Introducción
El chile (Capsicum annuum L.) es uno de los cultivos originarios de México; Olvera et al. (1998) mencionan que fue cultivado desde el año 7 000 al 2 555 AC, en Puebla y Tamaulipas. Entre las razas que más se cultivan en México son chile jalapeño, serrano y poblano (SIAP, 2020). La producción de este cultivo es parte fundamental de la economía local, regional y nacional, por la generación de ingresos económicos a través del consumo nacional y la exportación, posicionándolo como uno de los cultivos más importantes de México (Huerta et al., 2007).
En México, en el año agrícola 2020 la superficie sembrada de chile verde poblano fue de 16 822 ha, de las cuales 16 234 ha corresponden a la producción a campo abierto y 557 en invernadero, con una producción de 419 403 t y un rendimiento promedio de 25.05 t ha-1, en Coahuila se siembran 70 ha, con un rendimiento medio de 19 t ha-1 (SIAP, 2020). La importancia de este chile radica en sus formas de comercialización, ya sea como ‘chile poblano’ o deshidratado como ‘chile ancho’.
Lideran la producción de chile poblano Zacatecas, Guanajuato y Sinaloa y de chile ancho Zacatecas y San Luis Potosí (SIAP, 2020). No obstante, la competencia con otros países genera presión en los productores mexicanos por producir frutos de alta calidad (Truong et al., 2011). Sin embargo, problemáticas como la susceptibilidad a plagas y enfermedades, así como los cambios ambientales extremos actuales, son factores que impiden obtener producción de calidad e impacta en la economía, principalmente de pequeños agricultores (Joukhadar y Walker, 2020).
Otra problemática causante de bajos rendimientos y pérdida de calidad, es el uso de semilla criolla, ya que aproximadamente el 80% de la superficie se cultiva con este tipo de semillas (Marín et al., 2013). También impacta la falta de asesoría hacia los pequeños productores, la proliferación de nuevas enfermedades virales y fungosas, que derivan del uso y mala selección de semilla obtenida de sus propias cosechas ( Macías et al., 2009).
También limitan su cultivo, falta de recursos económicos, alto costo de insumos, precios variables de la cosecha, comercialización deficiente, escasez de mano de obra y del recurso agua que se ha acentuado con el cambio climático (Galindo et al., 2002). Por tanto, ante los actuales cambios ambientales que se están presentado en México y el mundo, se necesitan conservar los recursos fitogenéticos, ya que el resguardo de esta riqueza genética, permite su uso para el mejoramiento y la adaptación a las nuevas condiciones ambientales, en este sentido, se promueve la generación de nuevas variedades mejoradas con mayor potencial genético y de mejor desempeño en el entorno donde se le cultiva (Hartmann y Kester, 1985), a fin de producir frutos de mejor calidad, que cumplan con los estándares que requiere el mercado y que contribuyan a la sostenibilidad de sistemas agropecuarios para extender su área de producción a otras regiones donde no se produce o se dejó de producir (Aguilar et al., 2010; Aguirre y Muñoz, 2015; Camarena et al., 2014).
Las problemáticas antes citadas, derivan en el objetivo que fue evaluar el desempeño agronómico de cuatro genotipos criollos de chile poblano recolectados con pequeños agricultores en los estados de Puebla, Jalisco y Zacatecas, en el sureste de Coahuila, a fin de identificar su potencial genético para incluirlos en programas de mejoramiento.
Materiales y métodos
Ubicación del sitio experimental
El presente trabajo de investigación se desarrolló en el ciclo verano-otoño del año 2020, en el campo experimental El Bajío de la Universidad Autónoma Agraria Antonio Narro en Saltillo, Coahuila, México, que se encuentra ubicado en las coordenadas geográficas 101° 02’ 14” longitud oeste y 25° 21’ 35” latitud norte, a una altitud de 1 743 m, con una temperatura media anual de 16.9 °C y precipitación media anual de 435 mm.
Material genético
Se usaron semillas criollas de cuatro genotipos de chile poblano (Cuadro 1). El genotipo uno (G1) y genotipo dos (G2) se colectaron en el municipio de San Martín Texmelucan del estado Puebla, el genotipo tres (G3) en Villa de Cos, Zacatecas y el Genotipo 4 (G4) en Tomatlán, Jalisco en 2019.
Cuadro 1 Procedencia de los cuatro genotipos criollos de chile poblano evaluados a campo abierto en el sureste de Coahuila.
| ID | Color a madurez | Municipio | Estado | Coordenadas | Altitud (m) |
|---|---|---|---|---|---|
| G1 | Café | San Martin Texmelucan | Puebla | 19°17’00” N 98°26’00” O | 2 300 |
| G2 | Café | San Martin Texmelucan | Puebla | 19°17’00” N 98°26’00” O | 2 300 |
| G3 | Rojo | Villa de Cos | Zacatecas | 23°17’42” N 102°20’24” O | 1 980 |
| G4 | Café | Tomatlán | Jalisco | 19°56’00” N 105°14’00” O | 50 |
G= genotipo.
Producción de plántula
La siembra de los cuatro genotipos se hizo en charolas de poliestireno de 200 cavidades, se usó como sustrato de germinación una mezcla de peat moss (Premier®) y perlita (Termilita®) en proporción 70/30% respectivamente. Una vez emergidas, la fertilización de las plántulas se realizó con triple 20 (20-20-20) de N-P2O5-K2O soluble, a razón 0.4 g L-1 a los 6 días después de la emergencia (DDE), 0.6 g L-1 a los 15 DDE, 0.8 g L-1 a los 30 DDE y 1 g L-1 a los 45 DDE.
Establecimiento en campo y manejo del cultivo
El trasplante se realizó a los 60 días después de la siembra y fue en un suelo franco con las siguientes características, densidad aparente 1.25 g cm-3, pH 1:2 alcalino 8.61, carbonatos totales 8.25%, conductividad eléctrica 1.1 dS m-1, punto de saturación 40%, capacidad de campo 21.3%, punto de marchites permanente 12.7%, macronutrientes (N-NO3 - 39.7, P-Olsen 65, S 55.9, Cl no determinado, K+ 658, Ca2+ 3995 y Mg2+ 321 ppm), microelementos (Fe3+ 2.07, Mn2+ 3.11, B3+ 1.31, Zn2+ 4.95, Mo2+ no determinado y Cu+ 0.51 ppm). Cada genotipo se distribuyó en una cama de cultivo elevada (25 cm de altura por 30 cm de ancho y 25 m de longitud) sin acolchado, la distancia entre camas fue de 1.8 m y la distancia entre plantas dentro de las camas de 30 cm, a doble hilera con distancia entre hileras de 20 cm, para una densidad de población calculada de 37 000 plantas ha-1. Las plantas se acomodaron bajo un arreglo experimental completamente aleatorizado con cuatro tratamientos y cuatro repeticiones cada uno, cada repetición con cuatro plantas útiles medibles postradas al centro con competencia completa con un total de 12 plantas por repetición.
La fertilización del cultivo fue vía fertirriego tres veces por semana, con una fertilización global de N-P-K de 475, 339 y 200 kg ha-1. Se aplicó un riego diario, el agua de riego contenía las siguientes características (pH 7.5, conductividad eléctrica 1.15 dS m-1, relación de absorción de sodio 1.61, HCO3- 7.56), contenido de macroelementos (NO3 - 0.41, H2PO4 - no determinado, SO4 2- 1.61, Cl- 2.2, K+ 0.1, Ca2+ 5.57, Mg2+ 2.42 y Na+ 3.22 milequivalentes L-1) y microelementos (Fe3+ 0.0118, Mn2+ 0.0047, B3+ 0.4, Zn2+ 0.0891, Cu+ 0.0122 partes por millón L-1).
La duración del riego fue de 1 h y el gasto de cada gotero fue de 0.5 L h-1, con distancias entre goteros de 20 cm. Para la prevención y control de plagas de mosca blanca (Bemisia tabaci), trips (Frankliniella occidentalis) y paratrioza (Bactericera Cockerelli) se realizaron aplicaciones de Spirotetramat al 15.3%, Spiromesifen al 23.1% e Imidacloprid 17% + betacylfutrin 12% a razón de 1 ml L-1.
Determinación de variables de desempeño agronómico
Se realizaron tres cosechas, la primera fue a los 90 días después del trasplante (DDT), la segunda a los 112 y la tercera a los 127. Para obtener el rendimiento en gramos por planta, se realizó la suma de los rendimientos obtenidos en las tres cosechas, para lo cual se utilizó una báscula digital marca OHAUS® Scout®-pro, al mismo tiempo se contabilizó el número de frutos por planta (NFP), para calcular el peso promedio de fruto (PPF), se dividió el rendimiento total de cada planta entre el número de frutos totales de dicha planta.
La longitud del fruto (LF) expresado en centímetros se determinó con un vernier marca Truper®, mismo que se utilizó para medir ancho en la base (AB), ancho en centro (AB), ancho en punta del fruto (AP) y profundidad del cáliz, todas expresadas en milímetros, se cuantificaron en fruto fresco y deshidratado, los frutos frescos se deshidrataron dentro de bolsas de papel secante, bajo invernadero por un lapso de 30 días. Con una cinta métrica graduada en centímetros marca Truper®, se midieron la altura a la primera bifurcación, altura total de planta, así como la longitud y ancho de hoja.
Determinación del porcentaje de conservación de características del fruto deshidratado de las primeras dos cosechas
El porcentaje de conservación de las características del fruto deshidratado se determinó en peso promedio de fruto, longitud de fruto, ancho de base, ancho en centro y ancho en punta del fruto y se utilizaron cuatro frutos por cada repetición elegidos de forma aleatoria, y se cuantificaron en los frutos frescos ‘poblano’, así como en el fruto deshidratado ‘ancho’, en la primera y segunda cosecha, y se calculó como sigue.
Resultados y discusión
Desempeño agronómico de los genotipos
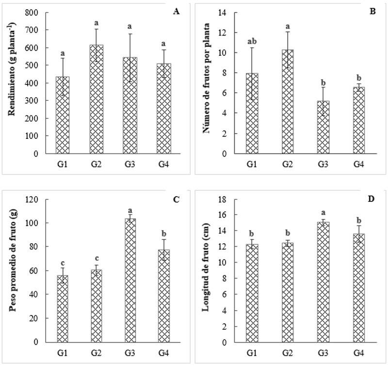
El análisis de varianza (p≤ 0.05) y prueba de medias de Tukey (p≤ 0.05), no detectó diferencias estadísticas en el rendimiento de frutos (g planta-1) en los genotipos (Figura 1A), por lo que, todos los genotipos tienen un desempeño similar bajo las condiciones de evaluación; no obstante, si se extrapola el rendimiento por planta a toneladas por hectárea, considerando la densidad de plantación de 37 000 plantas ha-1 aproximadamente, el G2 tiene rendimientos promedio de 22.69 t ha-1 y 20.06 para G3.

Figura 1 Anova p≤ 0.05 y prueba de medias de Tukey p≤ 0.05 de rendimiento en gramos por planta (A); número de frutos por planta (B); peso promedio de fruto (C) y longitud de fruto (D), de cuatro genotipos de chile poblano evaluados a campo abierto en el sureste de Coahuila. Barras verticales corresponden a la desviación estándar.
En este sentido, Ramos et al. (2011), reportaron rendimientos promedio de 16.23 t ha-1 en el hibrido de chile poblano Vencedor, mientras que Zermeño et al. (2019) obtuvieron 6.2 t ha-1 en la variedad Ébano, rendimientos inferiores en relación a lo expuesto por los genotipos evaluados considerando que la semilla es criolla, pero parecidos y competitivos a las 19 t ha-1 reportadas en el estado de Coahuila y las 25 t ha-1 en promedio en el país; no obstante en condiciones de fertitrriego se producen hasta 40 t ha-1 y bajo agricultura protegida hasta 80 t ha-1 (SIAP, 2020).
Para número de frutos por planta, destaca estadísticamente G2 y G1 recolectados en el estado de Puebla con 10.25 y 7.92 frutos por planta respectivamente (Figura 1B), por lo que se infiere, que podrían tener buena adaptabilidad para la expresión de este carácter en la región de Coahuila. Toledo et al. (2011), reportaron de 3.4 a 5.9 frutos por planta en las 10 mejores variedades nativas de chile poblano evaluadas.
De igual manera Zermeño et al. (2019), reportaron valores promedio de 6.6 frutos por planta, que son inferiores a los genotipos del estado de Puebla, pero similares al G3 de Zacatecas y G4 de Jalisco. En tanto que, en peso promedio de fruto, se obtuvieron diferencias estadísticas significativas, donde el mejor desempeño lo mostró el G3 con 104.54 g, los de menor peso corresponden al G1 y G2. G4 resultó intermedio con 77.36 g (Figura 1C).
Al respecto Kirk et al. (2013), reportaron frutos de chile poblano con pesos de 54.3 a 67.9 g, Zermeño et al. (2019) de 25.33 g. Mientras que Toledo et al. (2011), indicaron de 5 a 24.8 g donde siete eran variedades nativas, estos datos reportados son inferiores a los encontrados en G3 y G4, lo que indica el potencial genético que poseen dichos genotipos. La longitud de los frutos tuvo una respuesta estadística diferencial (Figura 1D), donde el G3 fue el de mejor desempeño con 15.05 cm, por la expresión de esta característica y el peso promedio del fruto superior, se infiere que podría tener gran potencial para su comercialización en verde fresco o ‘poblano’, el resto de los genotipos mostró un comportamiento estadístico similar.
En referencia a longitud de fruto, Kirk et al. (2013) obtuvieron frutos de 8.43 a 11 cm, Santiago et al. (2018), repostaron 14.9 cm en el hibrido de chile ancho tipo mulato (HAM14F) y Zermeño et al. (2019) obtuvieron frutos de 7.16 cm de longitud. Es importante resaltar que esta característica es de gran importancia para la comercialización y al tratarse de semilla criolla, los resultados son aceptables y eventualmente podrían competir con las variedades o híbridos.
Las diferencias observadas en el desempeño agronómico de los genotipos, en algunos de los caracteres evaluados, se atribuyen a la procedencia geográfica y la genética propia de dichos genotipos, características que podrían ser mejoradas mediante selección y endocría (Pech et al., 2010), aunque, el ambiente de prueba también determina la expresión de las características fenotípicas observadas, por lo que, es importante considerar su interacción (Latournerie et al., 2015).
Estas diferencias, podrían dar la pauta para la selección de genotipos promisorios y con las mejores características fenotípicas e incluirlos en programas de mejoramiento genético, para la generación de variedades adaptadas a nuevas condiciones agroclimáticas o ambientes específicos (Zewdie y Bosland, 2000; Echandi, 2005). Además, la diversidad y divergencia genética existente, también permitiría explotar el fenómeno de heterosis en la generación de híbridos (Moses y Umaharan, 2012).
Las características de ancho de base, centro y profundidad del cáliz del fruto fresco tuvieron una respuesta estadística diferencial (Anova p≤ 0.05) (Cuadro 2), donde G2 y G3 resultaron superiores para la variable de ancho de base con 63.09 y 58.13 mm, respectivamente y ancho en centro de 59.67 y 55.51 mm, respectivamente, para ancho de punta no se encontraron diferencias. Al respecto Kadri et al. (2009), señalan que el 54.3% de la variación total del diámetro de fruto se debe a los propios genotipos.
Cuadro 2 Ancho de base, ancho en centro, ancho en punta y profundidad del cáliz de los frutos de cuatro genotipos de chile poblano evaluados en el sureste de Coahuila.
| Genotipos | Ancho en base (mm) | Ancho en centro (mm) | Ancho de punta (mm) | Profundidad de cáliz (mm) |
|---|---|---|---|---|
| G1 | 50.15 b& | 50.04 b | 26.94 a | 19.69 a |
| G2 | 58.13 a | 55.51 a | 28.66 a | 20.05 a |
| G3 | 63.09 a | 59.67 a | 26.99 a | 21.25 a |
| G4 | 47.31 b | 48.56 b | 24.53 a | 8.94 b |
| Anova p≤ | 0.0001 | 0.0001 | 0.0756 | 0.0001 |
| CV (%) | 4.68 | 4.27 | 7.4 | 12.61 |
| DMS | 5.36 | 4.78 | 4.15 | 4.62 |
&= medias con la misma letra en las columnas son estadísticamente iguales (Tukey p≤ 0.05); CV= coeficiente de variación; DMS= diferencia mínima significativa (Tukey p≤ 0.05).
De igual manera Kirk et al. (2013) obtuvieron frutos con anchos en centro de 53.4 a 57.3 mm, siendo valores cercanos a los que se obtuvieron en esta investigación. Mientras que, en profundidad de cáliz, la respuesta estadística fue similar en G3, G2 y G1 con valores de 21.25, 20.05 y 19.69 mm, respectivamente. La profundidad del cáliz es una variable que guarda estrecha relación positiva con el peso de fruto.
se observaron diferencias estadísticas significativas en las variables de altura de planta, altura de la primera bifurcación, longitud y ancho de hoja, de acuerdo con el Anova p≤ 0.05 y Tukey p≤ 0.05 (Cuadro 3). G2 y G3 destacaron en la altura de planta con 89.18 y 89.88 cm, mientras que G4 presento plantas más pequeñas y compactas con 62.78 cm. Alturas de planta de menor magnitud (37.9 a 56.8) fueron reportadas por Toledo et al. (2011), en 49 variedades de chile.
Cuadro 3 Variables de comportamiento agronómico evaluadas en los cuatro genotipos de chile poblano en el sureste de Coahuila.
| Genotipos | Altura de planta (cm) | Altura primera bifurcación (cm) | Largo de hoja (cm) | Ancho de hoja (cm) |
|---|---|---|---|---|
| G1 | 76.35 b& | 21.07 ab | 7.48 b | 3.52 b |
| G2 | 89.18 a | 15.3 b | 9.24 a | 4.46 a |
| G3 | 89.88 a | 25.5 a | 8.85 ab | 4.77 a |
| G4 | 62.78 c | 14.18 b | 9.4 a | 4.49 a |
| Anova p≤ | 0.0093 | 0.0032 | 0.0093 | 0.0083 |
| CV (%) | 6.6 | 19.51 | 8.13 | 10.09 |
| DMS | 11.02 | 7.78 | 1.49 | 0.91 |
&= medias con la misma letra en las columnas son estadísticamente iguales (Tukey p≤ 0.05). CV= coeficiente de variación; DMS= diferencia mínima significativa (Tukey p≤ 0.05).
En este sentido, Linares (2004), determinó que plantas más grandes y vigorosas generalmente producen mejores rendimientos, tendencia que se observó en este trabajo de investigación. En altura de la primera bifurcación resultaron ser superiores G3 y G1 con 25.5 y 21.07 cm, respectivamente. Con relación a lo anterior, Toledo et al. (2016) aseguran que, el porte de la planta debe ser el adecuado para poder soportar la carga y tamaño de los frutos, calidad y uniformidad, ya que, si los frutos están en contacto directo con el suelo, estos se deforman o pierden calidad de comercialización.
En longitud y ancho de hoja se observó un comportamiento estadístico similar entre G4, G2 y G3, en este sentido, la importancia de una buena superficie y cobertura foliar, radicó en su capacidad de interceptar la mayor cantidad de radiación fotosintéticamente activa para transformarse en fotoasimilados, que se traduce en un aumento en la calidad de frutos y por ende en el rendimiento final de los cultivos; asimismo, evita las llamadas quemaduras ocasionadas por la radiación solar directa a los frutos (Mendoza et al., 2017).
Autores como Santiago et al. (2018), reportaron un hibrido de chile ancho mulato con tamaños en hoja de 9.49 cm de largo y 4.42 cm de ancho, similares a los obtenidos por G3 y G4 de esta investigación. Es importante señalar que a partir de variables agronómicas y morfológicas se han logrado caracterizar especies de Capsicum con buen potencial de adaptación y producción para su uso en diferentes regiones (Sudre et al., 2010).
Características del fruto fresco y deshidratado de las primeras dos cosechas
Adicional a los datos que se presentaron previamente, también se muestran el Anova p≤ 0.05, y prueba de medias de Tukey (p≤ 0.05), de algunas de las características del fruto en fresco y deshidratado únicamente de las primeras dos cosechas y se presentan en el Cuadro 4. El peso promedio de fruto y longitud del fruto en fresco, fueron superiores en los genotipos tres y cuatro.
Cuadro 4 Analysis of variance and comparison of means of characteristics of fresh and dehydrated fruit in the first two harvests.
| Genotipos | Peso promedio de fruto (g) | Longitud de fruto (cm) | Ancho de base (mm) | Ancho en centro (mm) | Ancho de punta (mm) |
|---|---|---|---|---|---|
| Características del fruto fresco | |||||
| G1 | 65.86 b& | 12.7 b | 51 b | 50.03 c | 27.42 a |
| G2 | 85.15 b | 13.37 b | 59.52 a | 56.63 b | 30.02 a |
| G3 | 111.2 a | 15.2 a | 63.41 a | 61.24 a | 27.18 a |
| G4 | 110.98 a | 14.61 a | 51.78 b | 52.76 bc | 26.69 a |
| Anova p≤ | 0.0001 | 0.0001 | 0.0001 | 0.0001 | 0.1467 |
| CV (%) | 11.53 | 3.95 | 4.35 | 3.9 | 7.31 |
| LSD | 22.56 | 1.15 | 5.15 | 4.51 | 4.26 |
| aracterísticas del fruto deshidratado | |||||
| G1 | 7.96 b | 9.76 c | 43.38 ab | 40.54 b | 24.53 a |
| G2 | 9.36 ab | 10.75 bc | 48.22 a | 46.85 a | 35.22 a |
| G3 | 10.24 a | 11.89 a | 44.03 ab | 36.57 b | 20 b |
| G4 | 9.41 ab | 11.37 ab | 40.75 b | 36.84 b | 19.82 b |
| Anova p≤ | 0.0046 | 0.0003 | 0.0663 | 0.0002 | 0.0009 |
| CV (%) | 7.54 | 4.48 | 7.95 | 6.19 | 7.69 |
| LSD | 1.46 | 1.02 | 7.35 | 5.22 | 3.61 |
&= medias con la misma letra en las columnas son estadísticamente iguales (Tukey p≤ 0.05); CV= coeficiente de variación; DMS= diferencia mínima significativa (Tukey p≤ 0.05).
El ancho de la base de los frutos fue superior en los genotipos tres y dos, mientras que el ancho en centro destacó el genotipo tres. En cuanto a los caracteres de los frutos ya deshidratados, para la variable de peso promedio de fruto la respuesta fue estadísticamente similar entre G3, G4 y G2. La longitud del fruto resultó superior en G3 y G4. El ancho de la base de los frutos mostró un comportamiento similar entre G2, G3 y G1, mientras que el ancho en centro destacó G3.
Porcentaje de conservación de características del fruto después del deshidratado en las primeras dos cosechas
Una característica del chile poblano es que puede comercializarse en fresco o deshidratado, por ende, es importante cuantificar dichas características para determinar la relación porcentual entre el carácter del fruto deshidratado y el fruto fresco. En este sentido, derivado de las primeras dos cosechas, en la variable de peso promedio de fruto, los genotipos que conservaron el mayor peso después del deshidratado fueron G1 y G2, con 12.09 y 10.99%, respectivamente (Cuadro 5).
Cuadro 5 Porcentaje (%) de conservación de características del fruto deshidratado en cuatro genotipos de chile poblano evaluados en el sureste de Coahuila.
| Genotipos | Peso promedio de fruto | Longitud de fruto | Ancho de base | Ancho en centro | Ancho en punta |
|---|---|---|---|---|---|
| G1 | 12.09 | 76.85 | 85.06 | 81.03 | 89.46 |
| G2 | 10.99 | 80.4 | 81.01 | 82.73 | 84.01 |
| G3 | 9.21 | 78.22 | 69.44 | 59.72 | 73.58 |
| G4 | 8.48 | 77.82 | 78.7 | 69.83 | 74.26 |
La longitud del fruto se conservó en 80.4% en G2, los demás genotipos variaron entre 76.85 y 78.22%. Mientras que, en el ancho de base, centro y punta de fruto, los genotipos que conservaron más de 80% de su valor fueron G1 y G2, con los resultados antes descritos, sumados a la apariencia visual, el color y la consistencia de los frutos (Figura 2), se infiere G1 y G2 poseen mayor potencial para el fruto deshidratado, mientras que G3 y G4 para fruto fresco.

Figura 2 Frutos frescos ‘poblanos’, frutos maduros y frutos deshidratados ‘ancho’ de cuatro genotipos de chile poblano evaluados en el sureste de Coahuila.
Los resultados encontrados en el desempeño agronómico, expresan la variabilidad genética en los genotipos de chile poblano, variabilidad que se atribuye a su origen geográfico, dicha variabilidad, podría usarse para iniciar un programa de mejoramiento genético y en el mediano o largo plazo generar variedades mejoradas que satisfagan las necesidades de los productores y de los consumidores, tanto de producto en fresco ‘poblano’ como deshidratado ‘ancho’ y así poder extender el área de producción de este cultivo a otras regiones del país como Coahuila.
Conclusiones
El desempeño agronómico de los genotipos de chile poblano probados en el sureste de Coahuila fue variable, no obstante, debido a una mayor longitud y peso promedio de fruto, G3 es el de mejor desempeño, por ende, mayor potencial genético para su comercialización en fresco o como ‘poblano’, le sigue G4. Por la cantidad de frutos cosechados por planta, los genotipos de mejor desempeño y potencial genético fueron G2 y G1 Debido al mayor porcentaje de conservación de las características cuantificadas en el fruto deshidratado, sumados a la apariencia visual, el color y la consistencia, se infiere que G1 y G2 son los de mejor comportamiento, por ende, mayor potencial genético para su comercialización como fruto deshidratado o ‘ancho’.
Los resultados encontrados en el desempeño agronómico sugieren la existencia de variabilidad genética en los genotipos de chile poblano probados en el estado de Coahuila, variabilidad que se atribuye a su origen geográfico y a la genética propia de cada uno.










text in 


