Introducción
Los sistemas de riego subterráneos se originaron como una alternativa para mitigar los problemas de drenaje y pérdidas por altas tasas de evaporación del agua de riego, cuya investigación formal inició en California, EUA, hace más de 30 años (Ayars et al., 2015). Ahora hay varios tipos de riego subterráneo, tecnología desarrollada para disminuir la evaporación directa del suelo y lograr el máximo control sobre el contenido de humedad en la zona más activa de la raíz. De esta forma se obtiene un ahorro considerable del agua para riego, aspecto importante porque la mayor limitante para la producción agrícola en zonas áridas es la disponibilidad de agua (Montemayor et al., 2012). En el mundo, 72 % del agua disponible se destina a la agricultura mediante diversos sistemas de riego (FAO, 2007), y el riego por goteo subterráneo (RGS) enfrenta varios problemas técnicos, entre los que destacan la obstrucción o taponamiento por partículas finas o materia orgánica y el daño por roedores (Payero et al., 2005).
Según Molden et al. (2010), existe un margen amplio para mejorar la productividad del agua en los cultivos, con sistemas de riego que puedan inplementarse, como el riego suplementario, riego deficitario, riego de precisión, cultivos hidropónicos, acuaponia, riego con coberturas, invernaderos, prácticas de conservación de suelo-agua y riego subterráneo. La aplicación de residuos orgánicos o coberturas tipo mulch, consistente en rastrojo de arroz sobre la superficie del suelo donde se ubica la manguera de goteo, es satisfactoria en el cultivo de uva y aumenta el uso eficiente del agua (Zhang et al., 2014).
Respecto al RGS, Ayars et al. (1999) después de 15 años de investigación reportan un aumento significativo en el rendimiento y eficiencia en el uso de agua en algodón, maíz y melón. Además, el mismo sistema mantiene la superficie de suelo seca, lo cual contribuye de manera significativa al control de plantas arvenses, reduce la lixiviación de NO3 comparado con el riego superficial y se obtienen mayores rendimientos, porque el agua y nutrientes llegan a la parte más activa de la zona de raíces (Thompson et al., 2009). Según Camp et al. (1993), la instalación de mangueras para micro-irrigación debajo de la zona de labranza y con amplio espaciamiento hace más rentable el riego suplementario de hortalizas. En Brasil, Dos Santos et al. (2016) realizaron un experimento en cultivo de caña de azúcar con sistemas de riego subterráneo donde la línea regante estuvo a 0.20 y 0.40 m de profundidad; este sistema RGS instalado a 0.20 m proporcionó las mejores condiciones de contenido de humedad en las capas del suelo, lo cual favorece un adecuado equilibrio de agua y oxígeno en las raíces. En México, un sistema de riego subterráneo ahorró 27.4 % de agua de riego, comparado con uno superficial (Montemayor et al., 2006).
Por lo anterior y con los resultados de las investigaciones citadas, el objetivo de nuestro estudio fue evaluar la cantidad de agua que se pierde por evaporación en tres sistemas de riego, dos de ellos mediante aporte superficial y un sistema de riego subterráneo.
Materiales y Métodos
Descripción del sitio experimental
El experimento se realizó en el Campo Agrícola Experimental del Centro de Investigaciones Biológicas del Noroeste S.C (CIBNOR) en el Comitán, Baja California Sur, México, a 17 km al oeste de la Ciudad de La Paz, en 24° 8’ 9.47” N y 110° 25’ 41.35” O. El experimento se realizó en dos períodos en el mismo sitio; el primero fue del 24 al 29 de septiembre de 2015 y el segundo del 18 al 23 de enero de 2016. Tres sistemas de riego en campo abierto (Montemayor et al., 2006) se usaron para evaluar la evaporación directa de suelo desnudo con dos sistemas superficiales y uno subterráneo. El diseño experimental fue completo al azar con arreglo en franjas, con tres tratamientos y tres repeticiones, donde cada repetición corresponde a 1 m de longitud. La separación entre sistemas de riego fue 2 m y entre repeticiones 1 m (Figura 1).
Clima de la zona de estudio
El clima es de zonas áridas, la clasificación climática según García (2004) es BW(h’)w, el cual corresponde a un clima muy seco, cálido, con lluvias en verano. Las normales climatológicas indican una temperatura máxima mensual de 39.8 °C en agosto, mínima de 11.2 °C en enero y promedio anual de 23.7 °C; la evaporación potencial máxima mensual es 248.3 mm en julio, mínima 96.0 en diciembre y acumulada anual 2084.5 mm. La precipitación total anual es 169.2 mm, con máximos 37.2 y 58.4 mm en agosto y septiembre, respectivamente (SMN, 2016).
Instalación de sistemas de riego
La separación entre líneas regantes o emisores fue 1 m y la separación entre los sistemas de riego fue de 2 m. El riego se proporcionó añadiendo agua a un deposito instalado sobre una plataforma colocada a 1 m de altura, de donde se distribuyó a través de una manguera conectada a cada emisor. En la Figura 2 se muestran los tres sistemas después del primer riego.
Riego localizado en zanjas (RZ)
El primer sistema de riego fue 1 m de zanja o surco con pendiente de 0.5 %; el interior de la zanja se trazó en forma de triángulo con taludes de 19.6 cm, tirante de 5.0 cm y 38 cm en la parte superior, que es la base del triángulo. El agua se aplicó en la parte más alta de la zanja mediante un micro tubo de PVC negro de 3 mm de diámetro interior y 5 mm de diámetro exterior, el cual aportó un caudal de 12 L h-1. El sistema RZ simula el riego por goteo convencional realizado con goteros tipo botón (goteros independientes), en el cual los agricultores usan una manguera lisa de 16 a 20 mm de diámetro interior donde colocan goteros con separaciones que ellos deciden, por lo común con 3 a 4 emisores por árbol (Figura 2A).
Riego subterráneo por difusores (RSD)
Para el sistema de riego RSD se instaló un tubo de PVC sanitario de 5.08 cm de diámetro interior y 1 m de longitud, colocado horizontalmente a 20 cm de profundidad. En uno de los extremos del tubo se coloca un tapón con una ranura vertical de 4 cm y en el otro extremo se acopla un codo sanitario de 90° del mismo diámetro para conectar la sección subterránea del difusor horizontal con la superficie del suelo y la atmósfera mediante un segmento de tubo de 30 cm de longitud del mismo tipo y diámetro. A través del segmento del difusor expuesto se aporta agua mediante un micro tubo de 3 mm de diámetro interior (Figura 2B). El segmento horizontal del difusor mide 1 m de longitud y tiene ranuras de 4 cm cada 8.2 cm en ambos lados, de manera que al colocarlo en el suelo las ranuras se exponen de forma vertical; desde el punto de vista hidráulico, la parte inferior del tubo funciona en forma de canal. Para su operación, el interior del tubo se llena con gravilla de 3 a 7 mm de diámetro para favorecer el flujo de agua e impedir el ingreso de partículas de suelo finas al difusor. El sistema RSD se compara con sistemas de riego convencionales para mostrar sus ventajas al minimizar la evaporación directa del suelo.
Riego por goteo con cinta (RGC)
El tercer sistema de riego (RGC) fue un segmento de 1 m de cinta de riego marca Netafim® modelo Streamline 16060 con goteros cada 20 cm fabricados para un flujo máximo de 1.1 L h-1. El caudal por gotero se calibró en 0.40 L h-1, menor al caudal nominal debido a que la presión proporcionada a la cinta de riego fue de 1 m de columna de agua (MCA) equivalente a 0.1 kg cm-2 (1.42 PSI), la cual es menor a la presión nominal, indicada en 10 MCA. Este método simula el sistema de riego por goteo con cinta, que es el sistema más usado por los agricultores que tienen riego presurizado y utilizan cintas o manguera con goteros instalados equidistantemente (Figura 2C).
Para relacionar la evaporación de agua directa del suelo con los elementos del clima, en ambos períodos del experimento se tomaron datos de temperatura ambiental, del suelo y la evaporación potencial (Eo) con evaporímetro tipo “A”. Los datos climáticos se obtuvieron de una estación meteorológica automática marca Davis® modelo Vantage Pro2 (EUA), instalada en el Campo Agrícola Experimental del CIBNOR. La temperatura de suelo se tomó con un termómetro digital portátil marca Yokogawa® modelo 2455 (Japón), el cual tiene un dispositivo electrónico que interpreta la señal que emite un sensor tipo termopar soportado por una varilla de acero inoxidable de 4.8 mm de diámetro.
Después de instalar los sistemas de riego se proporcionó un riego de 10 L m-1 para humedecer el suelo a capacidad de campo (CC); al considerar una distancia de un metro entre surcos, dicho volumen unitario corresponde a una lámina de riego de 10 mm (equivalente a 100 m3 ha-1). La primera muestra de suelo se tomó 15 min después del riego y la segunda se tomó 24 h después. Al terminar el segundo muestreo se realizaron dos muestreos adicionales cada dos días, para un total de cuatro muestreos. Este proceso fue similar en ambas fechas, septiembre de 2015 y enero de 2016.
Muestreo del suelo
Para tomar muestras de suelo se usó una barrena de media caña (Figura 3) con la cual se extrae un núcleo de suelo de 2.5 cm de diámetro, lo que permite separar la muestra en fracciones de 5 cm; cada sección de la muestra se colocó en un frasco de vidrio pesado y etiquetado. Cada muestreo se realizó a profundidades de 0 a 5, 5 a10, 10 a15 y 15 a 20 cm para determinar el contenido de humedad; se obtuvieron 4 muestras por repetición y 12 por tratamiento, para un total de 36 muestras por fecha de muestreo. Después de cada muestreo se obtuvo el porcentaje de humedad de cada muestra por medio del método gravimétrico, el cual consiste en pesar la muestra húmeda, secarla en estufa por 24 h a 105 °C, pesar la muestra seca y obtener el porcentaje de humedad tomando como referencia el peso del suelo seco. Mediante este proceso se determinó el porcentaje de humedad de cada sistema de riego y repetición.
Caracterización del suelo
La textura del suelo se determinó con analizador laser marca Horiba (Japón), según el método de granulometría descrito por Lewis (1984); la materia orgánica (MO) se cuantificó con el método AS-07 de la Norma Oficial Mexicana NOM-021-SEMARNAT-2000 (DOF, 2002), según Walkley y Black (1934); el pH se determinó mediante el método AS-02, y la conductividad eléctrica (CE) por el método AS-18 de la citada NOM. La capacidad de campo (CC), punto de marchitez permanente (PMP) y densidad aparente (Da) se determinaron según los métodos sugeridos por Ortiz-Villanueva y Ortiz-Solorio (1990).
Determinación de la humedad en el suelo
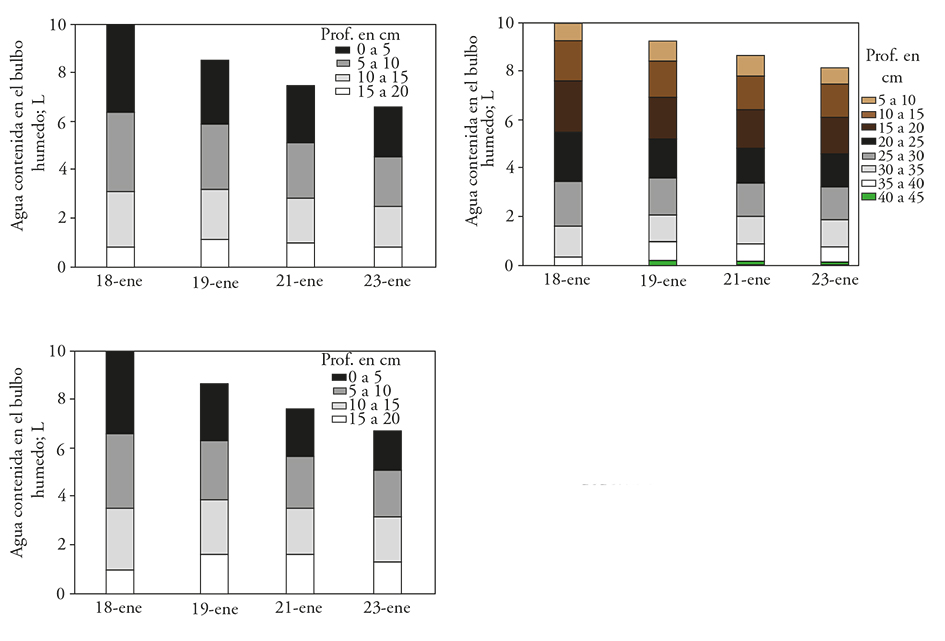
El contenido de agua expresado en L por profundidad para cada sistema de riego fue calculado a partir de los datos de porcentaje de humedad y densidad aparente del suelo, para ello se tomó en cuenta la forma del bulbo húmedo (Figuras 4, 5 y 6). Las imágenes se digitalizaron con las mediciones realizadas en campo, para lo cual se utilizó el programa Autocad 2005 (Yarwood, 2005). Con dichas imágenes se obtuvo un gráfico de contorno del bulbo húmedo fraccionado por aéreas de igual porcentaje de humedad.
Análisis estadísticos
Los datos de pérdida de humedad se analizaron estadísticamente con el programa Excel 2007 y se usó ANDEVA de una vía mediante el programa PAST (Hammer, 2001). Las diferencias entre medias de tratamientos fueron determinadas mediante la diferencia mínima significativa (DMS) con p≤0.01 y p≤0.05.
Resultados y Discusión
El suelo del área de estudio es de textura arenosa franca, con 81.6, 17.5 y 0.9 % de arena, limo y arcilla. El perfil de 0 a 40 cm consiste en un suelo con contenido 0.7 % MO, pH alcalino 8.8, CE 0.4 dS m-1 y Da 1.40 g cm-3; los valores de CC y PMP fueron 13 y 4 %, respectivamente.
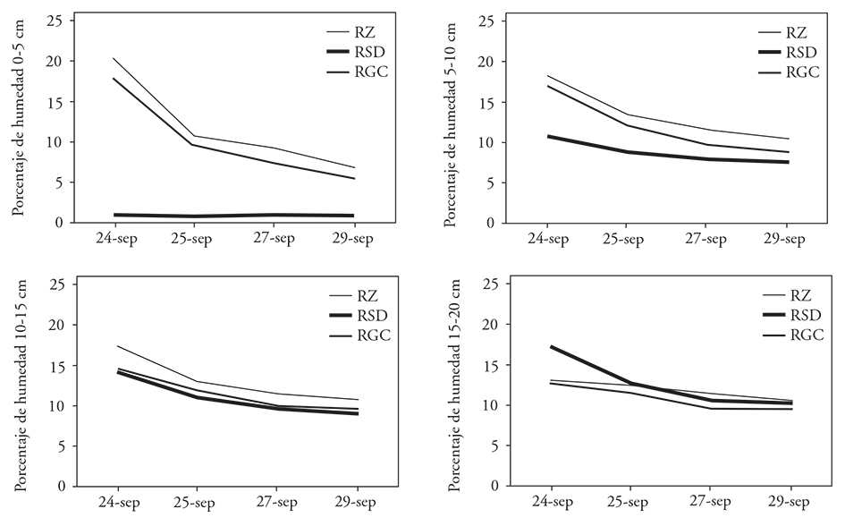
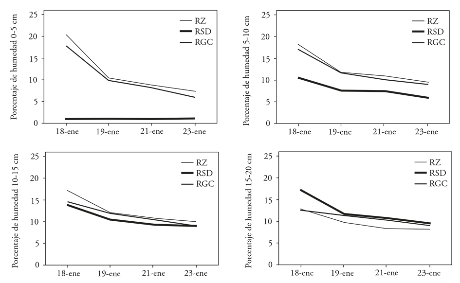
La evaporación potencial (Eo) para la primera y segunda fecha fue 6.32 y 2.82 mm d-1, respectivamente. El contenido de humedad del suelo expresado en porcentaje se muestra en los Cuadros 1 y 2. Los resultados corresponden a cuatro profundidades y cuatro fechas, para cada experimento; en la parte inferior de cada cuadro se muestra la pérdida de humedad acumulada en los períodos observados. La evaporación del suelo desnudo después del primer riego ocurrió con mayor intensidad durante las primeras 24 h y después disminuyó de manera paulatina (Figuras 7 y 8).
Cuadro 1 Porcentaje de humedad del suelo, a cada profundidad, sistema de riego y fecha, con pérdida de humedad acumulada: 24 a 29 de septiembre de 2015
Debido a que el bulbo húmedo es dinámico, su forma geométrica y contenido de humedad cambian gradualmente a medida que el suelo pierde agua, por lo cual las imágenes fueron diferentes para cada día de muestreo. La lámina evaporada para cada sistema de riego evaluado durante el experimento se calculó considerando una distancia entre líneas regantes de 1 m (Figuras 9 y 10).
Cuadro 2 Contenido de humedad del suelo a cada profundidad, tratamiento y fecha, con pérdida de humedad acumulada; 18 a 23 de enero de 2016.

Figura 7 Porcentaje de humedad en el suelo a cuatro profundidades después de aplicar 10 L por m en cada unidad experimental; 24 a 29 de septiembre de 2015.

Figura 8 Porcentaje de humedad en el suelo a cuatro profundidades después de aplicar 10 L por m en cada unidad experimental; 18 a 23 de enero de 2016.
Al estimar la evaporación del suelo desnudo en relación a la evaporación potencial tomando como referencia el área del bulbo húmedo, se encontró que la evaporación fue mayor durante las primeras 24 h después del riego, la cual corresponde al 85 % de la evaporación potencial en el sistema de RZ, 50 % para el RSD y 90 % para el RGC. Además, los porcentajes fueron similares en ambas fechas del experimento (septiembre de 2015 y enero de 2016). Al expresar la evaporación en m3 h-1 y considerando una distancia de 1 m entre surcos, para el periodo del 24 al 29 septiembre de 2015 se observa que durante las primeras 24 h la evaporación fue 22.80 m3 ha-1 en el sistema RZ, 15.10 en RSD y 30.30 en RGC. Debido a que la pérdida por evaporación disminuyó paulatinamente hasta el último día observado, la evaporación entre el día 4 y 5 posterior al riego fue 3.75 m3 ha-1 para RZ, 2.95 para RSD y 3.10 para RGC. En el periodo del 18 al 23 de enero de 2016, durante las primeras 24 h posteriores al riego la evaporación fue 13.3 m3 ha-1 en RZ, 8.0 en RSD y 14.5 en SRG. Después, la pérdida por evaporación para el último día observado entre el día 4 y 5 después del riego, fue 4.45 m3 ha-1 para RZ, 2.50 para RSD y 4.40 para RGC, lo cual se muestra en el Cuadro 3.
Cuadro 3 Pérdida por evaporación directa de suelo desnudo con tres sistemas de riego, posterior a un riego de 10 L m-1 equivalente a 100 m3 ha-1.
En todos los casos la pérdida por evaporación fue menor en el RSD, la diferencia entre el RSD y RZ fue 30 % en septiembre de 2015 y 41 % en enero de 2016. La diferencia entre RSD y RGC fue 44 %, y el resultado fue semejante en ambos períodos de experimentación. Estos datos son similares a los de Meshkat et al. (2000), quienes compararon el RGC con un sistema de goteo subterráneo que consistió en colocar un tubo en el suelo, sacar el núcleo de suelo y rellenarlo con arena gruesa, lo cual permitió colocar el agua bajo la superficie, y la diferencia de evaporación entre el sistema superficial y el subterráneo fue 39.8 %. Montemayor et al. (2006) usaron maíz forrajero para comparar riego por goteo superficial y subterráneo, y encontraron que el riego subterráneo da un ahorro de 27.4 %. Este resultado es inferior al encontrado en nuestra investigación y también al reportado por Meshkat et al. (2000). Tal diferencia puede obedecer a que el cultivo de maíz proyecta sombra sobre la superficie del suelo, lo que favorece la disminución de la evaporación directa del suelo, efecto más marcado en las últimas etapas del cultivo. Godoy et al. (2005) compararon el riego por goteo subterráneo con 6 laterales por cada línea de árboles contra riego por gravedad (inundación) en nogal pecanero, en Matamoros, Coahuila, y reportan 30.6 % de ahorro del volumen de agua respecto al sistema subterráneo.
La distribución del agua en el perfil del suelo por capas se muestra en las Figuras 11 y 12, para cada sistema de riego durante el periodo observado (120 h después del riego). La mayor cantidad de agua en el suelo se depositó en las primeras capas, de 0 a 10 cm, en los sistemas superficiales, y de 10 a 30 cm de profundidad en el sistema subterráneo. Con la distribución del agua por capas se puede explicar la diferencia de evaporación entre los sistemas superficiales y el sistema de aporte subterráneo porque en el subterráneo el agua está menos expuesta a los elementos del clima y estaría forma más resguardada. La ubicación y tamaño del bulbo húmedo del RSD es mayor respecto a los sistemas superficiales, ya que el movimiento del agua en el suelo es radial, por lo cual el bulbo es de mayor volumen pero con menor contenido de humedad con la misma cantidad de agua, de tal forma que en el suelo se consigue un mejor equilibrio entre agua y oxígeno para el cultivo.

Figura 11 Distribución del agua contenida en el suelo por profundidad en tres sistemas de riego, septiembre de 2015. A: RZ; B: RSD; C: RGC.

Figura 12 Distribución del agua contenida en el suelo por profundidad en tres sistemas de riego, enero de 2016. A: RZ; B: RSD; C: RGC.
Análisis estadístico
La pérdida de humedad fue calculada por diferencia entre la primera y la última muestra de cada capa a partir de los datos originales. Los datos se agruparon por capas, formando cuatro grupos, y para el análisis estadístico se consideraron los datos de las tres repeticiones por cada tratamiento. Los datos de humedad del suelo fueron analizados por profundidad (0-5, 5-10, 10-15 y 15-20 cm), a los cuatro grupos de datos se aplicó la prueba de normalidad de Barlett y se encontró que corresponden a una población normal, por lo cual se aceptó la hipótesis nula (Ho) de similitud de varianza para todos los grupos analizados. Después de dicha prueba, los datos fueron analizados con Excel y se calculó la suma de cuadrados totales y la suma de cuadrados de tratamientos. Con esa información se realizaron los ANDEVA de una sola vía con p≤0.05 y p≤0.01 y después las medias se compararon con DMS (p≤0.05 y p≤0.01) (Cuadros 4 y 5).
Cuadro 4 Resumen de ANDEVA y comparación de medias de pérdida de humedad; período del 24 a 29 de septiembre de 2015.

*p≤0.05; **p≤0.01.
Cuadro 5 Resumen de ANDEVA y comparación de medias de pérdida de humedad; período del 18 al 23 de enero de 2016.

*p≤0.05; **p≤0.01
Para el período de septiembre de 2015, de 0 a 5 cm las diferencias fueron altamente significativas (p≤0.01): el tratamiento con menor evaporación fue RSD y el de mayor evaporación fue RZ. De 5 a 10 cm las diferencias también fueron altamente significativas (p≤0.01): el tratamiento con menor evaporación fue RSD, mientras que RZ fue similar al RGC (p>005). De 10 a 15 cm, los resultados fueron similares (p>005). De 15 a 20 cm los resultados mostraron diferencias significativas (p≤0.05), donde RZ y RGC tuvieron menor evaporación, pero similares entre si (p>0.05), y el riego con mayor pérdida fue RSD (p≤0.05).
Para enero de 2016, en la profundidad 0 a 5 cm los resultados muestran diferencias altamente significativas (p≤0.01): el tratamiento con menor evaporación fue RSD y RZ fue similar a RGC (p>0.05). De 5 a 10 cm hubo diferencia significativa (p≤0.01), y el tratamiento con menor evaporación fue RSD, mientras que RZ fue estadísticamente similar a RGC. A su vez, de 10 a 15 cm los tres sistemas fueron similares (p>0.05). En contraste, de 15 a 20 cm de profundidad hubo diferencias significativa (p≤0.05), y los sistemas con menor evaporación y estadísticamente similares fueron RZ y RGC, mientras que la mayor pérdida se observó en RSD.
Allen et al. (2006) estiman pérdidas por evaporación directa del suelo de 28.95 % del volumen total de agua para riego de cultivos perennes, de acuerdo con la distribución cuantitativa anual de la evapotranspiración según FAO (2007). A manera de ejemplo, al aplicar los resultados obtenidos en los tres sistemas de riego en un cultivo que requiere 7000 m3 ha-1 en un año, las pérdidas por evaporación del suelo estimadas serían 2026.5 m3. En este caso, al considerar una aportación de 7000 m3 ha-1 calculada para un sistema RGC, con los sistemas RSD y RZ se requerirían 6106 y 6712 m3, con un ahorro de agua estimado de 44 % para RSD y 14 % para RZ, en relación a la fracción del agua que se pierde por evaporación directa del suelo.
Temperatura del suelo
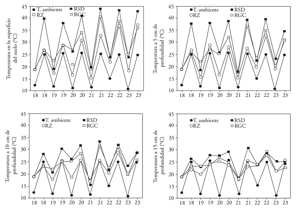
Durante el experimento se midió la temperatura del suelo en los sistemas de riego a tres profundidades (5, 10 y 15 cm) y las temperaturas ambiente (máxima y mínima) para cada día a las 8:30 AM y 2:00 PM. Los valores de máxima y mínima ambiental fueron 36.1 y 24.9 °C en septiembre de 2015, las cuales bajaron a 26.2 y 10.4 °C en enero de 2016; en ambos períodos la temperatura máxima se presentó de 14:00 a 16:00 h (Figuras 13 y 14). La variación de la temperatura del suelo a diferentes profundidades reflejó una tendencia similar al contenido de humedad en las mismas. En septiembre de 2015, la mayor temperatura en la superficie del suelo (57.7 °C) se observó en RSD y la menor (44.1 °C) en RZ, lo cual es esperable por la humedad que aporta este sistema, y RGC mostró un valor intermedio (51.9 °C); a 5 cm de profundidad fue mayor en RGC (47.4 °C) que en RSD (46.5 °C) y RZ (35.0 °C). A 10 cm la diferencia de temperatura del suelo entre sistemas disminuyó notoriamente, y el máximo (35.1 °C) fue para RGC y el mínimo (32.0 °C) para RZ. De manera similar, a 15 cm RGC mostró la máxima (32.6 °C) y RZ la mínima (29.3 °C). En ambas profundidades de 10 y 15 cm, RSD mostró valores intermedios (33.9 y 32.2 °C). En enero de 2016 RSD tuvo la máxima en superficie (42.8 °C) y a 5 cm (34.9 °C), donde RZ y RGC registraron temperaturas similares. A 10 y 15 cm las diferencias de temperatura del suelo entre los tres sistemas se redujeron considerablemente: RSD y RZ con temperaturas similares, medias de 28.9 y 125.0 °C, y RGC presentó mínimas de 25.9 y 22.4 °C.
La temperatura de suelo es importante como indicador del contenido de humedad en el suelo y de la cantidad de agua que el suelo entrega a la atmosfera. En un viñedo de 12 ha irrigado con riego por goteo superficial, Kerridge et al. (2013) compararon la temperatura de la superficie del suelo entre hileras (suelo seco) y dentro de hileras de plantas (suelo húmedo) por medio de un método para estimar la evaporación del suelo. Dicho método se basa en una función lineal del cambio de temperatura de la superficie del suelo; concluyeron que la aplicación de la temperatura de la superficie del suelo es un método promisorio para estimar la evaporación directa del suelo, mediante el uso de sensores permanentes distribuidos en el viñedo para el registro sistemático de datos diarios.
Conclusiones
Al comparar los tres sistemas de riego, la evaporación del riego subterráneo por difusores fue la de menor magnitud, y la diferencia es considerable en la pérdida de agua por evaporación de suelo desnudo entre el riego subterráneo y los sistemas superficiales. La mayor diferencia en temperatura fue en las profundidades de 0 a 10 cm en los sistemas superficiales comparados con el riego subterráneo, lo cual confirma los resultados porque con una mayor evaporación hay mayor influencia en el cambio de temperatura. Nuestro estudio muestra una clara ventaja del riego subterráneo respecto a los riegos por goteo convencionales, para la conservación del agua en sistemas agrícolas de zonas áridas.










texto en 












