Services on Demand
Journal
Article
Indicators
-
Cited by SciELO -
Access statistics
Related links
-
Similars in
SciELO
Share
Revista mexicana de ciencias agrícolas
Print version ISSN 2007-0934
Rev. Mex. Cienc. Agríc vol.6 n.5 Texcoco Jun./Aug. 2015
Artículos
Aislamiento, caracterización molecular y evaluación de cepas fijadoras de nitrógeno en la promoción del crecimiento de frijol*
Isolation, molecular characterization and evaluation of nitrogen-fixing strains in promoting the growth of beans
Juan Gabriel Angeles-Núñez1§ y Teresa Cruz-Acosta1
1 Laboratorio de Biotecnología y Fisiología Molecular de Plantas y Microorganismos-Campo Experimental Bajío, INIFAP. Carretera Celaya-San Miguel de Allende, km 6.5. 38010 Celaya, Guanajuato. México. Tel: 01 46161-15-323 Ext. 141. (terecruz_89@hotmail.com). §Autor para correspondencia: angeles.gabriel@inifap.gob.mx.
* Recibido: agosto de 2014
Aceptado: enero de 2015
Resumen
Las leguminosas como el frijol y soya, juegan un papel fundamental en la rotación de los cultivos, gracias al proceso de fijación biológica de nitrógeno atmosférico que se lleva a cabo a través de la interacción simbiótica planta-microorganismo. La búsqueda y obtención de cepas de microorganismos capaces de fijar eficientemente el nitrógeno del suelo y promover el crecimiento de leguminosas de interés agronómico resulta indispensable para afrontar los retos de la agricultura moderna que implica el incremento de productos agrícolas, reduciendo el consumo de energía fósil y la emisión de gases de efecto invernadero generados por la utilización desmedida de fertilizantes nitrogenados. El objetivo de este estudio, fue aislar cepas fijadoras de nitrógeno y promotoras del crecimiento, provenientes de nódulos de Glycine max L. (soya) y Pachyrhizus erosus (jícama) y evaluar sus efectos promotores en el cultivo de Phaseolus vulgaris (frijol). En este trabajo se utilizaron técnicas de biología molecular, fisiología y bioquímica para caracterizar cepas promotoras de crecimiento aisladas de soya y jícama. La identificación molecular indica que las cepas aisladas de soya correspondieron a Ramlibacter sp., (INI26-13), Sinorhizobium sp., (INI43-13), Sinorhizobium fredii (INI51-13), mientras que la cepa aislada de jícama correspondió a Bradyrhizobium japonicum (INI13-13). La capacidad promotora de estos aislados se estudió bajo condiciones de invernadero en plántulas inoculadas de Phaseolus vulgaris (frijol) con una suspensión bacteriana con 108 UFC/ml. Las plántulas fueron cosechadas 18 días después de la inoculación y separadas en vástagos y raíces para su estudio. Los vástagos no presentaron cambios en el peso seco, sin embargo en la raíz se incrementó en el tratamiento con la cepa de Ramlibacter sp. (INI26-13). La presencia de nódulos fue observada en las raíces de todos los tratamientos; sin embargo, fue el tratamiento con la cepa de Ramlibacter sp. (INI26-13) que presentó mayor número de nódulos. El perfil del contenido de carbohidratos en raíces fue modificado diferencialmente en todos los tratamientos y sólo los vástagos del tratamiento con la cepa de Ramlibacter sp. (INI26-13) presentaron incrementos en el contenido de glucosa, fructosa y almidón. Los resultados obtenidos en este trabajo son discutidos en función del papel que tienen los organismos promotores de crecimiento en la agricultura moderna.
Palabras clave: Phaseolus vulgaris, Ramlibacter sp., bacterias promotoras de crecimiento, carbohidratos.
Abstract
Legumes like beans and soybeans play an important role in crop rotation, thanks to the process of biological nitrogen fixation which is carried out through the symbiotic plant-microorganism interactions. Finding and obtaining strains of microorganisms capable of fixing nitrogen efficiently from the soil and promote the growth of legumes of agronomic interest is essential to meet the challenges of modern agriculture that involves increasing agricultural products, reducing the consumption of fossil energy and the emission of greenhouse gases generated by the excessive use of nitrogen fertilizers. The objective of this study was to isolate nitrogen fixing strains and growth promoters, from nodules of Glycine max L. (soybean) and Pachyrhizus erosus (jicama) and evaluate their promoting effect Phaseolus vulgaris (bean). In this work, molecular biology, physiology and biochemistry techniques were used to characterize strains isolated from soy andjicama for growth promotion. The molecular identification indicates that strain isolates from soy corresponded to Ramlibacter sp., (INI26-13), Sinorhizobium sp., (INI43-13), Sinorhizobium fredii (INI51-13), while the strain isolates from jicama corresponded to Bradyrhizobium japonicum (INI13-13). The promoter capability of these isolates were studied under greenhouse conditions in seedlings of Phaseolus vulgaris (bean), inoculated with a bacterial suspension with 108 CFU / ml. The seedlings were harvested 18 days after inoculation and separated into stems and roots for study. Stems did not present changes in dry weight, however in root increased in the treatment with Ramlibacter sp., (INI26-13). It was observed the presence of nodules in the roots of all treatments; however, was the treatment with Ramlibacter sp. (INI26-13) presented the highest number of nodes. The carbohydrate profile content in roots was modified by differentially in all treatments and only stems from treatment with strain Ramlibacter sp. (INI26-13) showed increases in the content of glucose, fructose and starch. The results obtained in this work are discussed in terms of the role that organisms of growth promoters in modern agriculture.
Keywords: Phaseolus vulgaris, Ramlibacter sp., carbohydrates, growth promoting bacteria.
Introducción
Las leguminosas como el frijol, soya, alfalfa, lenteja, garbanzo y jícama juegan un papel fundamental en la rotación de los cultivos gracias al proceso de fijación biológica de nitrógeno atmosférico. Estos cultivos poseen un papel fundamental en la agricultura moderna, ya que pueden contribuir de manera significativa a la disminución del consumo de energía fósil y la emisión de gases de efecto invernadero ocasionados por el uso de fertilizantes nitrogenados que originan gran parte de las emisiones de CO2 y N2O (Rispaila et al, 2010).
En la agricultura existe un beneficio de los cultivos de frijol y soya en el mejoramiento de fertilidad de suelo, lo que convierte a estos cultivos en componentes esenciales de la agricultura sostenible (Lightfoot, 2008). La interacción de estas leguminosas con bacterias capaces de aprovechar una gran proporción del nitrógeno atmosférico (familia rhizobiaceae) resulta de gran importancia para el desarrollo de los cultivos (FAO, 1984).
La rizósfera de las plantas es una zona de intensa actividad microbiana y algunas bacterias habitantes de esta zona, (denominas rizobacterias), exhiben diferentes funciones (Walker et al, 2003). Las rizobacterias que ejercen efectos benéficos sobre el desarrollo de la planta se conoce por sus siglas en inglés como Plant Growth-Promoting Rhizobacteria (PGPR), y pueden afectar el crecimiento de la planta de manera directa (incrementando el suministro de nutrientes a la planta), o indirecta (mediante la disminución o prevención de los efectos deletéreos de uno o más organismos patogénicos) (Dardanelli et al, 2011; Atieno et al, 2012). Las bacterias benéficas que son capaces de estableceruna relación simbiótica mediante la fijación de nitrógeno con plantas leguminosas (llamadas en conjunto rizobios) también son capaces de promover el crecimiento en cultivos que no pertenecen a la familia leguminosae (Dardanelli et al, 2011). La asociación leguminosa-rizobio contribuye de manera significativa a la economía del nitrógeno en el suelo. Se estima que mediante la simbiosis, la fijación de nitrógeno por hectárea varía de 24 hasta más de 584 kg, siendo capaz de abastecer en algunos casos hasta 90% de las necesidades de las plantas (Meza, 2010).
Las bacterias comúnmente conocidas como rizobios habitan en los nódulos fijadores de nitrógeno de las raíces de las leguminosas. El carbón fijado fotosintéticamente en el cloroplasto de la hoja es transportado a las raíces y es en este tejido donde la bacteria lo usa como una fuente de energía y de electrones para la reducción de di-nitrógeno atmosférico a amonio, que sirve como fuente de nitrógeno para las plantas. La interacción que se lleva a cabo entre los microorganismos fijadores de nitrógeno y sus hospederos puede resultar muy específica.
La especificidad del hospedero y la interacción planta-bacteria que origina el desarrollo de nódulos, es mediado por la señalización especifica de moléculas secretadas por la planta (flavonoides) y la bacteria (factores nod) (Freixas etal., 2010). Una vez que este fenómeno ocurre, la bacteria invade la raíz y eventualmente, forma células diferenciadas conocidas como bacteroides, sub-rodeadas por membranas peribacteroides.
Los géneros Sinorhizobium, Rizobium, Bradyrhizobium, Mesorhizobium, Sinorhizobium y Azorhizobium de la familia rhizobiaceason simbióticos fij adores de nitrógeno que pueden encontrarse en las raíces de las plantas, principalmente las leguminosas. Estos microrganismos son los responsables de la porción más grande del nitrógeno fijado en el mundo (los microorganismos aporta 65% del nitrógeno disponible en la biósfera) (Ludwing et al, 2004). El estudio de los miembros de la familia rhizobiacea, así como el de otras familias que contribuyen de manera significativa a la productividad de los cultivos agrícolas ha resultado ser un factor clave para la obtención de herramientas biotecnológicas que ayuden a enfrentar los retos de la agricultura moderna.
Los beneficios que aportan los microorganismos promotores de crecimiento de la familia rhizobiaceae los convierten en un excelente modelo de estudio, por lo cual en los últimos años se han ampliado las investigaciones respecto a la interacción planta-microorganismo con la finalidad de entender a detalle los procesos que se llevan a cabo durante y después de la simbiosis. De igual manera, el aislamiento de nuevos microorganismos promotores del crecimiento ha llamado la atención ya que se ha observado que algunos aislados que no pertenecen a la familia rhizobiaceae inducen la formación de nódulos y favorecen el desarrollo de las raíces, permitiendo con ello el fortalecimiento de la planta y en consecuencia un aumento en los rendimientos de los cultivos. El objetivo de este trabajo fue aislar nuevas cepas promotoras del crecimiento, provenientes de nódulos de soya y jícama, y evaluar sus efectos de promoción de crecimiento en frijol.
Materiales y métodos
Como material biológico se utilizaron nódulos de raíces de Glycine max L. (soya) y Pachyrhizus erosus (jícama) para el aislamiento de cepas promotoras del crecimiento y semillas de Phaseolus vulgaris (frijol), variedad Flor de Mayo, para el análisis de promoción de crecimiento.
Preparación de nódulos
Se aislaron nódulos de raíces de soya y jícama para esterilizarlos por inmersión en una solución de cloro al 10% (v/v) durante 5 min y en una solución de etanol al 70% (v/v) por un periodo de 10 min. Posteriormente se realizaron tres lavados con agua estéril, con una duración de 1 min cada uno. Posteriormente los nódulos fueron utilizados para el aislamiento de microorganismos promotores de crecimiento.
Aislamiento de cepas promotoras de crecimiento
Los microorganismos promotores del crecimiento empleados en este estudio fueron aislados de nódulos de raíces de soya y jícama provenientes de la región norte y centro de México, respectivamente. Los nódulos previamente esterilizados fueron macerados con 5 ml de agua destilada estéril en un mortero previamente esterilizado. Posteriormente, se tomó 1 ml del macerado y se diluyó con agua destilada estéril hasta obtener diluciones de 101 a 107. De cada dilución se estriaron 500 μl sobre cajas Petri conteniendo medio de cultivo ELMARC (K2HPO4, MgSO4, NaCl, manitol, extracto de levadura). A continuación, las colonias que lograron crecer en el medio ELMARC fueron estriadas en medios de selección (ELMARC y yema) para la selección de colonias candidatas.
Caracterización de los microorganismos candidatos
Las cepas candidatas fueron crecidas en medio LB durante toda la noche para extraer el ADN genómico utilizando el kit Wizard® Genomic DNA Purification Kit. Posteriormente, la región 16S de las distintas bacterias se amplificó por medio de la reacción en cadena de la polimerasa (PCR) utilizando el ADN extraído. La región 16S fue clonada y transformada utilizando el kit de Invitogen TOPO TAcloning 2.1. A las colonias transformantes se les extrajo el ADN plasmidico utilizando el kit QIA prep® Spin Miniprep kit (250) de QUIAGEN, el cual fue utilizado para un análisis de restricción confirmatorio. Las cepas con inserto se enviaron a secuenciar y su secuencia fue analizada en la base de datos http://blast.ncbi.nlm.nih.gov.
Preparación de la semilla
Se esterilizaron semillas de Phaseolus vulgaris (frijol) variedad Flor de Mayo por inmersión en una mezcla de cloro al 10% (v/v) durante 14 min. Después las semillas fueron sumergidas en etanol al 70% (v/v) por un periodo de 5 min y finalmente se realizaron 5 lavados con agua estéril (1 min cada uno). Una vez esterilizadas, las semillas se germinaron bajo condiciones asépticas sobre una capa húmeda de algodón contenida en el interior de una charola de aluminio estéril. Se le dio el seguimiento al crecimiento radicular de las semillas durante 60 h hasta que la radícula alcanzó una longitud de 1-1.5 cm, tiempo en el que fueron transferidas a macetas para la evaluación de la capacidad promotora de crecimiento de los aislados bacterianos.
Preparación de suelo y macetas
El suelo se preparó a partir de una mezcla de suelo arcilloso y arena (1:2), el cual fue esterilizado en autoclave por 30 min. Posteriormente fue utilizado para llenar macetas con una capacidad de 1.2 kg las cuales se mantuvieron en riego a capacidad de campo, determinada especialmente para la mezcla de suelo-arena utilizada en este estudio conforme al método descrito en Daubenmire (1974).
Preparación del inóculo bacteriano
Para el crecimiento de las bacterias diazotróficas se utilizó el medio de cultivo ELMARC, el cual se esterilizó en autoclave durante 15 min a 121 °C (15psi). Una colonia obtenida de un cultivo axénico de las cepas aisladas en este trabajo se inoculó en 15 ml de medio ELMARC. Posteriormente se incubó a 28 °C y 200 rpm hasta alcanzar una densidad óptica (DO) entre 0.500-0.600 a una longitud de onda de 600 nm.
Tratamientos para la evaluación de la promoción de crecimiento
Para este análisis se utilizaron dos controles y cuatro tratamientos. El control negativo (C-), consistió en sembrar semillas germinadas sobre suelo estéril sin llevar a cabo ningún tipo de inoculación mientras que el control con medio (C/M) consistió en adicionar 1 ml de medio de cultivo ELMARC a la radícula de semillas pre-germinadas. Los tratamientos de inoculación consistieron en adicionar 1 ml de una suspensión bacteriana (108 UFC/ml) de Ramlibacter sp., (tratamiento 1) Sinorhizobium sp. (tratamiento 2) Sinorhizobium fredii (tratamiento 3) y Bradyrhizobium japonicum (tratamiento 4) a la radícula de semillas pre-germinadas de frijol. En todos los tratamientos se empleo riego a capacidad de campo con H2O estéril.
Evaluación de la promoción de crecimiento en frijol
Las cepas candidatas fueron crecidas en medio ELMARC hasta alcanzar una DO de 0.500-0.600 a una longitud de onda de 600 nm; posteriormente 1 ml de esa suspensión bacteriana fue utilizada para inocular las raíces de semillas de frijol que fueron previamente germinadas sobre una capa de algodón bajo condiciones asépticas. Una vez inoculadas las plántulas se dejaron crecer por un periodo de dieciocho días en invernadero. Transcurrido este tiempo las plántulas fueron cosechadas para la determinación del número de nódulos, peso seco y análisis de carbohidratos.
Número de nódulos
Las plántulas de frijol fueron extraídas de la maceta 18 días después de la germinación y sus raíces lavadas para realizar un conteo de la cantidad de nódulos por planta.
Determinación del peso seco
Las plántulas de frijol cosechadas después de su establecimiento en macetas (18 días), fueron separadas en vástagos y raíces y colocadas en bolsas de papel estraza, previamente rotuladas, para ser secadas de acuerdo al protocolo propuesto por Stephan-Sarkissian (1990), el cual consiste en secar en horno a 60 °C por un periodo de 48 h. En este trabajo, el secado se realizó en un horno 1 321F SHEL LAB Forced Air Ovens, 1.7 Cu/Ft/120V. Al término de este tiempo, los vástagos y raíces fueron retirados del horno y pesados en una balanza analítica modelo PW 124 ae Adam equipment.
Determinación de carbohidratos
Para la determinación de carbohidratos (glucosa, fructosa, sacarosa, alimón) se utilizaron 5-10 mg de peso seco de muestra utilizando un ensayo enzimático acoplado reportado por Angeles-Núnez y Tiessen (2010).
Análisis estadístico
El análisis de los resultados se realizó con base en un diseño experimental completamente al azar. El análisis estadístico se realizó a partir de una comparación de medias utilizando el paquete de diseños experimentales FAUANL versión 2.5, Facultad de Agronomía UANL, Martín N. L. (Olivares, 1994).
Resultados y discusión
El estudio de la interacción planta-microorganismo, ha permitido identificar algunos procesos biológicos que resultan importantes en la generación de soluciones a las múltiples necesidades de la agricultura moderna. Esta misma, demanda un alto rendimiento vegetal a un costo relativamente bajo, sin deteriorar la fertilidad del suelo y haciendo frente al gran problema del consumo de agua, fertilizantes y pesticidas. En este trabajo nos hemos focalizado en buscar nuevas cepas fijadoras de nitrógeno y promotoras de crecimiento que ayuden a mejorar los rendimientos del cultivo de frijol disminuyendo el uso de productos químicos que generan problemas muy serios de fertilidad del suelo.
Microorganismos promotores del crecimiento aislados de raíces de soya y jícama
En este trabajo se lograron aislar tres cepas diazotróficas putativas de nódulos de soya (INI26-13, INI43-13, INI51-13) y una cepa de nódulos de jícama (INI13-13). El análisis molecular, permitió identificar cepas como Ramlibacter sp. (INI26-13), Sinorhizobium sp. (INI43-13), Sinorhizobium fredii (INI51-13) y Bradyrhizobium japonicum (INI13-13) (datos no mostrados). En la actualidad, es ampliamente conocido que las bacterias del suelo pertenecientes a la familia rhizobiaceae tales como Sinorhizobium sp., Sinorhizobium fredii, Bradyrhizobium japonicum entre otras, interactúan con las raíces de las leguminosas para formar nódulos en los que el nitrógeno atmosférico puede ser fijado (Fraysse et al, 2002; Pueppke y Broughton, 1999). Sin embargo, poco o nada es conocido sobre la simbiosis que se establece entre la bacteria Ramlibacter sp., y las leguminosas. Los pocos reportes que existen sobre esta bacteria indican que se encuentra dentro del grupo de la P-protobacterias (desempeñan un papel en la fijación de nitrógeno en diversos tipos de plantas) (Heulin et al., 2003). Nuestro trabajo es el primero que analiza en frijol y reporta la capacidad promotora de crecimiento de la bacteria Ramlibacter sp.
Efecto de cepas diazotróficas sobre la formación de nódulos en plantas de frijol
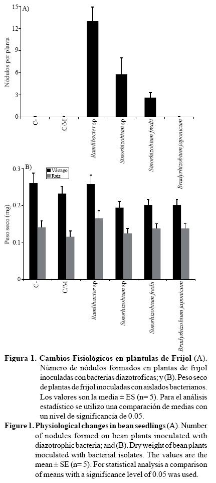
Los resultados obtenidos mostraron que las cepas (Ramlibacter sp., Sinorhizobium sp., Sihorhizobium fredii) provenientes de nódulos de soya (Glycine max L.) fueron capaces de nodular las raíces del frijol (Phaseolus vulgaris), mientras que la cepa proveniente de nódulos de jícama (Bradyrhizobium japonicum) no fue capaz de inducir la formación de nódulos en el cultivo de frijol 18 días después de la inoculación (Figura 1A). Este resultado es coherente con otros reportes de nodulación que indican que Phaseolus vulgaris es nodulado por aislados de crecimiento rápido, tal es el caso de las cepas Ramlibacter sp., Sinorhizobium sp., y Sinorhizobium fredii.

Contrariamente a estas bacterias Bradyrhizobium japonicum es considerada una bacteria de crecimiento lento, y su capacidad de formar nódulos en raíces de Phaseolus vulgaris es muy contradictoria. Mientras que los resultados de los estudios de Ishizawa, (1954) y Graham y Parker (1964) han indicado que varios aislados de B. Japonicum nodulan las raíces de P. vulgaris, Taha et al. (1970) han reportado que las cepas de B. japonicum que ellos examinaron no nodularon los diferentes genotipos de P. vulgaris analizados. De igual manera el equipo de Sadowsky el al. (1988) concluyó que los resultados que ellos obtuvieron utilizando una amplia variedad geográfica y de germoplasma (754genotipos) fue que las cepas de Bradyrhizobium no mostraron una relación simbiótica.
Una posible explicación para todos estos resultados contradictorios es que muchos de los genotipos utilizados en los estudios anteriores han sido reclasificados como pertenecientes a los géneros Vigna y Macroptilium (Allen y Allen, 1981) y se han demostrados que ambos huéspedes forman simbiosis con un gran número de especies y de cepas de rhizobia (Graham y Parker, 1964). Nuestro resultado de inducción de nódulos en plantas de Phaseolus vulgaris con la cepa INI13-13 de Bradyrhizobium jamponicum es coherente con el trabajo de Sadowsky et al. (1988), ya que al igual que ellos nuestra cepa de Bradyrhizobium japonicum no estableció una relación simbiótica (formación de nódulos) con las plantas de frijol inoculadas.
Sin embargo, las cepas de crecimiento rápido (Ramlibacter sp., Sinorhizobium sp., Sinorhizobium fredii) si establecieron esa simbiosis lo cual dio lugar a la formación de nódulos en las raíces de frijol inoculadas. Los resultados obtenidos indican que nuevamente fue la cepa de Ramlibacter sp., la mejor efectora ya que la inoculación de las raíces con este aislado favoreció la formación de nódulos en el área radicular de las plántulas de frijol analizadas. Este resultado, es una clara evidencia que la bacteria Ramlibacter sp., perteneciente a la clase de las β-proteobacterias establece una simbiosis con raíces de Phaseolus vulgaris para inducir la formación de nódulos.
Efecto de aislados bacterianos sobre la promoción de crecimiento en plántulas de frijol
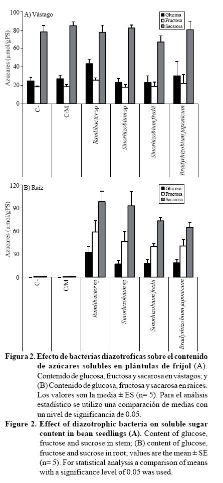
Los resultados del peso seco, indicaron que el tratamiento con el aislado de Ramlibacter sp., es capaz de promover el crecimiento de la raíz de plántulas de frijol pero no el de la parte aérea (vástago) (Figura 1B). Por otro lado, el perfil de azúcares solubles (glucosa y fructosa) si cambió tanto en la raíz como en el vástago (Figura 2). Este resultado, indica que la promoción de crecimiento ejercida por Ramlibacter sp., sobre la raíz de frijol, está correlacionada con la acumulación de azúcares solubles, lo cual es coherente con el incremento de carbohidratos observado en órganos y tejidos en crecimiento (Fait et al., 2006; Angeles-Núnez y Tiessen, 2010).

Los cambios observados en el peso seco de la raíz y del contenido de azúcares solubles en vástagos del tratamiento con Ramlibacter sp., no fueron observados en plántulas tratadas con los otros aislados. Este resultado indica que el efecto de promoción de crecimiento ejercido por Sinorhizobium sp. (INI43-13), Sinorhizobium fredii (INI51-13) y Bradyrhizobium japonicum (INI13-13) en plántulas de frijol, es más lento comparado con el efecto que ejerce la cepa de Ramlibacter sp. Los cambios observados en el perfil de azúcares solubles en las raíces de estos aislados, indican que la relación simbiótica de Ramlibacter sp., genera modificaciones metabólicas que producen cambios en la biomasa de las plantas de frijol (Figuras 1-3)(figura 2). Esta idea es coherente con Flores et al. (1999) que indican que la raíz es un órgano que sintetiza, acumula y secreta una gran variedad de compuestos que favorecen el incremento de biomasa y la interacción planta-microorganismo.

Los cambios fisiológicos y bioquímicos observados en plantas de frijol inoculadas con el aislado de Ramlibacter sp., podría explicarse también a través del número de nódulos formados en las plantas inoculadas con esta bacteria, ya que estas plantas presentaron 2 y 4 veces mas formación de nódulos con respecto a Sinorhizobium sp., y sinorhizobium fredii respectivamente, lo cual favorece la fijación de nitrógeno atmosférico y por ende el incremento en el área radicular y vegetativa (Yadegari et al, 2008; Fiasconaro et al, 2012).
Ramlibacter sp., y Bradyrhizobium japonicum modifican el perfil del contenido de almidón en plantas de frijol
Las cepas aisladas de Ramlibacter sp., y Bradyrhizobium japonicum, fueron capaces de inducir la acumulación de almidón en vástagos de frijol (Figura 3). El incremento en el contenido de almidón en plantas de frijol inoculadas con Ramlibacter sp., es una respuesta a lapromoción de crecimiento, la cual se ve reflejada en el incremento del peso seco de las plantas de frijol (Figuras 1B, 3). Esto idea se explica a través de la síntesis de giberelinas que se producen durante el proceso de interacción planta-microorganismo. Estas giberelinas activan genes que sintetizan ARNm, el cual favorece la síntesis de enzimas hidroliticas, como α-amilasa, que desdobla el almidón en azúcares, aportando una fuente importante de átomos de carbono a los órganos y tejidos vegetales favoreciendo su crecimiento, desarrollo y llenado de grano.
Esto es coherente con el incremento del contenido de carbohidratos que se observan en órganos y tejidos en desarrollo (Angeles-Núnez y Fait et al, 2006; Tiessen, 2010). En otros cultivos como cebada y maíz, el almidón que se acumula en el tallo durante el desarrollo de la planta es utilizado como fuente de carbono para el llenado del grano (Blum, 1998; Mi et al, 2009; Madani et al, 2010). Todos estos cambios que se generan por la removilización de compuestos almacenados en los diferentes órganos y tejidos de la planta a lo largo de su desarrollo se traducen en cambios importantes de biomasa y de rendimiento.
Para el caso de la acumulación de almidón en plantas tratadas con la cepa Ramlibacter sp., es claro que es una respuesta a los estímulos ejercidos por el establecimiento de la simbiosis. Sin embargo, no es el caso para la acumulación de almidón observada en plantas tratadas con la cepa de Bradyrhizobium japonicum, ya que a pesar de ser una bacteria simbiótica asociada a la formación de nódulos y fijación de nitrógeno en leguminosas en muchos trabajos e incluso en este, se ha determinado no ser capaz de formar nódulos en las raíces de Phaseolus vulgaris; sin embargo, si es capaz de modificar el perfil de carbohidratos en plantas de frijol.
Este evento puede ser explicado como un efecto indirecto ejercido por bacteria al haber sido inoculada en la raíz. Ya que existen reportes que la colonización de la raíz es el primer paso importante en la interacción de bacterias benéficas con plantas (Kloepper y Beauchamp, 1992). Para actuar como bacterias promotoras de crecimiento (PGPR), los microorganismos deben ser capaces de colonizar y sobrevivir en la rhizosfera de las plantas. Una vez establecidas en las raíces de las plantas producen compuestos (fitohormonas y sideroforos) que generan efectos antagonistas contra muchos patógenos de plantas favoreciendo el crecimiento. Hay estudios en los que se ha determinado que las PGPR inducen la promoción de crecimiento de un amplio rango de hospederos (cereales, leguminosas y árboles) por modos de acción directos o indirectos (Beauchamp, 1993; Kapulnik, 1996; Lazarovits y Nowak, 1997).
En un estudio donde se determinó el potencial de promoción de crecimiento de la cepa Soy 213 de Bradyrhizobium japonicum usando rábano como planta modelo, se observó que la cepa fue capaz de tener un alto efecto de estimulación sobre el peso seco (60%) a través de un modo de acción indirecto (Antoun et al, 1998). Además se ha reportado que la interacción planta-microorganismo genera cambios metabólicos importantes por la transición del estado fuente-demanda (sink-source) de los tejidos fotosintéticos (Berger et al, 2007) y evidencias mas recientes publicadas por Ezquer et al. (2010) indican que los microorganismos son capaces de emitir compuestos volátiles que cambian el perfil metabólico de las plantas generando modificaciones en su crecimiento y desarrollo.
Se espera que las cepas aisladas y caracterizadas en este trabajo contribuya de manera importante al estudio de las rutas que regulan la interacción planta-microorganismo, así como al desarrollo de los biofertilizantes que demanda la agricultura moderna.
Conclusiones
Se aislaron y caracterizaron molecular y bioquímicamente tres cepas de nódulos de raíces de soya (INI26-13, INI43-13, INI51-13) y una de nódulos de raíces de jícama (INI13-13).
La cepa de Ramlibacter sp., (INI26-13), fue la mejor efectora de la formación de nódulos en raíces de frijol, lo cual se vio reflejado en un incremento del peso seco y en cambios en el perfil de carbohidratos tanto en raíz como en vástago.
Las cepas de Ramlibacter sp., (INI26-13) y Bradyrhizobium japonicum (INI13-13) fueron capaces de inducir la acumulación de almidón en vástagos de frijol.
Los resultados obtenidos con el tratamiento de la cepa Ramlibacter sp., resultan 100% novedosos ya que actualmente no se han reportado efectos de promoción de crecimiento con esta bacteria.
Agradecimientos
El presente trabajo fue desarrollado con recursos otorgados a través de proyectos 2013 del INIFAP mediante el convenio Núm. 15534132023.
Literatura citada
Allen, O. N. and Allen, E. K. 1981. The Leguminosae; a source book of characteristics, uses, and nodulation. University of Wisconsin Press, Madison. 511-515 pp. [ Links ]
Angeles-Núñez, J. G. and Tiessen A. 2010. Arabidopsis sucrose synthase 2 and 3 module metabolic homeostasis and direct carbon towards starch synthesis in developing seeds. Planta. 232:701-718. [ Links ]
Antoun, H. ; Beauchamp, C. J.; Goussard, N.; Chabot, R. and Lalande, R. 1998. Potential of Rhizobium and Bradyrhizobium species as plant growth promoting rhizobacteria on non-legumes: effect on radishes (Raphanus sativa L.). Plant Soil. 204:57-67. [ Links ]
Atieno, M.; Herrmann, L.; Okalebo, R. and Lesueur, D. 2012. Efficiency of different formulations of Bradyrhizobium japonicum and effect of co-inoculation ofBacillus subtilis with two different strrains of Bradyrhizobium japonicum. W. J. Microbiol. Biotech. 7:2541-2550. [ Links ]
Beauchamp, C. J. 1993. Mode d'action des rhizobactéries favorisant la croissance des plantes et potential de leur utilization comme agent de lutte biologique. Phytoprotection. 74:19-27. [ Links ]
Berger, S.; Sinha, A. and Roitsch, G. 2007. Plant physiology meets phytopathology: plant primary metabolism and plant-pathogen interactions. J. Exp. Bot. 58:4019-4026. [ Links ]
Blum,A. 1998. Improving wheat grain filling under stress by stem reserve mobilization. Euphytica.100:77-83. [ Links ]
Dardanelli, M. S.; Carletti, S. M.; Paulucci, N. S.; Medeot, D. B.; Rodríguez, E. A.; Vita, F. A.; Bueno, M.; Fumero, M. V. and García, M. B. 2011. Benefits of plant growth-promoting rhizobacteria and rhizobia in agriculture. Microbiol Monographs. 18:1-20. [ Links ]
Daubenmire, R. F. 1974. Plants and environment. A textbook of autoecology. Wiley, J. and Sons. L. Inc, New York. 422. [ Links ]
Ezquer, I. Li. J.; Ovecka, M.; Baroja- Fernández, E-; Muñoz, F. J.; Montero, M.; Díaz de Cerio, J.; Hidalgo, M.; Sesma, M. T.; Bahaji, A.; Etxeberria, E. and Pozueta- Romero, J. 2010. Microbial volatile emissions promote accumulation of exceptionally high levels of starch in leaves in mono and dicotyledonous plants. Plan Cell Physiol. 51:1674-1693. [ Links ]
Fait, A.; Angelovici, R.; Less, H.; Ohad, I.; Urbancyk-Wochniak, E. and Fernie, A. R. 2006. Arabidopsis seed development and germination is associated with temporally distinct metabolic switches. Plant Physiol. 142:839-854. [ Links ]
Fiasconaro, M. L.; Gogorcena, Y.; Muñoz, F.; Andueza, D.; Sánchez-Díaz, M. and Antolín, M. C. 2012. Effects of nitrogen source and water availability on stem carbohydrates and cellulosic bioethanol traits of alfalfa plants. Plant Sci. 191-192:16-23. [ Links ]
Flores, H. E.; Vivanco, J. M. and Loyola- Vargas, V. M. 1999. Radicle biochemistry: the biology of root-specific metabolism. Trends Plant Sci. 4:220-226. [ Links ]
FAO (Food and Agriculture Organization of the United Nations). 1984. Legume inoculants and their use. Rome, Italy: FAO. 1-32 pp. [ Links ]
Fraysse, N.; Jabbouri, S.; Treilhou, M.; Couderc, F. and Poinsot, V. 2002. Symbiotic conditions induce structural modifications of Sinorhizobium sp. NGR234 surface polysaccharides. Glycobiology. 12:741-748. [ Links ]
Freixas, J. A.; Reynaldo, I. M. and Napoles, M. C. 2010. Influencia de la sequía sobre el metabolismo del nitrógeno fijado durante la simbiosis Bradyrhizobium-soya. Cultivos Tropicales. 31:66-73. [ Links ]
Graham, P. H. and Parker, C. A. 1964. Diagnostic features in the characterization of the root-nodule bacteria of legumes. Plant Soil. 20:383-396. [ Links ]
Heulin, T. ; Barakat, M.; Chisten, R.; Lesourd. M.; Sutra, L.; De Luca, G. and Achouak, W. 2003. Ramlibacter tataouinensis gen. nov., sp. nov., and ramlibacter henchirensis sp. nov., cyst-producing bacteria isolated from subdesert soil in Tunisia. Int. J. Syst. Evol. Microbiol. 53:589-594. [ Links ]
Ishizawa, S. 1954. Studies on the root-nodule bacteria of leguminous plants. II. The relationship between nodule bacteria and leguminous plants, part 1. From the view of nodule roduction. [ Links ]
Kapulnik Y. 1996. Plant growth promoting rhizosphere bacteria. In: plant roots the hidden half, Waisel, Y.; Eshel, A. and Kafkafi, U. (Eds.). Marcel, D., N.Y. 769-781. [ Links ]
Kloepper, J. W. and Beauchamp, C. J. 1992. A review of issues related to measuring colonization of plant roots by bacteria. Can. J. Microbiol. 38:1219-1232. [ Links ]
Lazarovits, G. and Nowak, J. 1997. Rhizobacteria for improvement of plant growth and establishment, HortScience. 32:188-192. [ Links ]
Lightfoot, D. A. 2008. Soybean genomics: developments through the use of cultivar "Forrest". Intern. J. Plant Gen. 793158:1-22.
Ludwing, F.; Dawson, T. E.; Prins, H. H. T.; Berendse, F. and de Kroon, H. 2004. Below-ground competition between trees and grasses may overwhelm the facilitative effects of hydraulic lift. Ecol Lett. 7:623-631. [ Links ]
Madani, A.; Shirani- Rad, A.; Pazoki, A.; Nourmohammadi, G. and Zarghami, R. 2010. Wheat (Triticum aestivum L.) grain filling and dry matter partitioning responses to source: sink modifications under postanthesis water and nitrogen deficiency. Acta Sci. Agron. 32:145-151. [ Links ]
Meza, G. J. C. 2010. Acumulación de nitrógeno en suelos y residuos vegetales de un cultivo con dos variedades de jícama (Pachyrhizuserosus). Tesis de ingeniería. Facultad de agrobiología. 25-32 pp. [ Links ]
Mi, G.; Chen, F. and Zhang, F. 2009. Grain filling rate is limited by insufficient sugar supply in the large-grain wheat cultivar. J. Plant Breed. Crop Sci. 1:60-64. [ Links ]
Olivares- Sáenz, E. 1994. Paquete de diseños experimentales FAUANL versión 2.5, Facultad de Agronomía UANL, Martín N. L. [ Links ]
Pueppke, S. G. and Broughton, W. J. 1999. Rhizobium sp. strain NGR234 and R. fredii USDA257 share exceptionally broad, nested host ranges. Mol. Plant- Microbe Interact. 12:293-318. [ Links ]
Rispaila, N.; Kalo, P.; Kissb, G. B.; Ellisc, N. T. H.; Gallardod, K.; Richard, D.; Thompsond, Pratsa, E.; Larrainzare, E.; Ladrerae, R.; González, E. M.; Arrese- Igore, C.; Fergusong, B.; J.; Gresshoffg, P. M. and Rubiales, D. 2010. Model legumes contribute to faba bean breeding. Field Crop Res. 253-262.
Sadowsky, M. J.; Cregan, P. B. and Keyser, H. H. 1988. Nodulation and nitrogen fixation of Rhizobium fredii with Phaseolus vulgaris genotypes. Appl. Environ. Microbiol. 54:1907-1910. [ Links ]
Stephan- Sarkissian, G. and Grey, D. 1990. Growth determination and medium analysis. Plant Cell and Tissue Culture. Methods in Molecular Biology. 6:13-27. [ Links ]
Taha, S. M.; Mahmoud, S. A. and Salem, S. H. 1970. Differentiation of root-nodule bacteria. In: lizuka, L. and Hasegawa, T. (Eds.). Culture collections of microorganisms. University Park Press, Baltimore. 523-539 p. [ Links ]
Walker, T. S.; Pal- Bais, H.; Grotewold, E. and Vivanco, J. 2003. Root exudation and rhizosphere biology. Plant Physiol. 132:44-51. [ Links ]
Yadegari, M.; Rahmani, H.; Noormohammadi, A. and Ayneband, G. 2008. Evaluation of bean (Phaseolus vulgaris) seeds inoculation with Rhizobium phaseoli and plant growth promoting rhizobacteria on yield and yield components. Pak. J. Biol. Sci. 11:1935-1939. [ Links ]













