Introducción
A nivel mundial existen entre 20 000 y 30 000 especies de orquídeas, cada día se descubren nuevas especies y en general, los países tropicales no han sido suficientemente estudiados como para estar seguros del tamaño de su flora de orquídeas (Chase 2001). Las orquídeas están entre las familias más amenazadas por la degradación de su hábitat, deforestación, comercio ilegal, extracción insostenible por su valor ornamental, medicinal y de alimento (Ticktin et al. 2020). México figura entre los países de América Latina más deforestados, tiene cerca de 1 300 especies de orquídeas silvestres, de las cuales, más de 300 especies son afectadas por el tráfico ilegal (Cardoso et al. 2020).
En México, L. autumnalis (Lex.) Lindl., L. speciosa (Kunt.) Schltr., y L. anceps Lindl. son extraídas extensivamente de los bosques por vendedores y recolectores. Debido a esto, L. speciosa, L. autumnalis y L. anceps se encuentran enlistadas en la Norma Oficial Mexicana NOM-059-SEMANART-2010 (SEMARNAT 2010) que incluye organismos en las categorías de bajo riesgo y protección especial (Ticktin et al. 2018, Cortes-Palomec et al. 2019). El cultivo in vitro de orquídeas ha sido una vía práctica para propagar especies de orquídeas endémicas o en peligro de extinción con propósitos de conservación (Ávila-Díaz et al. 2009, Leyva-Ovalle et al. 2020). Durante los últimos años se han reportado protocolos in vitro para la multiplicación y conservación para 11 especies de Laelia; sin embargo, los esfuerzos se han concentrado en L. anceps, L. autumnalis y L. speciosa (Ávila-Díaz et al. 2009, Vergara-Galicia et al. 2010, Ortega-Loeza et al. 2011, Murillo-Talavera et al. 2016, Castillo-Pérez et al. 2019). Dentro de las acciones que se han llevado a cabo para tratar de conservar y atender un mercado demandante de este tipo de plantas, se encuentran la germinación a simbiótica de cápsulas de semillas, la conservación de germoplasma in vitro, entre otras acciones (Castañeda-Zárate y Mata-Rosas 2012, Ramírez-Mosqueda et al. 2019, Mayo-Mosqueda et al. 2022).
Las orquídeas tienen baja tasa de germinación, debido a que sus semillas carecen de endospermo, por lo cual requieren de nutrientes o de otro organismo que favorezca la germinación. Por ejemplo, la asociación de orquídeas y hongos, ya sea sólo durante la germinación de las semillas o durante toda su vida, es un mutualismo a través del cual la orquídea obtiene nutrientes y compuestos de carbono (Hágsater et al. 2005). Si hay algo que caracteriza a las orquídeas en su conjunto es la complejidad de sus interacciones con otros seres vivos, ya sean hongos micorrícicos, polinizadores, árboles hospedadores u hormigas mutualistas (Selosse y Roy 2009, Hogewoning et al. 2010, Batista et al. 2018). En la naturaleza, se calcula que, de un millón de semillas, solo 10 a 15 germinan y un máximo de dos plantines se convierten en plantas adultas (Zhang et al. 2019). La germinación a simbiótica en condiciones de cultivo in vitro se ha utilizado para ocho especies de Laelia hasta el momento, lo que demuestra que es una alternativa eficaz para aumentar las tasas de germinación y supervivencia manteniendo la diversidad genética. Además, la germinación a simbiótica es una técnica poderosa para establecer cultivos asépticos in vitro con medios de cultivo MS e hidroponía para otros fines comerciales (Morini et al. 2000).
En los últimos años, la micropropagación ha incorporado los desarrollos tecnológicos como es el uso de sistemas de inmersión temporal, nanomateriales, extractos vegetales, iluminación LED, entre otros avances (Sorcia-Morales et al. 2021, Salaya-Reyna et al. 2021). Hasta la fecha, se han utilizado varias fuentes de luz en laboratorios de cultivo de tejidos vegetales, incluidas lámparas de sodio de alta presión, de haluro metálico y fluorescentes, siendo estas últimas las más populares (Gupta y Jatothu 2013). La fuente de luz tradicional utilizada para la propagación in vitro son las lámparas fluorescentes (FL). Sin embargo, el consumo de energía en las FL es costoso y produce una amplia gama de longitudes de onda (350-750 nm) innecesarias para el desarrollo de la planta, sus desventajas incluyen un alto consumo de electricidad, parámetros de radiación inestables y una emisión de calor considerable. Por otro lado, los diodos emisores de luz (LED) tienen la flexibilidad de ofrecer longitudes de onda específicas que pueden producir resultados más rápidos o favorables para los investigadores y cultivadores de plantas (Bello-Bello et al. 2017).
Los sistemas LED tienen bajo consumo, larga vida útil y mínima emisión de calor, lo que permite que se ubiquen cerca de las plantas, lo que aumenta la concentración de fotones y mejoran la fotosíntesis. Otro beneficio es que los LED emiten una luz constante independientemente de las condiciones de temperatura, a diferencia de las FL que son sensibles a la temperatura ambiente y al flujo de aire (Gupta y Jatothu 2013). Además, su construcción permite un control preciso del espectro y el uso de luz monocromática, valiosa para fines industriales y de investigación, pero imposible de obtener con las FL. Pero en las plantas existen carotenoides, xantofilas y fenoles, los llamados pigmentos accesorios que también absorben radiación (Esteban et al., 2015). En términos de producción de plantas, hay pocas aplicaciones en las que un espectro de luz monocromática pura produzca buenos resultados de crecimiento, como mantener las plantas compactas o retrasar el crecimiento. Además, todas las longitudes de onda entre 400 y 700 nm y por encima de 700 nm, contribuyen a la fotosíntesis y transmiten información sobre el entorno de la planta (Zhen y van-Iersel 2017). Estudios previos llevaron a la conclusión de que cada especie de planta requiere un rango de longitud de onda específico para un crecimiento óptimo (Gupta y Jatothu 2013, Baghel y Bansal 2015).
Otra alternativa es el uso de sistemas de inmersión temporal (SIT) , los cuales son sistemas automatizados y de diseño sencillo, pensados para el cultivo intensivo en un entorno de condiciones óptimas. Estos sistemas mejoran la transferencia de nutrientes y gases, y favorecen la formación de brotes. Además, permiten un monitoreo y control preciso de las condiciones ambientales, lo que resulta benefisioso en la producción comercial de plantas micropropagadas (Georgiev et al. 2014). El uso de medio líquido durante la micropropagación, se considera la solución ideal para reducir los costos de producción e introducir la automatización (San-José et al., 2020). La frecuencia y duración de la inmersión, el volumen del medio líquido, el número de explantes, la aireación y la ventilación forzada son factores críticos para optimizar la técnica de micropropagación (Bello-Bello et al. 2019, Lu y Merkle 2021) ya que promueve procesos fisiológicos tales como la fotosíntesis, la respiración, el desarrollo de la clorofila y el funcionamiento de las estomas, lo que favorece el desarrollo durante el proceso de aclimatización. Debido a lo anterior, el objetivo del presente estudio fue comparar las respuestas morfogenéticas de explantes a luces LED, y determinar el sistema de cultivo más rentable para la producción in vitro de Laelia anceps Lindl. Asimismo, la aplicación de LEDs podría aumentar la tasa de multiplicación.
Materiales y métodos
Material vegetal
La investigación se realizó en el Laboratorio de Cultivo de Tejidos Vegetales del Colegio de Postgraduados Campus Campeche. En el experimento se utilizaron plantines de 90 días de post-germinación, provenientes de semillas de una misma cápsula de Laelia anceps cultivadas in vitro en el medio de cultivo semisólido MS (Murashige y Skoog 1962) suplementado con 30 g L-1 de sacarosa, 5 g L-1 de carbón activado y 3.2 g L-1 de goma Gellan como gelificante. Los plantines fueron cultivados en condiciones asépticas en cuarto de fotoperiodo, con un régimen de iluminación de 12 h luz/12 h oscuridad, iluminadas con lámparas de tubo fluorescente blanca de 2 700 lumens, a una temperatura de 25 °C. La combinación de tipo de luz LED y reguladores de crecimiento y los dos sistemas de cultivo semisólido y líquido, es un efecto que se evaluó en este estudio.
Efecto de luces LED y reguladores de crecimiento en plantines
Los plantines fueron cultivados en medio de cultivo semisólido MS (Murashige y Skoog 1962), complementado con 30 g L-1 de sacarosa y reguladores de crecimiento 6-Bencilaminopurina (6-BAP, Phytotechnology Labs. Cat. B800) y ácido 2,4-diclorofenoxiacético (ácido 2,4-D, Phytotechnology Labs Cat. D295), en diferentes concentraciones y un control. Se empleó medio de cultivo semisólido que contuvo 3.2 g L-1 de goma Gellan. Cada frasco de vidrio de 250 mL de capacidad contuvo tres plantines de 1.0 cm de longitud en promedio. Los plantines fueron evaluados a los 45 días de cultivo. Los frascos con los plantines fueron mantenidos con fotoperiodo de 16/8 h luz/oscuridad a temperatura de 25 °C. El fotoperiodo empleado se utiliza para plantas tropicales. El estante del cuarto de cultivo consistió en un anaquel (121 cm x 193 cm x 45 cm) cromado con certificación (NSF), de seis niveles con una separación de 35 cm por nivel. El sistema de iluminación consistió en 2 lámparas LED (Tianlai®, T8X2C06A, 18W, 6 500K, 840 lm) de colores blanco frio (LW, 14.84 µmol m-2 s-1), rojo (LR, 4.2 µmol m-2 s-1), azul (LB, 19.6 µmol m-2 s-1) o en combinación, según sea el tratamiento. Los tratamientos se describen en la Tabla 1.
Tabla 1 Tratamientos evaluados
| Tratamiento | 6-BAP (mg L-1 ) | 2,4-D (mg L-1 ) | Luz LED | Tratamiento | 6-BAP (mg L-1 ) | 2,4-D (mg L-1 ) | Luz LED |
|---|---|---|---|---|---|---|---|
| 1 | 0 | 0 | Blanca | 9 | 10 | 0 | Roja +Azul |
| 2 | 0 | 0 | Roja | 10 | 10 | 0 | Roja + Blanca |
| 3 | 0 | 0 | Azul | 11 | 1 | 0.5 | Blanca |
| 4 | 0 | 0 | Roja + Azul | 12 | 1 | 0.5 | Roja |
| 5 | 0 | 0 | Roja + Blanca | 13 | 1 | 0.5 | Azul |
| 6 | 10 | 0 | Blanca | 14 | 1 | 0.5 | Roja + Azul |
| 7 | 10 | 0 | Roja | 15 | 1 | 0.5 | Roja + Blanca |
| 8 | 10 | 0 | Azul |
Influencia de dos sistemas de cultivo en la propagación de plantines
Se evaluaron dos sistemas de cultivo: Sistema de cultivo semisólido, en donde los medios fueron adicionados con 3.2 g L-1 de goma Gellan y dosificados en frascos de vidrio de 250 mL de capacidad y medio de cultivo líquido (Sistemas de Inmersión Temporal, SIT), en donde el medio de cultivo se dosificó en los frascos gemelos de un litro de capacidad. Se realizaron tres inmersiones durante 1 minuto cada 8 h. En este caso los SIT de un litro de capacidad, contuvo inicialmente 10 plantines. Los plantines fueron evaluados a los 25 días de cultivo. Los plantines fueron cultivados en condiciones asépticas en cuarto de fotoperiodo, con un régimen de iluminación de 12 h luz/12 h oscuridad, iluminados con lámparas de tubo fluorescente blanca de 2 700 lumens, a una temperatura de 25 °C. Para llevar a cabo los experimentos el pH se ajustó a 5.7, previo a su esterilización en autoclave a 121 °C y 1.2 kg cm-2 de presión por 20 minutos.
Variables de respuesta evaluadas
En los experimentos realizados, las variables evaluadas fueron el número de brotes, número de hojas y número de raíces de cada plantin. Asimismo, se determinó la materia seca expresada en porcentaje obtenida mediante la fórmula (Peso fresco (g))/(Peso seco (g)*100=MS) (las muestras fueron colocadas en estufa a 70 °C durante 8 h para obtener el peso seco). Además, se estimó el contenido de pigmentos fotosintéticos (clorofila a, b, total y carotenoides) mediante el método desarrollado por Wellburn (1994) modificado. Se tomaron 50 mg de hoja y se maceraron en frío con 2.0 mL de acetona al 80 %. El extracto fue colocado en microtubos y centrifugado a 10 000 rpm durante 10 minutos a 4 °C. Se midió la absorbancia del sobrenadante a la longitud de onda de 470 645 y 663 nm en un espectrofotómetro Jenway (modelo 7 315). Los datos de absorbancia se usaron para calcular la concentración de los pigmentos, de acuerdo con las siguientes ecuaciones:
Ecuaciones para calcular la concentración de los pigmentos
donde: A = absorbancia medida a 470 nm, V = volumen total del extracto (mL), P = peso de la muestra (g), A 1cm 1% =2592 (Coeficiente de absortividad molar del β-caroteno en éter de petróleo), y 104 =Factor de conversión para expresar el resultado en μg/g.
Análisis estadístico
Para el análisis de los datos, se empleó un diseño experimental completamente al azar con arreglo factorial. Para el cultivo en medio semisólido, las unidades experimentales consistieron en un frasco con tres plantines cada uno con cinco repeticiones. Para los biorreactores se emplearon tres frascos con 10 plantines. La cantidad de plantines en los sistemas de cultivo varió debido a la capacidad de cada uno de los sistemas utilizados. Los experimentos en medios de cultivo semisólido y liquido fueron replicados tres veces. A los datos obtenidos se les realizaron las pruebas de los supuestos de normalidad y homogeneidad de varianzas (Lindman 1974). Para el procesamiento estadístico de los datos experimentales se realizó análisis de varianza (ANOVA), las medias se compararon con una prueba de Diferencia Significativa Mínima (p ≤ 0.05), para encontrar diferencias entre los tratamientos. Todos los análisis se realizaron con el software R Core Team versión 4.2.2. para Windows de Microsoft®.
Resultados
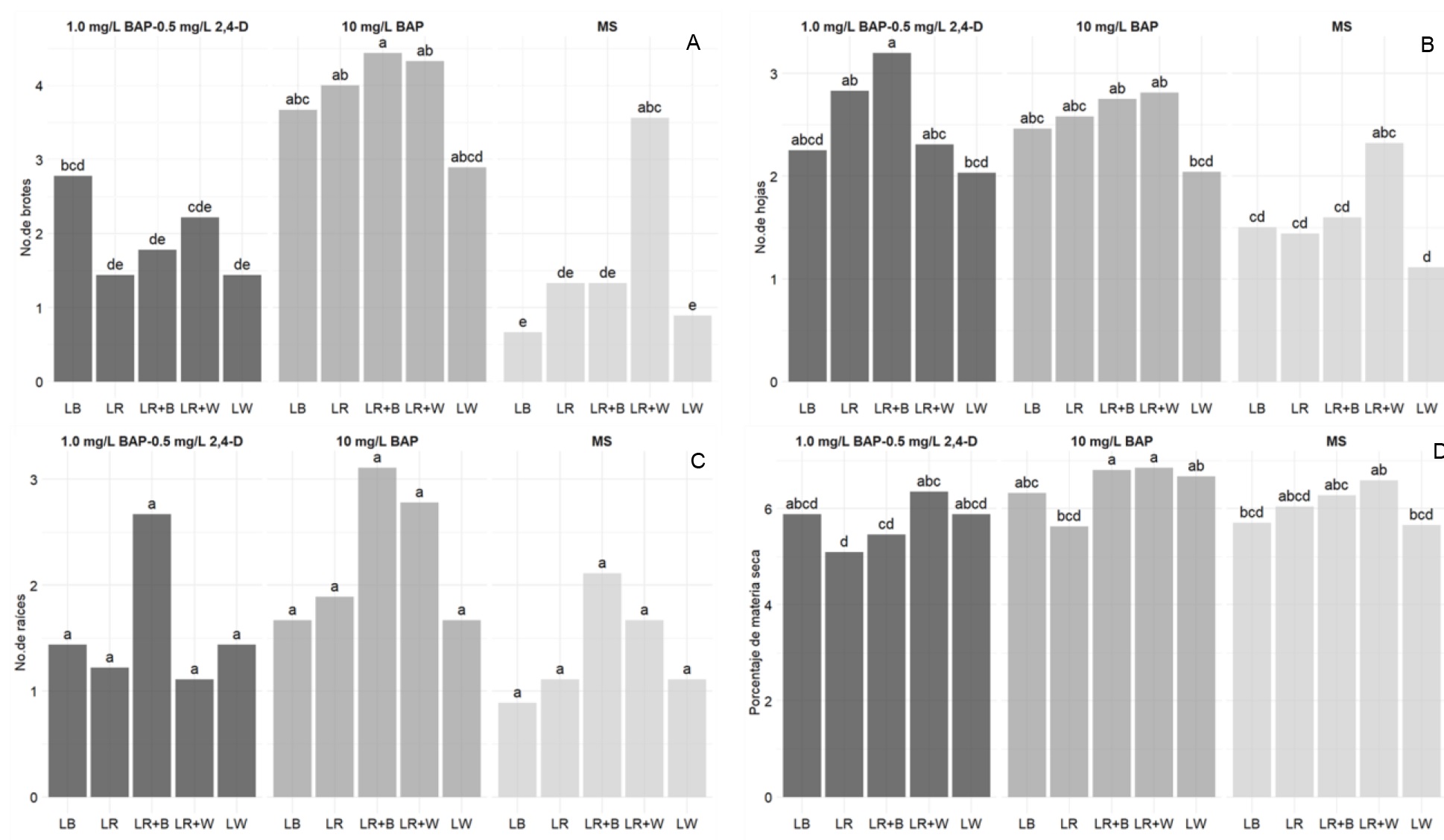
Los resultados obtenidos muestran diferencias significativas entre los tratamientos evaluados de manera individual (Figuras 1 A, B, C y D).

Figura 1 Efecto de la Luz LED y reguladores de crecimiento en la orquídea Laelia anceps. A) número de brotes, B) número de hojas, C) número de raíces y D) porcentaje de materia seca a los 45 días de cultivo. Letras distintas indican diferencias significativas según prueba de LSD (p < 0.05).
El mayor número promedio de brotes (4.44 ± 0.44) (Figura 1A) se obtuvo en el tratamiento que contenía 1.0 mg L-1 de 6-BAP y expuesto a luz LED (LR+B) (18.87 µmol m-2 s-1). En el tratamiento control se observó la misma respuesta, un incremento en el número de brotes en la combinación de LED (LR+B); mientras que cuando se adicionó una auxina al medio de cultivo el mayor número de brotes se obtuvieron en el tratamiento con LED (LB). En tanto que el mayor número de hojas (3.20 ± 0.46, Figura 1B) se logró en el tratamiento que contenía 1.0 mg L-1 de 6-BAP adicionado con 0.5 mg L-1 de 2,4-D en luz LED (LR+B). Cuando el medio de cultivo solo contenía la citoquinina se observó la misma respuesta a la luz LED (LR+B) y en el tratamiento control el mayor número de hojas se alcanzó en la combinación de luz LED (LR+W).
El número de raíces (3.11 ± 1.54) (Figura 1C) fue mayor en el tratamiento que contenía 10 mg L-1 de 6-BAP en luz roja más azul y de (2.78 ± 1.83) en luz roja más blanca. Sin embargo, no se encontraron diferencias significativas entre los tratamientos evaluados. Con respecto al porcentaje de materia seca el mayor porcentaje (6.80 ± 0.49) se alcanzó con 10 mg L-1 de 6-BAP en la combinación de luz LED (LR+B) (Figura 1D). La composición del medio de cultivo y el tipo de luz afectaron los contenidos de los pigmentos fotosintéticos (Figuras 2A, B, C y D ).

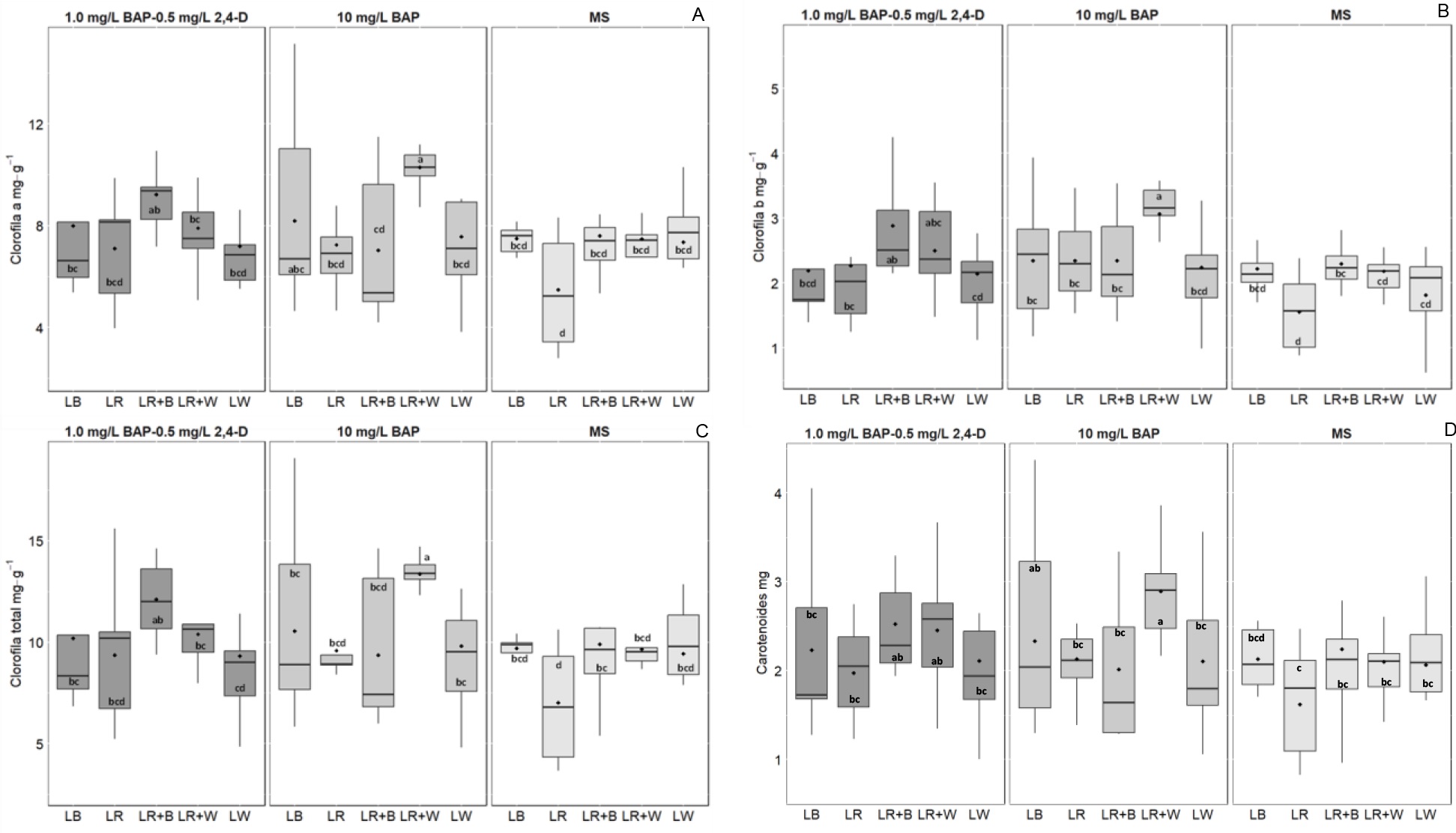
Figura 2 Efecto de la Luz LED y reguladores de crecimiento en la orquídea Laelia anceps. A) clorofila a, B) clorofila b, C) clorofila total y D) carotenoides, a los 45 días de cultivo. Letras distintas indican diferencias significativas según prueba de LSD (p < 0.05)
La luz LED (LR+W) incrementó la acumulación de clorofila a (10.30 mg g-1) (Figura 2A), clorofila b (3.07 mg g-1) (Figura 2B), clorofila total (13.37 mg g-1) (Figura 2C) y carotenoides (2.90 mg g-1) (Figura 2D) con respecto a los demás tratamientos, con hasta 7.9 mg g-1 más clorofila total que en el tratamiento control más luz roja.
Se realizaron observaciones visuales de los plantines obtenidos como tamaño, cantidad, raíces, coloración y textura de las hojas. En las plántulas micropropagadas de Laelia anceps, en todos los tratamientos evaluados no se observaron visualmente cambios degenerativos en el tamaño, número de raíces y número de hojas (Figura 3).

Figura 3 Plantines in vitro de Laelia anceps, obtenidas con diferentes combinaciones de luz y reguladores de crecimiento durante 45 días de cultivo. Las barras representan 1 cm.
Cuando las plántulas obtenidas estuvieron bajo la iluminación con luz blanca (T1, T6 y T11) se observaron plántulas pequeñas, con pocas hojas, algunas alargadas, raíces con presencia de velamen (la cual aparece como protección mecánica para evitar pérdida de agua) y variaron de verde claro a verde oscuro. También se observó que las plántulas sometidas al efecto de luz roja (T2, T7 y T12) eran pequeñas, hojas pequeñas y pocas, raíces con presencia de velamen y sin raíces; así como color verde claro. Las características de las plántulas bajo el efecto de la luz azul (T3, T8 y T13) fueron pequeñas y delgadas, pocas hojas, pocas raíces pequeñas y coloración verde claro. Para los tratamientos (T4, T9 y T14) se observaron plántulas grandes con varias hojas pequeñas y algunas alargadas, raíces largas y algunas sin presencia de raíces, la coloración varió de verde claro a verde oscuro. Las plántulas de los tratamientos (T5, T10 y T15) fueron pequeñas y delgadas, con hojas pequeñas, raíces pequeñas y la coloración fue de verde claro a verde oscuro.
Los resultados obtenidos mostraron que no hubo diferencias significativas entre los tratamientos probados. Las variables evaluadas número de brotes, número de raíces, número de hojas, porcentaje de materia seca, clorofila a, clorofila b, clorofila total y carotenoides en los dos medios de cultivo no mostraron diferencias significativas estadísticamente (Tablas 2 y 3). Sin embargo, en el caso de las variables porcentaje de materia seca y carotenoides sí se encontraron diferencias estadísticamente significativas. Aunque se esperaba que la exposición a los diferentes medios de cultivo incrementara en las variables en estudio.
Tabla 2 Influencia de los sistemas de cultivo en Laelia anceps a los 25 días de cultivo
| Sistema de cultivo | No. de brotes Media ± ee | No. de hojas Media ± ee | No. de raíces Media ± ee | % de materia seca Media ± ee |
|---|---|---|---|---|
| Líquido | 3.20 ± 0.368 a | 5.40 ± 0.702 a | 0.33 ± 0.12 a | 5.61 ± 0.335 a |
| Semisólido | 2.89 ± 0.655 a | 7.11 ± 0.02 a | 1.67 ± 1.03 a | 6.67 ± 0.474 a |
Tabla 3 Influencia de los sistemas de cultivo en Laelia anceps a los 25 días de cultivo
| Sistema de cultivo | Clorofila a Media ± ee | Clorofila b Media ± ee | Clorofila total Media ± ee | Carotenoides Media ± ee |
|---|---|---|---|---|
| Líquido | 8.84 ± 0.558 a | 2.59 ± 0.217 a | 11.4 ± 0.758 a | 2.71 ± 0.61 a |
| Semisólido | 7.57 ± 0.959 a | 2.21 ± 0.304 a | 9.80 ± 1.190 a | 2.10 ± 0.78 b |
Con respecto al sistema de inmersión temporal, los resultados obtenidos indican diferencias en los valores para las variables número de brotes, clorofila a, clorofila b, clorofila total y carotenoides.
Discusión
Los resultados de este estudio en el número de brotes difieren de los alcanzados en vainilla (Vanilla planifolia Andrews) con 5.11 brotes cuando fueron expuestos a luz azul más roja (40 µmol m-2 s-1) (Ramírez-Mosqueda et al. 2017) y en Dendrobium officinale Kimura & Migo con 11.5 brotes con luz azul al 100% (70 µmol m-2 s-1) (Lin et al. 2011) es difícil indicar un único espectro de luz adecuado para la propagación de cada especie vegetal. Por ejemplo, Bello-Bello et al. (2016) obtuvieron en Vanilla planifolia, la tasa de propagación más alta (10.8 brotes) en la mezcla de LED azul y rojo, blanco y FL; mientras que, disminuyó la proliferación de brotes en luz roja y azul cuando se encontraban de forma individual o monocromática. Esto se debe a que las plantas responden a un estímulo de diferente manera, en virtud de su ambiente, necesidades y mecanismos que tienen la capacidad de detectar, medir e interpretar la información de luz entrante (Franklin et al. 2007, Shaarma et al. 2021).
Los resultados en el número de hojas promedio fueron superiores a los obtenidos por Mayo-Mosqueda et al. (2020) quienes alcanzaron en Laelia rubescens Lindl., 1.46 ± 0.51 hojas promedio en un medio de cultivo sin reguladores de crecimiento (Figura 1B). Mientras que, los resultados del estudio fueron inferiores a los alcanzados en Vanilla planifolia 3.6 hojas promedio (Bello-Bello et al. 2016), 4.6 en Myrtus communis L. (Cioć et al. 2018) bajo condiciones de luz fluorescente (FL) y en Vanilla planifolia con 4.6 hojas en promedio con luz azul al 100% (Ramírez-Mosqueda et al. 2017). Esto puede ser debido a que la luz LED azul o la combinación LED azul rojo estimula la elongación de la hoja y por lo tanto el área foliar en varias especies de plantas cultivadas in vitro (Shin et al. 2008, Liu et al. 2014). Además, la luz fluorescente incrementa la densidad estomatal de las plántulas in vitro de V. planifolia mientras las diferentes luces LED promueven el efecto opuesto.
En el número de raíces en este estudio fueron superiores a los encontrados en Laelia rubescens (1.0 ± 0.1) (Mayo-Mosqueda et al. 2020), Laelia autumnalis (0.90) (Murillo-Talavera et al. (2016) y Vanilla planifolia (2.6) (Bello-Bello et al. 2016). Esto puede ser debido, a que las citoquininas promueven la formación de brotes y de raíces dependiendo de sus concentraciones en interacción a otros factores (Skoog y Miller 1957) a menudo, la presencia y acción conjunta de dos, como auxinas y citocininas, puede inducir y fijar un tipo determinado de expresión morfogénica en un tejido, de acuerdo con los niveles relativos entre sí, y discrepar entre un promotor o retardador del crecimiento (Garay-Arroyo et al. 2014). Por lo que la homeostasis de auxinas mediada por la regulación espacial y temporal de la biosíntesis de auxinas juega un papel central en la determinación de la arquitectura de la raíz (Olatunji et al. 2017). En L. anceps y L. rubescens se obtuvieron 6.52 y 2.33 raíces por explante en un medio de cultivo MS sin reguladores de crecimiento y en un medio de cultivo Phytamax adicionado con jugo de piña, respectivamente con lámparas fluorescentes (Mayo-Mosqueda et al. 2020). Por otro lado, las luces LED permiten una especificidad de longitudes de onda lo que a su vez brinda a los diferentes cultivos, las condiciones necesarias (Gómez-Coto 2014) para que el cultivo in vitro sea más accesible y eficiente, permitiendo su amplio uso.
Con respecto a materia seca los resultados difieren con los obtenidos por otros autores, lo que sugiere buscar el mejor balance entre las proporciones que se utilicen de la combinación empleada. Lin et al. (2011), quienes indican que la acumulación de materia seca en plantines de Dendrobium officinale se favorece con 70 µmol m-2s-1 de luz roja y azul (1:2) y Murillo-Talavera et al. (2016) obtuvieron 12.2% de materia seca con luz roja más azul en proporción (3:1) en Oncidium tigrinum Lex. y 10.83% con luz blanca en Laelia autumnalis. Así, en Lilium oriental híbrido ´Pesaro´, la iluminación con luz LED (azul+roja) (1:1) y luz fluorescente, incrementaron la materia seca en bulbillos (Lian et al. 2002) y en Dendrobium officinale, la luz LED (roja+azul) (1:1) mejoró la concentración de biomasa en protocormos (Lin et al. 2011). Todos los estudios disponibles parecen confirmar que la luz roja promueve el aumento del peso fresco, y que la luz roja más azul aumenta la acumulación de materia seca (Lin et al. 2011).
En la micropropagación, la luz LED roja y azul, solas o combinadas, tienen una influencia significativa sobre el desarrollo de las plantas (Dutta y Jatothu 2013). La luz LED roja se asocia con el crecimiento de las plantas (alargamiento de entrenudos), como se observó en Oncidium (Mengxi et al. 2011) y con la baja concentración de pigmentos fotosintéticos probada en Dendrobium officinale (Lin et al. 2011). Las plantas tienen la capacidad de captar la cantidad (intensidad de la radiación), calidad (longitud de onda) y duración (fotoperiodo) de la luz. La luz es uno de los principales recursos que determinan las características económicas de las plantas (Li et al. 2018, Zhao et al. 2019, Centofante 2020). La iluminación artificial puede acelerar la acumulación de masa seca en las plantas mediante un fotoperiodo diario prolongado (Li et al. 2017, Wang et al. 2017, An et al. 2018).
El incremento obtenido en las clorofilas a, b, total y carotenoides puede deberse a la composición espectral de la luz blanca (400-700 nm), que incluye las longitudes de onda azul (430-480 nm), verde (495-570 nm) y roja (590-670 nm) que absorben los fotosistemas II (≤ 680 nm) y I (≤ 700 nm), dado que, para una máxima eficiencia deben participar ambos fotosistemas (Solarte et al., 2010). Hay que considerar que las hojas absorben fotones principalmente de los espectros azul y rojo y de manera más débil lo hacen en el verde, aunque la mayoría de esos fotones son reflejados por las plantas en forma de radiación difusa (Lazo y Ascencio 2010). Sin embargo, los resultados varían con los alcanzados por Murillo-Talavera et al. (2016) en Laelia autumnalis con luz LED blanca. Se sabe que las regiones de luz azul y roja son absorbidas de manera más eficiente por las clorofilas, los pigmentos fotosintéticos primarios, lo cual ocurre durante los procesos fotosintéticos (Chen y Blankenship 2011). La luz roja promueve la fotosíntesis y el crecimiento vegetativo al aumentar el contenido de clorofila, estableciendo la formación del aparato fotosintético y probablemente induciendo la apertura estomática (Wang et al. 2016, Zhu et al. 2020).
La concentración de clorofilas totales es controlada por la luz y a intensidades elevadas de irradiación, las moléculas de clorofilas entran en procesos fotooxidativos (Kozlowski y Kramer 1991), lo que podría explicar la menor ganancia de peso observada en los plantines sujetas a luz azul. De hecho, en plantas de tomate y chile habanero expuestas a luz azul monocromática se observa una menor concentración de clorofilas totales (Liu et al. 2018, Mendoza et al. 2021), posiblemente debido también a la fotooxidación de dichos pigmentos. La baja concentración de clorofilas totales detectada en las plantas sometidas a la luz roja (LR) fueron similares a los resultados observados en lechuga (Wang et al. 2016). Sin embargo, hay especies en las que existe una correlación directa entre la cantidad de radicación recibida y la concentración de pigmentos fotosintéticos cuantificada, cada especie de planta requiere un rango de longitud de onda específico para un crecimiento óptimo (Gupta y Jatothu 2013, Baghel y Bansal 2015). El contenido de clorofila de plántulas in vitro cultivadas bajo diferentes calidades de luz puede estar correlacionado con la especie o el cultivar de la planta (Li et al. 2013). La calidad de la luz también juega un papel importante en la fotosíntesis, ya que influye en la forma en que la clorofila absorbe la luz (Tripathy y Brown 1995, Topchiy et al. 2005). El factor más importante es que la longitud de onda del LED es mucho más estrecha que las fuentes de luz tradicionales. Por lo tanto, se puede seleccionar una calidad espectral específica y más precisa y ajustarla a los requisitos de una planta en particular (Massa et al. 2008, Silva et al. 2017). La proporción apropiada de luz azul y roja parece ser lo más esencial para el crecimiento de las plantas. Muchos investigadores han informado sobre los efectos de la luz roja o azul en la morfogénesis y los procesos metabólicos de las plantas (Li et al. 2013, Alvarenga et al. 2015), incluidas las especies ornamentales, como Lilium (Lian et al., 2002), crisantemo (Kurilčik et al. 2008), Tripterospermum japonicum (Moon et al. 2006) y Dendrobium officinale (Lin et al. 2011).
En cuanto a las características de los plantines estas variaron y se han comprobado efectos de la iluminación LED en orquídeas como Cymbidium Waltz ‘Idol’, Oncidium tigrinum y L. autumnalis (Kamal et al. 2014, Murillo-Talavera et al. 2016). En la micropropagación, la luz LED roja y azul, solas o combinadas, tienen una influencia significativa sobre el desarrollo de las plantas (Dutta y Jatothu 2013). Esto es debido a que la composición espectral de las longitudes de onda color verde, rojo y azul tienen un papel importante en la mejora de la calidad de la planta, las cuales son más eficientes en incrementar el número de brotes, protocormos, la biomasa y elongación de la planta (Rehman et al. 2020). En los plantines con LED azul, estos mostraron un efecto similar al referido por Meng et al. (2020) quienes indicaron que generalmente las plantas que crecen bajo condiciones de luz azul suelen ser más cortas y tienen hojas más pequeñas, más gruesas y de color verde oscuro en comparación con las plantas que crecen sin luz azul.
Con respecto a los sistemas de cultivo, en gladiolo se obtuvo el mayor número de brotes y raíces cuando utilizaron un sistema de inmersión temporal (Chávez-García et al. 2018). La omisión del gelificante en el medio de cultivo definitivamente reduciría en insumos de laboratorio los costos de producción de las plantas y facilitaría el proceso de automatización de la micropropagación. Los sistemas de inmersión temporal emplean medios líquidos lo cual facilita la asimilación de nutrientes por los explantes. La planta entra en contacto con este medio con cierta frecuencia durante un corto periodo de tiempo lo que evita los problemas de hiperhidricidad (desorden morfológico y fisiológico que provoca una estructura cristalina y acuosa del tejido, además de un crecimiento distorsionado) provocados por los medios líquidos en contacto permanentes. Además, estos sistemas permiten la renovación constante de la atmósfera interna de los frascos y evita la acumulación de gases nocivos como el etileno (que promueve la senescencia de los tejidos). Los sistemas de inmersión temporal facilitan la regulación de la concentración de CO2 y mejoran la oxigenación de los tejidos (Castillo-Ontanera et al. 2020), dependiendo del sistema utilizado.
Los Sistemas de Inmersión Temporal (SIT) son una alternativa que combina los efectos positivos del medio de cultivo líquido. La micropropagación de orquídeas ha sido llevada a cabo a través de sistemas de cultivo tradicionales utilizando medio de cultivo semisólidos (Bhattacharyya et al. 2017). Sin embargo, los SIT se han implementado como una alternativa que implica menores costos, mayores tasas de multiplicación y buscando lograr un proceso de micropropagación semiautomático (Murthy et al. 2018, Shen y Hsu 2018, Zhang et al. 2018).
Conclusiones
Las diferentes combinaciones de luces LED producen un efecto diferencial (positivo o negativo) en el crecimiento y desarrollo durante la multiplicación in vitro de Laelia anceps. La combinación de LEDs rojo más blanco (R:W) estimuló todas las variables evaluadas con la adición de una citoquinina en el medio de cultivo. El uso de luces LED y reguladores de crecimiento en diferentes concentraciones fueron utilizados para resolver los problemas que se presentan en la propagación in vitro en el cultivo de orquídeas expuestas a condiciones de luz fluorescente. El medio de cultivo líquido para esta especie numéricamente fue más eficiente que el medio de cultivo semisólido en las variables evaluadas.










text new page (beta)



