INTRODUCCION
Las fracturas geológicas son estructuras comunes en muchos medios geológicos y son una respuesta a las condiciones frágiles de la deformación en la corteza superior (Ramsay, 1967; Secor, 1969; Segall y Pollard, 1983; Bahat et al., 2005; Fossen, 2016). Estas estructuras han sido objeto de múltiples estudios para entender su origen, sus aspectos mecánicos (Griffith, 1920; Segall y Pollard, 1983; Bahat, et al., 2001), su geometría y su rol en el proceso de flujo de fluidos en las rocas (Olson, 2003; Nieto-Samaniego et al., 2003, 2005; Laubach et al., 2018; Vásquez-Serrano et al., 2021a, 2021b). El análisis geométrico de las fracturas suele abordarse de dos maneras, por un lado, se elaboran mapas de fracturas a partir de láminas delgadas, fotografías de afloramientos y/o mapas de lineamientos morfológicos (Barton y LaPointe, 1995; Mauldon et al., 2001; Babadagli, 2001, 2002; Nieto-Samaniego et al., 2003, 2005). Con estos mapas se puede obtener información valiosa de la densidad (cantidad de fracturas por unidad de área), conectividad, distribución y permeabilidad debida a las fracturas en dos dimensiones (Babadagli, 2001, 2002; Nieto-Samaniego et al., 2003, 2005). La otra manera de análisis es mediante el uso de líneas de muestreo, la cual puede usarse en cualquier escala, desde una lámina delgada hasta un mapa de lineamientos morfológicos (Barton y LaPointe, 1995; Gillespie et al., 1993, 1999; Gomez y Laubach, 2006; Laubach et al., 2018; Vásquez-Serrano et al., 2021a). La línea de muestreo se traza de manera perpendicular al rumbo de una familia de fracturas (Figura 1), donde se mide la apertura (distancia entre las paredes de una fractura) y el espaciamiento entre fracturas (distancia entre fracturas) (Vásquez-Serrano et al., 2021b). Esta última variable es fundamental para conocer la distribución y el arreglo de las fracturas, así como la cantidad y la manera en cómo ocupan el espacio en una dimensión (Gillespie et al., 1993; 1999; Laubach et al., 2018; Vásquez-Serrano et al., 2021b).

Figura 1 Metodología para la obtención de datos de espaciamiento entre fracturas mediante el uso de líneas de muestreo, donde se toma en cuenta una familia de fracturas (grupo de fracturas paralelas), F 1 , F 2 , F 3 , … F n ; y su espaciamiento (dx 1 , dx 2 , dx 3 ,… dx n ). (Modificado de Vásquez-Serrano et al., 2021b).
En el caso del análisis de mapas de fracturas, existen algunos programas de cómputo que analizan dichos mapas para obtener información sobre la cantidad, conectividad y permeabilidad de las fracturas (ej. FRACPAQ (Healy et al., 2016), DigiFract (Hardebol y Bertotti, 2013), FraNEP (Zeeb et al., 2013)); así mismo hay otros programas que se usan para hacer un análisis fractal de las fracturas (FracAnalysis (Tolson, 2001) o Fractalyse (Frankhauser, 2005)) y obtener parámetros como dimensión de caja, dimensión de masa o lacunaridad (Vásquez-Serrano, 2013). En lo que se refiere al análisis en una dimensión (líneas de muestreo), no existe un programa de cómputo que automatice el cálculo de parámetros asociados con la distribución, arreglo y cantidad de fracturas, lo cual dificulta el análisis de los datos de espaciamiento entre fracturas haciéndolo más tardado. En este trabajo se desarrolló un código en MATLAB® que automatiza el cálculo de parámetros como: dimensión de caja en 1D, dimensión de correlación, exponente de Lyapunov, coeficiente de variación e intensidad de fracturas (número de fracturas por unidad de longitud) tomando como base la teoría publicada en otros trabajos (Barton y LaPointe, 1995; Gillespie et al., 1999; Riley et al., 2011; Vásquez-Serrano et al., 2019). Adicionalmente, el código incluye la generación de distribuciones de fracturas sintéticas mediante la construcción de un polvo de Cantor determinístico (Mandelbrot, 1967; Turcotte, 1992) y aleatorio, lo cual es útil para conocer el papel de la distribución y el arreglo de las fracturas en los valores de los parámetros que calcula el código (Vásquez-Serrano, 2013). Los códigos en MATLAB® ofrecen una ventaja importante ya que se pueden ejecutar en varios sistemas operativos (Windows, Mac o Linux) donde este instalado el paquete de MATLAB®, además los códigos ejecutables se pueden instalar en el sistema operativo Windows sin necesidad de tener MATLAB® instalado (Material Suplementario).
PARAMETROS FRACTALES EN 1D
La teoría sobre el fracturamiento o inicio y desarrollo de fracturas se basa en la propuesta de Griffith (1920), la cual explica de manera analítica el proceso de fracturamiento (Bahat et al., 2005). Las fracturas en materiales rocosos no escapan a la aplicación de esta teoría para explicar su origen y desarrollo. Aunque es importante conocer y entender cómo se forman las fracturas, también es fundamental analizar su distribución y geometría en los macizos rocosos; esta tarea se puede hacer utilizando las herramientas de la teoría fractal. Se han realizado muchos trabajos en donde se ha probado esta hipótesis. Entre ellos se encuentran los de Barton y La Pointe (1995), quienes hacen una exhaustiva exploración de métodos basados en los ejemplos clásicos de fractales determinísticos (Polvo de Cantor, Carpeta de Sierpinski, etc.). Estos autores proponen algunas técnicas prácticas para la determinación de la dimensión fractal D f en sistemas de fallas y fracturas presentes en las rocas, analizando su distribución y geometría. Entre los trabajos más importantes relacionados con el tratamiento fractal de las fracturas podemos citar los hechos por Marrett et al. (1999), donde hacen un análisis en 1D para variables que siguen una ley de potencia como: apertura y espaciamiento entre fracturas. Esta última variable es fundamental para analizar la distribución y el arreglo de las fracturas en una línea de muestreo (Gillespie et al., 1993, 1999; Laubach et al., 2018) mediante el cálculo de parámetros como: exponente de frecuencia acumulada (Korvin, 1992; Gillespie et al., 1993; Marrett et al., 1999), coeficiente de variación (Cox y Lewis, 1966), dimensión fractal de caja en 1D (Barton y LaPointe, 1995), dimensión de correlación y exponente de Lyapunov (Riley et al., 2011). A continuación, se describen cada uno de estos parámetros y adicionalmente se incluye otro parámetro relacionado con la cantidad de fracturas llamado la intensidad de fracturas.
Frecuencia acumulativa
Una manera de analizar los datos de espaciamiento es a través de la frecuencia acumulativa. Ésta se basa en el concepto de fragmentación (frecuencia-tamaño), el cual ha sido explorado en diversos trabajos (Korvin, 1992; Gillespie et al., 1993; Marrett et al., 1999). Los gráficos bilogarítmicos de frecuencia acumulativa vs. espaciamiento puede seguir una ley de potencia, donde el exponente de frecuencia acumulativa (f) será:
En la ecuación anterior, S es la frecuencia acumulada del espaciamiento y v es la variable de interés (espaciamiento). El exponente de frecuencia acumulada nos dará una medida del grado de agrupamiento de las fracturas cortadas por la línea de muestreo; si se tiene un f pequeño, tendremos distancias grandes que separan grupos (concentración) de fracturas.
Coeficiente de variación
Una medida de la distribución espacial de las fracturas está dada por el coeficiente de variación (Cv), el cual es definido como el cociente de la división de la desviación estándar entre el promedio de los espaciamientos (Cox y Lewis, 1966). Cuando los espaciamientos son regulares se tendrá una desviación estándar pequeña y por lo tanto un Cv<1. Por otro lado, cuando las fracturas están agrupadas (Cluster distribution) y existen grandes espacios entre grupos, la desviación estándar será grande y Cv>1.
Dimensión de caja (Dc)
Otra alternativa para realizar el análisis del espaciamiento entre fracturas es la técnica del conteo de cajas en 1D (Barton y La Pointe, 1995). El procedimiento es el mismo que en 2D, sólo que, en este caso en lugar de una rejilla, lo que se tiene es una línea fraccionada en distintos segmentos de tamaño r. Para cada r se cuenta el número de segmentos que contienen por lo menos una fractura. Si se realiza un gráfico log-log del tamaño del segmento r contra el número de segmentos que cortan a alguna fractura (N), se observará la siguiente relación donde Dc es la dimensión fractal de caja en 1D:
Esta relación es válida entre el tamaño máximo y mínimo de r, donde se encuentran los límites de las escalas fractales.
Dimensión de correlación
Es un parámetro que usa la diferencia entre pares de datos (espaciamientos) y provee un cálculo matemático riguroso de la dimensión fractal del sistema de fracturas que se está analizando (Davy et al., 1990). La dimensión de correlación está basada en la expresión propuesta por Grassberger y Procaccia (1983), en donde se tiene que:
Aquí γ es cualquier distancia propuesta, X = (X 1 , X 2 , X 3 , ..., X n ) es el conjunto de datos (espaciamientos), θ(x) es la función de Heaviside y N es el número de todos los posibles pares. Tomando como base la expresión anterior, Grassberger y Procaccia (1983) demostraron para pequeños valores de γ que:
Donde υ es la dimensión fractal de correlación. Si υ = 0 existirá una ligera variación en los espaciamientos, es decir, estos se acercarán a ser periódicos (espaciamientos iguales entre fracturas).
Exponente de Lyapunov
Este parámetro parte de la solución general de un sistema no lineal dinámico, en el cual los valores propios (λ1 y λ2) nos dicen cómo dos puntos convergen (si son positivos) o divergen (si son negativos) exponencialmente. Entre los eigenvalores, existen algunos llamados exponentes de Lyapunov, de los cuales hay uno que caracteriza al sistema, conocido como exponente máximo de Lyapunov, λmax (Rosenstein et al., 1993). Existen tres casos para λmax, si es negativo, el sistema converge a un punto; si es cero, indica que el sistema es periódico y finalmente si es positivo, el sistema será caótico.
La determinación de λmax requiere de conocer las ecuaciones diferenciales que gobiernan el sistema, lo cual es complicado de determinar en muchos sistemas naturales. Es por ello que Rosenstein et al. (1993) proponen la siguiente expresión que no necesita de un conocimiento tan profundo para ser implementada.
Aquí N es el número de datos y dx n es la distancia entre puntos. Riley et al. (2011) proponen una modificación a esta expresión para el análisis del espaciamiento entre fracturas. En su modificación, los datos son distancias entre fracturas tomadas a partir de una línea de muestreo (Figura 1). N es el número de espaciamientos y dx n es el espaciamiento medido (Figura 1). Debido a que la ecuación 5 tiene una dependencia en el orden, examina la diferencia entre dx n y dx n+1 (Riley et al., 2011). Cuando hay grandes fluctuaciones en el espaciamiento, se tendrá una λmax > 1; por otro lado, si se tienen espaciamientos regulares, λmax se aproximará a cero.
Intensidad de fracturas
Este parámetro mide la cantidad de fracturas por unidad de longitud (Mauldon et al., 2001; Moreno-Sánchez y García-Cornejo, 2006; Vásquez-Serrano et al., 2019). Para medir la intensidad de fracturas se suelen usar líneas de muestreo rectas o circulares, donde se cuenta el número de fracturas que son cortadas por dicha línea (Moreno-Sánchez y García-Cornejo, 2006). El valor de este parámetro se obtendrá dividiendo el número de fracturas cortadas entre la longitud de la línea de muestreo.
TOMA DE DATOS USANDO LINEAS DE MUESTREO
El análisis cuantitativo de las fracturas se enfoca en entender el comportamiento de variables como: orientación, apertura, espaciamiento, longitud, densidad, intensidad, distribución espacial y de tamaño de las fracturas. Estas suelen obtenerse mediante líneas o ventanas de muestreo, dependiendo de lo que se quiera medir y de las condiciones de los afloramientos. La metodología utilizada para la toma de datos de espaciamiento entre fracturas está basada en los trabajos de Barton y Larsen (1985), Narr y Suppe (1991), Marrett et al. (1999), Kruhl (1994), Clark et al. (1995), Gómez y Laubach (2006), Ortega y Marrett (2000), Riley et al. (2011), Umili et al. (2013); Laubach et al. (2018), Vásquez-Serrano et al. (2021a) para el análisis en 1D.
Consideraciones importantes para la adquisición de los datos han sido sugeridas por Narr y Suppe (1991), Marrett et al. (1999), Clark et al. (1995), Gómez y Laubach (2006) y Umili et al. (2013), las cuales toman en cuenta algunas variaciones de acuerdo con los objetivos particulares de cada estudio y las observaciones realizadas en campo. En general, el muestreo debe tomar en cuenta lo siguiente (Vásquez-Serrano, 2013):
Buscar sitios de muestreo en donde exista una cantidad suficiente de fracturas para hacer los análisis, es decir, que el número de fracturas sea lo bastante grande para determinar los parámetros buscados.
De acuerdo con observaciones de campo y con lo sugerido en los trabajos de Narr y Suppe (1991), Marrett et al. (1999); Manning (1994) y Riley et al. (2011), las fracturas suelen agruparse, por lo que la metodología de muestreo debe tomar en cuenta que hay ciertos lugares en donde existen pocas fracturas o no las hay y otros en donde abundan; por lo tanto, la elección de los lugares de muestro no debe ser al azar.
Si las fracturas tienen un arreglo en donde se agrupan, es conveniente cubrir un área de muestreo en donde los datos sean suficientes para reflejar dicho arreglo (Gómez y Laubach, 2006; Umili et al., 2013; Marrett et al., 2018).
El proceso de obtención de datos en el campo inicia con la búsqueda de afloramientos donde estén bien expuestas las familias o familia de fracturas a analizar. Una vez localizado el afloramiento, se identifican las distintas familias (F 1 , F 2 , F 3 … F n ) y se mide el espaciamiento utilizando una línea de muestreo (Figura 1), la cual debe tener una longitud que cumpla con las consideraciones anteriores y estar orientada perpendicularmente al rumbo de una familia de fracturas (Figura 1). En la mayoría de los casos, el plano del afloramiento no está orientado ni inclinado de la mejor manera; por lo que es necesario también medir su rumbo e inclinación para hacer las debidas correcciones a los datos (Terzaghi, 1965), ya que, si no fuera así, sólo se estarían midiendo espaciamientos aparentes. Para cada afloramiento se elabora una lista con los datos de espaciamiento, rumbo e inclinación de las fracturas pertenecientes a cada familia. Para escalas menores o mayores a la mesoscópica (afloramientos), se suelen medir los espaciamientos en láminas delgadas de muestras orientadas para escalas pequeñas (mm) o realizar mapas de lineamientos morfológicos (escalas grandes del orden de km) donde se mide el espaciamiento entre las estructuras. Con esta metodología se puede cumplir con las condiciones antes expuestas y el requerimiento de tener un muestreo que incluya más de un orden de magnitud de escala de estas variables para el caso de un análisis fractal (Barton y LaPointe, 1995; Vásquez-Serrano, 2013).
Una vez obtenidos los datos de espaciamiento entre fracturas, se procede a procesarlos en gabinete aplicando los parámetros del análisis en 1D como: exponente de la frecuencia acumulada, coeficiente de variación, dimensión de caja y correlación, así como el exponente de Lyapunov. La automatización del cálculo de estos parámetros se explica a continuación con los detalles del programa Frackita-v1.
PROGRAMA FRACKITA-v1
La programación se realizó en el apartado GUI (Graphical User Interface) de MATLAB® R2018b (MATLAB®, 2018), el cual es un programa orientado a objetos con un gran soporte matemático basado en matrices. El GUI es un entorno de programación visual para realizar y ejecutar códigos que necesiten de un entorno más interactivo con el usuario. El programa está dividido en cuatro partes, en cada una se presentan los botones de comando, los resultados numéricos y las gráficas correspondientes a cada uno de los parámetros del análisis del espaciamiento: dimensión de caja en 1D, dimensión de correlación, exponente de Lyapunov, coeficiente de variación, exponente de frecuencia acumulada, intensidad de fracturas y conjunto de Cantor (Figura 2). El diseño de la pantalla principal se realizó tratando de presentar de manera visual y numérica los distintos análisis implementados. En la Figura 2 se pueden ver los elementos que contiene la pantalla, los cuales realizan una tarea específica que se explica a continuación:

Figura 2 Pantalla principal del código Frackita-v1, donde se muestran los principales elementos que lo constituyen.
Menú Archivo (File): Abre una ventana de diálogo donde se puede escoger un archivo *.xls (archivo de Microsoft Excel®) que contiene la lista de los espaciamientos entre fracturas (Figura 3a). El menú “Archivo” (File) también grafica la distribución de las fracturas en una línea de muestreo en la ventana “Distribución de fracturas” (Fracture distribution) (Figura 3b). El archivo *.xls debe contener la lista de espaciamientos entre fracturas (dx 1 , dx 2 , dx 3 , ..., dx n ) en la columna A de la hoja de cálculo de Excel (Figura 1), con un encabezado en la primera fila, que puede ser alguna clave que identifique a los datos (Figura 3c).

Figura 3 Procedimiento para la apertura de datos de espaciamiento entre fracturas. a) Cuadro de diálogo del menú archivo (file) donde se buscan archivos *.xls (Microsoft Excel®) que contienen los espaciamientos entre fracturas. b) Gráfico de la distribución de fracturas construido a partir de los datos de espaciamiento. c) Formato de llenado de hoja de cálculo en Excel con datos de espaciamiento.
Botones de comando (Parameters). Cada uno de los botones que se encuentran en la zona de “Parámetro” (Parameter) tienen el nombre del parámetro que calculan (Figura 4), por ejemplo:

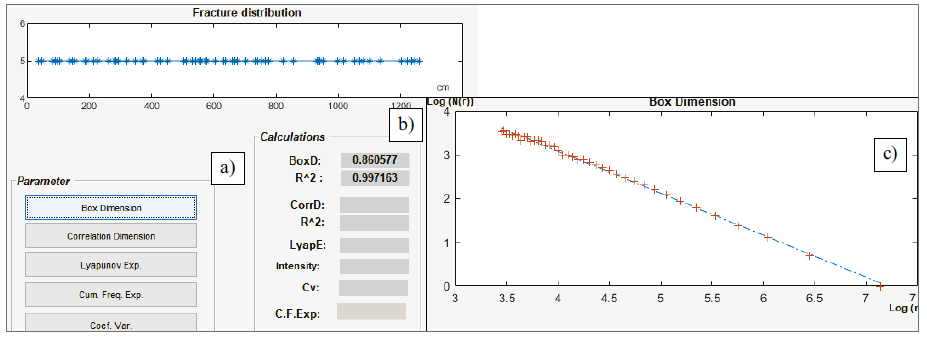
Figura 4 a) Localización del botón “dimensión de caja” (Box dimensión) en el cuadro “parámetro” (parameter) y el resultado numérico (b) y gráfico (c) de la dimensión de caja para una distribución de fracturas en una línea de muestreo.
Botón Dimensión de Caja (Box Dimension). Estima la dimensión de caja en 1D de la distribución que tienen las fracturas (Figura 4a). El resultado se presenta de dos maneras, la primera es visual (Figura 4c) y se representa a través de un gráfico log-log del número de segmentos ocupados por, al menos, una fractura contra el tamaño del segmento (Ventana “Dimensión de Caja” (Box Dimension)). La segunda es numérica (Figura 4b) y aparece en la sección de cálculos (calculations), donde se presenta la dimensión de caja (D c ) y el coeficiente de correlación R2 (Figura 4b).
Botón Dimensión de Correlación (Correlation Dimension). Calcula la dimensión de correlación usando la metodología propuesta por Riley et al. (2011). Al igual que en el caso anterior, el resultado del análisis se visualiza tanto gráficamente (Ventana “Dimensión de Correlación”) como de manera numérica (Figuras 5a y 5b). La eliminación de las colas producidas por un sesgo en la información dentro del gráfico de la dimensión de correlación se realiza de manera manual por el usuario, mediante la introducción de dos valores (LimI y LimS) y presionando nuevamente el botón “Correlation Dimension”, con lo cual se eliminan dichas colas (superior e inferior) y se toma en cuenta la parte central del gráfico bilogarítmico (Figura 5c). Esta práctica es muy común en el análisis de un fractal estadístico (Turcotte, 1992)

Figura 5 a) Cálculo de la dimensión de correlación dando click en Correlation dimension y su resultado numérico. b) Resultado gráfico de la dimensión de correlación. c) Ajuste de la curva en la dimensión de correlación sin considerar las colas producto de la censura en la obtención de los datos de espaciamiento. Dicho ajuste se hace mediante LimS y LimI (ver texto).
Botón Exponente de Lyapunov (Lyapunov Exp.). Determina el valor de exponente máximo de Lyapunov asociado con el arreglo que tienen las fracturas mediante su espaciamiento usando el método de Riley et al. (2011) y la ecuación 5. Al dar click en este botón se calcula dicho parámetro (LyapE) y se visualiza su valor dentro del apartado “Calculations” (Figura 6).
Botón Intensidad de fracturas (Intensity). Al dar click en este botón se calcula la intensidad de fracturas definida como el número de fracturas por unidad de longitud, la cual se muestra en “Calculations” (Figura 7).

Figura 7 Cálculo de la intensidad de fracturas (número de fracturas por unidad de longitud). El resultado esta dado en número de fracturas por centímetro.
Botón Coeficiente de Variación (Coef. Var.). Este botón estima el coeficiente de variación de un conjunto de datos de espaciamiento entre fracturas usando la metodología de Cox y Lewis (1966). El resultado se muestra dentro del apartado de “Calculations” (Figura 8).

Figura 8 Estimación del coeficiente de variación de un grupo de fracturas (espaciamientos) dando click en el botón Coef. Var.
Botón Exponente de frecuencia acumulada (Cum. Frec. Exp.). Estima el exponente de frecuencia acumulada a través de la pendiente que se forma en los datos de espaciamiento en un gráfico bilogarítmico de la frecuencia acumulada del espaciamiento contra el espaciamiento. Los resultados se presentan tanto de manera numérica (Figura 9a) en el apartado “Calculations”, como de manera gráfica (Figura 9b). Adicionalmente, se incluye un histograma de la frecuencia del conjunto de datos de espaciamiento (Figura 9c).

Figura 9 a) Estimación del exponente de frecuencia acumulada del espaciamiento mediante el botón Cum. Frec. Exp., y su resultado gráfico (b). Así mismo se incluye un histograma de frecuencia del espaciamiento entre fracturas (c).
Botón Polvo de Cantor (Cantor Dust). Calcula y grafica un polvo de Cantor determinístico basado en las reglas propuestas en Turcotte (1992). Este fractal se construye a partir de un número de iteraciones que el usuario establece. El valor de las iteraciones se puede cambiar en un cuadro de texto en la parte inferior de la sección “Parameter” (Figura 10a). El código del polvo de cantor fue tomado de Offtermatt (2004).

Figura 10 a) Cálculo de un polvo de Cantor determinístico con un número de iteraciones de 6. El resultado de este fractal se muestra en la ventana Fracture Distribution. b) Construcción de un polvo de Cantor aleatorio mediante el botón Cantor Dust (random), dando click en este botón se generan distribuciones aleatorias que se muestran en la ventana Random Cantor Dust.
Botón Polvo de Cantor Aleatorio (Random Cantor Dust). Con este botón se estima un polvo de Cantor aleatorio y se presenta en un gráfico “Random Cantor Dust” que aparece en la parte superior (Figura 10b). El código del polvo de cantor aleatorio fue tomado de Moisy (2006) e incorporado al código Frackita-v1. El polvo de Cantor aleatorio permite generar una serie de distribuciones sintéticas de fracturas en una línea de muestreo.
LIMITACIONES ACTUALES Y MEJORAS FUTURAS
Frackita-v1 es un código en MATLAB® (MATLAB®, 2018) que puede usarse en equipos que tengan instalado el sistema operativo Windows® a través de su ejecutable (Material Suplementario), o en equipos de cómputo que tengan instalado MATLAB® y con sistemas operativos como Linux® o Mac®. Esto último, limita su uso en computadoras que no cuenten con MATLAB® y que tengan un sistema operativo diferente a Windows®. Otra limitante de la versión actual de Frackita-v1 es que aún no es capaz de guardar los resultados en algún archivo, por lo que el usuario tiene que anotar los resultados numéricos y copiar la pantalla para guardar los gráficos. Así mismo, el código sólo puede abrir archivos de versiones previas al 2007 de Microsoft Excel® (*.xls), esto también limita el código al no poder usar otro tipo de archivos de Excel® más actualizados (*.xlsx), u otro tipo de archivos como *.txt, muy usados en otros programas de análisis de datos. A pesar de esto, las versiones actuales de Microsoft Excel® permiten guardar archivos en la versión antigua con extensión *.xls.
Una limitante importante en el análisis de fracturas que tiene el código Frackita-v1, es que no incluye la apertura de las fracturas. La apertura (distancia entre las paredes de una fractura) se suele medir simultáneamente con el espaciamiento en líneas de muestreo y se usa para entender la distribución de la deformación (Evans et al., 1997; Billi et al., 2003; Putz-Perrier y Sanderson, 2008; Fossen, 2016). Adicionalmente, la apertura es una variable que se incluye en los cálculos de permeabilidad debida a las fracturas (Vásquez-Serrano, 2013; Healy et al., 2017).
Las limitaciones actuales del código Frackita-v1, desarrollado en este trabajo, abren la posibilidad de seguir mejorándolo, tanto en los errores que los usuarios del código vayan detectando, como en la inclusión de nuevos apartados para un análisis más integral de las fracturas geológicas en 1D. En general se planea para las próximas versiones las siguientes mejoras:
Incluir en la lista de archivos de datos que puede abrir el código Frackita-v1 la versión más actualizada de Microsoft Excel®, y la posibilidad de abrir los datos con archivos de texto (*.txt).
Aumentar el potencial del código con la inclusión de la apertura de las fracturas para su análisis en el contexto de su distribución, cantidad de extensión y adquisición de parámetros estadísticos como el exponente de frecuencia acumulada de la apertura. Esto permitirá adquirir información valiosa en cuanto a las ecuaciones constitutivas de la apertura para su aplicación en la estimación de la permeabilidad (Healy et al., 2017) y el análisis de fenómenos como la deformación localizada y heterogénea (Putz-Perrier y Sanderson,2008; Vásquez-Serrano et al., 2021b).
Incluir un menú que permita guardar los resultados numéricos y gráficos mediante la generación de un archivo de texto (*.txt) y un archivo de imagen (*.png o *.jpg) respectivamente.
En general, se seguirá trabajando con las mejoras antes mencionadas y sobre todo en la conversión del código a la plataforma libre GNU OCTAVE, la cual es compatible con MATLAB®. Así mismo, se optimizarán a los módulos que requieren un mayor trabajo computacional (p. ej. Exponente de frecuencia acumulada del espaciamiento y apertura de las fracturas) y se incluirán nuevas herramientas interactivas (ajuste interactivo de curvas en los datos de dimensión de caja, de correlación y exponente de frecuencia acumulada) para un mejor manejo del código por parte de los usuarios. A pesar de las limitaciones anteriores, el código que se desarrolló en este trabajo cumple la función de calcular los parámetros relacionados con el análisis de fracturas, usando datos obtenidos a partir de líneas de muestreo (espaciamiento entre fracturas).
CONCLUSIONES
El código Frackita-v1, desarrollado en este trabajo, automatiza el cálculo de parámetros como: dimensión de caja, dimensión de correlación, exponente de Lyapunov, exponente de frecuencia acumulada, coeficiente de variación e intensidad de fracturas, a partir de datos de espaciamiento entre fracturas en cualquier escala. Frackita-v1 es la primera versión funcional de una herramienta computacional (escrita en MATLAB®) para analizar el arreglo y distribución de las fracturas. El código Frackita-v1 puede ayudar a entender fenómenos como la deformación localizada, el agrupamiento de fracturas, y el flujo de fluidos en rocas fracturadas. A partir de la primera versión del código Frackita-v1, el autor seguirá mejorando dicho código incluyendo el cálculo de otros parámetros y variables como la apertura.










nova página do texto(beta)



