Introducción
Los acuíferos subterráneos constituyen una de las fuentes de agua dulce más importantes de abastecimiento para el hombre; asimismo, su uso se ha incrementado de modo significativo como consecuencia del desarrollo y el crecimiento de la población que demanda cada vez más alimentos. El sector agrícola consume cerca del 70 % del agua dulce para el riego de los cultivos. En México, más de la mitad del agua subterránea que se destina para uso agrícola proviene de acuíferos sobreexplotados o con presencia de aguas salobres. La mayor parte se ubica en el norte y centro del país (Vivot et al., 2010; Díaz, Bravo, Alatorre, & Sánchez, 2013).
En las zonas semiáridas de México, la agricultura intensiva de riego se caracteriza por un alto uso de fertilizantes y agroquímicos para mantener altos rendimientos, competitividad y calidad de los productos generados. Sin embargo, de todas las actividades humanas que tienen influencia en la calidad del agua, la agrícola es la más importante debido a que puede alterar las propiedades químicas del agua por el uso de fertilizantes y plaguicidas, ya que éstos, dependiendo del tiempo de tránsito a través de la zona no saturada y de la capacidad de los suelos para retardar el movimiento de los agroquímicos, pueden percolar a los mantos acuíferos, ocasionando un aumento en la cantidad de sólidos totales, y sales de nitratos, sulfatos, cloruros y sodio (Bermejillo et al., 2012; Torres et al., 2014; Bedmar, Gianelli, Angelini, & Vigilianchino, 2015).
Entre las sales más frecuentes en las aguas de riego, los carbonatos y bicarbonatos de calcio y magnesio, así como sulfato de calcio son las menos solubles; por lo tanto, el aumento de la concentración de sales en la solución del suelo como resultado de la evapotranspiración es menor que con las sales altamente solubles, pues las que presentan menor solubilidad son las primeras en alcanzar su límite de disolución. En caso de que la percolación sea poca, la posibilidad de acumulación de sales en el fondo del perfil se incrementa, y si abundan las sales de sodio por su amplia solubilidad, las posibilidades de su concentración en la solución del suelo con respecto a las de calcio y magnesio se elevan y con ello los riesgos de sodificación; de esta forma, los problemas de salinidad o de acumulación de sodio en exceso ocasionan pérdidas en la producción agrícola, al igual que un deterioro acelerado en la calidad de los suelos (Villafañe, 2011; Silva, Ochoa, Cristóbal, & Estrada, 2006).
El desarrollo de una agricultura con alta tecnología en áreas caracterizadas por climas áridos y semiáridos depende de la disponibilidad de agua para riego, que sea suficiente en términos de cantidad y aceptable en términos de calidad; por lo tanto, un sistema intensivo de explotación agrícola tiene que asumir características sostenibles, y para logarlo en primera instancia se debe medir la disponibilidad del agua desde el punto de vista económico, político y ecológico, con el objetivo de hacerlo eficiente, teniendo en cuenta la conservación y preservación de las fuentes de agua dulce (Castellanos et al., 2002; Bermejillo et al., 2012).
Posteriormente, se debe evaluar la calidad química del agua, ya que ésta se integra por la concentración de sales y la proporción de diferentes iones en solución que podrían afectar a los recursos suelo y cultivo en su uso a largo plazo. Su conocimiento permite determinar si se puede recomendar para uso agrícola, pues el agua juega un papel importante en el manejo de la fracción de riego y lixiviación, al igual que en el tratamiento del agua en sí, a fin de lograr un nivel óptimo de producción en situaciones donde se utilizan sistemas de riego (Tartabull & Betancourt, 2016; Castellanos et al., 2002).
Para estimar la aptitud del agua para riego agrícola se debe contemplar su salinidad, debido a que ésta se considera como un factor importante que afecta el rendimiento de los cultivos, pues dificulta la absorción del agua por parte de la planta. Otro aspecto importante que se debe tomar en cuenta es la sodicidad del agua, la cual se origina cuando se presentan elevadas concentraciones del catión sodio, ya que éste puede desplazar al calcio y magnesio o bien, favorecer la precipitación de bicarbonatos de calcio y magnesio, provocando que las partículas de suelo tiendan a disgregarse una vez que el sodio precipite, lo que ocasiona una reducción en la velocidad de infiltración del agua, que puede implicar poca disponibilidad de agua en el suelo (Vivot et al., 2010; Tartabull & Betancourt, 2016; Balmaseda & García, 2013).
De igual forma, es necesario valorar los iones cloro, fósforo y boro, ya que se pueden acumular en los cultivos en concentraciones suficientemente altas como para reducir el rendimiento de las cosechas y facilitar la obstrucción de algunos sistemas de riego. No obstante, el problema frecuente en el caso del riego agrícola es que por lo general no se especifica con qué calidad química se debe utilizar el agua, sino que sólo se da importancia a la calidad agronómica determinada por el cultivo a regar; condiciones climatológicas; métodos de riego; condiciones de drenaje del suelo, y prácticas de manejo de agua, suelo y plantas (Balmaseda & García, 2013; Castellón, Bernal, & Hernández, 2015). Por lo anterior, el objetivo del presente estudio fue evaluar el impacto a la calidad química del agua subterránea y determinar su aptitud para uso agrícola mediante los criterios de salinidad, sodicidad y toxicidad en la región, con mayor intensificación productiva del cultivo de chile (Capsicum ssp.), ubicada sobre el acuífero Calera, en el estado de Zacatecas.
Materiales y métodos
Ubicación y caracterización del área de estudio
El acuífero Calera pertenece a la Región Hidrológica No. 37 El Salado, cuenca Fresnillo-Yescas, subcuenca Fresnillo; se localiza en la porción oriental del estado de Zacatecas, México, con las coordenadas 22° 41’ y 23° 24’ y 102° 33’ y 103° 01’, con una superficie aproximada de 2 226 km² (Hernández et al., 2012). El acuífero es una cuenca cerrada y todas las vías fluviales son arroyos no perennes; por lo tanto, no hay grandes reservorios y ríos en el área de estudio (Nuñez, Oesterreich, Castro, & Escalona, 2004).
La altitud del acuífero Calera varía entre los 600 y 2 000 m. Presenta unidades de origen volcánico pertenecientes a la Sierra Madre Occidental; además, se forma por materiales aluviales y lacustres de arcilla, limo, arena y grava cementados con arcilla calcárea. La litología corresponde a rocas ígneas, calizas, dolomitas y metamórficas fracturadas por movimientos tectónicos (Ávila et al., 2012; Hernández et al., 2012; Navarro et al., 2005). El tipo de suelo con mayor predominio es el catañozen lúvico, al ser producto del arrastre del material aluvial que conforma la región (INEGI, 2014).
El clima en la región es semiárido, existe poca agua para su recarga, pues no existen fuentes superficiales continuas, lo que ha provocado que sea un acuífero sobreexplotado en el país debido a que se extrae un 50 % más de lo que se recarga y la mayor parte de esta extracción se destina a la actividad agrícola, en particular a la irrigación del cultivo de chile (Capsicum ssp.). Asimismo, se tiene registrada una tasa de abatimiento promedio de 1.90 m por año (INIFAP, 2010; Hernández et al., 2012; Ávila et al., 2012; Conagua, 2015; Sagarpa, 2016).
Muestreo de agua y métodos analíticos
Se realizó un muestreo estratificado con asignación proporcional según las directrices de Sukhatme y Sukhatme (1970). De igual forma, se definió una población de 592 pozos agrícolas activos y que con frecuencia se destinan para la irrigación de chile, por lo que se diseñaron cinco estratos con una profundidad que va de los 50 a los 280 m sobre el nivel estático. (E1= Estrato1 de 50 a 80 m; E2 = Estrato 2 de 81 a110 m; E3 = Estrato 3 de 111 a 140 m; E4 = Estrato 4 de 141 a170 m; E5 = Estrato 5 ≥ a 171 m). En cuanto a la localización de los pozos con estas características, se consultó la base de datos del Registro Público de Derechos de Agua (REPDA) (Conagua, 2014) y la base de datos del Programa de Apoyos Directos al Campo (Procampo) de los años 2016 y 2017; de esta forma se seleccionaron 15 pozos profundos y someros, que se localizaron mediante un GPS.
Para el segundo muestreo se seleccionaron dos blancos, los cuales corresponden a las muestras 16 y 17, pozos utilizados para uso y consumo humano; el blanco 1 abastece a la localidad de Pozo de Gamboa, Pánuco, Zacatecas; de igual forma, el blanco 2 abastece al municipio de Morelos, Zacatecas. En la Figura 1 se muestra la ubicación de cada pozo, incluyendo los blancos distribuidos en la región que abarca el acuífero Calera. En cuanto a la toma de muestras de agua, se realizó con base en la norma NOM-014-SSA1-1993 al final de los ciclos de producción de chile de 2016-2017 y 2017-2018. Se recolectaron dos muestras con recipientes estériles de polietileno de 250 ml en cada pozo y después se analizó cada muestra por triplicado.
Para determinar la calidad del agua del acuífero, en cada muestra se midió el pH y se determinaron las concentraciones en meq l-1 de los cationes Ca2+, Mg2+, Na+ y K+, y de los aniones CO3 2-, HCO3 -, Cl- y SO4 2-, así como la conductividad eléctrica (CE) en µS cm-1, boro (B), nitratos (NO3 -) y fósforo (P) en mg l-1 (Tabla 1); posteriormente, con base en estos parámetros, se estimaron los indicadores correspondientes para evaluar los criterios de salinidad, sodicidad y toxicidad propuestos por Ayers y Westcot (1987), y se estableció la clasificación hidrogeoquímica del agua de riego.
Tabla 1 Técnicas aplicadas para la determinación de los parámetros en el agua subterránea del acuífero Calera.
| Determinación | Método | Referencias |
|---|---|---|
| pH | Potenciométrico | NMX-AA-008-SCFI-2011 |
| Conductividad eléctrica | Conductimetría | NMX-AA-093-SCFI-2000 |
| Calcio y magnesio | Volumetría | Richards, 1990 |
| Sodio y potasio | Flamometría | NOM-021-SEMARNAT-2000 |
| Carbonatos y bicarbonatos | Volumetría | NOM-021-SEMARNAT-2000 |
| Cloruros | Volumetría | Richards, 1990 |
| Sulfatos | Turbidimetría | NOM-021-SEMARNAT-2000 |
| Boro | Colorimetría | NOM-021-SEMARNAT-2000 |
| Fósforo | Colorimetría | Rodier, 1990 |
| Nitrato | Turbidimetría | Robarge, Edwards y Johnson, 1983 |
pH
De acuerdo con Buccaro et al. (2006), citado por Medina et al. (2016), el pH no es un factor fundamental para determinar la calidad del agua, pero sirve para evaluar las concentraciones relativas de las especies disueltas de carbonato. Además, Ortega et al. (2002) establecen que sus valores tienen implicaciones importantes sobre la disponibilidad y el manejo de nutrientes, ya que el rango normal de las aguas para uso agrícola de acuerdo con Ayers y Westcot (1987) está entre 6.5 y 8.4.
Criterios de salinidad, sodicidad y toxicidad
Ayers y Westcot (1987), Richards (1990), Suárez (1981), y Wilcox (1948), indican que miden la cantidad de sales, sodio y los iones solubles en el agua de riego. Pérez y Pacheco (2004) señalan que si éstos se encuentran en cantidades excesivas pueden acumularse en el suelo o en las raíces del cultivo, lo cual disminuye sus rendimientos; su presencia proviene principalmente de los abonos agrícolas. Para evaluar tales criterios se tomaron en cuenta los parámetros de CE, sólidos disueltos totales (STD), salinidad efectiva (SE), salinidad potencial (SP), relación de adsorción de sodio normal (RAS), ajustada (RAS aj) y corregida (RAS°), carbonato de sodio residual (CSR), y cantidad de B, P y NO3 -. Con base en las concentraciones registradas para RAS y CE se mostró su clasificación a través de un diagrama de Richards, el cual se elaboró con el programa QualiGraf en su versión 1.17.
Clasificación hidrogeoquímica del agua
De acuerdo con Can, Ortega, Sánchez y Cruz (2014), las evaluaciones hidroquímicas o hidrogeoquímicas ayudan a determinar el origen de la composición química del agua, y la relación que existe entre el agua y la constitución química de las rocas. La clasificación de familias de agua se realizó mediante el diagrama de Piper, el cual, según Peña, Santacruz y Charcas (2012), se integra por dos triángulos equiláteros ubicados a los lados y un rombo al centro. El triángulo izquierdo representa las concentraciones de los cationes; el derecho, las de los aniones, y el rombo representa la intersección de las concentraciones de los cationes y aniones para definir la familia de agua a la que pertenece la muestra. El diagrama se realizó con el programa GW_Chart Water Resources-USGS en su versión 1.29; para esto, se efectuó la suma de las concentraciones de los cationes, aniones y sólidos disueltos totales; después se graficaron para determinar el ion dominante y las familias del agua.
Análisis estadístico
La información de calidad de agua para ambos ciclos de muestreo se analizó de acuerdo con un diseño en bloques completos al azar, donde cada ciclo es un bloque, con el PROC GLM de SAS (Statistical Analysis System 9.2); para las variables donde hubo diferencias estadísticas (p < 0.05), se realizó una prueba de medias de Tukey, con el fin de agrupar y ubicar los pozos de acuerdo con las características del agua; asimismo, se realizó un análisis de componentes principales y un análisis clúster.
Resultados y discusión
Clasificación del agua respecto a su pH
En el análisis de la composición del agua en dos ciclos de muestreo (2016-2017) se observan diferencias (p < 0.05) en la mayoría de las variables (Tabla 2); el pH del agua en el primer ciclo tendió hacia la alcalinidad; no obstante, durante el segundo ciclo se redujo de modo considerable (p < 0.05), clasificándose como medianamente alcalino a neutro.
Tabla 2 Parámetros evaluados en las muestras de agua del acuífero Calera. Ciclos de producción 2016-2017.
| Periodo de evaluación | Periodo de evaluación | ||||
|---|---|---|---|---|---|
| Parámetro | 2016 | 2017 | Parámetro | 2016 | 2017 |
| pH | 8.1 ± 0.1 a | 7.6 ± 0.1 b | Tani (meq l-1) | 6.9 ± 1.1 a | 5.0 ± 1.2 b |
| CE (µS cm-1) | 427 ± 123 a | 502 ± 214 a | B (mg l-1) | -0.5 ± 0.3 a | 0.3 ± 0.1 b |
| Ca2+ (meq l-1) | 1.9 ± 0.5 a | 1.9 ± 1.3 a | P (mg l-1) | 3.9 ± 3.5 a | 0.04 ± 0.05 b |
| Mg2+ (meq l-1) | 1.8 ± 1.2 a | 1.9 ± 1.4 a | STD (mg l-1) | 274 ± 79 a | 326 ± 146 b |
| Na+ (meq l-1) | 3.2 ± 1.3 a | 1.5 ± 1.0 b | SE (meq l-1) | 3.9 ± 1.2 a | 2.3 ± 1.6 b |
| K+ (meq l-1) | 0.5 ± 0.2 a | 0.2 ± 0.1 b | SP (meq l-1) | 0.9 ± 0.4 a | 1.3 ± 0.7 b |
| Tcat (meq l-1) | 7.5 ± 1.5 a | 5.4 ± 2.5 b | RAS (meq l-1) | 2.6 ± 1.4 a | 1.1 ± 0.8 b |
| CO32- (meq l-1) | 1.0 ± 0.0 a | 0.1 ± 0.2 b | pHc (meq l-1) | 7.2 ± 0.1 a | 7.4 ± 0.2 b |
| HCO3- (meq l-1) | 4.7 ± 0.9 a | 3.3 ± 0.7 b | RASaj. (meq l-1) | 5.4 ± 2.8 a | 2.2 ± 1.7 b |
| Cl- (meq l-1) | 0.6 ± 0.4 a | 1.2 ± 0.7 b | RAS° (meq l-1) | 3.2 ± 2.0 a | 1.3 ± 1.0 b |
| SO42- (meq l-1) | 0.5 ± 0.2 a | 0.2 ± 0.1 b | CSR (meq l-1) | 2.0 ± 1.9 a | -0.19 ± 1.9 b |
Las medias con diferente literal son estadísticamente diferentes de un ciclo a otro (p < 0.05).
La alcalinidad que se evidenció en el agua durante el primer ciclo se debe a la litología del acuífero Calera, la cual está relacionada con la presencia de rocas con carbonatos, como calizas y dolomitas; de esta forma incrementan las concentraciones de hidróxidos, carbonatos y bicarbonatos de los iones Ca2+, Mg2+, Na+ y K+ (Hernández et al., 2012; Pérez, 2016). Por su parte, Ortega et al. (2002), en la investigación que se realizó en el acuífero de la Independencia en Guanajuato, México, encontraron que la alcalinidad en el agua de igual forma es causada por las altas concentraciones de carbonatos y bicarbonatos.
Para el caso de los pozos evaluados, la variación del pH de un ciclo a otro está ligada con la reducción de las concentraciones de Ca2+, CO3 2- y HCO3 -, tal como se muestra en las tablas 4 y 5; además, esto podría ser consecuencia de la interacción de diversos factores que señalan Tartabull y Betancourt (2016) e INIFAP (2006), como la lixiviación de la aplicación de cantidades excesivas de fertilizantes.
De acuerdo con INIFAP (2006), el cultivo de chile en la región requiere 220N-100P-150K para nutrición base en surcos y sugiere 200N-75P-100K, mediante fertirrigación. Se registraron cantidades elevadas en la aplicación de fósforo y potasio, pues sobrepasaron el 958 y 492 %, respectivamente sobre su demanda debido a que se destinan 900 kg ha-1 de fosfato monoamónico y 900 kg ha-1 de nitrato de potasio. De esta manera, se evidencia que las dosis de fósforo y potasio exceden la nutrición recomendada para el cultivo de chile en la región. Criswell (1998) manifiesta que las altas concentraciones de nutrientes en el suelo podrían llegar hasta el agua subterránea a través de sus fallas y fracturas geológicas, disminuyendo la alcalinidad del agua de riego de modo paulatino.
Se observó que los agricultores realizan esta práctica por influencia de las casas comerciales de agroquímicos, pues la mayor parte de la asesoría técnica que se recibe proviene de éstas, de tal forma que hacen la recomendación con el objetivo de incrementar sus ventas; el productor, por desconocimiento de las necesidades reales del cultivo, atiende sus indicaciones, pretendiendo que el exceso en la fertilización pueda proporcionarle suficientes nutrientes como NPK para asegurar su cosecha, sin considerar que esta dinámica, de acuerdo con Tartabull y Betancourt (2016) podría generar un impacto negativo sobre la calidad del agua y suelo a largo plazo.
Esta información es similar a la reportada en los estudios de calidad de agua subterránea realizados por Medina et al. (2016) en el municipio de Tuxcacuesco, en el estado de Jalisco; Sánchez, Álvarez, Pacheco, Carrillo y Amílcar (2016), en las subregiones hidrológicas Bahía de Chetumal y Cuencas Cerradas en el estado de Quintana Roo; Castellón et al. (2015), en varios municipios del estado de Tlaxcala; Sandeep, Vinit, Minakshi y Anshu (2011), en la Ciudad de Jhansi, región de Bundelkhand, India; y Castellanos et al. (2002), en la región del Bajío, en el estado de Guanajuato, en donde el pH de la mayoría de sus muestras fue moderadamente alcalina. El agua del acuífero Calera se considera apta para uso agrícola en ambos periodos, ya que Ayers y Westcot (1987) mencionan que los valores normales de pH fluctúan entre 6.5 y 8.4. Sin embargo, es necesaria una adecuación a un pH entre 5.5 y 6.5, con ácidos, para el fertirriego.
Criterio de salinidad
Conductividad eléctrica
En cuanto a la CE, no hubo diferencias estadísticas (p > 0.05) de un ciclo a otro. A pesar de esto, se pudo identificar un ligero incremento en su concentración en el segundo año (Tabla 3); ello puede ser consecuencia de varios procesos complejos de redistribución de sales, los cuales, según Tartabull y Betancourt (2016), dependen de las condiciones naturales, características del sistema, prácticas agrícolas, y manejo del riego y del drenaje, por lo que se infiere que la excesiva aplicación de fertilizantes fosforados y potásicos en la región podría tener una marcada influencia en las variaciones de la concentración iónica del agua de riego si éstos logran desplazarse hasta el agua subterránea.
Tabla 3 Parámetros con mayor incidencia en la calidad del agua del acuífero Calera. Ciclos de producción 2016-2017.
| Componentes principales | ||||||
|---|---|---|---|---|---|---|
| 2016 | 2017 | |||||
| % | ||||||
| Variables | 1 | 2 | 3 | 1 | 2 | 3 |
| Prof. | -4 | 15 | 54 | -8.5 | -21 | 48 |
| pH | -18 | 20 | 51 | 2 | -4 | 66 |
| CE | -6 | -19 | 58 | -6.8 | -26 | 47 |
| STD | -26 | 43 | -16 | 43 | 5 | 1 |
| SE | -32 | 43 | -16 | 43 | 5 | 1 |
| SP | -29 | 35 | 8 | 37 | 24 | 5 |
| RAS | -29 | 34 | 2 | 30 | -6 | 12 |
| pHc | 35 | 27 | 6 | -5.4 | 49 | 21 |
| RAS aj. | 32 | -14 | 10 | -38 | 9 | 0 |
| RAS° | 34 | 30 | 6 | 1 | 50 | 16 |
| CSR | 35 | 27 | 0.8 | -2.9 | 51 | 12 |
| P | -5 | 7 | 4 | -10 | 0 | 4 |
| B | -8 | 6 | 9 | -2 | 0 | 0 |
| NO3- | -39 | 20 | 1 | |||
Nota: cada una de las variables tiene un porcentaje de incidencia en la calidad del agua del acuífero; no obstante, no representan el porcentaje por componente, el cual se obtiene del programa estadístico.
Sin embargo, a pesar del aumento que se observó en la CE en la mayoría de las muestras en ambos ciclos, se alcanzó una clasificación C2 y, al ser de este tipo, Medina et al. (2016) establecen que puede usarse para obtener rendimientos agrícolas apropiados siempre y cuando exista un grado moderado de lavado y suficiente drenaje.
Solamente una muestra durante el segundo periodo fue catalogada como C3, la cual es agua altamente salina, por lo que el INIFAP (2009) señala que aun con el drenaje adecuado se pueden necesitar prácticas especiales de control de la salinidad y se deben seleccionar únicamente aquellas especies muy tolerantes a sales con una CE de 750 a 2 250 µS cm-1, como es el caso del cultivo de chile, pues acorde con Ayers y Westcot (1987) puede tolerar hasta 850 µS cm-1.
Con base en lo anterior se puede establecer que el agua del acuífero Calera es apta para la irrigación de este cultivo debido a que, en general, las muestras de ambos ciclos presentaron menos de 750 µS cm-1; estos resultados coinciden con los reportados para agua subterránea por Ortega et al. (2002), Medina et al. (2016) y Castellón et al. (2015) en los estados de Guanajuato, Jalisco y Tlaxcala, respectivamente, ya que registraron una clasificación C2 para la mayoría de sus muestras.
Al utilizar el agua de riego para la fertirrigación se debe tomar en cuenta la concentración iónica para ajustar el contendido de fertilizante a disolver, ya que al contener una buena proporción de Ca2+ y Mg2+ puede complementar el requerimiento nutrimental. Por su parte, los blancos presentaron valores de 426 y 466 µS cm-1, los cuales se encuentran dentro de la escala aceptable para uso y consumo humano de acuerdo con la Secretaría de Salud (1994) en la norma NOM-127-SSA1-1994.
Sólidos disueltos totales
Se encontraron diferencias (p < 0.05) de un periodo a otro en las concentraciones de STD, siendo más elevadas durante el segundo ciclo. No obstante, aun con el aumento, la mayoría de las muestras se localizó entre los valores admisibles para actividades agrícolas y consumo humano; sólo la muestra 02 presentó un ligero grado de restricción, pero en general el agua del acuífero Calera respecto al parámetro de STD es aceptable, ya que en conjunto con la CE no presenta un peligro latente de salinidad para el suelo, sin embargo, se debe monitorear su adecuado drenaje.
Sandeep et al. (2011), y Oyedotun y Obatoyinbo (2012), en las ciudades de Jhansi, Uttar Pardesh, India, y Akoko de Ondo, Nigeria, encontraron que el agua subterránea presentó concentraciones de 110 a 280 mg l-1 en STD para la temporada de estiaje, las cuales no mostraron ningún tipo de restricción para uso agrícola y consumo humano; esto es similar al contexto del acuífero Calera.
El incremento de STD de un periodo a otro en el acuífero se debe a su relación con la conductividad eléctrica, ya que de acuerdo con Silva et al. (2006), la CE es directamente proporcional al contenido de sólidos disueltos totales en el agua y éstos se incrementan con la evolución del agua subterránea, o por efecto de la contaminación natural o antrópica; además, Porras, López, Álvarez, Fernández y Gimeno (1985) señalan que la temperatura puede influir en el incremento o decremento de la solubilidad de las sustancias presentes, en específico su conductividad eléctrica. Por lo que se infiere que la dinámica agrícola, podría ser un factor importante que paulatinamente puede contribuir al decrecimiento de la calidad del agua de la región.
Salinidad efectiva y potencial
Respecto a la salinidad efectiva, se identificaron diferencias estadísticas (p < 0.05) del primero al segundo ciclo de evaluación; se observa que para 2017, la mayoría de las muestras no se consideró apta para riego agrícola debido a que en este periodo se presentaron mayores concentraciones de Na+ que de Ca2+ y Mg2+, por lo tanto se puede correr el riesgo de formar sales de Na+ por ser de las últimas en precipitar, como lo señala Ortiz (1997).
En contraste, durante el ciclo de 2017, sólo dos muestras presentaron elevados niveles de SE, colocando a la mayoría como aceptables para fines agrícolas, pues aunque en este periodo se detectó que las concentraciones de Ca2+ y Mg2+ fueron más bajas que las de CO32-, HCO3-, lograron superar el contenido de Na+, y se puede inferir que se presentó un menor riesgo de formar sales carbonatadas y bicarbonatadas de Na+, ya que de acuerdo con la norma NOM-O21-SEMARNAT-2000 (2000) se califican como altamente dañinas para el cultivo y favorables para los procesos de salinización y defloculación de arcillas en el suelo, pues su punto de saturación es muy elevado.
Silva et al. (2006), en la Ciénega de Chapala, registraron valores de SE entre 1 y 15 meq l-1 para la mayoría de las muestras de agua subterránea, clasificándolas como condicionadas para uso agrícola, al igual que Balmaseda y García (2013) en la cuenca del río Naranjo, Cuba. Por su parte, Castellón et al. (2015), en el estado de Tlaxcala, obtuvieron concentraciones de 0.4 a 4.2 meq l-1, las cuales pueden usarse para la irrigación de la mayoría de los cultivos, situación similar a la del acuífero Calera.
La salinidad potencial fue diferente (p < 0.05) durante su periodo de evaluación, ya que en el primer ciclo se observó que todas las muestras estuvieron dentro de la escala aceptable para uso agrícola a pesar de que el contenido de CO32-, HCO3- y SO42 fue mayor respecto al de Ca2+ y Mg2+, por lo que se pudo presentar la posibilidad de formar sales de CaSO4 en el suelo, pues Salgado, Palacios, Galvis, Gavi y Mejía (2012), en el acuífero Valle de Guadalupe, observaron que esta situación es más frecuente en suelos de origen calcáreo, como es el caso de la región del acuífero Calera, sobre todo después de haber precipitado Ca2+ y Mg2+ del suelo con los CO32- y HCO3- provenientes del agua de riego.
Para el segundo ciclo de evaluación se observó un amplio incremento (p > 0.05) en las concentraciones de Cl- respecto al SO42-, por lo que de acuerdo con Castellón et al. (2015) existe la posibilidad de que gradualmente se formen y acumulen sales de Cl- después de precipitarse.
Robles (2002) reporta que en el Distrito de Riego Tehuantepec, Oaxaca, la salinidad potencial del agua se clasificó como aceptable, al reportar valores de 1 a 3 meq l-1. El agua del acuífero Calera se encuentra en este intervalo, y también corresponde al periodo de estiaje; no obstante, se debe monitorear frecuentemente el parámetro para evitar posibles daños en el cultivo por la acumulación de sales de Cl-. En general, el criterio de salinidad durante ambos periodos se mostró aceptable para uso agrícola.
Criterio de sodicidad
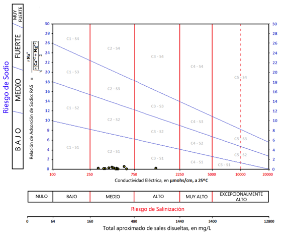
Relación de adsorción de sodio
Durante el primer periodo evaluado, la mayoría de las muestras, en cuanto a las tres variaciones de RAS, mostraron un contenido de sodio mayor en 2016 que en 2017; en conjunto con la CE se clasificaron como C2-S1, agua de salinidad media baja en sodio, con un riesgo moderado de salinización del suelo (Figura 2). Para el segundo ciclo se identificó un incremento en las concentraciones de Ca2+ y Mg2+, y una disminución en el contenido de Na+; en consecuencia, se produjo una reducción en la relación de adsorción de sodio, lo que permitió registrar diferencias estadísticas (p < 0.05) de un ciclo a otro; a pesar de ello, la clasificación del agua fue C2-S1 (Figura 3).
Silva et al. (2013), en una evaluación sobre calidad química del agua subterránea y superficial en la cuenca del río Duero, Michoacán, mostraron resultados similares y mencionan que el agua, al ser de clase C2-S1, puede ser empleada casi en cualquier tipo de suelo sin riesgo elevado de alcanzar grados peligrosos de sodio intercambiable que afecten sus propiedades, siempre y cuando se realicen lavados frecuentes para evitar posibles problemas de salinización.
Sin embargo, Can et al. (2011), en un estudio sobre origen y calidad del agua subterránea en la cuenca Oriental de México, enfatizan que después de haber precipitado los carbonatos, bicarbonatos y sulfatos, el sodio permanece en solución y se va acumulando en las primeras capas del suelo, donde influye sobre la estabilidad de los agregados y la estructura del suelo por ser de las últimas sales en precipitar. Por lo tanto, aunque la RAS fue aceptable para las muestras de agua del acuífero Calera, se debe considerar analizar con frecuencia este parámetro en los suelos de la región para evitar su acumulación y posibles daños a su estructura, tal como lo mencionan Castellanos et al. (2002) y Buccaro et al. (2006) en sus investigaciones de calidad de agua subterránea para uso agrícola en el estado de Guanajuato, México, y en la Ciudad Mar de Plata, Argentina. Encontraron que las aguas subterráneas están incrementando de manera significativa la concentración de sodio, la RAS y el pH a través del tiempo, así como el daño potencial a la estructura del suelo.
Carbonato de sodio residual
Con respecto al parámetro carbonato de sodio residual (CSR), durante el primer ciclo evaluado se evidenció que el 13 % de las muestras no fue apta para uso agrícola, y el 86 % se clasificó como condicionada, al detectarse elevadas concentraciones de HCO3- respecto a las de Ca2+ y Mg2+, situación que acuerdo con Castellanos et al. (2002) y Can et al. (2014) pudo haber formado sales de carbonato de sodio por su alta solubilidad una vez que precipitaron al suelo calcio y magnesio como bicarbonatos, por lo que se debe tener mayor cuidado al usar esta agua para riego agrícola en el acuífero Calera en temporada de estiaje. Cuellar, Ortega, Ramírez y Sánchez (2015), en una evaluación de la relación de adsorción de sodio de las aguas de la red hidrográfica del Valle del Mezquital, Hidalgo, encontraron que el agua de este tipo es altamente dañina para la estructura del suelo y los procesos de infiltración.
Contrario a lo anterior, para el periodo de 2017 se observó que las concentraciones de Na+, CO32- y HCO3- disminuyeron de forma considerable, lo cual evidencia diferencias estadísticas (p < 0.05) en los ciclos analizados, y ubica a la mayoría de las muestras como aptas para la irrigación del cultivo de chile; esta situación pudo ser causa de la interacción del acuífero con su recarga antes del ciclo de evaluación.
Estos valores coinciden con los reportados por Can et al. (2014) en la Sierra Norte de Puebla, México, pues señalan que las muestras de este tipo son cálcico-magnésicas y magnésico-cálcicas, las cuales ostentan cantidades superiores de Ca2+ y Mg2+ respecto a los CO32- y HCO3-, y que los valores positivos indican que calcio y magnesio precipitan al suelo como carbonatos y bicarbonatos, existiendo sólo sales de sodio en solución, a las cuales se debe tomar en cuenta y se requiere un mayor cuidado al hacer uso de éstas para riego, ya que pueden formar CO32- y HCO3- de Na+; estas sales, según Cuellar et al. (2015), son altamente dañinas para la estructura del suelo, ya que la infiltración disminuye con las concentraciones sódicas. Por su parte, Nishanthiny, Thushyanthy, Barathithasan y Saravanan (2010) mencionan que la principal fuente de carbonatos es la dilución de rocas carbonatadas y por ello el agua del acuífero Calera puede contener mayores concentraciones de Ca2+ y Mg2+, originando valores negativos en el CSR.
El análisis estadístico por componentes principales reveló que 88 % de la calidad de agua del acuífero en el ciclo de 2016 se distribuyó en los tres primeros componentes, los cuales se relacionaron con las variables de los criterios de sodicidad, salinidad y condiciones ambientales (Tabla 3), asimismo, se observó que tan sólo el 52 % de la calidad del agua del acuífero en este periodo dependió de variables que atendieron al criterio de sodicidad; por lo tanto, se identificó una correlación negativa para este periodo, ya que a menor concentración de los parámetros de sodicidad, la calidad del agua se mostró mayormente aceptable para uso agrícola en la región.
Para el ciclo de 2017, el análisis observó que el porcentaje que evaluó la calidad del agua del acuífero Calera se incrementó y de igual forma se mostró fuertemente ligado con los tres primeros componentes, al concentrar el 90 %, de los cuales el componente uno registró una mayor presencia con el 43 % y se integró por las variables del criterio de salinidad; posteriormente, los parámetros referentes a sodicidad y condiciones ambientales contribuyeron con el 30 y 17 %, respectivamente. Asimismo, dicha situación evidenció de nuevo una correlación negativa, pues en general, para este periodo, al observar menores concentraciones de salinidad, la calidad del agua del acuífero Calera se consideró mayor.
Ambos análisis estadísticos concuerdan con los resultados obtenidos en los periodos evaluados, ya que para el ciclo de 2016 se registraron valores más altos en las concentraciones de los parámetros de sodicidad, y durante el ciclo de 2017 se identificó un incremento en algunos parámetros de salinidad y una reducción en los de sodicidad, como ya se mencionó de acuerdo con Can et al. (2014); tal situación pudiera deberse a varios procesos de redistribución de sales ligados a la cantidad de precipitación fluvial, debido principalmente a que durante el segundo periodo se detectó una reducción del 46 % en la cantidad de lluvia.
Criterio de toxicidad
Boro
A través de los dos muestreos se detectó que el contenido de boro en el agua fue muy bajo, pues para ambos periodos el promedio de las concentraciones fue inferior a los 0.67 mg l-1, lo que posiciona el agua del acuífero Calera como apta para cultivos semitolerantes a este elemento (Tabla 3), ya que el cultivo de chile, según Ayers y Westcot (1987), es capaz de soportar hasta 2 mg l-1 de boro provenientes del agua de riego. La información generada en este estudio en cuanto a este parámetro coincide con los valores registrados por Can et al. (2011), en la Cuenca Oriental de México; Medina et al. (2016), en Tuxcacuesco, Jalisco, y Castellón et al. (2015), en el estado de Tlaxcala, México, quienes detectaron, en promedio, concentraciones menores a 0.45 mg l-1 en el agua subterránea, la cual puede usarse sin restricción alguna.
Fósforo
Durante el ciclo de 2016 se encontraron altas cantidades de fósforo en el agua de riego del acuífero Calera, que alcanzó una media de 4 ± 3 mg l-1 debido a que el 50 % de las muestras presentó concentraciones por encima de los 2 mg l-1, clasificando valores superiores a los normales en aguas para riego. De acuerdo con Tunney, Csathó y Ehlert (2003), estos valores podrían ser consecuencia de la excesiva fertilización fosfatada que se aplica en las parcelas de chile de la región, la escorrentía superficial, los procesos de lixiviación, la ubicación de las fallas y fracturas geológicas, y el movimiento de las corrientes subterráneas.
Contrario a lo anterior, en 2017, las muestras e incluso los blancos no presentaron altas concentraciones de fósforo; por el contrario, se registró una media de 0.04 ± 0.05 mg l-1 ubicándose dentro del rango aceptable para uso agrícola; así, se infiere que la calidad del agua del acuífero Calera está fuertemente ligada con sus procesos de recarga, sobre todo los relacionados con la cantidad de lluvia, ya que durante el segundo ciclo, la precipitación que se registró fue menor casi en un 50 % respecto a la del ciclo de 2016, y por lo tanto se evidenciaron diferencias estadísticas (p < 0.05).
Los resultados del segundo periodo coinciden con los registrados por Oyedotun y Obatoyinbo (2012) durante su evaluación hidrogeoquímica de la calidad del agua subterránea en el área del gobierno local de Akoko Noroeste del estado de Ondo, Nigeria, ya que mostraron valores por debajo de los 2 mg l-1, los cuales no representan un grado de restricción para la irrigación de cualquier cultivo; de igual manera, este parámetro, durante el análisis estadístico por componentes principales, no presentó una amplia incidencia en la calidad del agua del acuífero en ambos ciclos. Hasta el momento no se han identificado estudios donde se reporten cantidades superiores a los 2 mg l-1 de P en aguas subterráneas.
Nitrato
Las concentraciones de NO3- en el agua del acuífero fueron muy bajas, se observó una media de 2 ±1 mg l-1, con un valor máximo de 4 mg l-1 y un mínimo de 0.5 mg l-1 por lo que el agua en cuanto a este parámetro no representa un riesgo para la salud humana con base en los lineamientos de la Organización Mundial de la Salud (WHO, 1985), Wakida y Lerner (2005), y la norma NOM-127-SSA1-1994, debido a que las muestras no superaron el límite de 45 mg l-1, apto para uso agrícola; además, se pudo observar que las cantidades aplicadas por parte de los productores del acuífero Calera en cuanto a fertilización nitrogenada se mostraron por debajo de lo que recomienda INIFAP (2006), y al no presentar un excedente de este macroelemento hasta el momento no han impactado la calidad del agua del acuífero Calera por efecto de lixiviación y percolación del agua, tal como lo encontrado por Saleem, Hussain y Mahmood (2016) en la región de Noida en la India. Además, las cantidades de NO3- encontradas en el acuífero Calera están por debajo de las que han identificado Sarabia, Cisneros, Aceves, Duran y Castro (2011), y Peña et al. (2012), ambos trabajos realizados en el acuífero del valle de San Luis Potosí; y Pérez y Pacheco (2004) en el estado de Yucatán, pues mostraron concentraciones promedio de 5.0, 6.2 y 21.3 mg l-1, respectivamente, todas aptas para fines agrícolas.
Clasificación hidrogeoquímica
Durante el muestreo de 2016 se registraron dos familias de agua debido a que el 53 % de las muestras correspondió a aguas del tipo no dominantes bicarbonatadas y el 47 % restante se consideró como sódico bicarbonatadas, tal como se muestra en la Figura 4. Cabe señalar que para el segundo periodo de evaluación, en la Figura 5 se pueden observar cuatro familias en las que predominaron las aguas de índole no dominantes bicarbonatadas con el 47 %, seguido de las de carácter cálcico bicarbonatadas con un 24 %, y las de origen magnésico bicarbonatada y sódico bicarbonatada con el 17 y 12 %, respectivamente.
Contreras, Vargas y Badilla (2012), en un estudio sobre las propiedades hidrogeoquímicas e isotópicas del agua subterránea en la parte media de la cuenca del río Tulián, en Honduras, observaron que, en general, en su mayoría las aguas de tipo bicarbonatada tienen un corto tiempo de permanencia en el terreno en las zonas de recarga; por su parte, Padilla y García (2012), y Morán, Ramos, López, Carranco y Santacruz (2013), en estudios sobre hidrogeoquímica en las cuencas del río Quiscab, Guatemala, y Huasteca Potosina, México, encontraron que este tipo de agua se caracteriza por la interacción con rocas calcáreas sedimentarias.
Ambos contextos son similares a los del acuífero Calera, al presentar una geología de origen calcáreo; el carácter bicarbonatado de su agua podría deberse a su interacción con este tipo de rocas; a su apresurada infiltración por la acción de las fallas y fracturas geológicas de la región, y a una rápida fluidez en el movimiento de las corrientes subterráneas, pues el promedio de desplazamiento del agua para la región es de 64 cm día-1.
Posteriormente, Morán et al. (2013) registraron que las aguas de tipo magnésico bicarbonatadas obedecen a la incorporación de sustancias a través del material geológico con el cual están en contacto, además tienen un mayor tiempo de recorrido en el acuífero que las cálcico bicarbonatadas; por último, de acuerdo con Padilla y García (2012), según la secuencia de Chebotarev, el agua catiónicamente evoluciona desde el tipo cálcico, pasando al magnésico, para finalizar en sódico: aguas consideradas como típicas de ambientes geológicos volcánicos.
Acorde con lo establecido por Contreras et al. (2012), y Padilla y García (2012), el incremento de familias de agua de un periodo a otro en el acuífero Calera puede ser consecuencia de la interacción del agua con la composición de la matriz geológica con la cual está en contacto durante su recorrido por el medio y por las reacciones que se llevan a cabo a medida que un agua evoluciona, pues durante el primer ciclo se registró una precipitación de 753 mm, superando ampliamente a la media de esta zona, la cual asciende sólo a 450 mm; de igual forma, para el segundo periodo evaluado, la precipitación se observó ligeramente por debajo de la media, al concentrar 405 mm, por lo que se infiere que las aguas interactuaron con los materiales calcáreos del área, diluyendo el calcio; de acuerdo con Can et al. (2014), esta situación fue la que pudo originar el carácter de las aguas cálcicas bicarbonatadas.
Por su parte, las aguas bicarbonatadas sódicas se encuentran asociadas con la presencia de minerales de arcilla que afectan principalmente los cationes Na+, Ca+, y Mg2+. Contreras et al. (2012) exponen que el terreno cede iones de Na+ y toma del agua cationes de Ca+ y Mg2+; como resultado, el agua se ablanda y tiende a convertirse en sódica. Por lo tanto, a lo largo del flujo del acuífero Calera se está dando un intercambio catiónico que podría ser el responsable de que las aguas muestreadas en algunos puntos sean del tipo bicarbonatada sódica, considerada como la que ha tenido un mayor periodo de permanencia en el acuífero. No obstante, se debe poner mayor atención al hacer uso de ésta, ya que muestra altas concentraciones de Na+ que podrían precipitar en el suelo, originando su defloculación.
En cuanto al análisis Clúster, se obtuvieron tres grupos, los cuales no están correlacionados por su profundidad, más bien tal clasificación se originó por las concentraciones obtenidas en cada parámetro y por la región donde se ubican los diferentes pozos evaluados; así, durante el periodo de 2016 se identificó que el grupo uno correspondió a las concentraciones más elevadas de SE, SP y CSR y las más bajas en cuanto a CE y STD; de manera posterior, en los otros grupos no se observó alguna otra tendencia en la distribución de las concentraciones para cada uno de sus parámetros (Figura 6).

Figura 6 Agrupación de los pozos del acuífero Calera de acuerdo con los parámetros evaluados, ciclos 2016-2017. Nota: cada pozo evaluado pertenece a un estrato que se especifica debajo del número de pozo.
Respecto al periodo de 2017, se encontró que en el grupo uno se posicionaron las concentraciones más bajas para CE, SE, SP, RAS y CSR; en el grupo dos se ubicaron medianas concentraciones, y en el grupo tres se evidenció la presencia de las concentraciones más elevadas en los mismos parámetros (Tabla 4).
Tabla 4 Clasificación de CE, SE, SP, RAS y CSR de acuerdo con el grupo de pozos que se identificó durante el análisis estadístico clúster.
| Clúster | CE | SE | SP | RAS | CSR |
|---|---|---|---|---|---|
| Grupo 1 | 343 ± 26b | 1.2 ± 0.02b | 0.8 ± 0.2b | 1.0 ± 0.1a | 0.9 ± 0.1a |
| Grupo 2 | 453 ± 33ab | 1.8 ± 0.5b | 1.2 ± 0.3ab | 1.1 ± 0.7a | 0.01 ± 0.6a |
| Grupo 3 | 706 ± 316a | 4.1 ± 2.1a | 2.0 ± 0.9a | 1.7 ± 1.5a | -1.2 ± 3.3a |
Las medias con distinta literal por columna son diferentes estadísticamente (p < 0.05).
En su totalidad, los pozos que integraron el grupo uno en el ciclo 2017 se ubican al este del acuífero Calera; la mayoría del grupo dos se localiza al oeste, y la mayor proporción del grupo tres se encuentra en la porción sur del acuífero. Cabe resaltar que los pozos que forman los tres grupos son los mismos para ambos ciclos de evaluación, los cuales registraron la mayor calidad de agua del acuífero durante el segundo periodo; el segundo grupo obtuvo una calidad aceptable, y el tercero condicionada, donde la mayoría los pozos se localiza en la región con mayor altitud (Figura 7). No obstante, todos los parámetros de los tres grupos se mostraron adecuados para riego agrícola; algunos pueden ser usados bajo ciertas restricciones o situaciones, pero sin impedimento alguno para que la producción de chile se vea afectada.

Figura 7 Agrupación de los pozos de acuerdo con los valores obtenidos en los parámetros evaluados y su ubicación en la región, ciclo 2017.
Asimismo, el análisis estadístico por estratos durante los ciclos de evaluación mostró que la profundidad de cada pozo no se encuentra relacionada con la calidad del agua del acuífero Calera, ya que en los parámetros de los estratos más someros no existen diferencias estadísticas a los más profundos (p > 0.05), sin embargo, el pH, CO3 2- y HCO3 - son diferentes de un ciclo a otro en todos los estratos (p < 0.05). Por lo tanto, la profundidad de cada pozo no incide sobre la calidad de su agua, ésta depende de la región en donde se ubique cada pozo y su interacción con los elementos del material geológico (Tabla 5).
Tabla 5 Análisis por estratos en la concentración iónica, conductividad eléctrica (CE) y pH del agua del acuífero Calera, Zacatecas. Ciclos de producción 2016-2017.
| 2016 | 2017 | |||||||||||
|---|---|---|---|---|---|---|---|---|---|---|---|---|
| E1 | E2 | E3 | E4 | E5 | E1 | E2 | E3 | E4 | E5 | EEM | ||
| pH | 8.1a | 8.09a | 8.21a | 8.24a | 8.24a | 7.54b | 7.46b | 7.56b | 7.58b | 7.80b | 0.07 | |
| CE µScm-1 | 312.5a | 377.7a | 492.7a | 399.7a | 494.5a | 354a | 444.3a | 682.7a | 449.3a | 550a | 68.3 | |
| Ca2+ | 1.67a | 1.76a | 2.44a | 1.95a | 1.99a | 1.97a | 1.68a | 2.76a | 1.60a | 1.66a | 0.38 | |
| Mg2+ | 0.915a | 0.46a | 2.25a | 2.20a | 2.59a | 0.30a | 0.72a | 2.72a | 2.06a | 2.65a | 0.46 | |
| Na+ | 2.5a | 4.75a | 2.67a | 2.56a | 3.54a | 1.00b | 2.33a | 1.67a | 1.00b | 1.25b | 0.61 | |
| K+ | 0.67a | 0.63a | 0.56a | 0.39ab | 0.37ab | 0.30a | 0.30a | 0.30a | 0.21b | 0.19b | 0.06 | |
| Cationes | 5.75ab | 7.59ab | 7.79a | 7.10a | 8.50a | 3.57b | 5.03a | 7.44b | 4.86b | 5.75ab | 0.92 | |
| CO32- | 1.0a | 1.0a | 1.0a | 1.0a | 1.0a | 0.12b | 0.13b | 0.31b | 0.01b | 0.28b | 0.05 | |
| HCO3- | 5.17a | 5.28a | 4.44a | 4.67a | 4.46a | 3.04b | 3.62b | 3.55b | 3.41b | 3.24b | 0.53 | |
| Cl- | 0.29a | 0.48a | 0.66a | 0.71a | 0.98a | 0.90a | 0.82a | 1.63b | 0.97a | 1.54b | 0.21 | |
| SO42- | 0.22a | 0.37ab | 0.73b | 0.47ab | 0.66b | 0.13a | 0.19a | 0.33ab | 0.33ab | 0.35ab | 0.08 | |
| Aniones | 6.68a | 7.12a | 6.83a | 6.84a | 7.10a | 4.17b | 4.76b | 5.82ab | 4.71b | 5.41ab | 0.68 | |
EEM = error estándar de la media. Los parámetros con diferente literal por fila son estadísticamente diferentes (p < 0.05).
Conclusión
La excesiva cantidad de nutrientes que se aplican para la producción de chile no ha impactado la calidad del agua en la región mediante su infiltración por los movimientos de lixiviación y percolación, ya que los criterios de salinidad, sodicidad y toxicidad evaluados revelaron que la mayoría de sus parámetros se clasificaron como aceptables para uso agrícola, sólo durante el ciclo de 2016 se observaron elevadas concentraciones de fósforo en el 50 % de las muestras; no obstante, en el periodo de 2017, estas cantidades se redujeron de forma considerable y pueden usarse sin algún grado de restricción. Por lo tanto, la calidad del agua del acuífero Calera presenta una fuerte interacción con sus procesos de recarga, sobre todo por la cantidad de precipitación fluvial en cada periodo, la geología de la región, la velocidad de las corrientes subterráneas, y la infiltración por la acción de fallas y fracturas geológicas. Así, el sistema de producción de chile en la región puede considerarse como un cultivo sostenible, pues hasta el momento sus procesos no han incidido considerablemente sobre uno de los recursos de los que más depende; sin embargo, se recomienda hacer un nuevo análisis en temporada de lluvias para contrastar los resultados generados en este análisis y poder diferenciar la cantidad de elementos presentes en el agua de riego para ambas temporadas.










text in 








