SciELO - Scientific Electronic Library Online

 
vol.64 número2El camino hacia la luz láserAn algebraic approach to a charged particle in a uniform magnetic field índice de autoresíndice de materiabúsqueda de artículos
Home Pagelista alfabética de revistas  

Servicios Personalizados

Revista

Articulo

Indicadores

Links relacionados

  • No hay artículos similaresSimilares en SciELO

Compartir


Revista mexicana de física E

versión impresa ISSN 1870-3542

Rev. mex. fís. E vol.64 no.2 México jul./dic. 2018

 

Education

El formalismo 3+1 en relatividad general y la descomposición tensorial completa

T. Miramontesa  * 

D. Sudarskya 

aInstituto de Ciencias Nucleares, Universidad Nacional Autónoma de México, Apartado Postal 70-543, Ciudad Universitaria, 04511 México, D.F., México.


Resumen

Se presenta una breve revisión del formalismo 3 + 1 en Relatividad General, y se introducen algunas novedosas convenciones así como elementos de notación que permiten facilitar el tratamiento de las expresiones de todas las proyecciones tensoriales involucradas en este formalismo. También se obtienen expresiones 3 + 1 útiles para la manipulación de índices (contracción, simetrización, antisimetrización), productos tensoriales y derivación covariante de tensores arbitrarios.

Palabras clave: Relatividad general; formalismo en relatividad general; geometría de subvariedades

Abstract

A brief review of 3 + 1 formalism in General Relativity is presented, introducing innovative conventions and notation elements which make it easier to deal with all of the tensorial projections involved in this formalism. Also, useful 3 + 1 expressions for manipulation of indexes (contraction, symmetrization, anti-symmetrization), tensorial producs and the covariant derivative of arbitrary tensors are obtained.

Keywords: General relativity; formalism in general relativity; geometry of submanifolds

PACS: 04.20.-q; 02.40.-k

1. Introducción

La separación o formalismo 3 + 1 es la descripción de un espaciotiempo cuadridimensional (M,gab), en términos de una foliación dada por hipersuperficies tridimensionales tipo espacio, de modo que la métrica inducida sobre éstas sea Riemanniana 1. Esta separación es el punto de partida de la formulación hamiltoniana de la Relatividad General de Arnowitt, Deser y Misner 2,3, , así como de la Relatividad Numérica.

Aunque en la literatura existen referencias más detalladas y extensas sobre este formalismo, como 1 y 4 por citar algunas, en este trabajo se enfatiza su utilidad como herramienta analítica, obteniendo las expresiones 3 + 1 más generales para operaciones como productos, trazas y derivadas de tensores arbitrarios. Con este fin, se introduce una notación especial para las proyecciones tensoriales, que permite sistematizar la manipulación de las expresiones típicamente engorrosas que aparecen en esta separación. Por lo demás, la notación y convenciones son consistentes con Wald 5, en particular la métrica del espaciotiempo gab con signature (-, +, +, +), y el signo de la curvatura extrínseca.

2. Nociones generales

La idea intuitiva detrás de la descripción 3 + 1 es la de interpretar el espaciotiempo como un objeto 3 dimensional que evoluciona de acuerdo con una noción particular de tiempo global. Al separar un espaciotiempo cuadridimensional tomando el tiempo como parámetro, se busca que el objeto que evolucione sea la métrica Riemanniana que define la distancia sobre una subvariedad tridimensional apropiada.

De manera mas precisa, se tratará únicamente con espaciotimepos globalmente hiperbólicos, que son aquellos que se pueden foliar por hipesuperficies de Cauchy Σt. Esto quiere decir que se cuenta con una familia de hipersuperficies homeomorfas entre sí, parametrizadas por una función tiempo global t, y éstas cubren toda la variedad M. A su vez ésto implica que la topología de la variedad es la de Σ×R. Es claro que un mismo espaciotiempo se puede foliar de mútiples maneras y que en particular la función tiempo global no es única. Esta libertad de elegir la foliacion esta asociada íntimamente con la noción de invarianica de norma de la teoría.

En el presente tratamiento se supondrá que la foliación y la función tiempo están dadas a priori, y se limitará a espaciotiempos globalmente hiperbólicos, para los cuales es posible tener una buena formulación de valores iniciales, que en pocas palabras i, se refiere a que el espaciotiempo está determinado unívocamente por los datos sobre una hipersuperficie de Cauchy, que son el equivalente relativista de datos a un tiempo inicial.

La métrica del espaciotiempo gab determina el tamaño de vectores, y para el caso de vectores tangentes a curvas definidas sobre hipersuperficies de Cauchy Σt, ésta es una cantidad positiva. Esta noción de longitud determina entonces una métrica Riemanniana sobre cada Σt.

Para completar el punto de vista dinámico para el espaciotiempo, es necesario definir una noción apropiada de evolución, es decir, establecer una manera de identificar no sólo puntos en una hipersuperficie de la foliación con puntos en otra hipersuperficie de la misma foliación, sino una manera de comparar campos tensoriales entre ambos puntos de la variedad.

El procedimiento general para hacer esto es el siguiente: dado un difeomorfismo ϕ:MM, es posible transportar tensores de un punto a otro, a través de los mapeos denominados push-forwardϕ*:TpMTϕ(p)M y pullbackϕ*:Tϕ(p)*MTp*M, lo cual permite comparar el valor de un campo tensorial en un punto con su valor en otro punto cercano. A continuación, se define el cambio de estos objetos sobre el flujo de ϕ como la derivada de Lie de ese objeto. En el Apéndice 7 se detallan los aspectos formales de esta construcción.

En el caso particular en cuestión, se desea que el flujo de ϕ represente una forma específica de avanzar en el tiempo dado por la función global t. Para ello se considera el hecho de que un campo vectorial suave t a que no se anula en ningún punto del espaciotiempo permite definir, a través de sus curvas integrales, un grupo uniparamétrico de difeomorfismos ϕτ:R×MM del siguiente modo: para cada valor τ del parámetro de las curvas integrales de t a , se asigna a cada punto pM, el punto dado por la curva integral del campo ta que pasa por p, γp:RM, evaluada en el parámetro τ, es decir, ϕτ(p)=γp(τ). El parámetro de la curva se toma de modo que γp(0)=p.

Para que el parámetro de las curvas γp(τ) coincida con t (salvo una constante correspondiente a la elección del origen), basta con que el campo ta sea de tipo tiempo y que cumpla con la relación

taat=1. (1)

Luego, para todo pM,

t(γp(τ))=t(p)+τ. (2)

Por lo tanto, el grupo uniparamétrico de difeomorfismos ϕτ generado por el campo ta permite definir mapeos que transportan campos tensoriales sobre una hipersuperficie Σt a otra hipersuperficie Σt+τ. Con esto, se provee de una noción de evolución a la descripción 3 + 1.

Es importante destacar que:

  • El campo vectorial ta no es necesariamente unitario, por lo que el parámetro τ no puede interpretarse en general como el tiempo propio medido por un observador.

  • No se impone ninguna condición de ortogonalidad del campo ta respecto a las hipersuperficies de t constante.

  • La condición no determina al campo ta , lo cual es un hecho íntimamente relacionado con la libertad de norma de la teoría.

Respecto a este último punto, nótese que lo único que la condición (1) requiere es que existan coordenadas que tomen el valor de t en cada punto como coordenada tiempo, y que la base del espacio tangente en cada punto inducida por dichas coordenadas tenga a ta como el dual a (dt)a . Es decir, la libertad en la elección de ta se identifica con la libertad para escoger coordenadas que cumplan estas condiciones.

En este trabajo se adoptará el denominado punto de vista cuadridimensional1, en el que los campos tensoriales del formalismo siempre son cuadridimensionales y están definidos sobre M. Alternativamente, en su lugar se podrían considerar versiones tridimensionales de estos campos tensoriales, parametrizados por t, y que estarían definidos sobre cada subvariedad ΣtM.

El punto de vista tridimensional requiere definir mapeos de proyección o encajes entre M y una hipersuperficie tridimensional Σ^, lo cual no es esencial para presentar el formalism 3 + 1. A los lectores interesados en esta perspectiva se les invita a revisar el Apéndice 7 donde se elabora esta conexión, en la que además se pone de manifiesto el papel del campo ta , caracterizado, como se verá en la siguiente sección, por la elección de un campo vectorial tridimensional denominado shift.

Habiendo establecido los elementos básicos de esta perspectiva, a continuación se procede a desarrollar el formalismo para campos tensoriales de acuerdo con esta separación, empezando por la descomposición de vectores y campos vectoriales en partes tangente y normal a la hipersuperficie.

2.1. Vectores y covectores tangentes a la hipersuperficie

Los vectores tangentes a la hipersuperficie Σt se definen como aquellos vectores cuyas curvas integrales están completamente contenidas en Σt. Como las hipersuperficies Σt son de Cauchy, éstos vectores son tipo espacio.

De aquí en adelante, se indicará con una tilde(̃) que un vector es tangente a la hipersuperficie Σt. Asimismo, se denotará por T˜pΣtTpM al subespacio de vectores tangentes a Σt, en el punto pΣt.

Como la función t es constante sobre toda la hipersuperficie Ʃt , la derivada de t en la dirección de cualquier vector tangente a Ʃt se anula. Por lo tanto, cualquier vector tangente v˜a cumple con la ecuación

ṽaat=0. (3)

Asímismo, un vector ortogonal a la superficie se define como un vector ortogonal a todo vector tangente a la hipersuperficie. Dado que la hipersuperficie Ʃt es homeomorfa a una variedad tridimensional, el subespacio de vectores ortogonales a ella es unidimensional.

De la Ec. (3), tenemos que el campo vectorial tipo tiempo at es ortogonal a Ʃt , por lo que el vector normal en cada punto p de Ʃt se expresa como

na(p)-gabbt-gabatbtpΣt. (4)

El signo se ha escogido de modo que el campo na sea tipo tiempo dirigido al futuro. Entonces, dado un punto pΣt, se denota por Np al subespacio de TpM generado por los vectores proporcionales a na (p), el cual es justamente el subespacio de vectores ortogonales a la hipersuperficie en el punto p,

Np={λna(p):λR}. (5)

Considerando esta separación punto a punto sobre Ʃt , se tiene que un campo vectorial ortogonal a Ʃt siempre se puede expresar como

va=vna,

donde v es una función real sobre Ʃt .

Por lo tanto, todo vector tangente a un punto p de Ʃt se puede expresar como la suma de un vector tangente a la hipersuperficie y un vector ortogonal a ella,

va=v˜a+na(p)v, (6)

es decir, el espacio tangente a pΣt se puede separar como

TpM=T˜pΣtNp, (7)

donde denota la suma directa de subespacios. Tomando esta definición punto a punto sobre Ʃt , quedan definidos los campos vectoriales tangentes a Ʃt .

La extensión de esta separación para campos de covectores o 1-formas es directa. Un campo de covectores ω̃a es tangente a Ʃt si para todo punto en Ʃt se cumple que

ω̃ana=0. (8)

De aquí en adelante la tilde también se utilizará para indicar que un campo de covectores es tangente a Ʃt .

Análogamente, un campo ωa es ortogonal a Ʃt si para todo campo vectorial tangente ṽa se cumple

ωaṽa=0. (9)

Considerando

nagabnb, (10)

y la Ec. (3), se tiene que todo campo de covectores ortogonales a Ʃt se puede expresar como

ωa=ωna, (11)

siguiendo un razonamiento análogo al caso de campos vectoriales.

Tal como ocurre para el espacio tangente al punto pΣt, el espacio cotangente a p se separa como

Tp*M=T˜p*ΣtNp*, (12)

donde T˜p*Σt es el subespacio de Tp*M formado por todos los covectores tangentes a Ʃt en el punto p, y se ha denotado al espacio de covectores ortogonales a Ʃt en p como

Np*{λna(p):λR}, (13)

de modo que todo covector en pΣt se expresa como

ωa=ω˜a+na(p)ω. (14)

Nuevamente, esta separación se extiende al caso de campos aplicando estas reglas punto a punto sobre Ʃt .

Gracias a que se está trabajando en un espaciotiempo foliado por hipersuperficies Ʃt , cada punto qM está contenido en una y sólo una hipersuperficie Ʃt(q) , lo que permite extender esta descomposición, punto a punto, para campos vectoriales o de covectores sobre M, considerando en cada punto q la separación con respecto a la hipersuperficie Ʃt(q) .

A los campos que resultan de esta separación, v˜a y vna para vectores, y ω˜a y ωna para covectores, se les denomina proyecciones tangente y normal, respectivamente.

La componente normal de un campo vectorial y respectivamente de un campo de covectores están dadas por

v=-nava, (15)

ω=-naωa, (16)

lo cual se puede verificar contrayendo (6) con n a y con n a .

Las proyecciones tangentes se obtienen sustituyendo (15) y (16) en (6) y (14), respectivamente, quedando

v˜a=(δab+nanb)vb, (17)

ω˜a=(δab+nanb)ωb, (18)

donde δabgacgcb y δabgacgcb.

De (17) y (18) se tiene que los proyectores de vectores en el subespacio tangente T˜Σ, y respectivamente el de covectores en el subespacio cotangente T˜*Σ están dados por

haa'δaa'+nana', (19)

haa'δaa'+nana', (20)

respectivamente. Nótese que estos tensores actúan como la identidad para vectores y covectores tangentes.

A partir de (15) y (16) se tiene que los proyectores de vectores en el subespacio tangente N y de covectores en el subespacio cotangente N* son

Paa'-nana', (21)

Paa'-nana', (22)

respectivamente.

En términos de estos proyectores, se pueden reescribir (19) y (20) como las descomposiciones de la identidad para vectores δaa' y para covectores δaa', es decir

δaa'=haa'+Paa'=haa'-nana', (23)

δaa'=haa'+Paa'=haa'-nana'. (24)

Las expresiones (6) y (14) indican cómo reconstruir vectores y covectores del espaciotiempo a partir de su proyección tangente (algebráicamente tridimensional) y su componente ortogonal (una función real), lo que justifica la denominación 3 + 1 de este formalismo. Asimismo, las expresiones (23) y (24) serán útiles para realizar la descomposición 3 + 1 de tensores de rango arbitrario.

Respecto al campo ta , es convencional denominar shift a su proyección tangente y representarla por Na , mientras que a su componente normal se le denomina función lapse y se le representa por N. Entonces, la descomposición 3 + 1 de ta es

ta=Na+naN. (25)

De (1) se sigue que la función lapse también se puede expresar como

N=1naat, (26)

y de (25) que N sea el factor de normalización en la expresión (4), es decir,

N=1-gabatbt. (27)

Por lo tanto, na y N están determinados por la función t y la métrica del espaciotiempo, mientras que el shift Na depende de la elección particular del campo ta . En el Apéndice 7 se hace explícita la dependencia de estos campos en la expresión de un vector desde el punto de vista tridimensional.

2.2 Tensores de rango arbitrario.

La separación de los espacios de vectores o covectores en una parte tangente y una parte ortogonal expresada en (7) y (12), se puede generalizar para tensores de rango arbitrario a partir de su descomposición como producto tensorial de espacios de vectores y covectores. Por ejemplo, para el espacio de tensores (0, 2) definidos sobre un punto p de la hipersuperficie Ʃt , se tiene

Tp*MTp*M=(T˜p*ΣtNp*)(T˜p*ΣtNp*)=(T˜p*ΣtT˜p*Σt)(T˜p*ΣtNp*)(Np*T˜p*Σt)(Np*Np*). (28)

Esta descomposición indica que todo tensor (0, 2), Tab , se puede separar como la suma de los siguientes términos:

  • Un tensor (0, 2) completamente tangente a la hipersuperficie, es decir, que se anula al contraerlo con el vector normal na en cualquiera de sus índices. A este término se le denotará colocando una tilde sobre el símbolo del tensor original, T˜ab.

  • El producto tensorial de na con un covector tangente, τ´˜b.

  • El producto tensorial de un covector tangente, τ`˜a, con nb .

  • Un escalar T multiplicando a nanb, correspondiente a su componente ortogonal.

Es decir, la separación 3 + 1 de un tensor (0, 2) es de la forma

Tab=T˜ab+τ`˜anb+naτ´˜b+nanbT. (29)

Utilizando la descomposición de la identidad (24) para cada índice de Tab , es decir, escribiendo

Tab=δaa'δbb'Ta'b', (30)

y desarrollando cada identidad como en (24), se obtienen expresiones para cada uno de los tensores presentes en (29),

T˜ab=haa'hbb'Ta'b', (31)

τ`˜a=haa'(-nb')Ta'b', (32)

τ´˜b=(-na')hbb'Ta'b', (33)

T=na'nb'Ta'b'. (34)

En este trabajo, a cada uno de los términos de (29) se les denominará proyecciones, y a los tensores tangentes de cada proyección, (31)-(34), se les denominará componentes de proyección.

La métrica inducida es un tensor (0, 2) tangente a la hipersuperficie que, actuando sobre dos vectores tangentes a la hipersuperficie, tiene la misma acción que la métrica del espaciotiempo. Es inmediato verificar que la proyección totalmente tangente de la métrica,

habhaa'hbb'ga'b'=gab+nanb, (35)

es el único tensor tangente a la hipersuperficie que cumple con estas condiciones.

Denotar la métrica inducida como hab es consistente con la notación que se ha introducido para los proyectores tangentes, en el sentido de que “gab baja índices”, pues

hab=gaa'ha'b=hab'gb'b.

Nótese también que la métrica inducida permite subir y bajar índices de tensores tangentes a Ʃt , y

habgacgbdhcd (36)

funge como operador métrica inversa, puesto que

habhbc=hac. (37)

Cuando se realiza la separación del espacio (co)tangente a M (en cada punto p), en un subespacio (co)tangente a Ʃt(p) y el subespacio de (co)vectores paralelos a na (o na ) en p, y se aplica esta separación al producto tensorial con el que se definen los espacios de tensores de rango superior, se obtiene que el número de maneras en que se puede proyectar un tensor (k, 0) es 2 k , puesto que se tendrá una descomposición de la forma

TpMki=1kTpM=TpΣtpNk = j=0k PTpΣtpk-jNj , (38)

donde P indica las permutaciones sobre los k índices de todas las posibles proyecciones j veces contraídas con n, es decir, todas las posibles combinaciones donde j índices de la proyección son normales y el resto tangentes. El número de permutaciones para cada j es kj, por lo que el número total de proyecciones es

j=0kkj=2k. (39)

Siguiendo esta lógica, en general para tensores tipo (k, l), se tendrá

(TpM)k(Tp*M)l=i=0kj=0lP[(TpΣt(p))k-i(N)i(Tp*Σtp)l-j(N*)j], (40)

donde el número total de proyecciones es 2 k+1 .

Aunque en la mayoría de aplicaciones comunes para el formalismo 3 + 1 basta con la descomposición de vectores, covectores y tensores de rango 2, en situaciones menos estándar, como en el estudio del acoplamiento de campos cuánticos con gravedad, así como en el estudio de acciones efectivas para gravedad cuántica, donde además de términos como RabcdRabcd y RabRab , se requiere el cálculo de derivadas superiores como R, o los desarrollos en series de Taylor covariantes ii, que en principio involucran derivadas del tensor de Riemann de todo orden, es deseable contar con un formalismo que permita realizar estos cálculos de manera totalmente general y para un número de índices arbitrario.

El crecimiento exponencial del número de proyecciones, al incrementarse el rango de los tensores, implica que, si se desea tratar con total generalidad la descomposición 3 + 1, es necesario primero sistematizar la nomenclatura de estas componentes de proyección.

Por ejemplo, para el caso (0, 2), las cuatro proyecciones previstas son justamente cada uno de los términos de (29), y se puede utilizar una notación en la que a cada componente de proyección se le asigna un símbolo diferente, como los símbolos del lado izquierdo de las Ecs. (31)-(34). Sin embargo, para tensores de rango (0, l) con l > 2, deja de ser práctico denotar cada componente de proyección con un símbolo distinto, por lo que en su lugar, se asignará a cada proyección una etiqueta numérica entre 0 y 2 l - 1.

El primer paso para establecer una notación apropiada para este formalismo general será fijar reglas para la notación de los índices de todo tensor T del tipo (0, l). Sus índices se etiquetarán de modo que indiquen su posición respecto al índice más a la derecha, por lo que un tensor (0, 2) se expresará como

Ta1a0,

y en general, el conjunto de etiquetas de índices para un tensor (0, l) será

Il{l-1,,1,0}, (41)

por lo que bajo esta convención, este tipo de tensor se expresará como

Tal-1al-2a1a0. (42)

A continuación establecemos cómo se asigna una etiqueta m a una proyección dada. Sea m el conjunto que codifica la expansión binaria del número entero m[0,2l-1] en la forma

m=jζm2j. (43)

Ésto no es más que la notación desarrollada en base dos de m, por lo que los conjuntos ζm para los primeros cinco enteros son:

0=0ζ0=,1=20ζ1={0},2=21ζ2={1},3=21+20ζ3={0,1},4=22ζ4={2},5=22+20ζ5={0,2},

y así sucesivamente. Recíprocamente, a partir de un conjunto ζm de números enteros, se puede construir un número m mediante la fórmula (43).

La receta para asignar etiquetas a una proyección 3 + 1 de un tensor será la siguiente: Etiquete los índices del tensor como en (42) y construya el conjunto ζm como el conjunto de etiquetas de los índices que en la proyección son normales, es decir, las etiquetas de los índices de los covectores n, y luego, asigne a la proyección la etiqueta m dada por (43).

Esta convención no resulta intuitiva, pero es una manera simple de etiquetar proyecciones directamente, si se considera la siguiente regla visual: Sustituya cada índice de n por un número “1”, y asigne al resto de los índices, que pertenecerán a la componente de proyección tangente, dígitos “0”. Escriba los dígitos en el orden original de los índices correspondientes en el tensor no desarrollado, (42). Lo que se obtiene es la notación binaria del número m que le corresponde a la proyección en cuestión.

Por ejemplo, denotando por un subíndice B a un número en notación binaria, se tendría en (29),

Ta1a0=T˜a1a000B=0+τ`˜a10na0101B=1+na11τ´˜a0010B=2+na11na0111B=3T.

Al conjuntoiii que contiene las etiquetas de los índices proyectados de manera tangente se le denota por

YmlIl-ζm. (44)

Finalmente, la proyección m de un tensor T de tipo (0, l) se denotará como

mP(Tal-1a0)iYmlhaia'ijζmnaj(-na'j)Ta'l-1a'0. (45)

Se puede simplificar aún más esta expresión si se considera la siguiente notación multiplicativa por conjunto de índices, exclusivamente para proyectores,

naAiAnai,haAa'AiAhaia'i,

donde A es un conjunto de etiquetas de índices. Para el resto de los tensores, se define una notación abreviada para conjuntos de índices:

TaATaA1aAs,

es decir, TaA es un tensor cuyos índices están etiquetados por los elementos del conjunto ordenadoA={A1,,As}, donde en general Ai<Ai+1.

Haciendo uso de esta notación, la proyección m de un tensor (0, l) se expresa como

mP(TaIl)=haYmla'Ymlnaζm(-n)a'ζmTa'Il, (46)

las componentes de proyección se expresan como

mTaYml=haYmla'Yml(-n)a'ζmTa'Il, (47)

y en general, la descomposición 3 + 1 de un tensor (0, l) se expresa como

TaIl=m=02l-1mP(TaIl)=m=02l-1naζmmTaYml. (48)

Nótese que la m-ésima componente de proyección es un tensor tangent (0, l - z), con z el número de elementos en ζm.

Esta convención de notación se generaliza directamente para tensores de tipo (k, l), tomando el valor posicional de los índices como etiqueta, independientemente de si son índices “covariantes” o “contravariantes”.

Se conservará la convención de denotar por una tilde a la proyección completamente tangente de un tensor, correspondiente a la proyección identificada por el número 0 (por ejemplo T˜aIl) así como el empleo del subíndice para referirse a la proyección completamente ortogonal de un tensor, correspondiente a la proyección identificada por el número 2k+l - 1 (por ejemplo, T).

2.2.1. Simetrización y antisimetrización de índices

Se ha establecido una convención donde la posición de los índices juega un papel importante, por lo que hay que tener cuidado de realizar cualquier intercambio de etiquetas de índices después de que se hayan etiquetado las componentes. Por ejemplo, el tensor Ta1a0 se desarrolla en esta notación como

Ta1a0=T̃a1a0+na01Ta1+na12Ta0+na1na0T, (49)

y para expresar su simetrización,

T(a1a0)12!Ta1a0+Ta0a1,

se deber tomar en cuenta primero el etiquetado de componentes dado en (49) y después el intercambio a1a0 para el segundo término, obteniendo

T(a1a0)=12!(T̃a1a0+na01Ta1+na12Ta0+na1na0T+T̃a0a1+na11Ta0+na02Ta1+na0na1T),

es decir,

T(a1a0)=12!T̃a1a0+T̃a0a10P(T(a1a0))+na01Ta1+2Ta11P(T(a1a0))+na12Ta0+1Ta02P(T(a1a0))+na1na02T3P(T(a1a0)). (50)

De manera análoga, la antisimetrización de los índices de este tensor en forma 3 + 1 será

T[a1a0]=12!T̃a1a0-T̃a0a10P(T[a1a0])+na01Ta1-2Ta11P(T[a1a0])+na12Ta0-1Ta02P(T[a1a0]). (51)

Nótese que en este caso la proyección con etiqueta m=3 se ha cancelado idénticamente porque involucra antisimetrizar el producto simétrico na1na0.

Si se tiene un tensor (0, l) arbitrario, y se desea simetrizar o antisimetrizar el conjunto de sus índices etiquetados por los elementos del conjunto ordenado S (en el caso anterior, S= {1,0}), entonces es necesario primero establecer una convención para expresar las permutaciones involucradas.

Una permutación p sobre un conjunto ordenado S es una regla que intercambia k elementos del conjunto entre sí. Si s es el número de elementos en S, entonces el número total de permutaciones de sus elementos es s!. Estas posibles permutaciones pueden ordenarse de diversas maneras, pero el ordenamiento concreto no es relevante, y basta con utilizar una regla consistente para enumerar las permutaciones. A la i-ésima permutación del conjunto S se le denotará por Sipi(S). La permutación inversa de pi es la permutación pi-1 tal que pi-1(pi (S)) = S. El signo de la i-ésima permutación, σi , es positivo si la permutación se obtiene de un número par de intercambios binarios de elementos, y negativo si se obtiene de un número impar de intercambios binarios de elementos. Sea mpi el número de componente definido como

mpikpi(ζm)2k. (52)

Considerando estas convenciones, la expresión general para la m-ésima proyección de un tensor T(0,l) simetrizado en los índices con etiquetas S estará dada por

mP(SimS(TaIl))=naζms!i=1s!mpi-1Tapi(Yml), (53)

mientras que la antisimetrización correspondiente será

mP(AsimS(TaIl))=naζms!i=1s!σimpi-1Tapi(Yml). (54)

2.2.2. Productos y contracciones

Si se tienen dos tensores, A de tipo (0, lA ), y B de tipo (0, lB ), el producto tensorial de éstos estará dado por

(AB)alA+lB-1a0AalA+lB-1alBBalB-1a0. (55)

Entonces, la m-éstima componente de proyección estará dada por

m(AB)aYmlA+lB=mAAaYmAlA+2lBmBBaYmBlB, (56)

donde

mBkζmIlB2k,mA2-lB(m-mB).

La contracción de los índices con etiquetas j y k de un tensor TaIl, donde i,jIl, está dada por

gajakTaIl=hajak-najnakTaIl=m=02l-1naζmhajakmTaYml-najnaknaζmmTaYml (57)

y para preservar la consistencia de la notación, los índices se deberán volver a etiquetar en el orden estándar tras omitir los índices que se han contraído, es decir, aquellos con las etiquetas i y j. A esta transformación le denominaremos transformación de traza para los fines de esta sección.

Entonces, la m-ésima componente de proyección de una contracción será

m(gajakTaIl)=hbjbkm0Tal-3bjbka0-m0+2j+2kTYml-2, (58)

donde m0=κζm02κ, y ζm0 es el conjunto de índices que no incluye a los índices i o j, y que bajo la transformación de traza resulta en el conjunto ζm.

Por ejemplo, si se contraen los índices 0 y 2 de un tensor (0,4), la transformación de traza corresponde al siguiente mapeo:

10,      31.

Así, los conjuntos ζm que no incluyen ni a 0 ni a 2 (revisando la Tabla I del Apéndice 6.1) se transforman como

ζ0=ζ0=,ζ2={1}ζ1={0},ζ8={3}ζ2={1},ζ10={3,1}ζ3={1,0}.

Entonces, la expresión (58) en este caso produce

Ta1ba0b=hb2b00Ta1b2a0b0-5Ta1a0+na0hb2b02Ta1b2b0-7Ta1+na1hb2b08Tb2a0b0-13Ta0+na1na0hb2b010Tb2b0-15T. (59)

Para un tensor Ta1a0, la transformación de traza es trivial y se obtiene de manera inmediata la expresión

Tbb=T˜bb-T. (60)

Para construir la contracción de dos tensores, primero se calcula el producto tensorial de ambos, y después la contracción sobre los correspondientes índices. Sin embargo, una fórmula explícita en este caso no resulta de gran utilidad, ya que es más eficiente calcular esta contracción de manera directa.

Una aplicación que motiva expresiones como (56) y (58), y en general la introducción de una notación especial para todas las proyecciones, es que pueden ser implementadas computacionalmente para obtener expresiones 3+1, en principio, para cualquier tensor covariante, permitiendo manipulaciones de otro modo extenuantes.

Además, estas expresiones permiten obtener fórmulas útiles para aplicaciones típicas de este formalismo, como el cálculo del tensor de Ricci a partir del tensor de Riemann, mediante la expresión (59), obtenida directamente de (58).

3. Geometría Diferencial en el formalismo 3+1

La geometría intrínseca de la hipersuperficie se construye a partir de la métrica inducida hab sobre la hipersuperficie Σt , y su derivada asociada, Da , que cumple con la condición de compatibilidad con esta métrica,

Dahbc=0, (61)

así como la propiedad de no-torsión,

D[aDb]f=0, (62)

para toda función escalar f sobre Σt .

La curvatura intrínseca de Σt está caracterizada por el tensor de Riemann correspondiente a la métrica inducida sobre la hipersuperficie, que está definido por su acción sobre covectores tangentes como

(3)Rabcdω˜dDaDbω˜c-DbDaω˜c, (63)

y puede mostrarse 5 que consta de combinaciones de derivadas de hasta segundo orden de la métrica hab . Más adelante se mostrará su relación con el tensor de Riemann del espacio-tiempo.

Debe tenerse en cuenta que la geometría intrínseca de sólo una hipersuperficie no contiene la información sobre la geometría de todo el espaciotiempo, ya que, como es de esperarse de un sistema de ecuaciones diferenciales de segundo orden, se requiere como mínimo, la información del cambio de su geometría al pasar de una hipersuperficie a otra, o en otras palabras, la derivada de la métrica respecto al parámetro t. Esta información está contenida justamente en la curvatura extrínseca.

3.1. Curvatura extrínseca

Una forma de caracterizar la geometría del espaciotiempo en una región dada es en términos de una congruencia geodésica, que es una familia de geodésicas tipo tiempo tales que en cada punto de esa región pase una y sólo una geodésica de dicha familia. Tomando una geodésica de la congruencia como referencia, se describe el comportamiento de las geodésicas adyacentes al evolucionar de acuerdo al parámetro afín de la curva, es decir, su tiempo propio.

Los vectores tangentes a la congruencia conforman un campo ξa, que cumple con la ecuación geodésica,

ξaaξb=0, (64)

y es de norma constante,

ξaξa=-1, (65)

donde esto último implica que

ξbaξb=0. (66)

Considerando (64) y 66, se tiene que

Babaξb (67)

es un tensor ortogonal a ξa. Este tensor indica cómo cambian las geodésicas ante un desplazamiento infinitesimal en una dirección χa ortogonal a la congruencia, es decir,

χaaξb=χaBab. (68)

El teorema de Frobenius garantiza que si ξa es ortogonal a una subvariedad D - 1 dimensional, como una hipersuperficie de Cauchy, este tensor es también simétrico 5. Sea entonces una congruencia ortogonal a Σt , de modo que sobre ésta (y sólo sobre la hipersuperficie Σt ), na y ξa coincidan. ésto implica que las derivadas de ambos campos en cualquier dirección tangente a la hipersuperficie también coinciden.

Por lo tanto,

Kabhaccnb=haccξb=Bab|Σt, (69)

es un tensor simétrico y tangente a Σt al que se denomina curvatura extrínseca. Kab mide qué tanto deja de ser “normal” el vector na al transportarlo paralelamente sobre la hipersuperficie de un punto a otro punto cercano.

El tensor Kab contiene la información sobre la evolución de la métrica de una superficie a otra, ya que 2Kab es precisamente la derivada de Lie iv de la métrica inducida en la dirección de na , es decir,

Kab=12£nhab. (70)

4. Operadores derivada

Como se mencionó anteriormente, a la métrica inducida sobre Σt está asociada una derivada Dc que cumple con el requisito de compatibilidad métrica con hab , Ec. (61). Esta derivada está dada por la expresión

DcTak-1a0bl-1b0hak-1ak-1'ha0a0'hbl-1bl-1'hb0b0'hcc'c'Tak-1'a0'bl-1'b0'=haIkaIk'hbIlbIl'hcc'c'TaIk'bIl'=0cTak-1a0bk-1b0. (71)

Nótese que Da no es una derivada covariante del espacio-tiempo, pues sólo se comporta como derivada cuando actúa sobre campos tensoriales tangentes a la hipersuperficie, ya que para campos tensoriales que no son tangentes a Σt , en general no cumple con la regla de Leibniz, puesto que el campo tensorial resultante siempre es tangente a Σt . Por ejemplo, al actuar sobre naω̃b, se tiene

Dc(naω̃b)=haa'hbb'hcc'c'na'ω̃b'=Kcaω̃b(Dcna)ω̃b+naDcω̃b.

Esta derivada codifica la componente tangente de la variación de un tensor ante desplazamientos en una dirección tangente a la hipersuperficie, es decir, contiene la información disponible sobre la variación del tensor en términos de datos sobre la hipersuperficie.

Nótese que Kab es justamente la derivada de na asociada a la métrica inducida, es decir,

Kab=Danb=Dbna=D(anb). (72)

La descomposición 3+1 de la derivada covariante de una función escalar se puede expresar haciendo uso de la derivada recién definida mediante la Ec. (14), quedando

af=Daf+nađf, (73)

donde

đ-naa. (74)

El operador đ no es más que un “atajo” definido por conveniencia debido a la frecuencia con que en este formalismo aparece la derivada en la dirección normal naa.

Al aplicar đ a un tensor tangente, este no permanece tangente, por lo que es necesario volver a desarrollar sus proyecciones para recuperar una expression 3+1. Se utilizará el símbolo đ~ para indicar que después de aplicar đ, el tensor resultante se proyecta sobre Σt , es decir

đ~Tal-1a0hal-1al-1'ha0a0'đTal-1'a0'. (75)

En general, đTal-1a0 se puede separar en 2l proyecciones con componentes tangentes m(đTal-1a0).

Esta derivada está directamente relacionada con la derivada de Lie bajo el flujo de na, £n, cuestión que se aborda en el Apéndice 7.

Finalmente, siempre es posible realizar la sustitución

a=haa'a+nađ, (76)

que constituye informalmente la descomposición 3+1 del índice de la derivada covariante, pero es importante enfatizar que el segundo término del lado derecho todavía debe desarrollarse en forma 3+1 sobre sus demás índices cuando se aplica a un tensor para tener una expression 3+1, que será el tema de la siguiente sección.

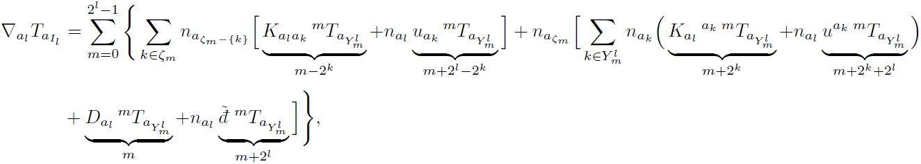
5. Separación 3+1 de las derivadas de tensores.

En esta sección se desarrolla la descomposición 3+1 de la derivada covariante de un tensor Tal-1a0. Ya que aparece con frecuencia, es conveniente definir el siguiente campo tangentev a Σt ,

uađna=-nbbna, (77)

de modo que la derivada covariante de na queda expresada en forma 3+1 como

anb=Kab+naub. (78)

El campo vectorial ua aparece en referencias como 4 y 1, generalmente en términos de la derivada del logaritmo de la función Lapsevi,

ua=-DalnN, (79)

o de la propia derivada de Lie de n, ya que se puede mostrarvii que

ua=-£nna. (80)

Físicamente, ua puede interpretarse (salvo por un signoviii) como la 4-aceleración de una familia de observadores, como se muestra en el Apéndice 7.

La derivada covariante de un tensor arbitrario incluye información tanto de la variación del tensor como de la curvatura del espaciotiempo, así que su expresión general en el formalism 3+1 debe incluir la derivada de la métrica inducida, es decir, la curvatura extrínseca, además de la propia variación del tensor sobre la hipersuperficie. Por este motivo, es necesario primero descomponer en forma 3+1 la derivada covariante de la métrica inducida,

ahbc=2Ka(bnc)+nan(buc), (81)

así como la del proyector haa',

bhaa'=naKba'+nbnaua'+Kbana'+nbuana'. (82)

A partir de la descomposición 3+1 de un tensor Tal-1a0, Ec. (48), se hace patente que primero es necesario expresar la derivada covariante de naζm=naz1naz2nazs en forma3+1. Aplicando la regla de Leibniz y la expresión (78) se obtiene

alnaζm=kζmnaζm-{k}[Kalakm-2k+naluakm+2l-2k]. (83)

Las etiquetas de las componentes de proyección resultantes indican, para el primer término dentro del paréntesis, que el k-ésimo índice, que antes era normal, ahora es tangente y por lo tanto corresponde a la componente de proyección con etiqueta m'=κζm-{k}2κ=m-2k, y para el segundo término ocurre lo mismo, salvo que en este caso, el índice que acompaña a la derivada covariante en la posición l ahora es normal y por ende se agrega 2l a la etiqueta de la componente.

Como además, cada componente de proyección es tangente, éstas se pueden desarrollar, redundantemente, como

mTaYml=haYmlaYml'mTaYml'=hay1ay1'haysays'mTay1'ays'. (84)

El motivo para realizar este desarrollo es que permite obtener automáticamente una expresión 3+1 al aplicar la derivada covariante a mTaYml, pues a partir de (82), y aplicando la regla de Leibniz, se obtiene

(85)

donde los términos de la segunda línea de se han cancelado en cada término puesto que los índices primados van contraídos con el tensor tangente mTaYml', y se ha empleado la sustitución (76).

A continuación se sintetiza el procedimiento de escribir la derivada covariante de un tensor arbitrario en forma 3+1. Al calcular la derivada covariante de la expansión 3+1 general, Ec. (48), se tendrá

alTaIl=alm=02l-1naζmmTaYml=m=02l-1[(alnaζm)mTaYml+naζmalmTaYml], (86)

y sustituyendo (83) y (85) en (86) se obtiene

donde al reagrupar los términos por componente queda finalmente la expresión

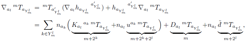
alTaIl=m=02l+1-1naζm{DalmTaYml+đ~m-2lTaYm-2ll+kζmIl(Kalakm-2kTaYm-2kl+uakm-2k-2lTaYm-2k-2ll)+kYml(Kalakm+2kTaYm+2kl+uakm+2k-2lTaYm+2k-2ll)}. (87)

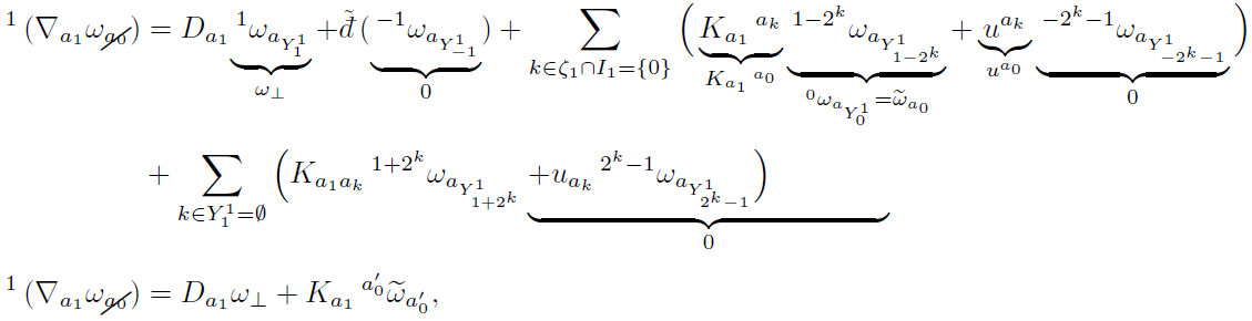
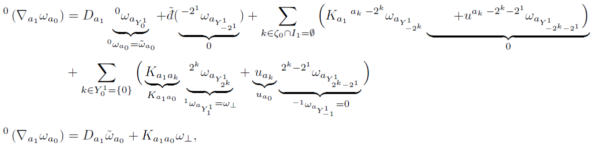
La fórmula (87) se puede aplicar, por ejemplo, para calcular la derivada de un covector. Para ello, se calcula cada componente de proyección por separado,

(88)

(89)

(90)

(91)

En estas expresiones, las componentes de proyección se muestran con los índices normales cancelados en el lado izquierdo para mantener la consistencia de la notación a ambos lados de la igualdad. Finalmente, al realizar la suma de los términos (88)-(91) de acuerdo con la expresión (87), se obtiene la descomposición 3+1 de la derivada covariante de un covector,

(92)

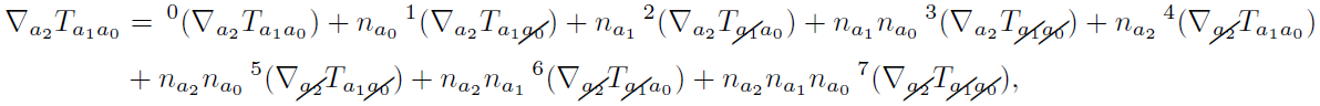
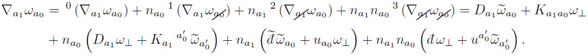
Utilizando este mismo procedimiento para un tensor de rango (0,2), se obtiene la descomposición 3+1 de a2Ta1a0,

(93)

donde sus componentes de proyección son

0(a2Ta1a0)=Da2T~a1a0+Ka2a0τ~`a1+Ka2a1τ~´a0, (94)

1(a2Ta1a0)=Ka2a0'T~a1a0'+Da2τ~`a1+Ka2a1T, (95)

2(a2Ta1a0)=Ka2a1'T~a1'a0+Da2τ~´a0+Ka2a0T, (96)

3(a2Ta1a0)=Ka2a1'τ~`a1'+Ka2a0'τ~´a0'+Da2T, (97)

4(a2Ta1a0)=đ~T~a1a0+τ~`a1ua0+ua1τ~´a0, (98)

5(a2Ta1a0)=ua0'T~a1a0'+đ~τ~`a1+ua1T, (99)

6(a2Ta1a0)=ua1'T~a1'a0+đ~τ~´a0+ua0T, (100)

7(a2Ta1a0)=ua1'τ~`a1'+ua0'τ~´a0'+đT. (101)

Aquí se ha empleado la notación de las Ecs. (29)-(34) para las componentes de proyección de Ta1a0.

En la siguiente sección se empleará el formalismo hasta aquí desarrollado para calcular los tensores de Riemann y Ricci del espaciotiempo en términos de los tensores de Riemann y Ricci sobre la hipersuperficie, así como la métrica inducida, el tensor de curvatura extrínseca y el campo de vectores normales y sus derivadas.

6. Tensores de curvatura y ecuación de Einstein

6.1. Tensor de Riemann

El tensor de curvatura de Riemann Rabcd se define 5 en términos de su acción sobre un campo de covectores ωd como

Rabcdωd=abωc-baωc. (102)

Este tensor caracteriza la curvatura de una variedad en el sentido de que su anulacion en cualquier región del espaciotiempo es condición necesaria y suficiente para la existencia de coodenadas en las que la metrica toma la forma minkowskiana (es decir, η=diag(-1,1,1,1)) en esa region 7, o en otras palabras, que el espaciotiempo en cualquier región es plano si y solo si en ella se anula el tensor de Riemann.

Tomando en cuenta que se está empleando la conexión métrica sin torsión, este tensor cumple con las siguientes propiedades,

Rabcd=-Rbacd, (103)

R[abc]d=0, (104)

Rabcd=-Rabdc, (105)

[aRbc]de=0, (106)

donde a (106) se le denomina identidad de Bianchi. A partir de estas propiedades, también se puede derivar la siguiente simetría para el tensor de Riemann covariante,

Rabcd=Rcdab. (107)

El procedimiento que se empleará para expresar el tensor de Riemann en forma 3+1 a partir de su definición, será el siguiente:

  • 1. Expresar en forma 3+1 al tensor Bbcdbcωd, donde ωd es un covector arbitrario.

  • 2. Antisimetrizar Bbcd sobre los índices b y c, de modo que se tiene

  • Rbcdeωe=2B[bc]d. (108)

  • 3. Considerando los casos en que ωe es tangente a Σt (es decir, cuando ω=0) y cuando es ortogonal (es decir, cuando ω˜e=0), se obtiene de las expresiones de las componentes de proyección de (108), la forma de algunas componentes del tensor de Riemann Rbcde.

  • 4. El resto de las componentes se obtienen a partir de las propiedades y simetrías del tensor de Riemann (103)-(107).

A continuación se detallan cada uno de estos pasos.

Retornando a la notación de índices usualix, la expresión para cωd está dada por (92), y sustituyendo la expresión para las componentes de este tensor en (93), se obtienen las componentes de proyección de Bbcdbcωd,

0Bbcd=DbDcω~d+DbωKcd+ωDbKcd+KbdKcd'ω~d'+KbdDcω+Kbcđ~ω~d+Kbcudω, (109)

1(Bbc)=Kbd'Dcω~d'+Kbd'Kcd'ω+ω~d'DbKcd'+(Dbω~d')Kcd'+DbDcω+Kbc(ud'ω~d'+đω), (110)

2(Bbd)=Kbc'Dc'ω~d+Kbc'Kc'dω+Dbđ~ω~d+(Dbω)ud+ωDbud+Kbdđω, (111)

3(Bb)=Kbc'Kc'd'ω~d'+Kbc'Dc'ω+Kbd'đ~ω~d'+ωKbd'ud'+ud'Dbω~d'+ω~d'Dbud'+Dbđω, (112)

4(Bcd)=đ~Dcω~d+Kcdđω+ωđ~Kc'd'+Kcd'ω~d'ud+(Dcω)ud+ucđ~ω~d+ωucud, (113)

5(Bc)=ud'Dcω~d'+ωKcd'ud'+ω~d'đ~Kcd'+Kcd'đ~ω~d'+đ~Dc'ω+uc(ud'ω~d'+đω), (114)

6(Bd)=uc'Dc'ω~d+ωKc'duc'+đ~2ω~d'+udđω+ωđ~ud+ud(ud'ω~d'+đω), (115)

7(B)=Kc'd'uc'ω~d'+uc'Dc'ω+ud'đ~ω~d'+ωud'ud'+ud'ω~d'+đω. (116)

El siguiente paso es antisimetrizar los primeros dos índices de Bbcd , en donde todas las proyecciones que son simultáneamente normales a Σt en los índices b y c se anulan, quedando el desarrollo 3+1 de B[bc]d como

B[bc]d=B˜[bc]d+1B[bc]nd+n[b4Bc]d-n[b2Bc]d+(n[b5Bc]-n[b3Bc])nd, (117)

siendo las componentes de proyección relevantes,

0B[bc]d=12(3)Rbcdeω˜e+ωD[bKc]d+Kd[bKc]d'ω˜d', (118)

1B[bc]=K[bd'Kc]d'ω+ω˜d'D[bKc]d'+D[bDc]ω, (119)

4Bcd-2Bcd=đ~Dcω~d-Dcđ~ω~d+ucđ~ω~d+Kcd'ω~d'ud-Dd'ω~d+ωđ~Kcd-Dcud+ωucud-Kcc'Kc'd, (120)

5Bc-3Bc=ω~d'(đ~Kcd'-Dcud')+đ~Dcω-Dcđω+(ucud'-Kcc'Kc'd')ω~d'+ucđω-Kcc'Dc'ω. (121)

Donde (3)Rbcde es el tensor de Riemann correspondiente a la metrica inducida sobre la hipersuperficie, previamente definido en (63). Las demás componentes de proyección se obtienen de intercambiar índices y signos, a partir de estas componentes, de modo que se puede reescribir (108) como

Rbcdeωe=B˜bcd-B˜cbd+(1Bbc-1Bcb)nd+nc(2Bbd-4Bbd)+(3Bb-5Bb)ncnd+nb(4Bcd-2Bcd)+nb(5Bc-3Bc)nd. (122)

Las componentes de proyección del tensor de Riemann serán entonces,

Rbcde=R˜bcde+1Rbcdne+2Rbcend+3Rbcndne+4Rbdenc+5Rbdncne+6Rbencnd-nb(4Rcde+5Rcdne+6Rcend), (123)

notando que se trata de un tensor de rango (1,3), por lo que para emplear las expresiones (118)-(121) considerando la etiqueta de componente que les asigna la expresión (122), es necesario incrementar en uno el valor posicional de todas las componentes, re-etiquetando cada una de ellas de acuerdo con la regla

m=kζm2km'=q+kζm2k+1,

donde q = 0 ó q = 1 dependiendo de si ωe es tangente u ortogonal a la superficie, respectivamente. Por ejemplo, tomando la componente de proyección m = 0 de B[bc]d , (118), se obtienen las componentes de proyección m' = 0 y m' = 1. Explícitamente, cuando el covector es tangente, ωe=ω˜e y ω=0, al sustituir en (118) se tiene

0Rbcdeω˜e=212(3)Rbcde+Kd[bKc]eω˜e,

y de aquí que,

0Rbcde=(3)Rbcde+2Kd[bKc]e. (124)

Nótese que esta ecuación se puede reescribir como

(3)Rabcd=R˜abcd-KacKbd+KbcKad. (125)

A esta ecuación se le denomina primera relación de Gauss-Codacci, y relaciona al tensor de Riemann de la métrica inducida sobre la hipersuperficie, que representa a la curvatura intrínseca de Σt , el tensor de curvatura extrínseca y el tensor de Riemann de la métrica del espaciotiempo.

Cuando el covector es ortogonal, ω˜e=0, ωe=neω, y al sustituir en (118) se obtiene

hbb'hcc'hdd'Rb'c'd'e(-ne)ω1Rbcdω=-2D[bKc]dω,

de donde se lee

1Rbcd=DcKbd-DbKcd. (126)

Siguiendo un procedimiento análogo para las demás componentes de proyección de Bbcd , se obtienen las siguientes componentes de proyección del tensor de Riemann,

2Rbce=DbKce-DcKbe, (127)

5Rbd=đ~Kbd-Dbud+ubud-Kbb'Kb'd, (128)

6Rbe=-đ~Kbe+Dbue-ubue+Kbb'Kb'e. (129)

El último paso es obtener las componentes de proyección faltantes a partir de las proyecciones (124)-(129). Las componentes de proyección 3Rbc y 7Rb se cancelan idénticamente debido a que las propiedades (103) y (107) implican para estas proyecciones la antisimetrización de índices nulos. Asimismo, aplicado directamente la propiedad (107), se obtiene la componente con etiqueta m = 4,

4Rbde=hef1Rdfb=DeKbd-DdKbe, (130)

y el resto de las componentes se pueden obtener a partir de la propiedad (103),

8Rcde=-4Rcde (131)

9Rcd=-5Rcd (132)

10Rce=-6Rce (133)

11Rc=-7Rc=0. (134)

Con esto concluye el desarrollo 3 + 1 del tensor de Riemann, pues se han expresado todas las componentes de proyección presentes en (123). Las componentes de proyección que no aparecen en (123) son idénticamente nulas debido a las simetrías del tensor de Riemann.

6.2. Tensor de Ricci y escalar de curvatura

A partir del desarrollo 3 + 1 del tensor de Riemann, es directa la expresión 3 + 1 del tensor de Ricci,

Rbd=Rbcdc, (135)

gracias a la fórmula (59),

Rbcdc=R˜bcdc-5Rbd+nd2Rbcc-7Rb+nb8Rcdc-13Rd+nbnd10Rcc-15R. (136)

Sustituyendo las expresiones (124)-(134), se obtiene finalmente

R~ab=(3)Rab+KabK-đ~Kab-uaub+Daub, (137)

R~b1Rb=2Rb=DbK-DcKbc, (138)

R=đK-Daua+uaua-KabKab. (139)

A la Ec. (138) se les denomina segunda relación de Gauss-Codazzi porque relaciona el tensor de curvatura extrínseca de la hipersuperficie con el tensor de curvatura de Ricci del espaciotiempo.

Gracias a la fórmula (60), se obtiene inmediatamente una expresión en términos de los objetos del formalism 3 + 1 para el escalar de curvatura de Ricci,

RRaa, (140)

es decir,

R=(3)R+K2-2uaua+2Daua-2đK+KabKab. (141)

6.3. Ecuación de Einstein

Considerando la descomposición del tensor de Ricci, Ecs. (138), (139), (137), y del escalar de curvatura, (141), se puede expresar el tensor de Einstein

Gab=Rab-12gabR, (142)

en forma 3 + 1,

G~ab=(3)Gab+KKab-12habK+habucuc-Dcuc-12KcdKcd+Daub-uaub, (143)

G~a=DaK-DbKab, (144)

G=123R+K2-KabKab. (145)

Suponiendo que la separación 3 + 1 para el tensor momento energía es de la forma,

Tab=Sab+j(anb)+nanbρ,

donde Sab , ja y ρ son respectivamente el tensor de esfuerzos, el vector de flujo de densidad de momento y la densidad de energía de la materia en el marco de los observadores Eulerianosx, se tiene que la ecuación de Einstein

Gab=8πGNTab, (146)

equivale a las ecuaciones

8πGNSab=(3)Gab+KKab-12habK+habucuc-Dcuc-12KcdKcd+Daub-uaub, (147)

8πGNja=DaK-DbKab, (148)

8πGNρ=12(3)R+K2-KabKab. (149)

Como las Ecs. (148) y (149) representan condiciones para la métrica inducida y sus derivadas en cada hipersuperficie, a menudo se les denomina ecuaciones de constricción. Éstas resultan de especial interés puesto que son más fáciles de resolver que el sistema completo (146), y, para campos de materia apropiados, la existencia de dichas soluciones sobre una hipersuperficie Σ garantiza, dada la existencia de una buena formulación de valores inicialesxi, la existencia y unicidad de una solución para todo el espaciotiempo.

7. Conclusiones

En este trabajo se ha presentado una reseña de los aspectos generales del formalism 3 + 1, y se han introducido convenciones y notación especialmente adaptadas para éste, que facilitan el tratamiento sistemático de todas las proyecciones involucradas y la manipulación de expresiones de uso frecuente en Relatividad General.

Haciendo uso de éstas herramientas se han derivando fórmulas explícitas y generales para productos tensoriales (56), simetrización (53), antisimetrización (54) y contracción de índices (58), así como para la derivada covariante (87). Asimismo, se han obtenido todas las proyecciones del tensor de Riemann (124)-(134), del tensor de Einstein (143)-(145), y las relaciones de Gauss-Codacci (125)-(138).

Agradecimientos

Agradecemos los comentarios y sugerencias del revisor anónimo que han permitido mejorar este manuscrito. Este trabajo ha sido apoyado por los proyectos CONACYT No. 220738 y DGAPA-UNAM IG-100316.

Referencias

1. E. Gourgoulhon, 3+1 Formalism in General Relativity: bases of numerical relativity, Lecture Notes in Physics vol. 846 (Springer-Verlag, Berlin Heidelberg, 2012). [ Links ]

2. R. Arnowitt, S. Deser, and C.W. Misner, Phys. Rev. 117 (1960) 1595. [ Links ]

3. R. Arnowitt, S. Deser, and C.W. Misner, The Dynamics of General Relativity in Gravitation: an introduction to current research, editado por Louis Witten (Wiley, New York, 1962). [ Links ]

4. M. Alcubierre, Introduction to 3+1 numerical relativity, International series of monographs on physics (Oxford Univ. Press, Oxford, 2008). [ Links ]

5. R.M. Wald, General Relativity (University of Chicago Press, Chicago, 1984). [ Links ]

6. A.N. Tsirulev, Theor. Math. Phys. 102 (1995) 245. [ Links ]

7. R.D. Richtmyer, Principles of Advanced Mathematical Physics, vol. 1 (Springer-Verlag, Berlin Heidelberg, 1981). [ Links ]

8. S.W. Hawking, and G.F.R. Ellis, The Large Scale Structure of Space-Time, Cambridge Monographs on Mathematical Physics (Cambridge University Press, New York, 1973). [ Links ]

9. S.V. Kowalevsky, Journal für die reine und angewandte Mathematik 80 (1875) 1. [ Links ]

i En el Apéndice E se incluye una exposición más precisa de lo que significa contar con una buena formulación de valores iniciales en Relatividad General, y las condiciones que se requieren para ello.

ii Ver por ejemplo 6.

iii En el Apéndice F se tabulan todos los conjuntos de índices necesarios para desarrollar tensores hasta de cuatro índices.

iv Ver Apéndice B.

v Nótese que ua es tangente a Σt debido a que na es de norma constante.

vi Ver Apéndice C.

vii Ver Apéndice B.

viii El signo de ua se ha escogido para que en los siguientes desarrollos todos los términos tengan signo positivo.

ix En esta sección se regresa a la notación usual de índices abstractos ya que la notación empleada en la sección anterior en este caso es innecesariamente general. No obstante, se conserva la nomenclatura para las componentes de proyección derivada de esta notación.

x Una reseña sobre los observadores Eulerianos y el significado físico de las componentes de proyección del tensor momento energía de acuerdo a ellos se encuentra en el Apéndice A.

xi Ver Apéndice E.

xii Un mapeo suave que es uno a uno, sobreyectivo y con mapeo inverso suave.

xiii Coordenadas xμ tales que Hμgabab(xμ)=0.

xiv Teorema 10.2.2 de Wald 5.

Appendix

A. Observadores Eulerianos

Al considerar una foliación del espaciotiempo por hipersuperficies de Cauchy Σt , el campo de vectores normales a cada una de estas hipersuperficies na , unitario y tipo tiempo puede interpretarse como el campo de velocidades de un conjunto de observadoes en cada punto del espaciotiempo, a los que se les denomina observadores Eulerianos 1. Estos observadores toman por superficie de simultaneidad justamente a cada Σt .

La relación entre el tiempo propio medido por estos observadores y el cambio de la función tiempo t, es justamente la función lapse. Más formalmente, considérese la trayectoria de uno de estos observadores, la cual será una curva λ:RM que, parametrizada por el tiempo propio τ, y que introduciendo coordenadas xμ , cumple con

nμ=dxλμdτ.

Si se toma x0 = t, se tiene que

n0=dtdτ=na(dt)a=naat=1N.

Por lo tanto, naa corresponde a la derivada respecto al tiempo propio de esta familia de observadores, de modo que la 4-aceleración de los observadores es justamente

Aanbbna=-ua,

que es tangente a cada Σt .

Para los observadores Eulerianos, las diferentes componentes de proyección del tensor momento energía de cualquier forma de materia, Tab , son directamente la densidad de energía de materia,

ρnanbTab=T,

la densidad de momento de la materia,

ja-nbhaa'Ta'b=τ̃a,

y el tensor de esfuerzos de la materia,

Sabhaa'hbb'Ta'b'=T˜ab.

B. Mapeos y derivada de Lie

Un mapeo ϕ:MN induce un nuevo mapeo que permite identificar (o transportar) tensores tangentes a M, con tensores tangentes a N. En el caso N=M, y para vectores en el espacio tangente a p, vaTpM, el mapeo correspondiente es el push-forward, ϕ*:TpMTϕ(p)M, que en términos de la acción de vectores sobre funciones está definido por la regla

(ϕ*va)(f)va(fϕ), (B.1)

y para covectores, el mapeo ϕ*:Tϕ(p)*MTp*M se denomina pull-back, y está dado por

(ϕ*ωa)(va)ωa(ϕ*va), (B.2)

por lo que en general se define para tensores (k, l), Ta1akb1bl, el pullback ϕ*Ta1akb1bl mediante la regla

(ϕ*Ta1akb1bl)ωa1ωakvb1vblTa1akb1bl(ϕ*ωa1)(ϕ*ωak)([ϕ-1]*vb1)([ϕ-1]*vbl). (B.3)

La derivada de Lie de un campo tensorial Ta1akb1bl, respecto a un campo vectorial va que genera un grupo uniparamétrico de difeomorfismosxii ϕτ se define como 5

£vTa1akb1bllímτ0ϕ-t*Ta1akb1bl-Ta1akb1blτ, (B.4)

y da como resultado un campo tensorial del mismo rango que Ta1akb1bl. Esta cantidad se puede interpretar como el cambio infinitesimal del campo Ta1akb1bl a lo largo del flujo de ϕt.

Nótese que la derivada de Lie de un campo tensorial respecto a un campo vectorial va , sólo está bien definida en un punto dado q si el campo tensoriales está definido en una vecindad de q que contenga un intervalo de la curva integral de va que pasa por dicho punto. Por lo tanto, en términos de una foliación por hipersuperficies de Cauchy, para calcular la derivada de Lie de un campo tensorial respecto a un campo vectorial tipo tiempo, es necesario que el campo esté definido no sólo en la hipersuperficie donde se está evaluando su derivada, sino también en las hipersuperficies que contengan una vecindad infinitesimal de la hipersuperficie en cuestión.

Una expresión general para la derivada de Lie de un campo tensorial Ta1akb1bl es 5,

£vTa1akb1bl=vccTa1akb1bl                                  -i=1kTa1cakb1blcvai                                  +j=1lTa1akb1cblbjvc. (B.5)

A partir de la fórmula (B.5), y de la definición de la derivada normal de la Sec. 4, Ec. (74), se obtiene directamente que la relación entre éstas derivadas es

đTa1akb1bl=-£nTa1akb1bl-i=1kTa1cakb1bl(Kcai+ncuai)+j=1lTa1akb1cbl(Kbjc+nbjuc), (B.6)

siendo ua=đna y Kab=Danb.

Por ejemplo, para el caso del propio campo de covectores na , (B.6) implica que

uađna=-£nna+nc(Kac+nauc)=-£nna,

lo que prueba la Ec. (80).

El resultado (81) de la Sec. 5 implica que

đhab=-ncchab=-nc(Kcanb+Kcbna+ncnaub+ncnbua)=naub+nbua,

lo cual se puede sustituir en el lado izquierdo de la fórmula (B.6) para obtener

naub+nbua=-£nhab+hcb(Kac+nauc)+hac(Kbc+nbuc),=-£nhab+2Kab+naub+nbua£nhab=2Kab,

que prueba la Ec. (70). Más aún, el lado derecho de la expresión puede escribirse completamente en términos de las derivadas de Lie de na y hab , pues

ua=hacuc=-hac£nnc,Kab=hbcKac=12hbc£nhac,

es decir,

đTa1akb1bl=-£nTa1akb1bl-i=1kTa1cakb1blhaid(12£nhcd-nc£nnd)+j=1lTa1akb1cblhcd(12£nhbjd-nbj£nnd). (B.7)

ésto muestra la conveniencia de recurrir a la derivada normal đ para la manipulación de expresiones 3 + 1, ya que evita escribir varios términos que incluirían combinaciones de derivadas de Lie.

C. 4-aceleración y la función Lapse

El campo ua=đna, proporcional a la 4-aceleración de los observadores Eulerianos, también puede expresarse en términos de la derivada tangente a la hipersuperficie de la función Lapse, DaN. La prueba que aquí se presenta sigue el desarrollo correspondiente en la Ref. 1. A partir de la Ec. (26), se despeja la derivada de t,

at=-naN.

A continuación se sustituye en la propiedad de no torsión de la derivada 5, aplicada a la función tiempo,

abt=bat, (C.1)

y se desarrolla, quedando

-nbNaN+naub=-naNbN+nbua. (C.2)

Al contraer (C.2) con -nahcb, se obtiene la Ec. (79),

uc=-1NDcN=-DclnN.

D. Perspectiva tridimensional

A partir de las nociones de la sección 2, es posible establecer una relación entre la subvariedad ΣtM, y una variedad tridimensional Σ^ con la misma topología. Para ello, considere un mapeo suave ϱ:MΣ^ con la propiedad de ser invariante ante el mapeo ϕτ generado por el campo ta de la Sec. 2, es decir,

ϱ(ϕτ(p))=ϱ(p),pM,τR. (D.1)

Nótese que cualquier difeomorfismo sobre Σ^ define un nuevo mapeo ϱ' con la misma propiedad, por lo que un mapeo de este tipo no será único.

Como ϱ mapea todos los puntos de una curva γp(τ) al punto ϱ(p)Σ^, no es única la noción de mapeo inverso para ϱ, pues existe una infinidad de funciones ρ:Σ^M tales que ϱ(ρ(q))=q.

Esta ambigüedad se puede resolver si se toma en cuenta el valor de la función global de tiempo t, y se utiliza como un parámetro externo para los objetos en Σ^, de modo que éstos “evolucionen” respecto a t. Con este fin, se escoge una hipersuperficie Σt0 correspondiente a cierto valor t0 de referencia para la función t (no necesariamente t0 = 0), y se define Φt0:Σt0Σ^ como

Φt0(p)=ϱ(p).

Este mapeo es un difeomorfismo, así que tiene un mapeo inverso bien definido, Φt0-1, y de este modo se puede definir el siguiente mapeo invertible,

Ψ:MR×Σ^,p(t(p),ϱ(p)), (D.2)

Ψ-1:R×Σ^M,(τ,q)ϕτ-t0[Φt0-1q]. (D.3)

A partir de Ψ y Ψ-1, se induce el push-forwardΨ* de vectores de TM, al espacio tangente a R×Σ^, y el pullback(Ψ-1)* que transporta covectores del espacio cotangente a la variedad hacia el espacio cotangente de R×Σ^. éstos mapeos se generalizan para tensores arbitrarios evaluando sobre vectores y covectores según corresponda, tal como en la Ec. (B.3) del Apéndice 7.

En términos de coordenadas yi sobre Σ^, con i = 1, 2, 3, el mapeo ϱ:MΣ^ se expresa en términos de las tres funciones ϱi tales que

ϱi(p)yi(ϱ(p)),

con lo que la condición (D.1) se reescribe como

taaϱi=Naaϱi+Nnaaϱi=0.

Entonces, el push-forwardΨ* de un vector se escribe como

Ψ*va=(vNt,[v~b-vNNb][bϱi][yi]a). (D.4)

Esta expresión representa un elemento del espacio tangente a R×Σ^, por lo que su primera entrada es un vector unidimensional y la segunda entrada un vector tridimensional.

Aquí se esclarece el papel que juega el vector shift: indica qué tanto se desplazan las proyecciones tangentes de vectores al representarlos en el espacio tangente a la variedad tridimensional Σ^ bajo el mapeo Ψ*.

E. Formulación de Valores Iniciales

Un sistema hiperbólico cuasilineal, diagonal y de segundo orden es un sistema de ecuaciones diferenciales para los campos ϕi, con i = 1, …, n, de la forma

gμν(ϕj,μϕj)μνϕi=Fi(ϕj,μϕj). (E.1)

Si se considera una solución particular para los campos (ϕ0)i, en la que (M,(g0)μν[(ϕ0)j,μ(ϕ0)j]) es un espaciotiempo globalmente hiperbólico, entonces, un sistema de la forma (E.1) cuenta con una buena formulación de valores iniciales en el siguiente sentido. Dado el conjunto de datos ϕi|Σ y nρρϕi|Σ sobre una hipersuperficie de Cauchy Σ, suficientemente cercanos a los correspondientes para la solución (ϕ0)i, existe una vecindad abierta O de Σ en la que existe una solución única para (E.1), y esta solución depende continuamente de los valores iniciales ϕi|Σ y nρρϕi|Σ.

Los detalles de este enunciado pueden encontrarse en 5 (Teorema 10.1.3), mientras que una prueba más completa se encuentra en 8. Este teorema es una generalización del teorema de Cauchy-Kovalevskaya 9 sobre la existencia y unicidad de soluciones de sistemas de ecuaciones diferenciales.

Una vez que se escogen coordenas armónicasxiii, las ecuaciones de Einstein en el vacío se pueden escribir como un sistema de la forma (E.1), tomando como los campos ϕi a las componentes de la métrica en estas coordenadas, gμν.

Empleando la formulación 3 + 1, se parte de este resultado para mostrar quexiv, dada una variedad tridimensional suave Σ, una métrica hab sobre ésta, y Kab un tensor suave simétrico en Σ, que satisfacen las Ecs. de constricción (148) y (149) en el vacío, existe un espaciotiempo único (M,gab), denominado el desarrollo maximal de Cauchy de (Σ, hab , Kab ), que satisface:

    (i). (M,gab) es una solución de la ecuación de Einstein (146) en el vacío.

    (ii). (M,gab) es globalmente hiperbólico con superficie de Cauchy Σ.

    (iii). La métrica inducida y curvatura extrínseca en Σ son, respectivamente, hab y Kab .

    (iv). Cualquier otro espaciotiempo que satisface (i)-(iii) puede mapearse isométricamente a un subconjunto de (M,gab), y la solución gab depende continuamente de los datos iniciales (hab , Kab ) en Σ.

Para el caso de las ecuaciones de Einstein con materia, la existencia de una buena formulación de valores iniciales depende críticamente del tipo de materia que se considere, en especial de las ecuaciones de movimiento que ésta obedezca y de la forma que tenga su tensor de momento energía Tab .

En general, si la materia consiste de campos ϕi que satisfacen una ecuación del tipo (E.1) y si Tab depende solamente de los campos ϕi y sus primeras derivadas, así como de la métrica del espaciotiempo gab y sus primeras derivadas, entonces las ecuaciones de Einstein para el sistema conjunto de los campos y la métrica tendrá la forma (E.1) y por ende existirá una buena formulación de valores iniciales 5.

Algunos casos de campos de materia para los que existe una buena formulación de valores iniciales para las ecuaciones de Einstein son:

  • El campo escalar ϕ que cumple la ecuación de Klein-Gordon,

    (gabab-m2+ξR)ϕ=0. (E.2)

  • El campo vectorial Aa que cumple con las ecuaciones de Maxwell

    gaccFab=0, (E.3)

    donde Fab2[aAb].

  • El fluido perfecto con ecuaciones de estado P=P(ρ)apropiadas, a pesar de no ser un sistema del tipo (E.1) 5,8.

Una discusión más amplia sobre los tipos de materia que permiten contar con una buena formulación de valores iniciales en Relatividad General, se puede consultar en la Ref. 8, a donde dirigimos a los lectores interesados en profundizar en este tema.

Es importante enfatizar que, en el caso más general, no está garantizada la existencia de una buena formulación de valores iniciales, especialmente si la materia no obedece ecuaciones lineales o cuasi-lineales. Además, si un espaciotiempo (o una región abierta de éste) no es globalmente hiperbólico, no se contará con una buena formulación de valores iniciales en el sentido previamente expuesto.

F. Conjuntos de etiquetas de índices

Tabla I. Conjuntos de etiquetas para 1, 2, 3 y 4 índices. 

Recibido: 29 de Agosto de 2017; Aprobado: 14 de Diciembre de 2017

Creative Commons License Este es un artículo publicado en acceso abierto bajo una licencia Creative Commons