Introducción
La frecuencia e intensidad de las inundaciones aumenta constantemente en todo el mundo, siendo el cambio climático global una de las amenazas más importantes para la producción de alimentos y el crecimiento económico en todo el mundo (Teoh et al., 2022). La reducción de los niveles de oxígeno del suelo causada por el exceso de agua detiene el crecimiento radical y la absorción de nutrientes en las plantas de banano, provoca la muerte de las raíces juveniles, reduce las tasas de fotosíntesis y respiración e induce la síntesis de etileno como respuesta al estrés (Vargas et al., 2011).
La inundación también induce estrés oxidativo (Messchmidt et al., 2015) debido a la formación de especies reactivas del oxígeno (ERO), resultado de la reducción parcial del oxígeno singlete (1O2), el peróxido de hidrógeno (H2O2) y el radical hidroxilo (•OH) (Seymen, 2021). Si no se eliminan, las ERO pueden dañar las proteínas, el ADN y los lípidos y afectar negativamente a varias funciones celulares (Messchmidt et al., 2015).
El sistema antioxidante formado por componentes enzimáticos y no enzimáticos puede controlar la sobreproducción de ERO en condiciones de estrés y mantener el equilibrio de la homeostasis (Seymen, 2021).
Los principales síntomas de la privación de oxígeno en la planta de banano son marchitamiento, amarillamiento y reducción del crecimiento de plantas y frutos, incluso amarillamiento temprano durante el transporte de frutos (Robinson y Saúco, 2011). El momento del trasplante también es muy importante, ya que las plantas jóvenes son más sensibles a las inundaciones que las plantas maduras (Raman et al., 2022). Cada 10 g planta-1 de raíces funcionales muertas debido a la inundación resulta en una reducción de 40 a 140 cajas de banana ha-1 año-1 (Serrano, 2003).
En un estudio reciente, Teoh et al. (2022) propusieron un modelo para las respuestas de las plantas de banano a la inundación basado en el estudio anatómico, bioquímico y de expresión génica. Según ellos, bajo este estrés, las plantas de banano extendieron rápidamente sus raíces adventicias, generaron aerénquima y activaron su sistema de defensa antioxidante en respuesta a la inundación.
Por otro lado, los pseudotallos comprenden alrededor del 60% de la masa de una planta de banano, representan una fracción de residuo importante en las fincas bananeras, ya que se cortan después de cada cosecha (Castillo et al, 2023). Aproximadamente se generan 220 t ha-1 año-1 de este residuo, constituyendo tanto un problema ambiental relacionado con la toxicidad del suelo como una alta huella de carbono (Adsal et al., 2020). El residuo del pseudotallo es rico en agua, nutrientes y polifenoles, entre los cuales los fenoles y flavonoides son poderosos antioxidantes primarios o eliminadores de ERO (Sharma et al., 2017). También contiene hormonas, aminoácidos, carbohidratos y otros metabolitos que podrían contribuir a un mayor crecimiento.
Teniendo en cuenta que la intensificación de las lluvias debido al calentamiento global provocará más inundaciones repentinas e inundaciones estacionales, el objetivo de este estudio fue evaluar el efecto del residuo de pseudotallo en la recuperación de plántulas de banano sometidas a inundación en condiciones de vivero.
Material y métodos
Los experimentos se llevaron a cabo en la ciudad de Registro, estado de São Paulo, Brasil, en un invernadero de la Facultad de Ciencias Agrícolas del Valle de Ribeira, UNESP, ubicado en las coordenadas 24° 32’ 08.57” latitud sur y 47° 51’ 54.53” longitud oeste. El clima de la región según la clasificación de Köppen es Af, tropical lluvioso sin estación seca. Los datos de temperatura durante el experimento se obtuvieron de la Estación Meteorológica conectada al Sistema CIIAGRO - IAC.
Las plántulas de banano cv. Nanica (Musa spp. AAA) obtenidas por micropropagación se trasplantaron a macetas de 10 dm3 que contenían 50% de suelo y 25% de sustratos comerciales Carolina y Vivatto. Quince días después del trasplante, se aplicó un tratamiento de inundación que mantuvo una capa de agua de 2 cm de altura durante tres días. Posteriormente, se drenó el agua de las macetas y se añadió a la mitad de ellas 0.5 kg de residuo de pseudotallo de banano, cortado en trozos de 10 cm de altura.
El diseño adoptado fue completamente al azar en un esquema factorial y parcelas subdivididas, con seis repeticiones. Ubicado en la parcela, el factorial 2 x 2 estuvo constituido por la presencia o ausencia de inundación y la presencia o ausencia de residuo. Las estaciones de otoño (mayo a julio) y primavera (octubre a diciembre) constituyeron las subparcelas, con un ciclo de crecimiento de la planta de 36 días en las dos estaciones.
Las evaluaciones se realizaron siete días después de finalizado el periodo de inundación. Inicialmente, se determinó la altura de la planta, el diámetro del pseudotallo y el número de hojas. Las plantas se desenterraron cuidadosamente y se lavaron con agua para eliminar la tierra adherida a las raíces. Después, se separaron en brotes y raíces, y se tomaron fotografías del material. Las imágenes se sometieron al software Image J para estimar el área foliar y el área radical (Schneider et al., 2012). Se recolectaron pequeñas porciones de material fresco para determinar el contenido de pigmentos fotosintéticos y la actividad de las enzimas antioxidantes, el resto se secó en un horno a 65 °C, seguido de la determinación de la masa seca de la raíz y el brote. Porciones del material seco se molieron para determinar los contenidos de carbohidratos y nutrientes.
Los contenidos de clorofila y carotenoides se determinaron en discos foliares después de la extracción con acetona al 80% (v/v) (Wellburn, 1994). Para determinar las fracciones de carbohidratos en hoja (h) y raíz (r), 100 mg de material triturado se sometieron a extracción con etanol al 80% a 75 °C durante 20 min, repitiendo este procedimiento tres veces. Los azúcares reductores (AR) se cuantificaron por el método del ácido dinitrosalicílico (Miller, 1959), mientras que los azúcares solubles totales (AST) y el almidón, mediante reacción con la antrona (Hodge y Hofreiter, 1962). Los azúcares no reductores (ANR) se cuantificaron por la diferencia entre AST y AR. Los contenidos de nutrientes (N, P, K, Ca, Mg, B, Fe, Cu, Mn y Zn) se determinaron de acuerdo con Bataglia et al. (1983).
La actividad enzimática se determinó al final del período de estrés (día 0), a los 7 y 14 días después del inicio de la recuperación. El material fresco (920 mg) de raíz y hoja se recolectó a las 10:00 am y se homogeneizó con 6 ml de tampón de fosfato de potasio 0.1 M, pH 6.8 y PVPP 10% (p/v). El macerado se filtró y centrifugó a 15 000 rpm durante 10 min a 4 °C. El extracto obtenido se utilizó para determinar la actividad del superóxido dismutasa (SOD) (Giannopolitis y Ries, 1977), peroxidasa (POD) (Kar y Mishra, 1976), catalasa (CAT) (Peixoto et al., 1999) y ascorbato peroxidasa (APX) (Asada, 1984). Para determinar la actividad específica de las enzimas, se utilizó el método Bradford (1976) para estimar la concentración de proteínas solubles.
Los resultados fueron sometidos a la prueba de normalidad de Shapiro-Wilk. El análisis de varianza se realizó con la aplicación de la prueba F (p< 0.05) y las medias de los tratamientos se compararon mediante la prueba de Tukey (p< 0.05). El software utilizado para el análisis estadístico fue SISVAR.
Resultados y discusión
Efecto de la inundación y el residuo de pseudotallo en el crecimiento de las plántulas
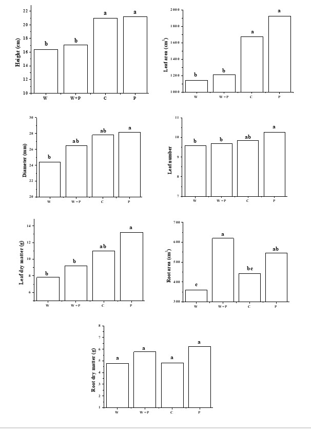
La inundación durante tres días indujo respuestas variadas en el crecimiento de las plantas, pero independientes de la estación de crecimiento (p< 0.01) (Figura 1). El impacto negativo se detectó en la altura y área foliar en los tratamientos de inundación (I) e inundación con la adición de residuo de pseudotallo (I+P), que incluso después de siete días del fin del estrés mostraron valores medios más bajos que las plantas control (C) y que recibieron solo residuo de pseudotallo (P).

Figura 1 Altura, área foliar, diámetro, número de hojas, materia seca foliar, área radical y materia seca radical de plántulas de banano sometidas a inundación (W), inundación y adición de residuo de pseudotallo (W+P), control (C) y residuo de pseudotallo (P), a siete días de recuperación del estrés. Letras diferentes indican una diferencia significativa entre tratamientos (p< 0.05).
El diámetro del pseudotallo, el número de hojas, la masa seca de las hojas de las plantas de los tratamientos de I y I+P, a pesar de ser menores, no difirieron de C. Esto se debe al menor efecto del estrés sobre estas variables o incluso a la recuperación del crecimiento tras el drenaje de las macetas. El área radical disminuyó en I y fue mayor que el control en I+P, lo que indica que el residuo de pseudotallo fue beneficioso, a pesar de que la masa seca de raíz no difirió entre tratamientos.
Efecto de la inundación y del residuo de pseudotallo sobre el contenido de carbohidratos, pigmentos fotosintéticos y nutrientes.
En general, en otoño, los contenidos foliares de azúcares solubles totales (AST h), azúcares reductores (AR h) y azúcares no reductores (ANR h) de los tratamientos I y I+P fueron mayores que los de los tratamientos C y P, lo que indica que el estrés provocó una acumulación de carbohidratos solubles en los tejidos foliares (Cuadro 1). En primavera, no hubo diferencia entre los tratamientos para las diferentes fracciones de estos carbohidratos. También se observa que en otoño los valores medios de las diferentes fracciones de carbohidratos solubles en hoja fueron más altos que en primavera, lo que indica un efecto adicional de la estación de otoño sobre el metabolismo de los carbohidratos.
Cuadro 1 Interacción de la estación de crecimiento y los tratamientos para el contenido de carbohidratos en hoja (h) y raíz (r) de plántulas de banano sometidas a inundación (I), inundación y adición de residuo de pseudotallo (I+P), control (C) y residuo de pseudotallo (P), a los 7 días de recuperación del estrés.
| AST h | AR h | ANR h | ||||
|---|---|---|---|---|---|---|
| Otoño | Primavera | Otoño | Primavera | Otoño | Primavera | |
| I | 183.93 A a | 31.4 A b | 101.56 A a | 14.47 A b | 82.38 A a | 16.93 A b |
| I+P | 189.93 A a | 18.59 A b | 107.34 A a | 10.03 A b | 82.1 A a | 18.56 A b |
| C | 127.95 B a | 28.59 A b | 66.16 B a | 4.72 A b | 61.79 AB a | 23.87 A b |
| P | 112.03 B a | 24.07 A b | 74.35 B a | 5.44 A b | 47.67 B a | 18.63 A b |
| AST r | AR r | ANR r | ||||
| Otoño | Primavera | Otoño | Primavera | Otoño | Primavera | |
| I | 96.98 A a | 32.1 A b | 57.53 A a | 2.61 A b | 29.45 | 26.27 |
| I+P | 81.84 AB a | 31.58 A b | 55.6 A a | 6.35 A b | 29.24 | 25.33 |
| C | 59.1 B a | 26.52 A b | 34.34 B a | 14.34 A b | 24.77 | 22.18 |
| P | 68.79 B a | 28.87 A b | 48.04 AB a | 9.49 A b | 20.75 | 22.61 |
Las medias seguidas de la misma letra mayúscula en las columnas y minúsculas en las filas no difieren estadísticamente entre sí (p< 0.05).
En raíz, el contenido de almidón estuvo influenciado solo por la estación de crecimiento, siendo mayor en otoño (300.4) que en primavera (162.44), independientemente de los tratamientos (Cuadro 1). Los contenidos radicales de azúcares solubles totales (AST r) y azúcares reductores (AR r) estuvieron influenciados por la interacción de la estación de crecimiento y los tratamientos, y en otoño estas dos fracciones fueron mayores en I y I+P en comparación con C, mientras que el tratamiento con P no difirió del control. En primavera, los AST r y AR r no fueron influenciados por los tratamientos y exhibieron valores medios más bajos que en otoño. Los azúcares no reductores de la raíz (ANR r), que incluyen la sacarosa, no se vieron afectados por la estación ni por la inundación.
En otoño, las temperaturas mínimas y máximas absolutas fueron de 8.89 y 33.38 °C y la disponibilidad de radiación global acumulada total fue de solo 369.10 MJ m-2, mientras que en primavera, las temperaturas fueron de 16.25 y 38.8 °C y la acumulación de radiación fue de 544.13 MJ m-2. Robinson y Saúco (2011) señalan que los límites de temperatura para la ganancia de materia seca en el banano se encuentran entre 8 y 15 °C, cuyo límite mínimo se superó en la mitad de los días del ciclo de cultivo en otoño. También hubo menos radiación disponible en otoño en comparación con verano, lo que concuerda con el hecho de que el número promedio de hojas, la altura de la planta y el diámetro del pseudotallo fueron menores en otoño que en primavera (p< 0.05), independientemente de los tratamientos.
La acumulación de carbohidratos en hojas como en raíces en otoño puede estar relacionada con la menor tasa de crecimiento y desarrollo, que se ve especialmente afectada por la temperatura (Cuadro 1). Los niveles más altos de carbohidratos solubles en hojas y raíces de plantas sometidas a inundación (I y I+P) en otoño están más relacionados con la condición climática que con el estrés en sí, ya que no se detectaron diferencias entre tratamientos en primavera.
Bajo inundación, los azúcares solubles producidos en la fotosíntesis tienden a acumularse en las hojas y no se translocan a las raíces, donde son necesarios para mantener la vía glucolítica funcionando en condiciones de limitación de oxígeno (Fante et al., 2010). En este estudio, los valores medios más altos de AST r y AR r en las raíces de las plantas de los tratamientos I y I+P en otoño revelan el menor uso de carbohidratos como fuente de energía.
Independientemente de la estación de crecimiento, el contenido total de clorofila en las plantas de los tratamientos I (9.08 μg cm-2) y I+P (9.36 μg cm-2) fue menor que el de las plantas del tratamiento P (10.27 μg cm-2) y control (C) (10.85 μg cm-2) (p< 0.05). El contenido de carotenoides no fue influenciado por la estación de crecimiento ni por los tratamientos, mostrando un valor promedio de 0.09 μg cm-2. Aunque Teoh et al. (2022) no estimaron el contenido de clorofila y no notaron ningún daño visible en las plantas, ellos observaron que las hojas de las plantas de banano inundadas mostraban amarillamiento después de 24 días de inundación.
A pesar de que el pH y el contenido de nutrientes del suelo utilizado se ajustaron para el cultivo de banano, hubo una gran variación en los contenidos foliares de nutrientes de acuerdo con los tratamientos, a los 7 días después del estrés (Cuadro 2). Esto también puede reflejar la reducción en la expansión del área foliar en plantas de los tratamientos I y I+P (Figura 1) o la recuperación de plantas después de la inundación. Para N, P y K, los efectos de los tratamientos fueron independientes de la estación de crecimiento, mientras que los otros nutrientes, excepto el B, que no se vio afectado, tuvieron respuestas dependientes de la estación de crecimiento y de los tratamientos.
Cuadro 2 Interacción de la estación de crecimiento y los tratamientos para los contenidos foliares de N, P, K, Ca y Mg (g kg-1) y de Cu, Fe, Mn y Zn (mg g-1) en plántulas de banano sometidas a inundación (I), inundación y adición de residuo de pseudotallo (I+P), control (C) y residuo de pseudotallo (P), a los 7 días de recuperación del estrés.
| N | P | K | ||||||
|---|---|---|---|---|---|---|---|---|
| I | 16.09 B | 3.02 A | 51 A | |||||
| I+P | 17.67 B | 3.18 A | 41.36 B | |||||
| C | 21.69 A | 2.41 B | 47.62 B | |||||
| P | 20.37 A | 3.07 A | 47.18 B | |||||
| Ca | Mg | Cu | ||||||
| Otoño | Primavera | Otoño | Primavera | Otoño | Primavera | |||
| I | 13.6 A a | 5.43 A b | 6.52 A a | 3.61 B b | 12 A a | 6.8 A b | ||
| I+P | 9.5 A a | 5.29 A b | 5.93 A a | 4.7 A b | 11.5 A a | 5.25 A b | ||
| C | 7.67 B a | 6.14 A a | 4.35 B a | 4.57 A a | 7.29 B a | 6.5 A a | ||
| P | 8 B a | 5.67 A a | 4.12 B a | 4.9 A a | 8.86 B a | 6.6 A a | ||
| Fe | Mn | Zn | ||||||
| Otoño | Primavera | Otoño | Primavera | Otoño | Primavera | |||
| I | 344.4 A a | 100.57 A b | 422.8 A a | 525.32 B a | 36.6 A a | 27.29 B a | ||
| I+P | 461.75 A a | 127.43 A b | 542.5 A b | 924.86 A a | 30.25 A b | 72.86 A a | ||
| C | 114.86 B a | 106.33 A a | 484.5 A a | 537.42 B a | 48 A b | 86.43 A a | ||
| P | 110.2 B a | 107.17 A a | 624 A b | 990 A a | 47.6 A b | 83 A a | ||
Las medias seguidas de la misma letra mayúscula en las columnas y minúscula en las filas no difieren estadísticamente entre sí (p< 0.05).
Los contenidos foliares de N, así como de Mg y Zn en primavera, se vieron afectados negativamente en la inundación (I), en comparación con las plantas control (C) (Cuadro 2). Sin embargo, las plantas del tratamiento I+P tuvieron contenidos de Mg y Zn que no difirieron del C, lo que indica que hubo una recuperación de los contenidos de estos nutrientes con la adición de residuos, lo que no ocurrió para el N. El residuo utilizado contenía 5, 0.5, 82, 8, 2.3 y 0.2 g kg-1 MS para N, P, K, Ca, Mg y S, y 11, 3, 230, 168 y 8 mg kg-1 MS para B, Cu, Fe, Mn y Zn, respectivamente, y 45/1 de relación C/N.
La reserva de N de la planta se redujo con la inundación y el uso de residuos no fue suficiente para reducir el déficit de N en el período de recuperación (Cuadro 2). Debido a la menor disponibilidad de energía en forma de ATP de la respiración aeróbica, la absorción de nutrientes por parte de las plantas disminuye drásticamente, lo que lleva a la inanición de las plantas (Sasidharan et al., 2018). A pesar de los bajos contenidos de N, el contenido de proteína total en hojas y raíces a los 7 días después del estrés no varió entre estaciones de crecimiento y entre tratamientos (p< 0,01), mostrando valores medios, respectivamente, de 20.24 y 5.39 mg-1 g MS.
El contenido de P foliar se vio afectado solo por los tratamientos, siendo menor en el control (C) y mayor en las plantas de los tratamientos I, I+P y P, independientemente de la estación de crecimiento (Cuadro 2). Los mayores niveles de P en las hojas sometidas a estrés (I y I+P) pueden ser el resultado de la menor expansión del área foliar y en el tratamiento I, de la mayor disponibilidad, absorción y translocación debida a los lixiviados. La mayor concentración de K en el tratamiento I también podría ser el resultado del menor crecimiento del tejido foliar, para este nutriente se observó que el contenido en el tratamiento I+P no difirió del control.
Los contenidos foliares de Ca, Mg, Cu Fe, Mn y Zn fueron influenciados por la interacción entre la estación de crecimiento y los tratamientos (Cuadro 2). Ca, Fe y Cu mostraron una respuesta similar, mayores contenidos en los tratamientos I y I+P en comparación con C y P en otoño, reflejando el menor crecimiento del tejido foliar, mientras que en primavera no hubo diferencias en los tratamientos. El Mg tuvo una respuesta idéntica al Ca y al Fe en otoño, mientras que, en primavera, los valores medios más bajos ocurrieron en el tratamiento I, en comparación con los otros tratamientos que no difirieron entre sí. El mayor contenido de Fe en las hojas de las plantas sometidas a inundación (I y I+P) en otoño también puede ser el resultado de la mayor disponibilidad y absorción de Fe en la forma reducida (Fe+2) en un ambiente con privación de O2 (Schmidt et al., 2013).
El Mn no varió entre tratamientos en otoño, pero fue mayor en los tratamientos que recibieron residuo en primavera (I+P y P), lo que indica que su uso contribuye a su incremento (Cuadro 2). El Zn tampoco cambió en las plantas sometidas a los diferentes tratamientos en otoño, y fue menor en las plantas del tratamiento I en primavera con relación a las demás. El contenido de S foliar no se vio afectado por la estación de crecimiento ni por el tratamiento y tampoco por la interacción entre estos dos factores.
En general, el impacto más marcado del estrés ocurrió en las plantas sometidas a inundación (I) que presentaron menores niveles foliares de N, así como de Mg, Mn y Zn en primavera, los cuales se recuperaron con la adición de residuo de pseudotallo (I+P), a excepción del N (Cuadro 2). Los contenidos de nutrientes en las hojas estuvieron por encima de lo recomendado para las plantas de banano en la fase de producción, por lo que se puede considerar que las plantas tuvieron un buen estado nutricional.
No hubo efecto de la estación de crecimiento ni de los tratamientos sobre los contenidos de P y K de la raíz (Cuadro 3). El contenido de N y Zn fue influenciado por los tratamientos independientemente de la estación de crecimiento, a diferencia de los contenidos de K, Ca, Mg, Fe, Mn y B, que variaron según la estación de crecimiento y los tratamientos. El N en las raíces del tratamiento I (10.12 g kg-1) fue menor que el control (14.52 g kg-1) e incluso con la adición del residuo (I+P) no hubo recuperación completa (11.98 g kg-1). La misma respuesta se encontró para Zn, con valores promedio de 88.07, 96.23, 107.54 y 103.16 mg g-1, respectivamente para I, I+P, C y P.
Cuadro 3 Interacción de la estación de crecimiento y los tratamientos para los contenidos radicales de K, Ca y Mg (g kg-1) y Fe, Mn y B (mg g-1) en plántulas de banano sometidas a inundación (I), inundación y adición de residuo de pseudotallo (I+P), control (C) y residuo de pseudotallo (P), a los 7 días de recuperación del estrés.
| K | Ca | Mg | ||||||
|---|---|---|---|---|---|---|---|---|
| Otoño | Primavera | Otoño | Primavera | Otoño | Primavera | |||
| I | 37 AB b | 56.43 A a | 8.2 A a | 3.86 A b | 6.36 AB a | 3.47 C b | ||
| I+P | 34.25 C b | 50.14 AB a | 3.75 B a | 4.57 A a | 5.02 B a | 4.51 BC a | ||
| C | 42.33 A a | 41.86 C a | 5 B a | 3.43 A b | 5.39 B b | 5.35 AB b | ||
| P | 41 A a | 44.17 B a | 5.6 B a | 4.17 A a | 7.36 A a | 5.87 A b | ||
| Fe | Mn | B | ||||||
| Otoño | Primavera | Otoño | Primavera | Otoño | Primavera | |||
| I | 1 596 A a | 637.29 B b | 172.4 A a | 47.14 C b | 24 A a | 20.71 B a | ||
| I+P | 1 247.75 B a | 937.86 AB a | 165 A a | 86 B b | 23 A b | 28.57 A a | ||
| C | 747.5 B a | 771.86 AB a | 95.35 B a | 88.57 B a | 17 B b | 22.14 B a | ||
| P | 1 560 A a | 1 090.33 A b | 133.2 A a | 124.29 A a | 27.2 A a | 27.67 A a | ||
Las medias seguidas de la misma letra mayúscula en las columnas y minúscula en las filas no difieren estadísticamente entre sí (p< 0.05).
Los contenidos de Ca, Mg, Fe y Mn en las raíces tendieron a ser mayores en otoño, probablemente debido a un menor uso ya que las condiciones climáticas fueron menos favorables (Cuadro 3). Para Ca, en otoño, el mayor contenido ocurrió en I, que fue mayor que los otros tratamientos, mientras que, en primavera, no hubo diferencias entre tratamientos. El contenido de Mg en raíces en otoño del tratamiento I no difirió de C y I+P, mientras que, en primavera, el contenido de I fue menor que en C, recuperándose en I+P. El contenido de Fe en otoño en las raíces del tratamiento I fue superior al control, y en primavera, I y C no difirieron entre sí.
El contenido de Mn en las raíces del tratamiento I fue mayor que el de C en otoño y primavera (Cuadro 3). Al igual que Fe+2 y Mn+2, se vuelve más disponible con hipoxia en el suelo debido a la inundación, lo que justifica los niveles más altos en la raíz bajo estrés (Schmidt et al., 2013). El B también exhibió un mayor contenido en raíz en plantas bajo estrés en otoño en comparación con C, mientras que, en primavera, F y C no diferirían. Los niveles de S y Cu en las raíces no fueron influenciados por ninguno de los factores.
Curiosamente, los nutrientes afectados por la inundación (N, Mg y Zn) fueron los mismos en hojas y raíces, lo que sugiere una relación. Para N, la recuperación del contenido con la adición del residuo de pseudotallo fue incompleta en las hojas y raíces, para Mg y Zn fue completa en raíces y hojas.
Efecto de la inundación y del residuo de pseudotallo sobre la actividad de las enzimas antioxidantes
En general, la actividad enzimática no se vio influenciada por la interacción de la inundación y el residuo. Al final del estrés, se detectó reducción de la actividad de la peroxidasa (POD) en la hoja y del superóxido dismutasa (SOD) y ascorbato peroxidasa (APX) en la raíz y la hoja, en las dos estaciones de crecimiento en plantas sometidas a inundación (I) en comparación con C (Figura 2). No obstante, no hubo efectos de la estación de crecimiento y los tratamientos sobre la actividad catalasa (CAT) en raíz y hoja, con actividades promedio de 0.68 y 1.38 μmoles H2O2 mg-1 proteína, respectivamente.

Figura 2 Actividad de enzimas antioxidantes en plántulas de banano sometidas a inundación (W), inundación y adición de residuo de pseudotallo (W+P), control (C) y residuo de pseudotallo (P), al final del estrés (tres días), con 7 y 14 días de recuperación. Letras mayúsculas diferentes indican una diferencia significativa entre los tratamientos en primavera y letras minúsculas indican una diferencia significativa entre los tratamientos en otoño (p< 0.05).
SOD, POD y CAT son las principales enzimas desintoxicantes, que junto con APX y la glutatión reductasa (GR) promueven la eliminación de especies reactivas del oxígeno (ERO) (Feng et al., 2015). En otoño, 7 días después del inicio de la recuperación (R7D), la actividad de las mismas enzimas en I ya había aumentado, alcanzando un nivel cercano a C, sin diferir de él. Sin embargo, en la primavera, en R7D, se observaron dos respuestas de actividad distintas en las plantas del tratamiento I (Figura 2).
En primer lugar, POD en la hoja y APX en la raíz con actividad superior al control, lo que indica un aumento en la eliminación de ERO, pero que a los 14 días después del inicio de la recuperación (R14D) exhibieron actividad normal. En segundo lugar, a R7D en I, la actividad de SOD en la raíz y la hoja y APX en la hoja no difirieron del control, es decir, un aumento de la actividad después del final a un nivel cercano al control y que se mantuvo en R14D.
Se puede observar que para POD, SOD y APX en raíz en primavera, cuando las actividades enzimáticas y el efecto del estrés fueron más intensos, la presencia de residuos de pseudotallo después de la inundación (I+P) tendió a evitar el aumento de la actividad en comparación con la inundación (I) (Figura 2). Al mismo tiempo, en primavera, en R7D o R14D, la actividad de las mismas enzimas en las hojas tendió a ser menor en presencia del residuo de pseudotallo y ausencia de estrés (P).
La reducción de la actividad de las enzimas con la inundación, independientemente de la estación, refleja el hecho de que la respiración aeróbica sufre una rápida reducción con la privación de oxígeno en las raíces, así como en la producción de energía, como lo indican otros estudios con plantas de banano (Aguilar et al., 2003). Así, inicialmente debido a la menor intensidad del transporte de electrones, la formación de ERO en las raíces disminuyó en este período.
La conductancia estomática, la tasa de fotosíntesis y de transpiración disminuyeron durante los períodos de inundación en muchas especies, incluida la reducción de pigmentos fotosintéticos, que es un tipo de mecanismo de protección para mantener las estructuras fotosintéticas de las plantas inundadas para reducir la absorción de la luz solar y prevenir la fotooxidación (Du et al., 2012). En tomates cherry, después de la inundación (dos días), la tasa de formación de O2 - disminuyó primero y luego aumentó gradualmente (Liu et al., 2023).
Después de tres días de inundación, solo se afectó la actividad de APX en las raíces, mientras que, en las hojas, se modificó la actividad de todas las enzimas, dependiendo del momento de cultivo (Figura 2). La APX está implicada en la formación de ascorbato, que actúa como antioxidante, y en la eliminación del H2O2 generado por la SOD y la POD (Feng et al., 2015).
En la raíz, la reducción de APX y el mantenimiento de la actividad de otras enzimas bajo estrés refleja el hecho de que la respiración aeróbica sufre una rápida reducción con la privación de O2 en las raíces, así como en la producción de energía, como lo indican otros estudios con plantas de banano (Aguilar et al., 2003). Por lo tanto, debido a la menor intensidad del transporte de electrones, la formación de ERO en las raíces disminuyó en este período.










text in 


