SciELO - Scientific Electronic Library Online

 
vol.10 número5Análisis temporal de sequías (1922-2016) en la cuenca alta del río Nazas usando el SPI y su relación con ENSOFactores que inciden en el agotamiento y la contaminación por intrusión marina en el acuífero costero de La Yarada, Tacna, Perú índice de autoresíndice de materiabúsqueda de artículos
Home Pagelista alfabética de revistas  

Servicios Personalizados

Revista

Articulo

Indicadores

Links relacionados

  • No hay artículos similaresSimilares en SciELO

Compartir


Tecnología y ciencias del agua

versión On-line ISSN 2007-2422

Tecnol. cienc. agua vol.10 no.5 Jiutepec sep./oct. 2019  Epub 15-Feb-2020

https://doi.org/10.24850/j-tyca-2019-05-06 

Artículos

Método para estimar las constantes de la ley logarítmica

Method to estimate the constants of the logarithmic law

Ángel Mendoza-González1 
http://orcid.org/0000-0002-2883-2330

Ariosto Aguilar-Chávez2 
http://orcid.org/0000-0002-2884-5908

1Universidad Nacional Autónoma de México, Ciudad de México, México, angelmg@comunidad.unam.mx

2Instituto Mexicano de Tecnología del Agua, Jiutepec, México, aaguilar@tlaloc.imta.mx


Resumen

En este documento se presenta un procedimiento para determinar las constantes empíricas de von Kármán κ y de adición A de la ley de distribución de velocidad logarítmica, y se fundamenta en una estimación global de los valores mínimos de error entre el modelo de la ley logarítmica y los datos de una medición. Para verificar la bondad del método propuesto, se realizó una comparación con otros métodos presentados en la literatura, utilizando los datos de un perfil de velocidad obtenidos en un canal de pendiente variable de sección rectangular, con un velocímetro acústico de efecto Doppler (ADV, Acoustic Doppler Velocimeter). La prueba experimental fue en flujo uniforme con fondo de rugosidad 𝑘s = 0.000535 m y un número de Reynolds 𝑅𝑒 > 36 000. El método propuesto permite estimar de forma simultánea las constantes κ y A, localizando un valor óptimo denominado 𝐸min en un plano bidimensional de estimación de error de las constantes. Los resultados del método propuesto en comparación con otros reportados en la literatura indican una mejora o al menos una estimación similar. Además, se comprobó el ajuste de la ley logarítmica con los valores obtenidos de la prueba experimental en el rango establecido 30 < 𝑦+ < 0.3𝛿+, utilizando los valores calculados de κ y A con el método propuesto.

Palabras clave: ley logarítmica; constante de von Kármán; constante de adición; velocimetría acústica Doppler

Abstract

This paper presents a procedure to determine the empirical constants of von Kármán κ and additive A of the law of logarithmic velocity distribution, is based on a global estimation of the minimum values of error between the logarithmic law model and the data of a measurement. To verify the goodness of the proposed method, a comparison was made with other methods presented in the literature, using the data of a velocity profile obtained in a variable slope channel of rectangular section, with an Acoustic Doppler Velocimeter (ADV). The experimental test was in uniform flow with bed roughness 𝑘s = 0.000535 m and Reynolds number 𝑅𝑒 > 36 000. The proposed method allows to simultaneously estimate the empirical constants κ and A, locating an optimal value called 𝐸min in a two-dimensional plane of error estimation of the constants. The results of the proposed method compared to others reported in the literature indicate an improvement or at least a similar estimate. In addition, the adjustment of the logarithmic law with the values obtained from the experimental test in the established range 30 < 𝑦+ < 0.3𝛿+ was verified, using the calculated values of κ and A with the proposed method.

Keywords: Logarithmic law; von Kármán constant; additive constant; acoustic Doppler velocimetry

Introducción

La distribución de velocidades medias en un cauce natural o artificial se considera por simplicidad como un proceso bidimensional que tiene regiones con diferentes características de velocidad en función del tirante (Nezu & Nakagawa, 1993). Estas regiones se evalúan por la relación y/h, donde y es la coordenada vertical y h es la profundidad o tirante del flujo. En la región cercana al fondo 0y/h0.2, la velocidad principal es descrita por la clásica “ley de pared” (Coles, 1956), que se compone de tres zonas: subcapa viscosa, amortiguamiento y logarítmica (Petrie & Diplas, 2016; Spalding, 1961). La existencia de la subcapa viscosa y la zona de amortiguamiento está en función de la rugosidad del fondo, por ejemplo, si el valor de escala de rugosidad adimensional ks+<5 (ks+=ksu*/ν, donde ks es la rugosidad absoluta, u* es la velocidad de corte y ν es la viscosidad cinemática), el flujo se considera con fondo hidráulicamente liso y están presentes las tres zonas. Si 5ks+70, el flujo penetra la zona de amortiguamiento y la subcapa viscosa desaparece, considerándose como flujo con fondo incompletamente rugoso. Finalmente, si ks+>70, se considera como flujo con fondo completamente rugoso y las dos primeras zonas desaparecen, permaneciendo sólo la zona logarítmica. En el rango 0.2<y/h1.0 el perfil de velocidad no sigue una tendencia logarítmica, ya que se tienen dos comportamientos: el denominado fenómeno de inmersión (Bonakdari, Larrarte, Lassabatere, & Joannis, 2008; Yang, 2005) o de estela (Yang, 2009), donde los valores de una medición difieren respecto a los estimados con la “ley logarítmica”, Ecuación (1).

u+=1κlny++A (1)

Donde u+=u-/u* es la escala de velocidad adimensional y+=yu*/ν, la escala de longitud adimensional; u-, la velocidad media en dirección principal del flujo; κ, la constante de von Kármán, y A es la constante de adición. Este modelo logarítmico se ha utilizado para caracterizar el campo de velocidad de flujos turbulentos en ríos (Ferro & Baiamonte, 1994; Petrie & Diplas, 2016), canales (Auel, Albayrak, & Boes, 2014; Tominaga & Nezu, 1992) y tuberías (Bailey, Vallikivi, Hultmark, & Smits, 2014; Perry, Hafez, & Chong, 2001).

De acuerdo con Segalini, Örlü y Alfredsson (2013), en los trabajos experimentales que se exponen en la literatura, el rango donde la ley logarítmica reproduce de modo correcto el perfil de velocidad no está completamente definido. Según Segalini et al. (2013), el límite inferior oscila entre 30y+300 e incluso hay publicaciones que indican un límite hasta 600 (McKeon, Li, Jiang, Morrison, & Smits, 2004; Zagarola & Smits, 1998); para el límite superior se encuentra alrededor de 0.1y+/δ+0.3 (δ+=δu*/ν, donde δ denota el espesor de la capa límite); también hay publicaciones que muestran valores hasta 0.75 (Zanoun, Durst, & Nagib, 2003).

Para el uso de la ley logarítmica es necesario estimar los valores de las constantes empíricas κ y A, y existen diferentes métodos para determinarlas en diversas condiciones de flujo, a partir de datos de una medición (Monkewitz, 2017; Segalini et al., 2013; Zanoun et al., 2003). Los parámetros básicos que deben tomarse en cuenta para estimar las constantes son número de Reynolds y Froude (Bailey et al., 2014; Monkewitz, 2017); rugosidad del fondo (Auel et al., 2014), y la relación de aspecto del cauce b/h (en el caso de una sección rectangular, donde b es el ancho del fondo del canal) (Bonakdari et al., 2008).

En este documento se presenta un procedimiento para determinar las constantes empíricas κ y A de la ley logarítmica, y se fundamenta en una estimación global de los valores mínimos de error entre el modelo de la ley logarítmica y los datos de una medición. Además, con el fin de conocer los alcances de este método, se realizó una comparación con otros métodos descritos por Segalini et al. (2013), que son mínimos cuadrados, función de indicador y dispersión κ-A. En el apartado siguiente se describen tales métodos, junto con el propuesto en este trabajo, denominado topología.

La determinación de las constantes empíricas ante diferentes valores de número de Reynolds y Froude, rugosidad del fondo y relación de aspecto permite conocer sus variaciones y, por tanto, es posible utilizar con mayor precisión metodologías para determinar la velocidad de corte mediante el uso de la ley logarítmica, como la expuesta por Mendoza-González y Aguilar-Chávez (2018), donde se asumen valores fijos para κ y A.

Métodos de estimación de las constantesκ y A

Mínimos cuadrados

En el método de mínimos cuadrados se estima la constante de von Kármán con la Ecuación (2) (Segalini et al., 2013).

κ=N iln2yi+-ilnyi+2N iui+lnyi+-iui+ilnyi+     ;     i   1,, N (2)

Donde N es el número de valores de una medición que se consideran dentro del rango de la ley logarítmica e i denota el contador de cada valor. Una vez calculado κ, se procede con la estimación de A mediante la Ecuación (3).

A=1N iui+-1κlnyi+ (3)

Función de indicador

Este método tiene su origen en aplicar la derivada a la escala de velocidad u+ respecto a la escala de longitud y+ de la ley logarítmica. Entonces, se tiene la siguiente relación, Ecuación (4).

du+dy+=ddy+ 1κlny++A (4)

Desarrollando la derivada se tiene la Ecuación (5).

du+dy+ 1κ1y+ (5)

Finalmente, despejando la inversa de κ, se obtiene la función de indicador, Ecuación (6).

1κy+du+dy+ (6)

Para aplicar la ecuación anterior a valores discretos de una medición se utiliza la Ecuación (7).

1κ1Niyi+du+dy+i (7)

Mediante la Ecuación (7) se calcula κ, mientras que A se determina con la Ecuación (3). Este método también ha sido utilizado para discernir el rango de la región logarítmica. Este procedimiento es expuesto por Zanoun et al. (2003). La dificultad de tal método es determinar la derivada del perfil de velocidad du+/dy+, que tiene una gran dispersión debido a la incertidumbre inherente de los datos de una medición, siendo mayor en la cercanía de la pared (Segalini et al., 2013). Por lo tanto, para aplicarlo método se recomienda tomar las muestras de velocidad a una distancia constante (Österlund, 1999) y emplear un esquema de diferenciación central de orden superior (Buschmann & Gad-El-Hak, 2003).

Dispersión κ-A[/sectitle]

Este método fue propuesto por Alfredsson, Imayama, Lingwood, Örlü y Segalini (2013), y consiste en un reordenamiento de la ley logarítmica, tal como lo indica la Ecuación (8).

κA=κu+-lny+ (8)

Para emplear la Ecuación (8) se propone un rango de M valores de κ, y este rango se divide en j1,, M valores de evaluación, para los N valores de la región logarítmica. Con ello se obtiene una distancia de error κAij para cada valor de κ propuesto, tal distancia se define por la diferencia entre el maxκAi y el minκAi. El valor óptimo de ajuste para κ, es aquel donde se tiene el minκAij. Por último, A se calcula con la Ecuación (3), o bien, a partir de los valores κAi, con la Ecuación (9).

A=1κNiκAi (9)

Topología (propuesta)

El método propuesto consiste en un reordenamiento de la ley logarítmica, como se muestra en la Ecuación (10).

u+-1κlny+-A=0 (10)

En la expresión anterior, los valores de una medición u+ y y+ deben guiar el resultado a cero; en un caso ideal se podría tener un solo valor de κ y A, para indicar el valor exacto del perfil de velocidades de una medición. En este caso, se propone que existe una pequeña diferencia entre los valores de una medición y el valor de estimación de la Ecuación (10), y se define como error de estimación Ei. La forma funcional del error se aplica sobre un espacio paramétrico de los valores de κ y A, por lo que Ei:Ωκ,A=κmin,κmax×Amin,Amax, donde Ωκ,A es un espacio métrico para determinar los valores de las constantes del modelo logarítmico. Entonces, por cada valor de una medición se obtiene un valor de error sobre el espacio Ω, tal como se indica en la Ecuación (11).

Eiκ,A=ui+-1κlnyi+-A (11)

Con los valores de Eiκ,A se obtiene el plano métrico del error, que en teoría se considera continuo; sin embargo, la forma funcional de κ y A no son conocidas, por lo que se considera una evaluación discreta por valores conocidos de éstas. Para obtener una medida escalar de la magnitud del vector de error de estimación Ei se aplica alguna norma de Hölder, Ecuación (12). La selección de una norma se discute después.

E=Eiκ,Ap=iEiκ,Ap1p     ,     1p<max Eiκ,A     ,     p=  (12)

Donde es el operador norma y p1, indica el número de norma.

De acuerdo con la definición formal de norma vectorial, la Ecuación (12) puede ser cero, si y sólo si Eiκ,A=0 (Bernstein, 2009); esto indicaría un ajuste exacto de la ley logarítmica con los valores ui+ de una medición. En la práctica no es posible tal condición y, por tanto, ninguna combinación de valores κ y A permite igualar con cero la Ecuación (12), sin embargo, existe una combinación que minimiza el error de estimación E y genera un ajuste adecuado de la ley logarítmica con un perfil de velocidad medido; entonces se dice que Eiκ,A0 para una combinación de valores de κ y A, en el dominio Ωκ,A.

En forma práctica, para estimar los valores de κ y A que minimizan E, se propone una discretización del espacio del dominio, de modo que se tienen los siguientes vectores: κj=κ1, , κM y Al=A1, , AQ, de dimensión M y Q, respectivamente, además M,Q>0 y M,QZ. El espaciamiento κ=κmax-κmin/M y A=Amax-Amin/Q pueden ser establecidos en función de la precisión que se requiera en la estimación de κ y A. Para establecer el rango de κmin,κmax y Amin,Amax se utilizan los valores reportados para estas constantes por otros autores, como los mostrados en la Figura 1.

Figura 1 Valores de las constantes de la ley logarítmica obtenidas de varias investigaciones. 

Una vez conocido el rango de combinación de los valores κj y Al, se obtiene una matriz de error Eκj,Al, donde el valor óptimo de κj y Al es aquel que minEiκj,Alp.

Prueba experimental

A fin de comparar los métodos de estimación de κ y A, se llevó a cabo una prueba experimental en el canal de agua de pendiente variable del Instituto Mexicano de Tecnología del Agua (IMTA), que tiene geometría rectangular de ancho b=0.245 m y una longitud L=5 m (ver Figura 2). La estación experimental cuenta con una bomba de 10 hp que abastece el caudal; un vertedor de aforo calibrado con la norma ISO 1438:2008, y una válvula para la regulación del caudal, entre otras componentes particulares, que permiten condiciones estables para los experimentos.

Figura 2 Estación experimental. 

Se implementó la técnica de velocimetría acústica de efecto doppler (ADV, Acoustic Doppler Velocimetry) para la medición de la velocidad del flujo, utilizando un equipo Vectrino Profiler™ de Nortek® (ver Figura 3). El equipo se posicionó a 3.5 m de distancia de la entrada del flujo para evitar defectos en el perfil de velocidad causados por la entrada del flujo o por la salida de éste en caída libre al tanque de recirculación. La frecuencia de muestreo fue de 100 Hz, con un tiempo de almacenamiento t=60 s. Como parte del experimento se instaló un tapete de lija en el fondo del canal, con rugosidad absoluta ks=0.000535 m (ver Figura 3). Las características del flujo y el valor de ks dieron como resultado la condición de flujo con fondo incompletamente rugoso (ver Tabla 1).

Figura 3 Fondo de lija y equipo ADV Vectrino Profiler™. 

Tabla 1 Condiciones experimentales. 

Descripción Unidades Valor
Pendiente S m/m 6.380 (10-4)
Ancho de base del canal b m 0.245
Tirante h m 0.156
Relación de aspecto b/h m/m 1.571
Velocidad de corte u* m/s 2.062 (10-2)
Temperatura T °C 30.000
Viscosidad cinemática ν m2/s 8.007 (10-7)
Caudal Q m3/s 1.631 (10-2)
Velocidad media U-=Q/A m/s 0.427
Número de Froude Fr=U-/gh (-) 0.345
Número de Reynolds Re=U-Rh/ν Rh=bh/(b+2h), radio hidráulico (-) 36.593 (103)
Rugosidad adimensional ks+ (-) 13.777

En el experimento se estableció la condición de flujo uniforme con una pendiente del canal S=0.000638 (ver Figura 4).

Figura 4 Condición de flujo uniforme en prueba experimental. 

La velocidad de corte se calculó con el modelo de Guo y Julien (2005), Ecuación (13).

u*=4πtan-1exp-πhb+π4hbexp-hbghS0.5 (13)

Donde g es la aceleración de la gravedad; S, la pendiente del fondo (considerando flujo uniforme), y b es el ancho de base del canal. Este modelo contiene un factor de corrección que disminuye el error de estimar directamente la velocidad de corte con el modelo clásico u*=ghS, sobre todo en bajas relaciones de aspecto b/h<10.

La posición y de los puntos de medición se obtuvo de forma directa con el equipo ADV, que permite medir la distancia al fondo y ubicar la posición de las celdas de medición. Además, el ADV cuenta con un termistor para medir la temperatura del agua, a partir de la cual se asignó un valor de viscosidad cinemática, considerando las tablas de Wagner y Kretzschmar (2008), que están basadas en la formulación industrial IAPWS-IF97. A manera de resumen, se presenta la Tabla 1 con las condiciones experimentales de la prueba.

Resultados

Los métodos de estimación se aplicaron en el rango 30<y+<0.3δ+ de los valores experimentales, donde δ+1558 (considerando un valor de espesor de capa límite δ=6.05 cm, que se estimó en función del máximo valor de velocidad del perfil de velocidad). Este rango se plantea de acuerdo con los límites descritos por Segalini et al. (2013), mismos que se mencionan en la introducción de este documento.

En la metodología de análisis topológico se requieren establecer inicialmente los vectores κj y Al; en este caso se propone que κ0.30,0.45 y A3.40,6.60, de acuerdo con los rangos de la Figura 1. El espaciamiento κ y A de los valores de cada vector κj y Al está en función de la precisión que se quiera obtener, como ya se indicó.

En la Figura 5 se muestra la topología de errores obtenida al evaluar la Ecuación (12) con los valores de la prueba experimental, utilizando la norma p=1 y un espaciamiento κ=A=0.001; los valores de κ y A que mejor ajustan el modelo teórico con los datos experimentales fueron 0.418 y 5.067, respectivamente.

Figura 5 Topología de errores E, para p=1 y κ=A=0.001

En la Figura 6 se presentan los valores de minEiκj,Alp para diferentes valores de norma p y de aproximación κ,A.

Figura 6 Valores de EminminEiκj,Alp en función de κ y A para diferentes valores de p

De acuerdo con el resultado presentado en la Figura 6, a partir de un espaciamiento κ=A=0.001, el Emin se mantiene aproximadamente constante para cualquier valor de norma; esto indica que el aumento en la resolución de los vectores (κ,A<0.001) no produce una disminución del error.

Para la prueba experimental se determinaron los valores de κ y A por los métodos de mínimos cuadrados, función de indicador, dispersión κ-A y topología. Los resultados se muestran en la Tabla 2. Para el método de topología se utilizó un espaciamiento κ=A=0.001; en el caso del método de dispersión κ-A, se utilizó la misma resolución para el vector de κj.

Tabla 2 Valores de κ y A obtenidos de cada método. 

Método κ A
Mínimos cuadrados 0.425 5.308
Función de indicador 0.385 4.114
Dispersión κ-A 0.431 5.469
Topología p=1 0.418 5.067
p=2 0.425 5.308
p=5 0.434 5.557
p=10 0.434 5.565
p=50 0.431 5.503
p=100 0.431 5.503
p= 0.431 5.504

Con el fin de hacer una comparación entre los diferentes métodos se proponen los siguientes criterios de estimación del error: a) error absoluto acumulado (Eaa) Ecuación (14), y b) error cuadrático acumulado (Eca), Ecuación (15), (Wackerly, Mendenhall, & Scheaffer, 2007).

Eaa=iui+experimental-ui+teórico (14)

Eca=iui+experimental-ui+teórico2 (15)

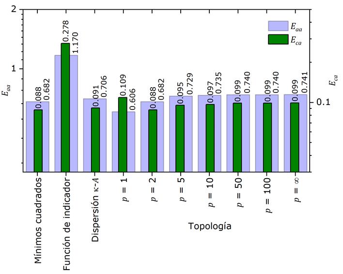
En la Figura 7 se presenta la comparación del Eaa y Eca en la estimación de las constantes κ y A por los diferentes métodos expuestos en este documento.

Figura 7 Valores de Eaa y Eca para cada método de estimación. 

De acuerdo con la Figura 7, el método con menor valor de Eaa es el de topología con p=1, mientras que el menor valor de Eca se obtuvo con el método de mínimos cuadrados y con el de topología con p=2. El método de función de indicador contiene los más altos valores de error, esto es generado por el término diferencial de la Ecuación (7), a pesar de que se aplicó una discretización centrada de segundo orden. En el caso del método de dispersión κ-A, sus valores de error no difieren de forma significativa de los valores obtenidos con el método de mínimos cuadrados, sin embargo, en ningún caso de forma de evaluación del error optimiza el ajuste. En el método de topología, si se consideran valores de p>2 no se optimiza el ajuste en ninguno de los dos casos de evaluación del error.

El perfil adimensional de velocidades medias con los valores de las constantes κ y A obtenidas por el método de topología con la norma p=1 se presenta en la Figura 8. En este perfil se observa el fenómeno de estela e inmersión para y+>400, donde los valores experimentales están por encima y debajo de la ley logarítmica estimada; en esta zona no se aplicaron los criterios de estimación de error.

Figura 8 Perfil adimensional de velocidades medias. 

En este trabajo no se analiza la incertidumbre que se puede generar en la estimación de κ y A a causa de la medición de las variables que contiene el modelo logarítmico, como la velocidad media u-, la coordenada vertical y, la viscosidad cinemática ν y la velocidad de corte u*. Parte de este análisis fue desarrollado por Segalini et al. (2013).

Conclusión

El objetivo de este documento fue estimar los valores κ y A del modelo logarítmico a partir de datos experimentales medidos en un canal por los métodos de mínimos cuadrados, función de indicador, dispersión κ-A y topología.

El método propuesto de topología permite estimar de forma simultánea κ y A, ubicando el valor óptimo de Emin en un plano de estimación de error. De acuerdo con los valores obtenidos deκ y A, y con la evaluación de los errores Eaa y Eca, con el método de topología se logran mejores resultados, en comparación con los métodos de función de indicador y dispersión κ-A, y con tendencia similar comparando con el método de mínimos cuadrados utilizando un valor de norma p=2. Para el caso de norma p=1 se tiene una mejor estimación en el método de topología en comparación con mínimos cuadrados, utilizando como criterio Eaa.

Además, se comprobó el ajuste de la ley logarítmica con los valores obtenidos de la prueba experimental en el rango 30<y+<0.3δ+, utilizando los valores calculados de κ y A con el método de topología.

Agradecimientos

Al Instituto Mexicano de Tecnología del Agua (IMTA) por permitir llevar a cabo la presente investigación dentro de sus instalaciones, al Consejo Nacional de Ciencia y Tecnología (Conacyt) y la Universidad Nacional Autónoma de México (UNAM) por los fondos proporcionados para el desarrollo de este trabajo.

Referencias

Alfredsson, P. H., Imayama, S., Lingwood, R. J., Örlü, R., & Segalini, A. (2013). Turbulent boundary layers over flat plates and rotating disks - The legacy of von Kármán: A Stockholm perspective. European Journal of Mechanics, B/Fluids, 40, 17-29. https://doi.org/10.1016/j.euromechflu.2013.01.001 [ Links ]

Auel, C., Albayrak, I., & Boes, R. M. (2014). Turbulence characteristics in supercritical open channel flows: Effects of Froude number and aspect ratio. Journal of Hydraulic Engineering, 140(4). Recuperado de https://doi.org/10.1061/(ASCE)HY.1943-7900.0000841 [ Links ]

Bailey, S. C. C., Vallikivi, M., Hultmark, M., & Smits, A. J. (2014). Estimating the value of von Kármán’s constant in turbulent pipe flow. Journal of Fluid Mechanics, 749, 79-98. Recuperado de https://doi.org/10.1017/jfm.2014.208 [ Links ]

Bernstein, D. S. (2009). Matrix mathematics: Theory, facts, and formulas (2nd ed.). Princeton, USA: Princeton University Press. [ Links ]

Bonakdari, H., Larrarte, F., Lassabatere, L., & Joannis, C. (2008). Turbulent velocity profile in fully-developed open channel flows. Environmental Fluid Mechanics, 8(1), 1-17. Recuperado de https://doi.org/10.1007/s10652-007-9051-6 [ Links ]

Buschmann, M. H., & Gad-El-Hak, M. (2003). Debate concerning the mean-velocity profile of a turbulent boundary layer. AIAA Journal, 41(4), 565-572. Recuperado de https://doi.org/10.2514/2.1994 [ Links ]

Clark, J. A. (1968). A study of incompressible turbulent boundary layers in channel flow. Journal of Basic Engineering, 90(4), 455-467. Recuperado de https://doi.org/10.1115/1.3605163 [ Links ]

Coles, D. E. (1956). The law of the wake in the turbulent boundary layer. Journal of Fluid Mechanics , 1(02), 191-226. Recuperado de https://doi.org/10.1017/S0022112056000135 [ Links ]

Coles, D. E. (1968). Turbulent boundary layers in pressure gradients. In: Computation of turbulent boundary layers (pp. 1-45). Santa Monica, USA: United States Air Force Project Rand. [ Links ]

Comte-Bellot, G. (1963). Turbulent flow between two parallel walls. Grenoble, France: University of Grenoble. [ Links ]

Dean, R. B. (1978). Reynolds Number dependence of skin friction and other bulk flow variables in two-dimensional rectangular duct flow. Journal of Fluids Engineering, 100(2), 215-223. Recuperado de https://doi.org/10.1115/1.3448633 [ Links ]

Eggels, J. G. M., Unger, F., Weiss, M. H., Westerweel, J., Adrian, R. J., Friedrich, R., & Nieuwstadt, F. T. M. (1994). Fully developed turbulent pipe flow: A comparison between direct numerical simulation and experiment. Journal of Fluid Mechanics , 268, 175-210. Recuperado de https://doi.org/10.1017/S002211209400131X [ Links ]

Ferro, V., & Baiamonte, G. (1994). Flow velocity profiles in gravel-bed rivers. Journal of Hydraulic Engineering , 120(1), 60-80. Recuperado de https://doi.org/10.1061/(ASCE)0733-9429(1994)120:1(60) [ Links ]

Flack, K. A., & Schultz, M. P. (2010). Review of Hydraulic roughness scales in the fully rough regime. Journal of Fluids Engineering , 132(4). Recuperado de https://doi.org/10.1115/1.4001492 [ Links ]

Guo, J., & Julien, P. Y. (2005). Shear stress in smooth rectangular open-channel flows. Journal of Hydraulic Engineering , 131(1), 30-37. Recuperado de https://doi.org/10.1061/(ASCE)0733-9429(2005)131:1(30) [ Links ]

Johansson, A. V., & Alfredsson, P. H. (1982). On the structure of turbulent channel flow. Journal of Fluid Mechanics , 122, 295-314. Recuperado de https://doi.org/10.1017/S0022112082002225 [ Links ]

Kim, J., Moin, P., & Moser, R. (1987). Turbulence statistics in fully developed channel flow at low Reynolds number. Journal of Fluid Mechanics , 177, 133-166. Recuperado de https://doi.org/10.1017/S0022112087000892 [ Links ]

Laufer, J. (1951). Investigation of turbulent flow in a two-dimensional channel. Washington, DC, USA: National Advisory Committee for Aeronautics. [ Links ]

Marusic, I., Monty, J. P., Hultmark, M., & Smits, A. J. (2013). On the logarithmic region in wall turbulence. Journal of Fluid Mechanics , 716. Recuperado de https://doi.org/10.1017/jfm.2012.511 [ Links ]

McKeon, B. J., Li, J., Jiang, W., Morrison, J. F., & Smits, A. J. (2004). Further observations on the mean velocity distribution in fully developed pipe flow. Journal of Fluid Mechanics , 501, 135-147. Recuperado de https://doi.org/10.1017/S0022112003007304 [ Links ]

Mendoza-González, Á., & Aguilar-Chávez, A. (2018). Determinación de la velocidad de corte en un flujo de canal abierto de baja pendiente. Ingeniería Agrícola y Biosistemas, 10(1), 3-12. Recuperado de https://doi.org/10.5154/r.inagbi.2017.01.002 [ Links ]

Monkewitz, P. A. (2017). Revisiting the quest for a universal log-law and the role of pressure gradient in “canonical” wall-bounded turbulent flows. Physical Review Fluids, 2(9). Recuperado de https://doi.org/10.1103/PhysRevFluids.2.094602 [ Links ]

Nagib, H. M., & Chauhan, K. A. (2008). Variations of von Kármán coefficient in canonical flows. In: Physics of fluids (Vol. 20). Recuperado de https://doi.org/10.1063/1.3006423 [ Links ]

Nezu, I., & Nakagawa, H. (1993). Turbulence in open channel flows. International Association for Hydraulic Research. Recuperado de https://doi.org/10.1061/(ASCE)0733-9429(1994)120:10(1235) [ Links ]

Nezu, I., & Rodi, W. (1986). Open‐channel flow measurements with a laser doppler anemometer. Journal of Hydraulic Engineering , 112(5), 335-355. Recuperado de https://doi.org/http://dx.doi.org/10.1061/(ASCE)0733-9429(1986)112:5(335) [ Links ]

Nikuradse, J. (1950). Laws of flow in rough pipes. Washington, DC, USA: National Advisory Committee for Aeronautics . [ Links ]

Österlund, J. M. (1999). Experimental studies of zero pressure-gradient turbulent boundary layer flow. Kungl Tekniska Högskolan. Stockholm, Switzerland: Royal Institute of Technology. [ Links ]

Patel, V. C., & Head, M. R. (1969). Some observations on skin friction and velocity profiles in fully developed pipe and channel flows. Journal of Fluid Mechanics , 38(1), 181-201. Recuperado de https://doi.org/10.1017/S0022112069000115 [ Links ]

Perry, A. E., Hafez, S., & Chong, M. S. (2001). A possible reinterpretation of the Princeton superpipe data. Journal of Fluid Mechanics , 439, 395-401. Recuperado de https://doi.org/10.1017/S0022112001004840 [ Links ]

Petrie, J., & Diplas, P. (2016). Evaluation of the logarithmic law of the wall for river flows. River Research and Applications, 32(5), 1082-1093. Recuperado de https://doi.org/10.1002/rra.2920 [ Links ]

Rannie, W. D. (1956). Heat transfer in turbulent shear flow. Journal of the Aeronautical Sciences, 23(5), 485-489. Recuperado de https://doi.org/10.2514/8.3587 [ Links ]

Segalini, A., Örlü, R., & Alfredsson, P. H. (2013). Uncertainty analysis of the von Kármán constant. Experiments in Fluids, 54(2). Recuperado de https://doi.org/10.1007/s00348-013-1460-3 [ Links ]

Spalding, D. B. (1961). A Single formula for the “Law of the Wall.” Journal of Applied Mechanics, 28(3), 455-458. Recuperado de https://doi.org/10.1115/1.3641728 [ Links ]

Tominaga, A., & Nezu, I. (1992). Velocity profiles in steep open‐channel flows. Journal of Hydraulic Engineering , 118(1), 73-90. Recuperado de https://doi.org/10.1061/(ASCE)0733-9429(1992)118:1(73) [ Links ]

Townsend, A. A. (1956). The structure of turbulent shear flow. Cambridge, UK: Cambridge University Press. [ Links ]

Wackerly, D., Mendenhall, W., & L. Scheaffer, R. (2007). Mathematical Statistics with Applications (7th ed.). Belmont, USA: Cengage Learning. [ Links ]

Wagner, W., & Kretzschmar, H.-J. (2008). International Steam Tables - Properties of water and steam based on the industrial formulation IAPWS-IF97 (2nd ed.). Berlin/Heidelberg: Springer-Verlag. Recuperado de https://doi.org/10.1007/978-3-540-74234-0 [ Links ]

Yang, S.-Q. (2005). Interactions of boundary shear stress, secondary currents and velocity. Fluid Dynamics Research, 36(3), 121-136. Recuperado de https://doi.org/10.1016/j.fluiddyn.2005.01.002 [ Links ]

Yang, S.-Q. (2009). Velocity distribution and wake-law in gradually decelerating flows. Journal of Hydraulic Research, 47(2), 177-184. Recuperado de https://doi.org/10.3826/jhr.2009.3254 [ Links ]

Zagarola, M. V., & Smits, A. J. (1998). Mean-flow scaling of turbulent pipe flow. Journal of Fluid Mechanics , 373, 33-79. Recuperado de https://doi.org/10.1017/S0022112098002419 [ Links ]

Zanoun, E. S., Durst, F., & Nagib, H. (2003). Evaluating the law of the wall in two-dimensional fully developed turbulent channel flows. Physics of Fluids, 15(10), 3079-3089. Recuperado de https://doi.org/10.1063/1.1608010 [ Links ]

Recibido: 21 de Agosto de 2018; Aprobado: 19 de Marzo de 2019

Autor para correspondencia: Ángel Mendoza-González, mendoza.gonzalez.angel@gmail.com

Creative Commons License Este es un artículo publicado en acceso abierto bajo una licencia Creative Commons