distribuciones de probabilidad angulares de las hojas tienen un valor aproximado de G(θs) = 0.5 cuando θs ≈ 57° (ángulo de visión a nadir) (Ross, 1981), donde θs es el ángulo cenital de iluminación solar y G(θs) es la función geométrica de Ross (1981). Con esta condición aproximada por una distribución angular esférica, G(θs) = 0.5, se obtiene el valor q = 1.046. En Paz et al. (2009a) se introduce un modelo de geometría sol-sensor que permite hacer las transformaciones de las reflectancias según la geometría especificada.
El escalamiento de los albedos foliares (medios homogéneos) puede hacerse usando la Ecuación 7, convirtiendo las parcelas heterogéneas en homogéneas para estimar las reflectancias en el infinito y usar la Ecuación 14. La clasificación de suelo desnudo y mezclas suelo-vegetación puede hacerse usando algoritmos de clasificación genérica de objetos (Palacios et al., 2006). Las fracciones de cada parcela (ejemplo de la Figura 1) pueden ser determinadas con un plano catastral o usando un sensor de alta resolución.
Invarianza Temporal de las Reflectancias en el Infinito
La Figura 4, para el caso de los cultivos de maíz y algodón en condiciones de campo, muestra que la reflectancia en el infinito (R∞, IRCR∞) es invariante en el tiempo (crecimiento de la vegetación – etapa vegetativa y reproductiva), contrario a las expectativas.
Esta situación es razonablemente válida en la fase exponencial (IAF < 2) de los cultivos (Ranson et al., 1985); aún para el caso de cultivos bajo estrés nutrimental o hídrico (Duke y Guerif, 1998). Para el caso de IAF > 2, las propiedades ópticas y la arquitectura de las hojas (distribución angular) generalmente cambian (Ross, 1981; Ranson et al., 1985; Duke y Guerif, 1998); aunque al parecer, de acuerdo a las Ecuaciones 12 y 13 y a las Figuras 3 y 4, los cambios en las propiedades angulares se compensan con las ópticas, manteniendo la invarianza espectral asociada a las reflectancias en el infinito. Esta situación implica un criterio de “optimización” de la vegetación al manejar en forma conjunta las propiedades ópticas (fundamentalmente pigmentos asociados a la fotosíntesis) y angulares (coeficientes de extinción).
Experimento para la Estimación de las Reflectancias en el Infinito
Para revisar la hipótesis de invarianza temporal de las reflectancias en el infinito, se diseñó un experimento de campo en el Valle del Yaqui, Ciudad Obregón, Sonora, México. En un bloque experimental de 4 km × 4 km (coordenadas 27°14’24” y 27°16’48” N y 109°52’12” y 109°54’36” O). Se seleccionaron parcelas de cultivos de cártamo, frijol y sorgo para medir reflectancias. El muestreo en cada parcela de cultivo se hizo en dos transectos, con cinco puntos fijos de muestreo cada uno (P1 a P5). Las mediciones de reflectancia se hicieron durante el ciclo de cultivo primavera-verano del 2008. El equipo de medición usado fue un radiómetro de 16 bandas marca CropscanMR, el cual no requiere de calibración al tener sensores en las posiciones hacia arriba y hacia abajo, generando en forma directa reflectancias. El radiómetro fue calibrado previamente antes de las mediciones de campo. La banda del R (centrada en 690 nm, con ancho de banda de 2 nm) y el IRC (centrada en 800 nm, con ancho de banda de 2 nm) fueron usadas en este estudio. El uso de otros valores centrales y de anchos de banda no modifica los resultados presentados.
De acuerdo a la metodología desarrollada por Paz et al. (2009a), en vez de utilizar charolas deslizantes con diferentes suelos, se realizaron mediciones de la mezcla suelo-vegetación para coberturas nominales de la vegetación del 100, 70, 50 y 30% (Figura 5). La altura del radiómetro fue ajustada de acuerdo a la altura del cultivo para poder realizar la operación. Las mediciones fueron realizadas en dos condiciones: suelo seco (humedad ambiental) y suelo humedecido superficialmente con agua. El estadio fenológico del cultivo (Hack et al., 1992, citado por Enz y Dachler, 1998) en cada medición fue tomado en campo.
Resultados y discusión
Resultados del experimento de invarianza temporal
La propuesta teórica de invarizanza temporal de las propiedades ópticas y angulares fue analizada de acuerdo a la metodología simplificada desarrollada, donde las mediciones de cada fecha de muestreo de las etapas del desarrollo de la vegetación fueron analizadas como un conjunto de muchos datos, para compensar la situación de sólo usar tres mediciones en un tiempo particular. Como contexto, se presenta información de la etapa de desarrollo de los cultivos analizados para cada fecha de medición, para un mejor entendimiento de la heterogeneidad temporal de las mediciones. Cabe destacar que, los patrones temporales convergieron en un mismo valor estimado de las reflectancias en el infinito y, por lo tanto, validaron la invarianza temporal.
En la Figura 6 se muestra la línea del suelo (IRC = aS + bSR; IAF = 0) estimada de las mediciones en campo de las reflectancias.
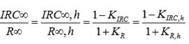
Considerando que las estimaciones de las reflectancias en el infinito son invariantes con respecto a la línea del suelo (Paz et al., 2009b). Posteriormente, se utilizaron los parámetros aS = 0 y bS = 1 de la línea del suelo.
En la Figura 7 se muestran los resultados para una medición de sorgo, punto P5, del día juliano 115. La intersección de las dos líneas del suelo (seco y húmedo) define el punto de convergencia (IVPPR∞, R∞). En la Figura 7 sólo se usaron tres puntos de medición, para cada fecha de toma de datos, para estimar las líneas rectas, por lo que su validez estadística es cuestionable. No obstante, en las mediciones de campo de las reflectancias se hicieron algunas mediciones con más datos (6) y los resultados fueron similares, en términos estadísticos, a los de las tres mediciones. Esto es consecuencia de que el punto de convergencia (reflectancias en el infinito) de las líneas establece un punto adicional invariante.

Figura 7. Ejemplo de estimación del punto (IVPPR∞, R∞) usando mediciones de reflectancias para diferentes coberturas de la vegetación en un mismo día juliano.
El Cuadro 1 muestra las fechas de medición de reflectancias del cultivo sorgo, así como la fenología asociada, para mostrar como las estimaciones fueron realizadas. La Figura 8 muestra el espacio s2-t2 de los parámetros de las líneas del suelo del espacio IVPP-R.
En el caso del cultivo de cártamo, el Cuadro 2 expone las fechas de medición de reflectancias y la fenología asociada, mientras que la Figura 9 muestra el espacio s2-t2 de las mediciones de reflectancias realizadas y ajustadas por regresión lineal para establecer líneas rectas iso-suelo en el espacio IVPP-R.
Finalmente, en el Cuadro 3, se muestran las fechas de medición y fenologías asociadas para el caso del cultivo de frijol y la Figura 10 las relaciones entre los parámetros s2-t2. En el caso, del cultivo de frijol, el fondo fue una mezcla de residuo y suelo desnudo.
Implicaciones para la Reflectancia en el Infinito del IRC
Una de las limitaciones de los resultados previos es que el uso del espacio IVPP-R nos permite estimar el punto (IRCR∞, R∞), pero no el punto IRC∞. Además, la metodología aplicada requiere, para una misma fecha de muestreo, el uso de dos condiciones de humedad del suelo. En relación a este último punto, en la Figura 11 se muestra el espacio dIRC-IVPP para las etapas vegetativas y reproductivas del cultivo fríjol, cártamo y sorgo, donde el valor de IVPP = 0.9 puede usarse como un estimado, aproximado, asociado a IRC∞, sustituyendo este valor en la Ecuación 10.
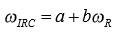
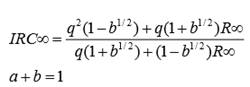
Un método alternativo es usar una Ecuación del tipo:
La cual puede ser sustituida en la Ecuación 14 para establecer la dependencia entre las reflectancias en el infinito:
La relación a + b = 1 fue establecida de acuerdo a los desarrollos mostrados enseguida. Poniendo la Ecuación 13 en función del coeficiente de extinción Kh para una distribución horizontal de las hojas (Goudriaan, 1977; Ross, 1981):
Podemos sustituir la Ecuación 17 en la 12 para establecer:
Así, en forma directa, de la Ecuación 17 podemos establecer:
de la cual se puede derivar:
La Ecuación 20, suponiendo una razón constante A entre los coeficientes de extinción, implica la relación a + b = 1(b = A) discutida previamente. Rodskjer (1972) ha estimado un valor de alrededor de 0.5 para la razón A.
De la consideración de valores invariantes del IRCR∞ y R∞ y de la discusión previa, es una hipótesis razonable considerar que también IRC∞ es temporalmente invariante, al menos hasta la etapa vegetativa.
En lo general, los resultados obtenidos en los experimentos analizados muestran que la hipótesis de invarianza temporal en las reflectancias en el infinito (R∞) puede ser usada en términos operacionales (por ejemplo, sensores remotos en satélites) y resulta confiable. La extensión al caso del infrarrojo cercano, aunque planteada en términos teóricos, es aparentemente valida. En el Cuadro 4 se muestran los resultados de las reflectancias en el infinito estimadas para los cultivos analizados.
En la Figura 12 se muestra en forma esquemática la dinámica espectral del crecimiento de los tres cultivos analizados, donde las zonas de traslape entre ellos (etapas iniciales e intermedias del crecimiento) definen limitaciones en su separabilidad espectral (espacio del R-IRC). De esta figura, la discriminación de cultivos puede ser hecha fundamentalmente cerca del IAF máximo (etapa reproductiva).
Las aplicaciones prácticas de la invarianza temporal de las reflectancias en el infinito son de alto impacto en estrategias experimentales y de monitoreo de la vegetación, ya que con mediciones en una solo fecha es posible estimar la evolución temporal, en términos espectrales, de los cultivos; evitando así las mediciones múltiples en el tiempo. Este tipo de condición permite obtener resultados muy rapidos para el caso de vegetación de lento crecimiento (por ejemplo, bosques y selvas). El requerimiento para lograr esta economía de observación es que el fondo de la vegetación cambie (por ejemplo, el suelo sea humedecido). En el caso de los sensores remotos, la toma de imágenes satelitales antes y después de un evento de precipitación puede generar la información necesaria para proyectar las propiedades espectrales en el tiempo. El que las reflectancias en el tiempo converjan a un valor único de medio denso o infinito, plantea que la vegetación mantiene una estrategia de “optimización” global de largo plazo, donde las variaciones en las propiedades ópticas son compensadas por las angulares, y viceversa. Así, en la función fotosintética (banda del rojo), las plantas se adaptan dinámicamente al medio ambiente, manteniendo una estrategia que les permite ser eficientes en la captación de energía solar. En el caso de su función de termorregulación y balance de energía (banda del infrarrojo térmico, correlacionada con la del infrarrojo cercano), la estrategia es similar. De las invarianzas de las bandas del rojo e infrarrojo cercano en el infinito, es notorio que los cultivos analizados mantengan una estrategia multifuncional de adaptación al medio ambiente.
Finalmente, los desarrollos del escalamiento, en términos radiativos estrictos, para medios homogéneos o turbios fueron expandidos para la consideración de medios heterogéneos usando una conversión asociada a la estimación de las reflectancias en el infinito (banda del R) en el espacio espectral transformado IVPP-R. Con la estimación de la reflectancias en el infinito podemos estimar los albedos foliares y por lo tanto, definir la relación de escalamiento asociada a los albedos.
Conclusiones
- La evidencia experimental publicada sobre la reflectancia en el infinito implica que la conjunción de las propiedades angulares y ópticas de las hojas permanecen invariantes durante la etapa vegetativa y reproductiva (hasta el IAF máximo) de la vegetación. Aunque paradójica, esta situación de invarianza temporal conjunta fue revisada en experimentos de cultivos de cártamo, frijol y sorgo, usando una metodología simplificada pero equivalente al caso de utilizar fondos variables de la vegetación. Los resultados muestran la invarianza temporal de las reflectancias en el infinito, por lo tanto, las propiedades angulares y ópticas como un todo, se compensan para lograr este fin. En el caso del infrarojo cercano, asociado a balances de energía y termorregulación, los resultados teóricos de invarianza plantean que vegetación mantiene una estrategia de adaptación al medio ambiente en sus funciones fotosintéticas y de regulación térmica, que le permiten modificar en forma dinámica y coordinada diferentes factores que inciden en estas funciones.
- La invarianza temporal de las reflectancias en el infinito sustenta el uso de los esquemas de escalamiento desarrollados hasta valores de reflectancias asociadas al valor máximo del IAF. Esto permite el uso operacional de las metodologías planteadas (sensores remotos y muestreos de un solo tiempo en vegetación perenene), lo cual será discutido en otro trabajo.










text new page (beta)



































