Serviços Personalizados
Journal
Artigo
Indicadores
-
Citado por SciELO -
Acessos
Links relacionados
-
Similares em
SciELO
Compartilhar
Región y sociedad
versão On-line ISSN 2448-4849versão impressa ISSN 1870-3925
Región y sociedad vol.23 no.52 Hermosillo Set./Dez. 2011
Artículos
El mercado de la sandía en México: un estudio de caso sobre excesos de oferta y volatilidad de precios
Alejandra García Vázquez*, José Alberto García Salazar*, Eugenio Guzmán Soria**, Marcos Portillo Vázquez*** y Manuel Fortis Hernández****
* Colegio de Postgraduados. Km. 36.5 carretera México-Texcoco. C. P. 56230, Montecillo, Estado de México, México. Teléfono (595) 952 0200, extensión 1836. Correo electrónico: agarciav@colpos.mx / jsalazar@colpos.mx
** Instituto Tecnológico de Celaya. Av. Tecnológico y A. García Cubas s/n. C. P. 38010. Celaya, Guanajuato, México. Correo electrónico: eugenio@itc.mx
*** Universidad Autónoma Chapingo. Km. 38.5 carretera México-Texcoco. C. P. 56230, Chapingo, Estado de México.Teléfono (595) 952 1500, extensión 5794. Correo electrónico: mportillo49@yahoo.com
**** Instituto Tecnológico de Torreón. Km 7.5 carretera Torreón-San Pedro. C. P. 27170, Torreón, Coahuila, México. Correo electrónico: fortismanuel@hotmail.com
Recibido en octubre de 2010
Aceptado en enero de 2011
Resumen
Como consecuencia de los excesos de oferta, los productores de sandía enfrentan la disminución de precios en mayo, junio y julio. Con el objetivo de modelar medidas de control de la oferta, para mejorar la ganancia, se formuló un modelo de programación lineal que incorpora elementos espaciales y temporales, que caracterizan la producción y consumo de sandía en México. La mejor política para incrementar la ganancia es planear la producción; por lo tanto, se recomienda promover la organización nacional de productores de sandía para estabilizar el mercado.
Palabras clave: excesos de oferta, precios, ganancia, mercado, modelo de programación lineal, consumo.
Abstract
As a result of excess supply, watermelon producers face a price reduction problem in May, June, and July. With the objective of modeling supply control policies to improve profits, a linear programming model of the watermelon market in Mexico was formulated. Production planning is the best policy to increase profits; therefore, the promotion of a national organization of watermelon producers is recommended to stabilize the market.
Key words: excess supply, prices, profits, market, linear programming model, consumption.
Introducción
La variación temporal de precios es un problema actual de los productos hortofrutícolas de México, que en el sector de las hortalizas se manifiesta con disminuciones en los meses de alta producción nacional y aumentos en los que la disponibilidad es baja. Datos del Sistema Nacional de Información e Integración de Mercados (SNIIM) demuestran que la mayoría de las hortalizas pasan por esta situación. Como consecuencia de los precios bajos en las centrales de abasto, que son trasmitidos al productor, disminuye su ingreso y las ganancias, se descapitaliza el medio rural y se deteriora el bienestar de la familia.
La naturaleza biológica de la siembra de sandía en los ciclos otoño-invierno (OI) y primavera-verano (PV) determina que la cosecha no sea uniforme en el año. Debido a que la distribución temporal del consumo es homogénea, la estacionalidad de la producción determina excesos de oferta en los meses cuando ésta es máxima, lo que provoca la caída del precio, y mucha demanda cuando la cosecha es mínima, lo que aumenta su valor.
La variación de precios ocurre en la mayoría de las hortalizas. Datos del SNIIM (2009) indican excesos de oferta temporales en el mercado de la papa en marzo y octubre, en el del melón en junio, julio y agosto y en el caso de la sandía en mayo, junio y julio.
El problema de precios bajos en meses con demasiada oferta no es exclusivo de México, y se ha tratado de solucionar a través de la administración de la oferta del producto, y las medidas incluyen la planeación de la producción en el tiempo y el control de volúmenes dirigidos al mercado.
En la actualidad, en México no existe un organismo privado o institución gubernamental que atienda el superávit de oferta y caída estacional de los precios, que oriente el cultivo de hortalizas de acuerdo con las expectativas del mercado. En el pasado, la desaparecida Unión Nacional de Productores de Hortalizas (UNPH) tenía la facultad de dar permisos de siembra y de exportación, con los cuales se programaban las siembras y se ordenaban las cantidades enviadas al exterior, para evitar la saturación del mercado y la consecuente caída en los precios. La finalidad de la UNPH era aumentar los beneficios de los agricultores nacionales. Al desaparecer dicha organización, en 1990, los beneficios derivados de la comercialización de hortalizas se trasladaron hacia los intermediarios.
Los programas para almacenar hortalizas se han implementado en otras regiones del mundo. En Colombia, por ejemplo, éstos enfrentan el exceso de oferta de papa; sin embargo, la experiencia en América Latina ha mostrado que no son exitosos en países con capital escaso. Los altos costos de administración fueron la causa primaria del fracaso de los planes de almacenamiento diseñados para estabilizar los precios en Colombia (Rodríguez-Borray 2000).
En la Comarca Lagunera, en México, existen antecedentes de programación de siembras de melón para estabilizar su mercado en los meses de cosecha máxima del ciclo PV (El Siglo de Torreón, 1 7 de agosto, 2003). En esta misma región se ha intentado controlar el flujo del producto al mercado, a través del almacenaje, pero sin éxito debido a los altos costos de las bodegas y la falta de organización de los productores.
En Estados Unidos, el Departamento de Agricultura (USDA, por sus siglas en inglés), a través del Agricultural Marketing Service (AMS 2009), ha regulado y ordenado el mercado de frutas, hortalizas y cultivos especiales, con órdenes de mercadeo. El AMS administra varios programas regulatorios, diseñados en forma colectiva, para proteger a productores y comerciantes agrícolas de pérdidas financieras. Los acuerdos de las órdenes de mercadeo agrícola conceden al USDA el poder de ejercitar el uso de instrumentos para regular la comercialización de frutas, hortalizas y cultivos especiales. Muchas órdenes establecen requisitos mínimos de grado, tamaño, calidad y madurez, para promover el consumo y aumentar la demanda. Las órdenes de mercadeo y los acuerdos mantienen la calidad del producto en el mercado, estandarizan los paquetes y envases, regulan el flujo, establecen las cantidades almacenables y autorizan la investigación en la producción y apertura de mercados y publicidad.
Al igual que la mayoría de las hortalizas y frutas, en la actualidad en el cultivo de sandía hay abundancia de oferta temporal y precios bajos. La sandía es una de las frutas más importantes en el comercio agro alimentario de México, y hoy ocupa el primer lugar en las exportaciones en el mundo, a las que se destina, en promedio, 33.6 por ciento de la producción. Además de la generación de divisas, este cultivo es social y económicamente significativo porque es una fuente importante de empleo, ya que su proceso demanda de forma intensiva la mano de obra.
Los datos del Servicio de Información Agropecuaria y Pesquera de la Secretaría de Agricultura, Ganadería, Desarrollo Rural, Pesca y Alimentación(SIAP-SAGARPA 2009a) indican que en 2008 se sembraron 56 mil hectáreas de sandía en México, y se cosecharon 1 188 mil toneladas. La situación geográfica del país y el uso de tecnologías diferentes permiten su cultivo en 29 estados en todos los ciclos agrícolas y modalidades hídricas. En 2008, 61.5 por ciento de la producción se obtuvo en el ciclo oí y el restante 38.5 en el de PV. Así mismo, 70.1 por ciento fue de riego y 29.9 de temporal.
No obstante la gran participación de las exportaciones en la producción nacional, hoy en día el precio de la sandía es bajo en mayo, junio y julio, cuando alcanza la producción máxima, lo que origina demasiada oferta. El análisis mensual de medias móviles de precios al mayo reo, de marzo de 2005 a octubre de 2008, indica que en mayo, junio y julio fue 4.9, 10 y 8.9 por ciento respectivamente, menor al precio promedio nacional ubicado en 3 446 pesos por tonelada.
Con datos del SIAP-SAGARPA (2009a) y del SNIIM (2009) se determinó la relación negativa entre la producción nacional y el precio al mayoreo en los mercados domésticos principales, a través del modelo Pt=β0 + β1QNALt+ β2Dt, en donde para el mes t, Pt es el precio al mayoreo; QNALt es la producción nacional de sandía y Dt es una variable dicótoma, que toma el valor de 1 para meses con precios mayores al promedio de la serie de marzo de 2005 a octubre de 2008, y 0 para los menores al promedio de la misma serie. Los resultados de la estimación del modelo se presentan en la figura 1.

El coeficiente de determinación R2 osciló entre 0.65 y 0.84, los valores de t son mayores a la unidad en valores absolutos, lo cual indica que las variables independientes incluidas en el modelo son significativas, y el valor de los Durbin-Watson muestra que no existe autocorrelación. Según los resultados, si la producción nacional se incrementara en 1 000 toneladas, el precio al mayoreo disminuiría en 8.3, 4.6, 5.2, 6.3, 5.8, 5.6, 8.4 y 7.0 pesos por tonelada en las centrales de abasto correspondientes al Distrito Federal, Hermosillo, Chihuahua, Monterrey, Guadalajara, Oaxaca, Veracruz y Mérida.
Evidencia empírica sugiere que la implementación de medidas relacionadas con el control de volúmenes ha permitido aumentar la ganancia de los agricultores, al menos en EE UU (Powers 1990; Carman y Pick 1988; Shepard 1986;Thor y Jesse 1981; Kinney et al. 1987). Estas políticas pueden tener el potencial para mejorar el ingreso y la ganancia de los productores de sandía en México. No usar dichas herramientas resulta en una desventaja comparativa considerable, en relación con los de frutas y hortalizas de EE UU. Además de controlar los volúmenes, el exceso de oferta temporal podría eliminarse a través de las exportaciones. Una planeación adecuada de la producción y las exportaciones evitaría la caída estacional de los precios, de ahí que la promoción de la sandía mexicana en los mercados externos en los meses de abundancia podría ser una medida efectiva para dar salida a los excedentes.
Aun cuando no está en los planes del gobierno la creación de un organismo que ordene los volúmenes de exportación y producción nacional, se podrían aplicar medidas de control de la oferta para evitar la caída estacional de los precios, y evitar la disminución de ganancias. Por ejemplo, la contracción de la oferta en los meses de mayor cosecha, el almacenamiento y control del flujo destinado al mercado y la planeación de cultivos en el tiempo tendrían resultados diferentes en la ganancia de los productores de sandía.
Debido a que los precios al mayoreo influyen en los del agricultor, el comportamiento de ellos se trasmite a éste disminuyendo sus ingresos. Esta situación no es recomendable para los empresarios nacionales, la presente investigación se centra en el mercado de la sandía como estudio de caso sobre los excesos de oferta y variabilidad de precios, y su objetivo es explorar políticas de control de la oferta que permitan el ordenamiento del mercado de la sandía en México, con la finalidad de mejorar la ganancia.
Metodología
Para alcanzar el objetivo se formuló un modelo de programación, que incorpora los elementos espaciales y temporales que caracterizan la producción y consumo de sandía en México. La formulación se basó en la teoría económica, en particular en la de la empresa. La función objetivo del modelo maximiza la ganancia de los agricultores e intermediarios, la cual es igual a los ingresos totales nacionales provenientes de la venta de sandía, menos los costos de producción, transporte y almacenamiento. Tanto la oferta como la demanda se introdujeron de manera exógena en el modelo, y se consideraron ingresos provenientes de venta en el mercado nacional y de las exportaciones. En la determinación de las ganancias no se tomaron en cuenta los costos financieros ni la depreciación.
Según el modelo, la sandía se vende en el mercado doméstico y en el externo a través de las exportaciones, puestas en fronteras de salida, y cuyos puntos de destino no se consideraron por las razones siguientes: a) los objetivos de la investigación no lo requirieron y b) la inclusión de ellos en los países receptores hubiera hecho muy compleja la programación.
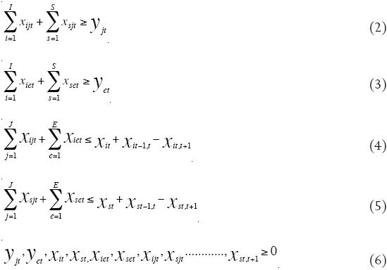
El modelo consideró i(i=1,2...I=7) a las regiones productoras de sandía de riego y s(s=1,2...S=4) a las de temporal; j(j=1,2,3...J=8) para los mercados consumidores; e(e=1,2...E=4) para las fronteras de salida de las exportaciones y t(t=1,2...T=12) para los periodos. Con base enTakayama y Judge (1971), el modelo propuesto es el siguiente:

sujeto a:

donde para el mes t, πt-1= (1/1+it)t-1 es el factor de descuento con it igual a la tasa de inflación; pcijt es el precio al mayoreo de sandía en el mercado j, proveniente del origen s; xsjt es la cantidad enviada de la región i al mercado j;pcsjt es el precio al mayoreo en el mercado j, proveniente del origen s; xsjt es el envío de la región s al mercado j;cpit es el costo de producción en i; xit es la cantidad producida en i; cpst es el costo de producción en s; xst es la cantidad producida en s; ctijt es el costo de transporte para enviar sandía de i a j; xijt es la cantidad enviada de i a j; ctsjt es el costo de transporte de s a j; xsjt es la cantidad enviada de s a j; cait,t+1 es el costo unitario de almacenamiento en la región i del mes t al t+1; xit,t+1 es la cantidad almacenada en i del mes t al t+1; cast,t+1 es el costo unitario de almacenaje en la región s del mes t al t+1; xst,t+1 es la cantidad en bodega en s del mes t al t+1; piet es el precio de exportación de sandía enviada de la región i a la frontera e; xiet es la cantidad exportada de la región i a la frontera e; pset es el precio de exportación de la fruta de la región s a la frontera e; xset es la cantidad exportada de la región s a la frontera e; ctiet es el costo de transporte por enviar sandía de i a e; xiet es la cantidad enviada de i a e; ctset es el costo de transporte de s a e; xset es el envío de la región s a la frontera e; yj- es el consumo de sandía en el mercado j; ye son las exportaciones enviadas a la frontera e.
La función objetivo está sujeta a cinco restricciones; la 2 indica cómo se abastece cada mercado j; la 3 que la cantidad de sandía puesta en la frontera e proviene de las zonas productoras i y s. La 4 y 5 establecen cómo se distribuye la sandía de las regiones de riego y de temporal a los mercados nacionales j y fronteras de exportación e. Y la restricción 6 establece las condiciones de no negatividad del modelo. Es importante mencionar a los agentes (productores, intermediarios y consumidores) involucrados en cada restricción. En cuyos términos, la 2 indica cómo los intermediarios, quienes compran sandía en las zonas de riego y de temporal, abastecen la demanda de los consumidores en los mercados urbanos. La 3 da cuenta de cómo los intermediarios mandan sandía hacia las fronteras de salida de las exportaciones. La 4 señala cómo los agricultores de riego almacenan su producción o la venden a los intermediarios, quienes la enviarán a los mercados nacionales o fronteras de exportación. La restricción 5 explica cómo los productores de temporal almacenan la fruta o la venden a los intermediarios, que la distribuirán en el país o la remitirán a fronteras de exportación.
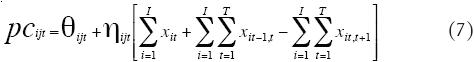
El efecto que tiene la cantidad producida sobre el precio al ma-yoreo de sandía se calculó así:

donde θijt y ηijt son la ordenada y el coeficiente de la función que relaciona el precio de la sandía en los mercados;' con la producción total nacional obtenida en el mes t.
Debido a que la oferta temporal de sandía también repercute en el precio al productor (ppijt), éste fue calculado restando al precio de mayoreo el margen de comercialización (mijt) que existe entre los precios al productor y al mayoreo:

Una vez obtenida la solución del modelo, se calculó la ganancia del productor nacional e intermediario; la del primero es la diferencia entre los ingresos por la venta de la sandía al intermediario, menos los costos de producción de la destinada al mercado nacional y los de almacenamiento. La ganancia del intermediario es igual al ingreso derivado de la venta de la sandía menos los costos del proceso de compra-venta, más los de transporte.
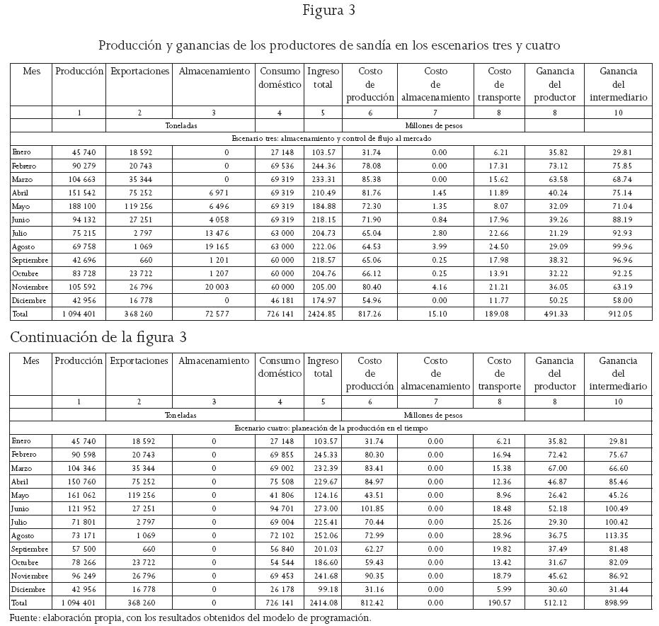
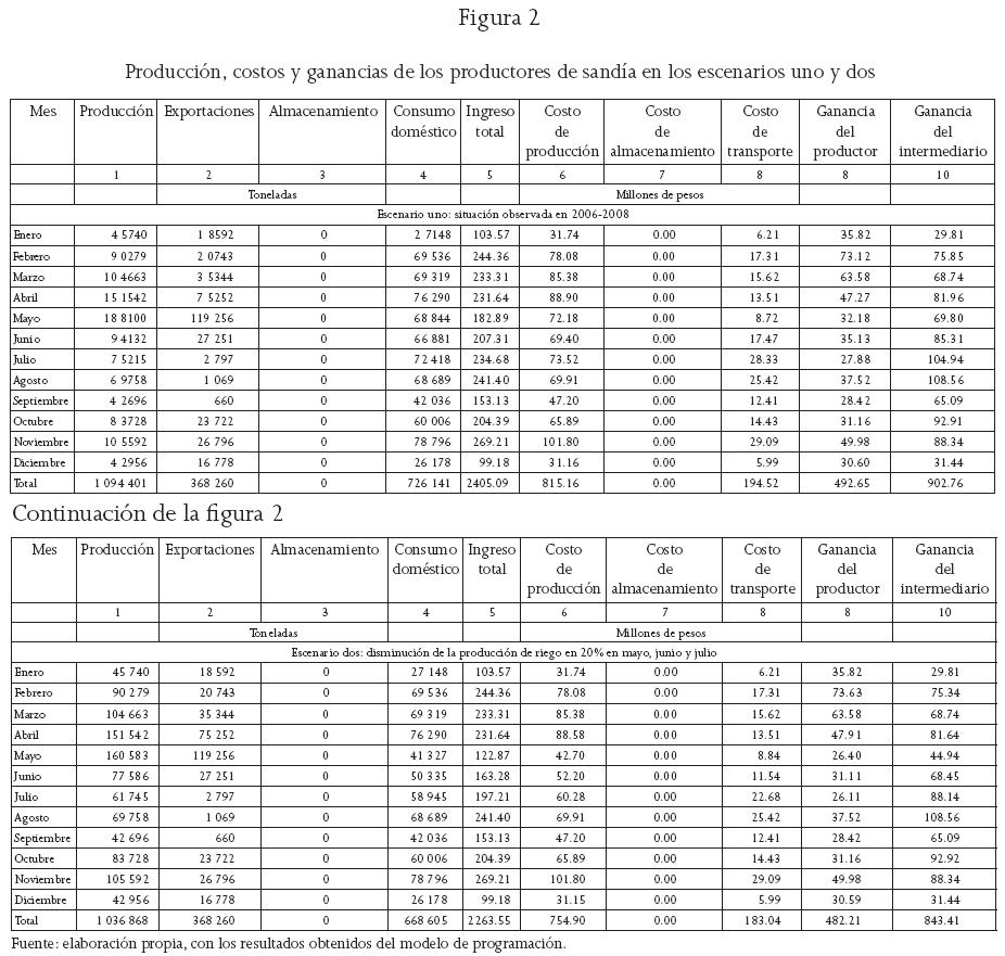
La ganancia se obtuvo en cuatro escenarios; el primero correspondió al base, o situación observada en el año promedio 2006-2008. En el segundo se analizaron los cambios en ingresos-costos-ganancias, con una reducción de 20 por ciento en la cosecha de riego en los meses de abundancia (mayo, junio y julio). En el tercer escenario se propuso la aplicación de un programa de almacenamiento para controlar el flujo del producto en el mercado. La cuarta solución supuso una distribución temporal homogénea de la sandía en los meses en que se obtiene, es decir, si la de una región se consigue en tres, se supone que es igual en cada mes. Debido a que el cultivo de temporal está sujeto a condiciones que no se pueden modificar (climáticas), los cambios sólo se aplicaron para la modalidad de riego. En los escenarios uno, dos y cuatro no se consideró el almacenamiento.
Los cambios en la producción y consumo en cada escenario son los siguientes, y los datos se muestran en la figura 2 y 3. En el escenario dos se consideró una disminución de ambos y en el ámbito doméstico en mayo, junio y julio; en el tres la producción anual y mensual se mantuvo constante, y sólo se redistribuyó el consumo doméstico mensual; mismo que en el cuatro se mantuvo constante, al igual que la producción anual, y sólo se consideró una redistribución de la producción mensual en el tiempo. El cultivo de sandía se concentró en siete regiones de riego y cuatro de temporal en algunas entidades del país. Así como en ocho zonas consumidoras y cuatro fronteras de exportación de México a EE UU.
El modelo se cerró a México, y se tomaron en cuenta las regiones consumidoras siguientes: noroeste (Baja California, Baja California Sur, Nayarit, Sinaloa y Sonora); noreste (Nuevo León yTamaulipas); norte (Coahuila, Chihuahua, Durango, San Luis Potosí y Zacatecas); centro (Distrito Federal, Hidalgo, Estado de México, Morelos, Puebla, Querétaro yTlaxcala); occidente (Aguascalientes, Colima, Guanajuato, Jalisco y Michoacán); sur (Chiapas, Guerrero y Oaxaca); golfo (Tabasco y Veracruz) y península (Campeche, Quintana Roo y Yucatán).
Como regiones de riego se consideró a Sonora (Sonora, Sinaloa, Nayarit, Baj a California y Baj a California Sur); Chihuahua (Chihuahua, San Luis Potosí y Zacatecas); Jalisco (Jalisco, Aguascalientes, Guanajuato, Colima, Michoacán, Estado de México, Querétaro, Puebla y Morelos); Comarca Lagunera (Coahuila y Durango); noreste (Nuevo León yTamaulipas); sur (Chiapas, Oaxaca y Guerrero) y golfo y península (Veracruz,Tabasco,Yucatán, Campeche y Quintana Roo). Las regiones de temporal fueron Sinaloa (Sinaloa, Sonora, Nayarit, Baja California y Baja California Sur); norte y centro occidente (Coahuila, Chihuahua, Durango, Zacatecas, San Luis Potosí, noroeste, occidente y centro) y sur (Chiapas, Oaxaca y Guerrero); Veracruz (Veracruz,Tabasco,Yucatán, Campeche y Quintana Roo).
La producción mensual de sandía se obtuvo del SIAP-SAGARPA (2009a), y los datos se agruparon de acuerdo con las regiones de riego y temporal. Del SNIIM (2009) se tomaron los precios al mayoreo de sandía en las principales centrales de abasto del país. Los costos de producción en los diferentes regímenes hidricos en el periodo 2006-2008 se obtuvieron del SIAP-SAGARPA (2009b).
Los costos de transporte fueron proporcionados por agentes dedicados a la comercialización de sandía, correspondientes a 2009. Por ejemplo, los de las zonas de riego y de temporal para cada región consumidora se obtuvieron multiplicando la tarifa promedio (pesos por t/km) por una matriz de distancias por camión. Se consideró una variable dicótoma, para captar el efecto de la distancia de las áreas productoras a las consumidoras. A dicha variable se le asignó un valor de 2 para distancias mayores de mil kilómetros, 1 para las de entre 501 y 1 000, y 0 para las de menos de 500. Con una R2 de 0.7862, la estimación de la ecuación arrojó un intercepto de 214.51, un coeficiente de 0.152, asociado a la distancia, y uno de 88.51 asociado a la variable dicótoma. Para cada región consumidora se consideraron las siguientes ciudades de referencia: Culiacán, Chihuahua, Monterrey, Guadalajara, Distrito Federal, Oaxaca, Veracruz y Mérida. Las fronteras como puntos de salida de las exportaciones fueron Ciudad Juárez, Nuevo Laredo, Nogales y Tijuana. La matriz de distancias consideró estos puntos de origen: Hermosillo, Chihuahua, Guadalajara, Torreón, Monterrey, Oaxaca y Veracruz, para la producción con sistema de riego, y Culiacán, Guadalajara, Oaxaca y Veracruz, para las regiones de temporal.
La cantidad y el precio de exportación mensuales se obtuvieron de la United States International Trade Comission, USITC (2009). El precio de exportación se sacó dividiendo el valor de las exportaciones entre el número de ellas y la información provino de la misma fuente (Ibid.).
Los agentes comercializadores de sandía proporcionaron los datos para calcular los costos mensuales de almacenamiento estimados considerando la renta mensual de la bodega, su capacidad y el movimiento del producto en el tiempo. El consumo regional mensual se calculó ponderando el nacional mensual aparente (producción más importaciones, menos exportaciones) por la participación de cada región en la población del país.
Una regresión lineal arrojó los coeficientes que relacionan los precios al mayoreo en los principales mercados nacionales y la producción del país. En dicha regresión se utilizó información sobre precios al mayoreo de las centrales de abasto del Distrito Federal (Iztapalapa), Sonora (Hermosillo), Chihuahua (Chihuahua), Nuevo León (Monterrey), Jalisco (Guadalajara), Oaxaca (Oaxaca),Veracruz (Jalapa) y Yucatán (Mérida).
La diferencia entre los precios al mayoreo y al productor determinó el margen de comercialización. Los primeros fueron los reportados por el SNIIM (2009) y los segundos se obtuvieron del SIAP-SAGARPA (2009). Los datos que alimentan el modelo se refieren a un promedio de tres años, conformado por promedios de los meses, que van de enero a diciembre de 2006 a 2008.Todos los valores monetarios fueron actualizados con el índice nacional de precios al consumidor, del Instituto Nacional de Estadística y Geografía (INEGI 2009). La solución del modelo se obtuvo a través del Sistema General de Modelaje Algebraico (GAMS, por sus siglas en inglés) (Brooke etal. 2005).
Resultados y discusión
Durante el año promedio 2006-2008, la producción nacional de sandía fue de 1 094 miles de toneladas; 72 por ciento de ella según la modalidad de riego y 28 en condiciones de temporal. En relación con la distribución en el tiempo, casi 50 por ciento de la cosecha se levantó de marzo a junio, con un máximo en mayo, con 17 del total nacional; ésta tampoco fue homogénea en las regiones, pues 51 por ciento de la de riego se obtuvo en Sonora, Jalisco y Chihuahua y 27 de la de temporal en las de Sinaloa, Veracruz y sur.
En el mismo periodo un porcentaje considerable de la producción de sandía se destinó a EE UU; se exportaron 368 mil toneladas, lo que representó 34 por ciento del total. La disponibilidad para el consumo nacional, igual a la producción menos las exportaciones, fue de 726 mil toneladas, la cual se distribuyó entre las regiones consumidoras así: noroeste, 9 por ciento del total; norte, 11; noreste, 7; occidente, 17; centro, 34; sur, 11; golfo, 8 y península, 4. Es oportuno mencionar que en los escenarios uno, dos y cuatro el consumo mensual de sandía es igual a la producción menos las exportaciones; en cambio, en el tres es igual a la producción menos las exportaciones, más el inventario inicial, menos el final.
El primer escenario supuso que toda la sandía que se quedó en el país fue vendida a los precios de 2006-2008. La ganancia total generada fue de 1 396 millones de pesos, de los cuales 493 millones fueron para el agricultor y 903 para el intermediario (véase figura 2).
Conviene destacar que las ganancias se calcularon con el precio promedio mensual, por lo tanto, cabe la posibilidad de que quienes vendieron en meses de precios bajos no obtuvieron nada. La ganancia de los intermediarios fue notoriamente mayor, por llevar a cabo el proceso de comercialización los agentes percibieron 903 millones de pesos, suma muy superior a los beneficios de los productores.
Los resultados de disminuir la oferta de riego en mayo, junio y julio muestran que la ganancia de los agricultores bajaría de 493 a 482 millones de pesos. Los efectos de la política también serían visibles sobre la ganancia unitaria (pesos por tonelada) la cual aumentaría de 467, 525 y 385 a 639, 618 y 443 pesos por tonelada en mayo, junio y julio respectivamente. Los intermediarios no se beneficiarían, ya que de 903 millones de pesos recibirían 843. Habría que mencionar que la superficie liberada por la sandía se podría utilizar para cultivar otra hortaliza, y constituiría una fuente nueva de generación de ingresos.
Otra alternativa para controlar el flujo de producto en el mercado es guardarlo, así podría reservarse una parte en meses de precios bajos, para venderla cuando éstos aumentan, y así la ganancia sería mayor. La implementacion de la política requeriría guardar 72.6 mil toneladas anuales, las cantidades más grandes serían en julio, agosto y noviembre con 13.4, 19.1 y 20.0 mil toneladas. Los productores pagarían 15 millones de pesos, costo que podría ser compensado con un precio mayor en los meses de menor oferta. Sin embargo, los resultados sobre la ganancia muestran que el almacenamiento no sería tan recomendable, pues apenas ascendería a 491 millones de pesos, suma ligeramente inferior a la del escenario uno.
Además de la pérdida leve de las ganancias, en la práctica la medida enfrentaría varias limitantes: a) algunas regiones tendrían que invertir en infraestructura, la cual no sería rentable por la estaciona-lidad del requerimiento de almacenaje; b) los costos que implicaría adquirir una bodega en alguna central de abasto son altos si se usa sólo una parte; c) la sandía es altamente perecedera, con mermas de 2 kg/t por día de almacenamiento; d) la sandía se corta en el punto exacto de maduración, por lo tanto, tiene una vida de anaquel relativamente corta, con un máximo de 30 días, requiere la movilización rápida después de la cosecha. Los intermediarios no saldrían perjudicados, pues aumentarían un poco su ganancia a 912 millones de pesos (véase figura 3).
También podría implantarse la planeación de la producción en el tiempo. Si se uniformizara el cultivo de sandía en los meses cuando biológicamente se puede obtener, se lograría una disponibilidad igual en cada uno, entonces desaparecerían los excesos de oferta temporales. La política consistiría en homogeneizar la siembra, es decir, si una región levanta su mayor cosecha en dos (cuatro) meses, entonces 50 por ciento (25 por ciento) de su producción debe obtenerse cada mes. Esto permitiría tener una oferta constante en el año y con ello menor variación en los precios. La ganancia total se incrementaría en 16 millones de pesos, y la de los productores aumentaría a 512; 19 millones más que la del año base. En este escenario, la ganancia de los intermediarios disminuiría de 903 a 899 millones de pesos.
La obtención de más ganancias será posible si se logra una organización de los agricultores tanto a escala regional como nacional, de esta forma se pueden lograr ventajas de planeación de la producción, como de negociación en la compra de insumos y comercialización del producto en los mercados nacionales e internacionales.
Que los agricultores absorban más de 75 por ciento de los costos totales y la mayoría no se involucre en actividades posteriores a la cosecha y comercialización, permite que el intermediario se apodere hasta de 60 por ciento del precio al mayoreo, y que gane hasta 2.5 veces más. El éxito de cualquier política de control de la oferta para ordenar el mercado de sandía depende de una mayor y mejor organización de los agricultores, sólo así podrán llegar a acuerdos de planeación en la producción y negociación ante los intermediarios y obtendrán ganancias mayores.
Es importante mencionar las implicaciones de las políticas en relación con la estructura de mercado predominante. La existencia de miles de productores de sandía y el desorden del cultivo en el tiempo indican que en la actualidad la estructura de mercado predominante es la competencia perfecta; sin embargo, la adopción de una medida que controle los volúmenes enviados al mercado con la finalidad de influir en el precio requiere la organización de los productores y, en consecuencia, el establecimiento de una estructura alejada de la competencia perfecta. De hecho, esta es la crítica principal a las órdenes de mercadeo de Estados Unidos. No obstante la situación, se sigue recomendando el escenario cuatro, por ser una vía efectiva para lograr el aumento de la ganancia de los productores y, de esta forma, incrementar el bienestar de las familias rurales que dependen de la actividad.
Es posible que los excesos de oferta temporales sean consecuencia de la política que caracteriza al escenario económico actual. Desde mediados de la década de los ochenta, el Gobierno de México se ha retirado gradualmente de las actividades productivas agropecuarias, permitiendo que la oferta y la demanda determinen el comportamiento de los precios y del mercado. Por lo tanto, las medidas de control de la oferta que aumenten la ganancia de los agricultores van en dirección contraria del escenario económico actual, caracterizado por la liberación comercial y el retiro paulatino del gobierno de las actividades productivas; sin embargo, se requiere que el Estado intervenga para promover la planeacion de la producción en el tiempo en mercados como la sandía, que se distinguen por presentar una marcada estacionalidad en la producción y en los precios.
Conclusiones
Un modelo de programación, aplicado al mercado de la sandía en México, muestra que el problema de precios bajos en algunos meses del año se puede solucionar con medidas de control de la oferta. La reducción del cultivo y su planeacion en el tiempo ayudarían a incrementar los ingresos de los productores. Aunque estas medidas sólo se practiquen en la siembra de riego; tanto los agricultores dedicados a ella, como a la de temporal resultarían beneficiados por el aumento en los precios nacionales provocados por la eliminación de los excesos de oferta temporales. Por tanto, para ordenar el mercado de la sandía en México se recomienda la planeacion en el tiempo, debido a que resultó ser lo mejor para aumentar la ganancia de los agricultores.
Bibliografía
AMS. 2009. Marketing Order Commodity Index, Industrial Marketing and Promotion, http://www.ams.usda.gov (17 de noviembre de 2009). [ Links ]
Brooke, Anthony, David Kendrick, Alexander Meeraus y Ramesh Raman. 2005. GAMS A User's Guide. Washington: GAMS Development Corporation. [ Links ]
Carman, Hoy R, y Daniel H. Pick. 1988. Marketing California-Arizona Lemons Without Marketing Order Shipments Controls. Agribusiness: An International Journal 4 (3): 245-259. [ Links ]
El Siglo de Torreón. 2003. Programación de siembras de melón en la Comarca Lagunera. 17 de agosto. [ Links ]
INEGI. 2009. Segundo conteo de población y vivienda, 2005. http://www.inegi.gob.mx (16 de octubre de 2009). [ Links ]
Kinney, William, Hoy Carman, Richard Green y John O'Connell. 1987. An Analysis of Economic Adjustment in the California-Arizona Lemon Industry. Oakland: Giannini Foundation, Research Report No. 337. [ Links ]
Powers, Nicholas J. 1990. Federal Marketing Orders for Fruits,Vegetables, Nuts and Specialty Crops. Washington: USDA, Econ. Res. Serv, AER 629. [ Links ]
Rodríguez-Borray, Gonzalo A. 2000. Almacenamiento de papa para consumo directo e industrial. En Manejo integrado del cultivo de la papa, compilado por Carlos A. Herrera, Luis H. Fierro y José D. Moreno, 170-179. Bogotá: Corporación Colombiana de Investigación Agropecuaria. [ Links ]
Shepard, Lawrence. 1986. Cartelization of the California-Arizona Orange Industry, 1934-1981. Journal oí Law and Economics 29 (1): 83-123. [ Links ]
SIAP-SAGARPA. 2009a. Producción, superficie sembrada y cosechada, rendimientos mensuales, http://www.siap.sagarpa.gob.mx (15 de octubre de 2009). [ Links ]
----------. 2009b. Precios medios rurales y costos de producción. http://www.siap.sagarpa.gob.mx (15 de octubre de 2009). [ Links ]
SNIIM. 2009. Mercados nacionales, precios de mercado, mercados agrícolas, frutas y hortalizas, http://www.secofi-snimm.gob.mx/nuevo (4 de septiembre de 2009). [ Links ]
Takayama, Takashi y George G. Judge. 1971. Spatial and Temporal Price and Allocation Models. Amsterdam: North-Holland Publishing Co. [ Links ]
Thor, Peter K., y Edward Y Jesse. 1981. Economic Effects of Terminating Federal Marketing Orders for California-Arizona Oranges. Washington: USDA, Econ. Res. Serv, TB-1664. [ Links ]
USITC. 2009. Interactive Tariff and Trade, http://www.usitc.gov (25 de septiembre de 2009). [ Links ]













