Introducción
El desarrollo de carreteras y caminos como vías de comunicación, transporte de materiales y personas, son parte de la infraestructura para poder cubrir las necesidades de las sociedades humanas (Geneletti, 2003; Torres et al., 2016). Ha habido un aumento drástico de esta infraestructura en las últimas décadas, a tal grado que su densidad y los impactos ecosistémicos generados han requerido estudios diseñados exprofeso para poder cuantificarlos (Riitters y Wickham, 2003; Torres et al., 2016; Venter et al., 2016). Esta situación se reconoce con la formación de la disciplina de “ecología de carreteras” que en las últimas dos décadas ha generado gran cantidad de literatura desde un punto de vista ecológico (van der Ree et al., 2015). La infraestructura de transporte afecta la composición, estructura y función de los ecosistemas e induce cambios en las poblaciones de fauna basados en tres mecanismos principales: disminución en 1) conectividad de hábitats y 2) calidad de hábitat y 3) aumento en atropellamientos (Coffin, 2007; Teixeira et al., 2020). Otros efectos incluyen la alteración física y química del hábitat, efectos de borde, modificación del comportamiento animal, mayor acceso de humanos y cacería furtiva (Trombulak & Frissell, 2001; Benítez-López et al., 2010). La muerte por atropellamiento no está homogéneamente distribuida en las carreteras, suele concentrarse en ciertas zonas para diferentes grupos taxonómicos, ya que está determinada por la distribución espacial de los recursos (van der Ree et al., 2015). Animales con locomoción lenta y los que cruzan habitualmente las carreteras muestran un riesgo mayor de morir atropellados (Coffin, 2007). Por ejemplo, la presencia de humedales en las inmediaciones de las carreteras aumenta el atropellamiento de anfibios y reptiles (Langen et al., 2009). Existe también contaminación ambiental por ruido, la luz artificial nocturna (Laurance et al., 2009; Shannon et al., 2016) así como por las emisiones generadas por los vehículos y residuos de llantas y frenos y, que incluso puede afectar la tasa de reproducción de los organismos (Benítez-López et al., 2010; Morelli et al., 2014; Teixeira et al., 2020). Por lo tanto, existe un potencial de alteración en la migración y acceso a recursos de los organismos, así como en las dinámicas tróficas y biogeoquímicas de los ecosistemas que puede llevar a la reducción del tamaño de poblaciones, así como de los procesos hidrológicos en la dinámica del paisaje (Trombulak & Frissell, 2001; Teixeira et al., 2020).
La mayoría de los efectos reportados son negativos, como la reducción de poblaciones y ausencia de especies cerca de las carreteras o en paisajes con una alta densidad de ellas por la mortalidad elevada generada por colisiones. Se afecta un amplio espectro de especies con características funcionales diferentes por los múltiples procesos causantes (Laurance et al., 2009). Los grupos taxonómicos más afectados son anfibios y reptiles, además de mamíferos y aves grandes con rangos hogareños amplios y con tasas de reproducción bajas (Rytwinski & Fahrig, 2012; Morelli et al., 2014). Los anfibios se encuentran entre los grupos más vulnerables porque su baja velocidad de movimiento y necesitan migrar a cuerpos de agua para su reproducción, aumentando su mortalidad (Benítez & Escalona-Segura, 2021). Una revisión sistemática de efectos para mamíferos y aves a nivel global mostró que sus poblaciones disminuyen significativamente en áreas próximas a las carreteras, con excepción de las aves rapaces (Benítez-López et al., 2010). Estas disminuciones se han detectado a una distancia más grande desde las carreteras para mamíferos que para aves. En los dos grupos, los efectos negativos cubren una distancia mayor en ecosistemas no forestales que en forestales. En el caso de los mamíferos existe un amplio rango de distancias: mamíferos pequeños fueron afectados en algunos metros de distancia de las carreteras, mientras que mamíferos grandes mostraron poblaciones reducidas hasta por varios cientos de metros de distancia (Benítez-López et al., 2010). En ecosistemas relativamente intactos, se ha encontrado que los caminos afectan la actividad de depredadores, ya que su actividad se concentra en ellos, sobre todo en el caso de cánidos, resultando en un patrón de aumento no lineal respecto a la proximidad de caminos (Raiter et al., 2018). Para el neotrópico se han estimado tasas más altas para aves grandes y mamíferos medianos con una reproducción rápida, que además usan un amplio rango de hábitats, incluyendo zonas antropizadas (especies generalistas). También la alimentación tiene un efecto en mamíferos, donde los carroñeros y los que comen invertebrados son más afectados (Medrano-Vizcaíno et al., 2022).
El atropellamiento representa la afectación más directa y fácil de reconocer, lo que se refleja en los datos cuantitativos disponibles para un metaanálisis: el atropellamiento fue el único efecto que fue posible analizar en este estudio. A nivel global mueren decenas de millones de animales anualmente y en algunos países, los atropellamientos de fauna podrían ser más relevantes para la mortalidad de vertebrados que la caza (Forman & Alexander, 1998; Coffin, 2007, Benítez & Escalona-Segura, 2021). El efecto de barrera involucra varios mecanismos que impiden o restringen el libre movimiento de la fauna: a) bloqueo del movimiento, que ocurre cuando la fauna no puede superar la barrera física de la vía; b) atropellamiento, que a su vez concentra los efectos: 1) mortalidad por atracción, que se refiere a la fauna que es atraída por las condiciones ambientales de la vía y es atropellada; y 2) mortalidad incidental, que se refiere a la fauna que no es atraída por la vía pero que es atropellada cuando el tráfico coincide con sus patrones de movimiento (Benítez & Escalona-Segura, 2021b). Al igual que la abundancia y la actividad de la fauna, el aumento en la intensidad de circulación está relacionado con el efecto de barrera, y del aumento en la probabilidad de atropellamientos (Forman & Alexander, 1998; Trombulak & Frissell, 2000).
El efecto de carreteras en fauna silvestre ha sido estudiado en diferentes partes del mundo. El conocimiento acumulado en las últimas décadas a nivel global está concentrado en Europa, Estados Unidos y Canadá, con un enfoque en vertebrados, como lo demuestran las revisiones cuantitativas existentes (Benítez-López et al., 2010; Torres et al., 2016). En Latinoamérica hay una tendencia histórica al alza y una planeación para expandir este tipo de infraestructura en los próximos años (Meijer et al., 2018; UNEP, 2022), tendencia que va a hacerse más fuerte con las necesidades de impulsar la economía en Latinoamérica después de la pandemia de SARS-CoV-2. Un reflejo de la importancia económica también demuestra el arribo de la iniciativa China Belt and Road en esta parte del mundo (Stevenson, 2018). Los ecosistemas tropicales son especialmente vulnerables a los impactos por poseer muchas especies especialistas que evitan espacios abiertos, además de que con las carreteras se abren regiones a la colonización y explotación (Laurance et al., 2009). Hasta el momento no se conocen los efectos cuantitativos de la infraestructura en la biodiversidad en los neotrópicos, ya que las tres revisiones existentes no presentan un metaanálisis. Las tres revisiones cualitativas generalizan las interpretaciones originales: González-Gallina y Benítez-Badillo (2013) presentan una visión histórica sobre la red de carreteras en México y la falta de políticas de mitigación de impactos y la falta de implementación de las existentes, sin seguir un protocolo sistemático. Pinto et al. (2020)) aplica un protocolo sistemático de búsquedas y presenta esultados cualitativos, tomando en cuenta el tipo de carreteras (número de vías), el grupo taxonómico (vertebrados) y el nivel biológico (genes hasta ecosistema), pero no responde una pregunta particular, ni aplica técnicas de metaanálisis. El único trabajo cuantitativo existente para la región no evalúa el impacto de las carreteras en animales, sino estima la vulnerabilidad y mapea el riesgo de atropellamiento de las especies, a partir de una compilación de datos de atropellamientos y características funcionales de las especies, preferencia de hábitat y la ubicación geográfica sin usar técnicas de metaanálisis (Medrano-Vizcaíno et al., 2022).
Sin datos cuantitativos no es posible entender la magnitud del impacto de las carreteras en biodiversidad y tomar decisiones acordes. En los últimos años ha habido avances en la conceptualización y las metodologías aplicadas en revisiones de literatura para asegurar resultados transparentes, y de calidad que puedan ser la fuente para recomendaciones para el manejo y la toma de decisiones basadas en evidencia (Gurevitch et al., 2018). Se han desarrollado protocolos para asegurar que se reporten los aspectos que se deberían publicar en revisiones sistemáticas y metaanálisis (Moher et al., 2009; O´Dea et al., 2021). Una parte deseable de una revisión sistemática consiste en un metaanálisis, la síntesis cuantitativa de resultados (Urrútia & Bonfill, 2010; Gurevitch et al., 2018). Para que los estudios primarios puedan aportar datos cuantitativos para un metaanálisis, tienen que cumplir con ciertos criterios de calidad. Los estudios que omiten información detallada pero clave en métodos, resultados o figuras, como p.ej. deficiencias en cómo se reportan las estadísticas, el área de estudio y el diseño experimental, no se proveen unidades, sólo se reportan resultados significativos, etc. no pueden ser considerados para un metaanálisis (Gerstner et al., 2017).
Una revisión de impactos de las carreteras en los trópicos (Laurance et al., 2009) demuestra que el conocimiento existente no puede trasladarse y aplicarse a otros países y ecosistemas. Esto significa que no es posible mejorar el manejo y la planeación de la infraestructura sin tener información sintetizada de acuerdo con las características ambientales y de infraestructura carretera en el neotrópico. Por lo anterior, el objetivo inicial de esta revisión sistemática fue evaluar el efecto que tiene la presencia de infraestructura carretera en la pérdida de biodiversidad de forma diferencial para grupos taxonómicos y ecosistemas. Durante la búsqueda y revisión inicial de los estudios primarios existentes, se hizo aparente que todavía hay una gran laguna de datos cuantitativos y la pregunta particular que surgió fue ¿Cómo analizar con los datos disponibles el efecto del aforo vehicular y la distancia a poblados en el atropellamiento de fauna? El atropellamiento es el único tipo de impacto que fue posible analizar, ya que no hay más variables cuantitativas compartidas entre las diferentes publicaciones revisadas. Dada esta situación, también se incluyó una evaluación de la calidad de datos reportados en los estudios, de acuerdo con los criterios de Gerstner et al. (2017). Basado en lo reportado por otras revisiones (Seiler & Hellding, 2006, Coffin, 2007; Benítez-López et al., 2010, González-Gallina & Benítez-Badillo, 2013, Pinto et al., 2020, Medrano-Vizcaíno et al., 2022) y la disponibilidad de datos. En este estudio probamos las siguientes hipótesis: 1) el aforo vehicular tiene un efecto en el atropellamiento y 2) este efecto varía según grupos taxonómicos, así como 3) la proximidad a asentamientos humanos aumenta el atropellamiento de animales en las carreteras en el neotrópico.
Materiales y métodos
Para esta revisión de literatura se siguieron guías metodológicas formales para las etapas de búsqueda, revisión, extracción de datos y metaanálisis (Urrútia & Bonfill, 2010; Gurevitch et al., 2018), aplicando el protocolo PRISMA (Moher et al., 2009). Este protocolo consiste en una serie de pasos y criterios a seguir (Fig. 1) para poder desarrollar una revisión sistemática y, dependiendo de la cantidad y calidad de la información encontrada, un posterior metaanálisis. Además, se aplicó el marco DPSIR (por sus siglas en inglés) para establecer las relaciones cualitativas entre las variables encontradas en la literatura.
Búsqueda de literatura. El objetivo fue realizar una búsqueda extensiva de literatura en inglés y español de estudios en el área neotropical que cuantificaron cómo la infraestructura carretera afecta la biodiversidad con datos in situ. Se llevaron a cabo búsquedas con palabras clave como “infraestructura” “carreteras” “biodiversidad” “impacto” “colisiones” “atropellamiento”, ya sea en el título o en el resumen (búsqueda completa en Anexo 1), en distintas plataformas (Google Scholar, JSTOR, Science Direct, Scopus, Springer-Link, ISI Web of Knowledge, REDALyC, Scielo, Dialnet y repositorios de tesis digitales). No se limitó la búsqueda por grupos taxonómicos, ni por año de publicación. Otra alternativa para poder encontrar estudios que se encuentran publicados, fue la técnica conocida como “paper trail”, la cual consiste en revisar la bibliografía de los estudios seleccionados, y revisar su bibliografía por estudios relevantes que no aparecen como resultados arrojados por las plataformas de búsqueda.
Criterios de selección de estudios. La revisión de la literatura se basó en tres criterios jerárquicos (título, resumen, texto completo). Para asegurar que el artículo contuviera datos de interés para el objetivo del estudio los criterios fueron: 1) estudios en ecosistemas terrestres; 2) que los datos hayan sido obtenidos a partir de observaciones en campo y con muestras independientes entre sí; 3) y que reportaran datos de muerte por atropellamiento asociada a la presencia de infraestructura carretera, para cualquier grupo taxonómico de vertebrados. Finalmente, se revisó la calidad de los datos en métodos y resultados siguiendo el modelo PRISMA. Hay que aclarar que se incluyó el estudio de Puc et al. (2013) a pesar de ser una revisión de la literatura por contener un estudio en el Istmo de Tehuantepec que por ser un reporte técnico no se encuentra en los resultados de la búsqueda sistemática.
Análisis de datos. Para conocer el efecto de la infraestructura carretera sobre la muerte por atropellamiento de vertebrados terrestres se utilizaron dos estrategias de metaanálisis diferentes. En la primera se ajustaron modelos lineales para conocer el efecto del aforo vehicular, tipo de ecosistema y la distancia al poblado más cercano del sitio de estudio sobre el total de individuos atropellados, sin importar el taxón. El total de organismos fallecidos de cada estudio fue transformado a log10 para obtener una distribución normal de los residuos del modelo lineal ajustado. Las variables explicativas de este modelo se obtuvieron directamente de los estudios, además se rellenaron algunos datos para los estudios en México con datos faltantes del aforo vehicular de la página de la Secretaría de Comunicaciones y Transportes (Secretaría de Comunicaciones y Transportes, 2019). En el caso de la distancia al poblado más cercano y el tipo de ecosistema, los datos se obtuvieron a partir de la ubicación geográfica reportada para los atropellamientos en los artículos y la ubicación de los poblados en Google Earth. Cabe destacar que no fue posible obtener datos sobre el aforo vehicular de cada tramo de carretera en todos los países y así el análisis de aforo vehicular sólo incluye registros para México (11), Brasil (5), Argentina (1) y Costa Rica (1). Además, no fue posible analizar el efecto del tipo de carretera, la velocidad máxima o la densidad de carreteras, ya que en el primer caso los estudios sólo reportaban carreteras de 1-2 carriles pavimentados, velocidades máximas de 90 y 110 km/h y la densidad de carreteras no fue reportada en los estudios primarios (Anexo 2).
El segundo análisis fue un análisis de moderadores que provee un índice de heterogeneidad que evalúa el efecto del taxón sobre el número de individuos atropellados. Para ello se usó como medida de efecto la proporción de individuos atropellados por taxón a través de la siguiente fórmula:
Donde pcia es la proporción de individuos atropellados por taxón de interés (p.ej. aves, reptiles, mamíferos); iat es el número de individuos atropellados de un taxón y tia es el total de individuos atropellados de todos los taxones del estudio (Anexo 3).
Como la variable independente tiene una relación multiplicativa con la variable dependiente por ser logarítmica, en contraste con la relación aditiva en modelos sin una variable logarítmica, entonces es necesario de expresar los efectos del incremento en la variable independiente como un porcentaje en la variable dependiente.
Cabe mencionar que a pesar de que solo se encontraron 69 estudios, muchos de ellos consideraron a más de un grupo de vertebrados, por lo que para el análisis se consideró cada taxón como independiente, resultando en más de 69 observaciones para cada análisis. Todos los análisis estadísticos y modelos fueron realizados con el programa R, versión 3.6.1 (R Core Team 2012), empleando los paquetes “stats”, “metafor” y “ggplot2” (v2.4-0; Viechtbauer 2010; Wickham, 2016). No fue posible calcular una media global de atropellados por no contar las publicaciones primarias con experimentos de control, un insumo necesario para generar un índice estandarizado. Por falta de varianza en los datos disponibles, no fue posible analizar el tipo de ecosistema, ni diferencias entre diferentes tipos de carreteras.
Resultados
La búsqueda de literatura arrojó 3,689 títulos de estudios, de los cuales se excluyeron 1,661 que no cumplieron con los criterios de selección en título, palabras clave y resumen (Fig. 1). Otros estudios se omitieron porque consistían en simulaciones y creaciones de modelos para tratar de evaluar afectaciones potenciales sin reportar datos in situ. De los 69 estudios seleccionados, 40 (61%) estudios fueron resultado de la búsqueda tipo paper trail y solamente 26 estudios fueron encontrados con las búsquedas sistemáticas.
Las publicaciones abordan un periodo de 2005 a 2022 y la distribución temporal de las publicaciones muestra que antes del 2010, se publicó 1 estudio al año, mientras que para el periodo 2010-2020 este número aumentó a 3-7 estudios. En los últimos dos años considerados en esta revisión, hay otro aumento muy fuerte, con 9-10 publicaciones por año (Fig. 2), representando 29% de todos los estudios encontrados. El país con más estudios es Brasil 19, seguido de México 15 y Colombia 11. Los otros países con estudios son Costa Rica 3, Argentina 2, Venezuela 1 y Paraguay 1.

Figura 2 Sitios de estudio de las publicaciones seleccionadas sobre atropellamiento de vertebrados y la cantidad de estudios revisados por países de Latinoamérica.
Uno de los problemas encontrados en la revisión de literatura es la forma en la cual se presentan los resultados obtenidos en los estudios. Basado en los criterios para la inclusión de estudios primarios en metaanálisis de Gerstner et al. (2017), se encontraron faltantes tanto en la documentación de la metodología, los resultados y las figuras. La sección con más problemas fueron los resultados con menos de 30% de los estudios reportando resultados estadísticos o valores de P, mientras que menos de 50% reporta medias o réplicas o la variación explicada. Respecto a los métodos, 30% de los estudios no reportan la ubicación detallada con coordenadas y más del 20% no reportan el esfuerzo de muestreo y el área de muestreo y las réplicas del experimento. En las figuras, menos de 30% de los trabajos incluidos en la revisión reportan promedios con variación o el valor P (Cuadro 1). Los estudios que no presentaron adecuadamente los datos cuantitativos no se pudieron considerar para el metaanálisis.
Cuadro 1 Los criterios para la inclusión de estudios primarios en metaanálisis (Gerstner et al. 2017) y la cantidad de estudios incluidos en la revisión que cumplen con cada uno en esta revisión.
| Sección | Información proporcionada | Número de estudios |
| Métodos | Esfuerzo de muestreo y área | 55 (80%) |
| Réplicas | 55 (80%) | |
| Ubicación detallada con coordenadas | 48 (70%) | |
| Resultados/Tablas | Medias explícitas/réplicas indepent. | 34 (49%) |
| Variación explicada (SE, SD, 95% CI, etc.) | 22 (32%) | |
| Resultados estadísticos (significancia) | 19 (28%) | |
| P-values | 19 (28%) | |
| Figuras | Promedios con variación | 11 (16%) |
| Puntos no sobrelapados | 55 (80%) | |
| Valor de P en las figuras | 20 (29%) | |
| Datos de forma separada para los tratamientos | 41 (59%) | |
| TOTAL ESTUDIOS | 69 (100%) |
De manera cualitativa las presiones, o factores directos que afectan los atropellamientos reportados son el tipo de carretera y sus características, el aforo vehicular y la velocidad máxima.
Las variables de estado en los estudios son el número de atropellamientos de fauna y los impactos asociados reportados son el incremento de la muerte por atropellamiento, disminución en la abundancia y distribución de especies, así como alteraciones en las interacciones bióticas (Fig. 3).

Figura 3 Diagrama DPSIR de los factores de presión relacionados con la infraestructura carretera que fueron mencionados en la literatura seleccionada. En gris están los aspectos no focales de esta revisión.
Los mamíferos son el grupo taxonómico más estudiado (36%), seguido por los reptiles (25%), las aves (22%) y los anfibios (16%) de los estudios; estos últimos representan menos de la mitad de los estudios de los mamíferos (Fig. 4a). Basado en los límites inferiores y superiores del estimador del tamaño de efecto (yi, vi), hay un efecto positivo significante (p<0.001) en el atropellamiento con la presencia de carreteras para todos los grupos taxonómicos. El tamaño de efecto de las carreteras sobre el atropellamiento es más grande para mamíferos (0.62, p =0), seguido por anfibios (0.58, p =0) y reptiles (0.57, p =0), mientras que el tamaño de efecto más pequeño lo muestran las aves (0.48, p =0) (Fig. 4b).

Figura 4 A) Número de registros de atropellamiento para cada grupo taxonómico encontrados en los estudios revisados para el neotrópico. B) Tamaño de efecto de las carreteras sobre los grupos taxonómicos de vertebrados.
La muerte por atropellamiento de vertebrados muestra un crecimiento exponencial con el aforo vehicular, tomando en cuenta la escala logarítmica de la variable dependiente (Fig. 5); con cada 1,000 coches más de aforo, hay un incremento de 11% de vertebrados atropellados (Cuadro 2). Controlando por el esfuerzo de muestreo, la tendencia del aumento de los atropellamientos con el aforo vehicular diario es más pronunciada, con 16% por 1,000 coches más (Fig. 5b). En el modelo de máximo 10,000 coches diarios, el rango con más datos, la tendencia es aún más pronunciada con 34% de incremento de atropellamientos por 1,000 coches más de aforo (Fig. 5c)
Cuadro 2 Intercepto y coeficientes de los modelos lineales ajustados. La columna % indica el aumento de atropellamiento en % por cada 1000 coches más de aforo diario.
| Modelo | Variable | ß | Error Estándar | t | R2 | P | % |
| lm(log(mort_tot_est)~aforo_veh) | Intercepto | 5.8 | 0.28 | 20.66 | -9.00x10-03 | 0.48 | 11 |
| Aforo vehicular | 1.80x10-05 | 2.4x10-05 | 0.7 | ||||
| lm(log(mort_tot_est)~ aforo_veh + esf_mues_km) | Intercepto | 4.55 | 0.36 | 12.54 | 0.33 | 2.39x10-05 | 16 |
| Aforo vehicular | 2.51x10-04 | 4.86x1005- | 5.16 | ||||
| Esfuerzo muestreo. | 3.35x10-05 | 3.43x10-05 | 0.98 | ||||
| Intercepto | 5.7 | 0.13 | 41.53 | -6.85x10-03 | 0.99 | -0.01 | |
| lm(formula=log(mort_tot_est)~dist_pob) | Dist. poblados | -9.92x10-06 | 8.94x10-03 | -1.00x10-03 | |||
| Intercepto | 5.23 | 0.16 | 30.69 | 0.08 | 2.44x10-03 | 15 | |
| lm(log(mort_tot_est)~dist_pob+esf_mues_km) | Dist. poblado | 2.7x10-03 | 8.3x10-03 | 0.32 | |||
| Esfuerzo muestreo | 8.26x10-05 | 2.34x10-05 | 3.53 | ||||
| Intercepto | 4.51 | 7.117×10-5 | 3.832 | 0.2183 | 3.691×10-4 | 34 | |
| lm(log(mort_tot_est)~aforo_veh<10k) | Aforo vehicular < 10k | 2.727×10-4 | 4.28x10-1 | 10.53 |
Los 57 registros de atropellamientos para los cuales fue reportado el aforo vehicular (119 no lo reportan) se concentran en carreteras con un aforo vehicular de menos de 40,000 vehículos por día (Fig. 5).

Figura 5 Modelos lineales del número de muertes por atropellamiento (log) y A) el aforo vehicular, B) el aforo vehicular controlado por el esfuerzo de muestreo y C) para un aforo vehicular < 10,000 vehículos por día.
El índice de heterogeneidad del análisis de moderadores muestra que los estudios primarios no estiman el mismo tamaño de efecto para los diferentes taxones (Qm= 26.35, k = 69, g.l.=5, P < 0.0001). Los mamíferos, reptiles y anfibios son los más afectados, ya que la probabilidad de ser atropellados es mayor a 0, mientras que para las aves la probabilidad es menor a 0 a no ser atropellados (Cuadro 3). Los estimadores sugieren que los mamíferos tienen una probabilidad casi tres veces mayor de individuos muertos por atropellamiento, en comparación con las aves (Cuadro 3).
Cuadro 3 Proporción de individuos atropellados por taxa. SE=error estándar, zval=valor de z, ci.lb=el límite inferior, ci.ub=límite superior, *=significancia de 0.05 y ***=significancia de 0.001.
| Taxa | Estimador | SE | zval | ci.lb | ci.ub | |
| Anfibios | 0.1581 | 0.0717 | 2.2055 | 0.0176 | 0.2987 | * |
| Aves | 0.1057 | 0.0883 | 1.1972 | -0.0674 | 0.2788 | |
| Mamíferos | 0.3028 | 0.0782 | 3.873 | 0.1496 | 0.4561 | *** |
| Reptiles | 0.1647 | 0.0771 | 2.1371 | 0.0137 | 0.3157 | * |
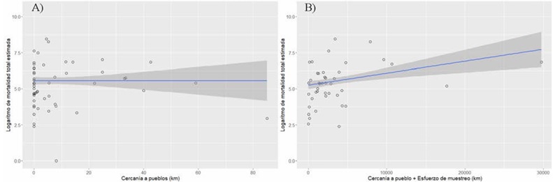
El modelo de distancia de poblados no muestra una tendencia (-0.01%/km) (Fig. 6; Cuadro 2). Controlando por el esfuerzo de muestreo, se muestra una tendencia de aumento de los atropellamientos de 15% con cada km de distancia a poblados. La distribución de los 54 registros muestra un sesgo grande, con la mayoría de los estudios efectuados en menos de 1 km de distancia al poblado más cercano, así como falta de estudios en distancias > 5 km (Fig. 6a).
Discusión
A través de la presente revisión de literatura fue posible identificar una gran laguna de datos cuantitativos en la literatura. Solamente se encontraron datos cuantitativos del efecto del atropellamiento de vertebrados que es uno de los factores de reducción de biodiversidad (Loss et al., 2014) y las únicas variables que se pudieron extraer de una manera homogénea de los estudios y que fueron adecuados para explicar las variaciones en el atropellamiento fueron el grupo taxonómico, el aforo vehicular y la distancia a poblados. Los resultados muestran que el atropellamiento tiene diferentes tamaños de efecto dependiendo del grupo taxonómico: los mamíferos son el grupo más afectado, mientras que las aves tienen un tercio del riesgo de ser atropellados. Otros estudios en Latinoamérica han reportado los anfibios como el grupo más afectado (Pinto et al., 2020). Para aves se sabe que su alta movilidad ayuda a reducir los atropellamientos y que, según sus características funcionales (p.ej. tipo de forrajeo y vuelo), las carreteras pueden tener efectos positivos (Morelli et al., 2014; Wiacek et al., 2015). Aunque, otros estudios, incluyendo una revisión para Estados Unidos (Loss et al., 2014), también mostraron que las tasas de atropellamiento pueden representar un subestimado y que existen aves con un alto riesgo de ser atropelladas (Kociolek et al., 2015). Un aspecto que puede influir estos resultados es el sesgo por el tamaño y la permanencia de los cadáveres, que puede afectar más a organismos pequeños cómo lo son los anfibios (González-Gallina et al. 2012). En este sentido, todas las estimaciones de atropellamientos son subestimaciones y sería necesario hacer experimentos sobre el tiempo de remoción de cadáveres.
De manera general, se ha encontrado que la frecuencia de los atropellamientos son un reflejo de los patrones de abundancia de los animales y, en menor grado, del volumen de tráfico (Seiler & Hellding, 2006) y en Latinoamérica se ha visto el aforo vehicular como un factor importante (Pinto et al., 2020). El presente metaanálisis revela una relación positiva del aforo vehicular y la distancia a poblados con los atropellamientos. Seiler et al. (2001) proponen un modelo para explicar cómo el aumento en la intensidad de la circulación vial lleva a un aumento también en el atropellamiento. Bajos volúmenes de tráfico no hacen dudar a los animales en cruzar la carretera y solo unos pocos individuos son atropellados. Por lo tanto, las vías de acceso local con tráfico muy ligero pueden tener un impacto de barrera limitado sobre invertebrados, anfibios y reptiles y eventualmente repeler a los pequeños mamíferos de cruzar el espacio abierto, mientras que la fauna más grande podrá utilizar estas carreteras como corredores. De acuerdo con este modelo de umbrales (Seiler 2001), las carreteras con tráfico por debajo de 1,000 vehículos por día causarán mortalidad incidental y ocasionarán un efecto de barrera más fuerte sobre las especies pequeñas, pero los movimientos de cruce se producirán frecuentemente. Sin embargo, a partir de los 5,000 vehículos por día, el movimiento de éstos y el ruido que ocasionan tendrán un efecto disuasivo importante en pequeños mamíferos y en algunos vertebrados más grandes. Debido a esta repulsión, el aumento en el impacto global de la vialidad no representa una relación lineal con el aumento en el volumen de tráfico. El presente estudio confirma este modelo parcialmente, porque primero se muestra un crecimiento exponencial (por ser la variable dependiente en log) que es una forma de relación no lineal, sin embargo, no existe una tendencia a la baja después de los 5,000 coches. El modelo para máximo 10,000 vehículos diarios de este metaanálisis no muestra un umbral, sino un aumento de 34% por cada 1,000 vehículos más de aforo. Por una falta de datos no fue posible ajustar otro modelo para ver si existe un umbral con más aforo vehicular, ni tampoco fue posible evaluar el efecto de barrera.
La relación cuantitativa encontrada representa un estimado general, ya que no es posible establecer una tasa de atropellamiento por km y año, porque los estudios no toman en cuenta cómo se está afectando la población completa. Sin un diseño experimental que considere registros sobre la población, queda enmascarado el verdadero tamaño de efecto sobre ella (Barrientos et al., 2021). Estas fallas en el diseño de los experimentos le restan fuerza de inferencia a los resultados (Roedenbeck et al., 2007, González-Gallina et al., 2012). Otro problema relacionado con la toma de muestra es la distribución sesgada hacia las inmediaciones de los poblados. Este sesgo puede influenciar los resultados encontrados, ya que no es posible conocer el tamaño de efecto verdadero del aforo vehicular que puede ser diferente en sitios más alejados de los poblados.
En la literatura internacional, la distancia a las carreteras es un factor importante, sin embargo, no se ha reportado sobre el tamaño de efecto de la distancia a poblados de las carreteras en la biodiversidad. Por la baja disponibilidad de información, no fue posible analizar la distancia a las carreteras. Sin embargo, sería muy deseable poder contar con esta información en un futuro, tanto para el efecto de la distancia a las carreteras, cómo la distancia a poblados que podría ser una variable moderadora no considerada hasta el momento en la literatura. Sin embargo, en este momento, un problema con los datos es un sesgo hacia las inmediaciones de los poblados lo que lleva además a una mezcla de situaciones urbanas con los contextos no urbanos. Por la poca cantidad de datos, no fue posible ajustar dos modelos; uno para distancias más cortas que represente el proceso de un mayor atropellamiento de fauna que es atraída a los poblados, en combinación con el aumento del aforo vehicular en las inmediaciones de los poblados. Mientras que el modelo para distancias mayores sería necesario para representar un cambio de comportamiento en los vertebrados por las mismas carreteras.
En la presente revisión, además de distancia a poblados y aforo vehicular no hubo variables cuantitativas compartidas entre los trabajos primarios seleccionados. Las demás variables encontradas en el proceso de selección son muros de contención (2 estudios), velocidad máxima (110 o 80 km en todos los estudios, es decir, no hay variabilidad en el tamaño de efecto) y 2 o 4 carriles en todos los estudios. Por esta poca cantidad y varianza, no se pudieron generar análisis que toman en cuenta los tipos de carreteras, el número de carriles, la velocidad máxima y los tipos de ecosistemas.
En una revisión del impacto de las carreteras en los vertebrados para el continente africano (Collinson et al., 2019) se encontraron 166 estudios con datos in situ y 14 revisiones de literatura. Para el neotrópico, existen 3 revisiones de literatura, de los cuales dos revisiones sistemáticas que han cubierto 85 (Medrano-Vizcaíno et al., 2022) y 197 publicaciones (Pinto et al., 2020). Sin embargo, no ha sido posible encontrar la misma cantidad de estudios en el presente trabajo, a pesar de que las palabras de búsqueda son más diversas que las reportadas por las otras revisiones sistemáticas. De hecho, ninguna de las dos revisiones existentes cumple con los estándares de cómo reportar la metodología, no se menciona ningún protocolo de reporte como p.ej. PRISMA o ROSES, ni los search strings. En Medrano-Vizcaíno et al. (2022) tampoco se mencionan los repositorios usados. De esta manera, no hay transparencia o certeza sobre la robustez y reproducibilidad de las búsquedas aplicadas para estas revisiones.
A pesar de que existe una diferencia en la cantidad de estudios reportados por este estudio y el de Medrano Vizcaíno et al. (2022), el presente reporta detalladamente la ruta de búsqueda para el acceso a los artículos con los que se hicieron los análisis y modelos; ya que se aplicó el protocolo de reporte PRISMA (Preferred Reporting Items for Systematic reviews and Meta-Analyses, por sus siglas en inglés) lo que da a este estudio una robustez, reproducibilidad, y detalle en cada una de las etapas de selección de los estudios empleados. Sin embargo, fue necesario emplear la técnica de paper trail para completar los resultados de la búsqueda sistemática, usando la bibliografía de las publicaciones encontradas con la búsqueda, lo que arrojó 61% de los estudios revisados. Otro aspecto que puede influir en las búsquedas es que dependiendo de las adscripciones de los autores existe acceso o no a repositorios de tesis, cómo lo demuestran las tres tesis mexicanas (Rodríguez, 2016; Herrera-Robledo, 2011; Martínez Hernández, 2011) que se incluyeron en la presente revisión, pero no en las anteriores.
Una de las limitaciones para hacer un metaanálisis, además de la existencia de estudios primarios, es la publicación de datos selectivos o incompletos en los estudios (Gerstner et al., 2017; Gurevitch et al., 2018). Los resultados demuestran que el mayor problema ha sido la falta de estandarización de las unidades reportadas en los estudios primarios y las inconsistencias metodológicas que no permiten que se incluyan los datos reportados en un metaanálisis. De los artículos que cumplieron con los criterios de selección, 7 fueron excluidos de cualquier consideración por no cumplir con un estándar mínimo de presentación de resultados. Para ciertos análisis la cantidad de datos se redujo todavía más, como por ejemplo, para distancia a poblados, sólo 70% de los artículos contaban con coordenadas; menos del 50% reportan réplicas independientes; menos del 30% reportan los valores de p o la significancia estadística. Otros problemas encontrados en el presente estudio son el esfuerzo de muestreo empleado, así como la cercanía a los poblados en que se empiezan a realizar los conteos de animales atropellados, pudiendo así, sobre o subestimar los efectos de la infraestructura carretera. Es necesario que la comunidad científica ponga un mayor énfasis en la calidad de los estudios, sobre todo en el diseño experimental de los trabajos, la documentación del esfuerzo de muestreo, mayor precisión en la georreferenciación del área de estudio, así como más información del paisaje analizado (Gerstner et al., 2017; Figura 1), ya que se tiene un gran sesgo metodológico de investigaciones aplicadas en el Neotrópico enfocadas a estudiar los efectos de la infraestructura.
A pesar de que de manera general se reconocen las carreteras como una infraestructura humana que genera múltiples problemas para los ecosistemas, el único aspecto que se pudo analizar en el presente estudio por la restricción de datos disponibles fue el atropellamiento. Además, en los resultados se pueden reconocer patrones relacionados con la evasión de espacios cercanos a las carreteras. De los vacíos y omisiones en la literatura existente que impiden hacer más análisis, destacan el diseño de muestreo que no toma en cuenta aspectos de las poblaciones locales sino cuenta los organismos atropellados sin más información relacionada y la falta de datos cuantitativos reportados de una manera sistemática y completa. Para poder mejorar el conocimiento sobre los efectos del atropellamiento de fauna en carreteras se necesita más información cuantitativa para los neotrópicos, además de tomar en cuenta variables que describen el entorno de los atropellamientos, incluyendo la infraestructura física, además de alteraciones en los ecosistemas en las inmediaciones y así poder generar recomendaciones concretas de mitigación. Igualmente es necesario investigar más a fondo el patrón de evasión de espacios cercanos a las carreteras, ya que este estudio arrojó indicios de que este patrón puede estar relacionado con otras actividades humanas, cómo lo son las áreas urbanas y su tránsito de vehículos. Todos estos puntos son enfocados en mejorar la información aquí presentada, sin embargo, también es relevante resaltar que existen otros efectos de las carreteras que van más allá del atropellamiento y que no han sido posibles investigar por falta de datos cuantitativos; de estos otros efectos destaca el efecto barrera que puede tener consecuencias graves pero mucho más difícil de investigar que contar organismos atropellados.
Dada la expansión de la red de carreteras es apremiante generar conocimiento que permite informar decisiones sobre dónde y cómo expandir la red de transporte en el neotrópico. El manejo de los ecosistemas tiene que formar parte de estas decisiones, ya que los ecosistemas son la base del sustento humano. Sin embargo, igualmente importante es hacer accesible este conocimiento y los datos primarios para que puedan ser puestos en acción. Para ello es necesario la generación de una plataforma o repositorio que integre todos los datos generados posibles, incluyendo la literatura gris, ya que este tipo de repositorios locales o regionales pudieran proveer de una cantidad importante de datos que hace falta ponerlos a disposición de los académicos, tomadores de decisiones, y público en general, con la finalidad de emplearlos en el entendimiento, evaluación y evidencia de los efectos importantes que tiene la infraestructura carretera sobre la diversidad de vertebrados en los ecosistemas neotropicales. Para conocer el impacto de las carreteras en biodiversidad en los ecosistemas neotropicales es necesario aumentar la disponibilidad de datos primarios y mejorar la información sobre el tamaño de efecto en diferentes grupos taxonómicos y en diferentes tipos de ecosistemas, además de tomar en cuenta el tamaño poblacional, la tasa de reclutamiento y el esfuerzo de muestreo. Sólo de esta manera será posible evaluar el impacto de las carreteras en las poblaciones, que cobra una mayor importancia en especies raras o amenazadas, y es básico para la conservación de la biodiversidad.










nueva página del texto (beta)





