Serviços Personalizados
Journal
Artigo
Indicadores
-
Citado por SciELO -
Acessos
Links relacionados
-
Similares em
SciELO
Compartilhar
Revista mexicana de ingeniería química
versão impressa ISSN 1665-2738
Rev. Mex. Ing. Quím vol.11 no.2 Ciudad de México Ago. 2012
Ingeniería ambiental
Organic matter and nitrogen removal capacity of a new packing for trickling filters
Capacidad de remoción de materia orgánica y de nitrógeno de un nuevo empaque para filtros percoladores
TJ. Muñoz-Sánchez and R. Reyes-Mazzoco*
Universidad de las Américas Puebla, Departamento de Ingeniería Química, Alimentos y Ambiental, ExHacienda Santa Catarina Mártir, Cholula, CP 72810, Puebla, México. * Autor para la correspondencia. E-mail: rene.reyes@udlap.mx Tel. 222 2292660, Fax 222 2292727
Received 12 of September 2011;
Accepted 23 of January 2012
Abstract
The robust organic matter removal in a new packing is intended as pretreatment for wetland polishing of wastewater. The packing was tested with very high organic loads, ranging from 19.41 to 69.45 kg COD/m3d, and hydraulic loads between 2.55 and 3.82 m3/m2d. The effects of flow and concentration of whey on the removal of organic matter were studied using a factorial experimental design, and results confirmed that both variables and the interaction of them affected the removal efficiency. This result confirms that the organic load defines the behavior of a trickling filter. Total nitrogen levéis were reduced by an average of 33%, and ammonium nitrogen was reduced by 57% through cellular assimilation. The kinetic constant was 0.3059 kg COD/m2d with 26 m2/m3 of specific area, in contrast to 0.0693 kg COD/m2d obtained in previous work, where a similar packing design was used with 49 m2/m3 of specific area. These results suggest that at modérate organic loads the higher available volume for air flow increases the reaction rate. The kinetic model also showed a lower constant value with less specific area, indicating that the removal capacity of very high organic loads was reduced.
Keywords: nitrogen removal, organic load removal, structured packing, trickling filter.
Resumen
La remoción robusta de carga orgánica en un nuevo empaque se intenta como pretratamiento para el pulido en humedales de agua residual. El empaque fue probado con cargas orgánicas muy altas de 19.4 a 69.5 kg DQO/m3d y cargas hidráulicas de 2.5 a 3.8 m3/m2d. Los efectos del flujo y la concentración de suero sobre la remoción de materia orgánica se estudiaron mediante un diseño experimental factorial y sus resultados confirmaron que ambas variables y su interacción afectan la eficiencia de remoción. Este resultado confirma que la carga orgánica define el comportamiento de un filtro percolador. Los niveles de nitrógeno total se redujeron en promedio 33% y el nitrógeno amoniacal se redujo 57% mediante asimilación celular. La constante cinética fue 0.3059 kg DQO/m2d con 26 m2/m3 de área específica, en contraste con 0.0693 kg DQO/m2d obtenido en un trabajo previo con un empaque de diseño similar pero 49 m2/m3 de área específica. Estos resultados sugieren que a cargas orgánicas moderadas, el volumen disponible para el flujo de aire incrementa la velocidad de reacción. El modelo cinético también mostró un valor constante menor con área específica menor, indicando que se redujo la capacidad de remoción a cargas orgánicas muy altas por la reducción de superficie activa.
Palabras clave: remoción de nitrógeno, remoción de carga orgánica, empaque estructurado, filtro percolador.
1 Introduction
Wetlands are able to handle a limited concentration of pollutants, and in most situations require a previous digestión of high organic loads. The pretreatment should be able to handle also fluctuations in the organic load to avoid the need of tanks and other devices for homogenization. A trickling filter (TF) is a biological reactor that allows purification of wastewater without the need of energy for aeration and could handle the variations in organic loads if it has the proper design. It is characterized as an aerobic treatment system that removes organic matter by passing a stream of water through a layer of microorganisms, known as a biofilm (Metcalf & Eddy, 2004), attached to inert packing. It has been found that the oxygen transfer to the biofilm is the limiting process.
The biofilm is a complex system that involves a combination of processes, such as mass transfer of substrate and producís, bacterial growth, substrate consumption, cell death with loss of biofilm, and competition between bacterial species (Wijffels and Tramper, 1994). When wastewater passes through the filter, oxygen and nutrients diffuse into the biofilm and are consumed by aerobic organisms that produce waste producís and carbón dioxide (Reyes-Lara and Reyes-Mazzoco, 2009). As the thickness increases, the amount of oxygen decreases in the biofilm in contact with the packing that causes the growth of anaerobic organisms and a consequent increase in the production of gases. These gases swell the film, causing spoilage and loss of adhesión, which leads to detachment of the biomass that controls the rate of digestión (Spellman, 2009). In addition, the thickness of the biofilm can block the flow of water and air if the packing design is not appropriate. Thus, the specific area and the percentage of empty spaces are important parameters in the design or selection of the packing. The specific area must be exposed to the flow of wastewater to promote biofilm formation but must simultaneously minimize the obstruction of biofilms to air circulation (Reyes-Lara and Reyes-Mazzoco, 2009). Additionally, the material used as packing must have sufficient mechanical and chemical resistance (Spellman, 2009).
The use of plastics as packing allows for the construction of more efficient trickling filters. These materials provide a larger specific area (2 to 3 times the value obtained with rocks) and allow the use of higher organic loads because of the increase in the percentage of empty spaces (up to 95%). The increase in the aeration of water and a higher capacity to remove organic loads leads to an increase in the efficiency of water treatment (Brentwood Industries, 2009).
Several studies related to TFs have determined the effects generated by changes in operating conditions in the water purification process, such as hydraulic load, Q, m3 /m2d; organic load, L, kg COD/m3d; and temperature (Gebert and Wilderer, 2000). The increase in organic or hydraulic loads leads to a decrease in removal efficiency. However, unlike the organic load, the hydraulic load does not have a significant impact (Reyes-Lara y Reyes-Mazzoco, 2009). If the organic loads change in a reduced interval (0.35-0.6 kg BOD/m3 d), then the organic matter removal remains constant with constant hydraulic load (Guitonas and Alexious, 1995; Kornaros and Lyberatos, 2006). The performance of trickling filters in cold weather conditions cannot be improved warming the packing that supports the biofilm (Gebert and Wilderer, 2000), although most TFs for sewage treatment are not affected by seasonal changes (Guitonas and Alexiou, 1995; Elmitwalli et al, 2003). The thickness of the biofilm varies depending on the depth of the filter and the hydraulic loads; however, these parameters did not show any clear trend (Wuertz et al, 2008; Persson et al., 2002). Removal of volatile organic contaminants from air currents using TFs is also affected by operating conditions (Vanhooren et al, 2001; Melcer et al, 1995) but can accomplish the biodegradation of the contaminants.
Among the functions of a trickling filter is the reduction in nitrogen levéis. The importance of this process is due to the damages caused by nitrogen compounds (NH+, NH3, NOj, NO3) when discharged at high concentrations, such as the ecological impacts of eutrophication (van Haandel and van der Lubbe, 2007). The transformation of various forms of nitrogen occurs through the mechanisms of ammonification, assimilation, nitrificatión and denitrification. Trickling filter studies have usually analyzed the conditions under which nitrification increases in wastewater treatment (Dempsey et al., 2005; Sharma and Ahlert, 1977; Krüner and Rosenthal, 1983; Balakrishnan and Eckenfelder, 1969) or water potabilization (van den Akker et al., 2010), but in this study, the total nitrogen and ammonia reductions, mainly by assimilation, were measured.
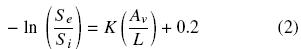
Eckenfelder showed that the COD removal can be described in terms of organic load, L, and the specific area of packing, Av in units of m2 packing area/m3 volume of the filter (Eckenfelder, 1980), Eq. (1).

Reyes-Lara and Reyes-Mazzoco (2009) adjusted the Eckenfelder kinetic model for structured packing, adding a constant term, Eq. (2), which accounts for the 20% removal of organic material at very high organic loads.

To predict the influence of pore diffusion on chemical and biochemical reaction rates, the Thiele module (MT) (Levenspiel, 1989) was adapted, which reduces the characteristic length, γ, the diameter of the spheres supporting the biofilm to avoid diminishing the reaction rate effectiveness factor from substrate and oxygen transport inside the pores of the biofilm (González-Brambila and López-Isunza, 2008).
In this work, a packing for trickling filters with a structure similar to that used by Reyes-Lara and Reyes-Mazzoco (2009) was tested. This packing had an increased void volume and a decreased specific area compared to Reyes-Lara and Reyes-Mazzoco (2009). The comparison of the results of organic matter removal obtained both in this study and the previous study identified the effects of packing design on organic load removal and rate of removal. Additionally, total nitrogen and ammonia removal were monitored.
2 Methods
2.1 Equipment
A scale trickling filter was built with an acrylic tube with a 20-cm diameter and a height of 106 cm. The structured packing consisted of 32 horizontal plates made of 1.2-cm-diameter plástic spheres, spaced 1.3 cm from edge to edge and supported with galvanized wire. The height of the packing was 79 cm, its specific surface area was 26 m2/m3, and its void volume was 95%. In a previous study (Reyes-Lara and Reyes-Mazzoco, 2009), a similar trickling filter packing was tested with the same arrangement of plates, but the specific surface area was 48.6 m2/m3, the void volume was 93% and the height was 55 cm. These experiments identified the relevant variables for this packing design. The organic loads for both sets of experiments were equalized by taking samples at a depth of 55 cm in the new packing.
Fig. 1 shows the experimental set up and the presence of a distributor on top of the column. Flows were adjusted using a diaphragm pump (Milton Roy), and the concentrations in the feeding reservoir were adjusted daily from fresh whey.

The comparison of operation intervals for different packing configurations in trickling filters shows that the packing tested in this study had a very low depth but a similar void volume and lower specific surface area than conventional plástic packing. The tests were performed with very high organic loads and without recirculation.
2.2 Wastewater
Whey from cheese fabrication was diluted in tap water to obtain the desired concentrations of 6000 to 10,000 ppm of COD.
2.3 Methods ofanalysis
Removal of organic matter in the filter was assessed by determination of COD at its inlet and its two outlets. A DRB200 (HACH) digester, a DR4000 (HACH) spectrophotometer and vials prepared by HACH were used for measuring COD.
The concentrations of total and ammonium nitrogen were measured at the filter inlet and outlet for analysis of nitrogen elimination using the techniques proposed by HACH.
2.4 Experimental design
A factorial 22 experimental design with a central point was used to understand the removal capacity when varying the inlet flow (80 and 120 L/d) and its concentration (6000 and 10,000 mg COD/L). The software Design-Expert v 6.0.6 (2002) provided the number of experiments and randomly ordered them.
2.5 Process stabilization
To develop the biofilm on the structured packing, 2 liters of fresh activated sludge was added to a solution of 2000 mg COD/L (prepared with whey) and supplemented with a solution of yeast extract. The activated sludge was obtained from the bottom of the secondary clarifier of an operating wastewater treatment.
After one week of filter operation, the water was observed with a 40x magnification microscope to verify the presence of the following types of ciliated microorganisms: free swimming, flxed, and nematodes. The ciliated microorganisms were abundant and provided evidence that the suspended and attached activated sludge was working at a proper digestión rate; therefore the experiments started.
3 Results and discussion
At the beginning of each experiment, the outlet concentration presented important variations of COD, starting with the feed value and reaching a new stable value. The removal ratio or the ratio of COD concentrations at the outlet and the inlet (Se/S¡) used in the analysis is the average of data obtained during the last 4 days of each experiment, once the percentage estimated standard error was less than 1%. The values of standard deviation and estimated standard error (Montgomery and Runger, 2003) of the removal ratios are shown in Table 1. Measurements of total and ammonium nitrogen at the inlet and outlet were made on samples obtained when steady state operation was achieved.
The experimental results in Table 2 show that the structured packing produced similar results to those obtained in a previous study with a packing of similar structure but different relative dimensions (Reyes-Lara and Reyes-Mazzoco, 2009). This comparison was made at a 55-cm packing depth where the organic loads were the same in both studies. The hydraulic loads were the same as those of the previous study because the cross sectional area and the volumetric flows were simultaneously duplicated. The packing depth of 79 cm, originated by the filter's void volume increase, provoked a decrease in organic matter concentration at the outlet of the equipment and an increase in efficiency (Table 2).
Analysis of variance of the experimental design with the results in Table 2 confirmed that the variable flow, F, inlet organic matter concentration, C, and the interaction between them affect the observed behavior of the removal ratio through Eq. (3). The analysis of variance gave nuil error; thus, the adjustment obtained between the model and the data is exact. It is important to observe that the model includes the curvature that corresponds to the product of the two independent variables. This is an independent confirmation that the mass removal in a trickling filter can only be explained by L, which is formed by the product of F and C divided by V (the volume of the filter is constant).

The analysis of variance of the linear model, without the interaction of F and C, had minor significance, and the error was equal to the curvature. This explains why the correlation between hydraulic load and removal ratio is low; they are related only by the presence of the flow in the hydraulic load definition.
The kinetic constant was obtained with the Eckenfelder model (Eq. 1). Fig. 2 shows the analysis of the data obtained at 55 cm and 79 cm of packing depth.

The modifications introduced to the structured packing in this study produced an increase in the reaction rate, as seen in Eq. (4), compared to the equation obtained by Reyes-Lara and Reyes-Mazzoco (2009), which is shown in Eq. (5).

This adjustment confirmed that the structured packing fabricated for this study presents a constant removal ratio of 0.884 at high organic loads; the previous design had a removal ratio of 0.815. Thus, the decrease in the specific surface area of the packing reduced the removal capacity at very high organic loads, but the increase in void volume made the digestión faster. Eckenfelder's kinetic model already includes the influence of the specific surface area. Additionally, the influence of the void packing volume is related to the constant value obtained in these studies.
The constant slope of mass removal as a function of organic loads (Fig. 3) implies that in both studies, an oxygen limitation on digestión was not reached. Nevertheless, the packing tested in this study has a smaller slope than the packing tested previously, and the last point obtained could have a different tendency. This behavior means that the reduction of packing specific surface area could decrease the capacity of oxygen transfer to the biofilm but only at high organic loads.

The nitrogen removal, evaluated as the difference between the total (Nt) and ammonium (Nam) nitrogen at the inlet and at the outlet of the filter, was positive (Table 3). This reduction can be attributed to a portion of the ammonium nitrogen being used for the formation of new cells (Crites and Tchobanoglous, 1998). For nitrification to happen, a concentration of less than 20mg BOD5/L (Harremoes, 1982) is required; in the experiments performed, the COD (and consequently the BOD5) was much higher than 20. The observed decrease in nitrogen concentrations represents a considerable contribution, taking into account the importance of removing the nitrogen levéis in wastewater discharge to control eutrophication and toxicity on aquatic fauna.
The analysis of total nitrogen removal data shows that there is no dependency with the organic and hydraulic loads; the values of goodness-of-fit R2 were 0.052 and 0.111, respectively. The nitrogen ammonium removal data also show low significant dependency with the organic and hydraulic loads (goodness-of-fit of 0.367 and 0.151, respectively). Despite the lack of a correlation between the total and ammonium nitrogen elimination with the filter operation variables, the remováis obtained are considerable contributions.
The increase in the value of the hydraulic load produced more biofilm detachment from the packing; this was expected to cause more nitrogen assimilation, but the results did not confirm this process. In addition, biofilm losses did not affect the organic matter removal.
Conclusions
The analysis of variance of the experimental results in Table 1 confirmed that the flow and the feed concentration, acting simultaneously, define the organic matter removal in the filter.
The structured packing that was constructed with a specific surface area of 26 m2/m3 was compared to an altérnate packing of a similar construction with a surface area of 48 m2/m3. No significant difference was found in the values of removal ratio at the same organic loads, as shown in Table 2.
The removal velocity of organic load increased with a decrease in the specific surface area and an increase in the void volume in the packing. The value of the kinetic constant (0.3059 kg/m2d) was obtained from the modified Eckenfelder equation with a good linear fit, Fig. 2. The kinetic constant value obtained was 5 times higher than that of a previous study (0.0693 kg COD/m2d) using similarly constructed packing.
The constant found in the kinetic model is reflective of the removal capacity of the packing at very high organic loads. The value was higher because of the larger void-volume of the packing. Fig. 3 explains the increase in mass removal capacity.
The constructed trickling filter significantly reduced the leveis of total and ammonium nitrogen present in the inlet flow. The organic and hydraulic loads had no influence on the removal of total and ammonium nitrogen, as shown in Table 3.

References
Balakrishnan, S. and Eckenfelder, W. (1969). Nitrogen relationship in biological processes-II. Water Resources 3, 167-174. [ Links ]
Brentwood Industries, Inc. (2009). Technologies for Water & Wastewater Treatment, Trickling Filter System Design & Application. Available in http://www.brentwoodprocess.com/tricklingfilters.html. Accesed: 9 September 2010. [ Links ]
Crites, R. and Tchobanoglous, G. (1998). Small and Decentralized Wastewater Management Systems. McGraw-Hill, New York. [ Links ]
Eckenfelder, W.W. (1980). Principies of water quality management. CBI Publishing Co. Inc, Boston. [ Links ]
Dempsey, M.J., Lannigan, K.C. and Minall, RJ. (2005). Particulate-biofilm, expanded-bed technology for high-rate, low-cost wastewater treatment: Nitrification. Water Research 29, 965-974. [ Links ]
Elmitwalli, T.A., van Lier, J., Zeeman, G. and Lettinga, G. (2003). Treatment of domestic sewage at low temperature in a two-anaerobic step system followed by a trickling filter. Water Science and Technology 48, 199-206. [ Links ]
Harremöes, P. (1982). Criteria for nitrification in fixed-films reactors. Water Science and Technology 14, 167-187. [ Links ]
Gebert, W. and Wilderer, P.A. (2000). Heating up trickling filters to tackle cold weather conditions. Water Science and Technology 41, 163-166. [ Links ]
González-Brambila, M. and López-Isunza, F. (2008). Comportamiento de un reactor de biopelícula para tratamiento de agua residual a diferentes velocidades de flujo (Membrane-attached biofilm reactor behavior under different flow rate conditions in the treatment of a synthetic wastewater). Revista Mexicana de Ingeniería Química 7, 183-193. [ Links ]
Guitonas, A. and Alexiou, G. (1995). Performance of a two stage plastic media trickling filter in Greece. Water Science and Technology 32, 125-132. [ Links ]
Kornaros M. and Lyberatos G. (2006). Biological treatment of wastewaters from a dye manufacturing company using a trickling filter. Journal of Hazardous Materials 136, 95-102. [ Links ]
Krüner, G. and Rosenthal, H. (1983). Efficiency of nitrification in trickling filters using different subtrates. Aquacultural Engineering 2,49-67. [ Links ]
Levenspiel, O. (1989). The Chemical Reactor Omnibook, OSU Book Stores, Inc, Oregon. [ Links ]
Melcer, H., Parker, W.J. and Rittmann, B.E. (1995). Modeling of volatile organic contaminants in trickling filter systems. Water Science and Technology 31, 95-104. [ Links ]
Metcalf & Eddy. (2004). Wastewater Engineering Treatment and Reuse. McGraw-Hill, Inc, New York. [ Links ]
Montgomery, D. and Runger, G.C. (2003). Applied statistics and probability for engineers. John Wiley & Sons, Inc, United States of América. [ Links ]
Persson, F., Wik, T., Sorensson, F. and Hermansson, M. (2002). Distribution and activity of ammonia oxidizing bacteria in a large full-scale trickling filter. Water Resources 36, 1439-1448. [ Links ]
Reyes-Lara, S. and Reyes-Mazzoco, R. (2009). Efecto de las cargas hidráulica y orgánica sobre la eficiencia de remoción de un empaque estructurado en un filtro percolador (Effect of hydraulic and organic load on the mass removal of a structured packing in a trickling filter). Revista Mexicana de Ingeniería Química 8, 101-109. [ Links ]
Sharma, B. and Ahlert, R.C. (1977). Nitrification and nitrogen removal. Water Resources 11, 897-925. [ Links ]
Spellman, F.R. (2009). Handbook of Water and Wastewater Treatment Plant Operations. CRC Press Company, Florida. [ Links ]
van den Akker, B., Holmes, M., Cromar, N. and Fallowfield, H.R. (2010). The impact of organic carbón on the performance of a high rate nitrifying trickling filter designed to pre-treat potable water. Water Science and Technology 61, 1875-1883. [ Links ]
van Haandel, A. and van der Lubbe, J. (2007). Handbook Bioloogical Wastewater Treatment. Quist Publishing, Netherlands. [ Links ]
Vanhooren, H., Verbrugge, T., Boeije, G., Demey, D. and Vanrolleghem, P.A. (2001) Adequate model complexity for scenario analysis of VOC stripping in a trickling filter. Water Science and Technology 43,29-38. [ Links ]
Wijffels, R. H. and Tramper, J. (1994). Nitrification by immobilized cells. Enzyme Microbial Technology 17, 482-492. [ Links ]
Wuertz, S., Bishop, P.L. and Wilderer, P.A. (2008). Biofilms in Wastewater Treatment: An Interdisciplinary Approach. IWA Publishing, London. [ Links ]













