1. Introducción
En las últimas décadas, la intervención humana ha acelerado la degradación de los reservorios de México, mediante los procesos de eutrofización cultural y de contaminación por sustancias tóxicas, en su mayoría asociado a actividades agrícolas, mineras e industriales, y al cambio de uso de suelo en sus áreas de captación (Chaparro et al., 2020; Ochoa-Contreras et al., 2021; Lecomte et al., 2022). La eutrofización cultural es uno de los problemas principales que afecta la calidad del agua y el desarrollo de las funciones de estos sistemas lacustres. La eutrofización cultural es entendida como un proceso antropogénico, relacionado con el ingreso de nutrientes a los cuerpos de agua, principalmente fósforo (P) y nitrógeno (N), a una velocidad mayor a la que ocurre naturalmente (Zepernick et al., 2023). Los nutrientes pueden provenir de fuentes puntuales (descargas de aguas residuales domésticas e industriales) y difusas (escorrentías agrícolas y ganaderas) (Bhagowati y Ahamad, 2019; Kapsalis y Kalavrouziotis, 2021). El enriquecimiento de nutrientes acelerado produce una tasa de producción primaria elevada y cambios en la composición de la comunidad de fitoplancton, generando desbalances que amenazan la estabilidad ecológica de los ecosistemas acuáticos (Le Moal et al., 2019). Entre las consecuencias más frecuentes de la eutrofización, se conocen la proliferación de algas potencialmente tóxicas, la disminución de oxígeno disuelto, la mortandad de peces y la pérdida de biodiversidad (Vantarakis, 2021).
Frecuentemente, se emplean los registros sedimentarios obtenidos de los sistemas lacustres naturales y artificiales para investigar los impactos de los procesos naturales y antropogénicos que ocurren sobre estos sistemas, debido a que éstos conservan evidencia de la evolución tanto de la dinámica ambiental lacustre como de su cuenca hidrológica (Hollert et al., 2018; Halac et al., 2020; Paterson et al., 2020; Watson y Medeiros, 2021). El estudio de los núcleos sedimentarios se realiza a partir de indicadores físicos, geoquímicos, y biológicos, los cuales aportan información útil para identificar los procesos ocurridos en los sistemas y evaluar la respuesta ambiental a tales procesos, así como asociarlos a probables agentes de cambio (Smol, 1992; Birks y Birks, 2006). Dentro de los indicadores biológicos se encuentran los pigmentos fósiles (carotenoides y clorofilas) que proveen información sobre las variaciones en la abundancia del fitoplancton y macrófitas (Lami et al., 2000; Coianiz et al., 2015), por lo que estos son empleados para reconstruir los cambios de productividad primaria de los ambientes lacustres (Buchaca y Catalan, 2007; Lami et al., 2010; Halac et al., 2020).
Por otro lado, la información geoquímica de los elementos traza en los sedimentos permite evaluar el nivel de contaminación y el riesgo para la biota acuática ante la exposición a contaminantes tóxicos. Las concentraciones de elementos traza pueden ser comparadas con los Lineamientos de Calidad de Sedimentos (por sus siglas en inglés: Sediment Quality Guidelines, SQG) del Consejo Canadiense de Ministros del Medio Ambiente (Canadian Council of Ministers of the Environment; CCME, 2001), para determinar el riesgo potencial de contaminación y el impacto adverso en las especies acuáticas (Morales-García et al., 2020; Salcedo Sánchez et al., 2022).
En particular, la Laguna de Yuriria (LY) y la presa La Esperanza (PLE) son dos reservorios que se encuentran en cuencas hidrológicas amenazadas por el crecimiento urbano y el desarrollo de distintas actividades antropogénicas (agricultura, ganadería e industria). Los principales usos que se les dan a la PLE y a la LY son el abastecimiento de agua para uso público urbano y el riego agrícola, respectivamente (SMAOT, 1998, 2005). En investigaciones limnológicas previas se ha reportado que la LY presenta un alto grado de eutrofización debido a los aportes de nutrientes y el reciclaje interno de N (Ventura y Retana, 1993; Espinal-Carreón et al. 2013; Zanor et al., 2023). En los últimos años, se ha evidenciado el aumento de la salinización como resultado de las escorrentías urbanas y agrícolas que generan partículas sólidas y que disminuyen la calidad del agua para la vida acuática (Zanor et al., 2023). Metcalfe y O'Hara (1992) realizaron la extracción de un núcleo sedimentario en el cráter La Joya (próximo a la LY; Figura 1) e identificaron episodios con aumentos en los aportes de nutrientes. Por su parte, la PLE se localiza dentro del Distrito Minero de Guanajuato (DMG; Figura 1), en la parte centro occidental del estado de Guanajuato (Ramos-Gómez et al., 2012). El desarrollo minero del DMG ha significado un auge en la economía regional generando por décadas gran cantidad de desechos mineros y un número importante de sitios contaminados en toda la región de influencia (Miranda-Avilés et al., 2009; Córdova de la Cruz y Esparza Claudio, 2016; Chaparro et al., 2020). Actualmente, sólo existen estudios de monitoreos ambientales contemporáneos de la LY (Espinal-Carreón et al., 2013; Zanor et al., 2023), mientras que para la PLE no existe ningún trabajo de investigación publicado.

Figura 1 Ubicación geográfica de la Laguna de Yuriria (LY) y la presa La Esperanza (PLE). Se muestran los sitios de muestreo para cada reservorio, los usos de suelo y principales localidades.
Por lo anterior, este estudio tiene como objetivo el análisis de indicadores ambientales (fisicoquímicos, biológicos y geoquímicos) en registros sedimentarios cortos de los reservorios de la LY y de la PLE, para evaluar los cambios en la dinámica ambiental, la productividad primaria y las principales fuentes de aporte alóctonas que afectan a estos sistemas lacustres durante los últimos años. Este estudio constituye uno de los primeros trabajos de investigación sobre los cambios en la dinámica ambiental en la LY y la PLE desde una perspectiva limnogeológica y aporta información clave para la co-gestión de estos recursos hídricos.
2. Área de estudio
La LY se localiza en el municipio de Yuriria (20° 14' 58.50" LN, 101° 07' 32.77" LW, 1740 m s.n.m; estado de Guanajuato; Figura 1). Fue construida en el año 1549 a través del desvío de las aguas del río Lerma, convirtiéndose en la primera obra hidráulica de América Latina. El reservorio tiene una superficie de 60 km2 y una profundidad máxima de 4 m (Sandoval-Minero, 2004). Sus principales usos son la pesca, el turismo y el riego agrícola, abasteciendo de agua al Distrito de Riego 011 (DR011), el cual representa a la región hidroagrícola más importante del estado de Guanajuato, irrigando aproximadamente 112,270 hectáreas (SMAOT, 2005). La LY recibe distintas aportaciones de agua por fuentes difusas y puntuales, entre las que se destacan los caudales de los afluentes Lerma, Puerta del Monte, Cupareo, El Laurel, La Cinta y Ciénega Prieta, así como las descargas de aguas residuales de las localidades ribereñas y las precipitaciones directas (Zanor et al., 2023). Este reservorio cuenta con un único efluente (Zempoala), situado cerca de la localidad de Loma de Zempoala (Figura 1).
El clima es de tipo semicálido a subhúmedo, con una temperatura media anual de 18.14 °C, una precipitación media anual de 672.24 mm, con lluvias concentradas en la estación de verano y una evaporación total anual de 1,804.20 mm (Estación Meteorológica Santa María Yuriria, período 1940-2019; Fuente de datos: Servicio Meteorológico Nacional). El suelo del área de influencia es utilizado principalmente para las actividades agrícolas (Figura 1).
Por su parte, la PLE se localiza al noroeste del municipio de Guanajuato (21°, 03', 00.36" LN, 101°, 15', 16.01" LW), a una elevación de 2,300 m.s.n.m. Dentro de la topografía del área de estudio, se encuentran áreas de depósitos cuyas elevaciones varían de los 2,400 hasta los 2,215 m.s.n.m. en la salida del reservorio. El agua de la PLE es empleada para el abastecimiento público aportando aproximadamente el 8 % de agua para el consumo anual de la población de la ciudad de Guanajuato (SMAOT, 2022). Este reservorio recibe agua a través de las precipitaciones y la entrada de arroyos intermitentes como Los Mexicanos, Duraznillo, Llano grande y Melchores (Figura 1) y cuenta con un vertedor de tipo cresta libre. El clima de la región es templado subhúmedo donde el período húmedo ocurre en verano, con una temperatura y precipitación media histórica anual de 17.70 °C, 727.70 mm, respectivamente y una evaporación total anual de 1,866.30 mm (Estación Meteorológica Valenciana, período 2001- 2017; Fuente de datos: Servicio Meteorológico Nacional). El uso de suelo en el área de influencia de PLE está dominado por una vegetación arbustiva del bosque de encino, pastizales inducidos y sitios urbanos construidos (Figura 1). Dentro del área de influencia se localiza el DMG, considerado como uno de los más grandes del mundo con una longitud de aproximadamente 20 km y un ancho promedio de 16 km, cubriendo un área total de 320 km2 (Mango et al., 1991; Mendoza-Amézquita et al., 2006; Figura 1). La LY y la PLE poseen una gran importancia ecológica y socioeconómica. Ambos reservorios fueron declarados Áreas Naturales Protegidas (ANP) por la SMAOT. Además, la LY es un Área de Importancia para la Conservación de las Aves por la Comisión Nacional para el Conocimiento y Uso de la Biodiversidad (CONABIO, 1999) y es un Sitio RAMSAR desde el año 2004, por ser considerada como un Humedal de Importancia Internacional (RSIS, 2004).
3. Materiales y métodos
3.1. RECOLECCIÓN DE NÚCLEOS SEDIMENTARIOS
La recolección de los núcleos sedimentarios cortos se realizó en octubre del año 2019 utilizando un nucleador de gravedad para interfase agua/sedimento. Se consideraron cinco sitios de muestreo en la LY (YU1, YU2, YU3, YU4, YU5; Figura 1) y cuatro sitios en la PLE (E1, E2, E3, E4; Figura 1). Los sitios YU1 y YU2 se ubican cercanos al afluente La Cinta, YU3 próximo a la localidad Angostura, YU4 es aledaño al efluente Zempoala y YU5 se encuentra en la parte sureste de la LY (Figura 1). Por su parte, el sitio de muestreo E1 se localiza cerca del afluente Mexicanos, E2 en la parte norte de PLE, cercano al afluente Melchores, E3 en la zona centro-oeste y E4 próximo a la cortina de la PLE (Figura 1). Las longitudes máximas obtenidas de los núcleos sedimentarios fueron de 5 (LY) y 10 cm (PLE). Los núcleos sedimentarios se submuestrearon en intervalos de 1 cm en la vertical, las muestras se colocaron en bolsas estériles y se almacenaron a 4 °C hasta su posterior análisis.
3.2.1. Análisis fisicoquímicos
La determinación de los indicadores ambientales se realizó en cada submuestra obtenida. El contenido de humedad se calculó mediante el método gravimétrico, calentando 1.5 g de sedimento húmedo a 105 °C durante 24 h. Con los resultados de la técnica pérdida por ignición (PPI) se calcularon los contenidos de carbono inorgánico total (COT) y carbono inorgánico total (CIT) (Heiri et al., 2001). En una primera etapa, las muestras se calcinaron a una temperatura de 550 °C durante 3 h (PPI 550 °C) y el valor recabado se multiplicó por 0.5 para obtener el COT. Posteriormente, las muestras fueron sometidas a una temperatura de 950 °C durante 2 h, obteniendo valores que son proporcionales a la cantidad de CIT (multiplicados por 1.36). La concentración de fósforo total (PT) se determinó en los mismos intervalos que los análisis anteriores, empleando sedimentos previamente secados a temperatura ambiente. La determinación se realizó mediante espectrofotometría siguiendo el método del ácido vanadomolibdofosfórico (US-EPA 4500-P; APHA, 2017).
3.2.2. Análisis de pigmentos fósiles
Los pigmentos fósiles (derivados de clorofila: DC y carotenoides totales: CT) se determinaron en sedimento húmedo de acuerdo con el método descrito por Lami et al. (1994), que consiste en una extracción con acetona/agua (90:10) a 4 °C en ausencia de luz durante 12 h. El contenido de pigmentos fósiles se midió por espectrofotometría y las concentraciones de CT se expresaron como unidades espectrofotométricas por gramo de materia orgánica (mg.g PPI-1), mientras que los DC se expresaron en unidades de absorbancia (U) por gramo de materia orgánica (U.g PPI-1).
3.2.3. Geoquímica de elementos traza
El análisis geoquímico fue realizado en las secuencias sedimentarias cada 1 cm en sedimentos secos y molidos en un mortero de ágata. Se empleó energía de dispersión (EDXRF) mediante un Espectrómetro de Fluorescencia de Rayos X (marca Rigaku NEX CG) para obtener las concentraciones totales de As, Pb, Zn, Cu y Cr. Posteriormente, las concentraciones de los elementos traza se compararon con los SQG de CCME (2001) para evaluar los posibles efectos adversos sobre la biota acuática. Este tipo de lineamientos es utilizado para determinar si existe un riesgo posible o probable en términos de toxicidad por metales y metaloides en los organismos que habitan los cuerpos de agua (Barats et al., 2020; Morales-García et al., 2020; Macías et al., 2022). En la Tabla 1 se muestran las concentraciones de efecto umbral (TEL) y de efecto probable (PEL) de cada elemento analizado en este estudio, con tres rangos principales: 1) las concentraciones debajo de TEL sugieren efectos adversos nulos, 2) las concentraciones entre TEL y PEL indican efectos adversos posibles, y 3) las concentraciones por arriba de PEL sugieren efectos adversos probables para la biota acuática. Se calculó el Índice de geoacumulación (Igeo) propuesto por Müller (1969), para determinar la contaminación por metal(oid)es en los sedimentos con respecto a un valor de fondo (Varol, 2011; Salas et al., 2017). El Igeo se clasifica desde una categoría de no contaminado (Igeo < 0) hasta extremadamente contaminado (Igeo > 5). Por otra parte, el Factor de Enriquecimiento (FE) se utiliza para distinguir entre fuentes naturales y antropogénicas de contaminación por metal(oid) es en sedimentos (Bednarova et al., 2013; Zhang et al., 2019). El FE fue normalizado en relación con la abundancia del Fe en la corteza terrestre (Bednarova et al., 2013) y se clasificó desde una categoría menor (FE < 2) hasta severa (FE > 40). Para los cálculos del Igeo y el FE se emplearon los valores de fondo reportados por Rudnick y Gao (2003).
Tabla 1 Lineamientos de Calidad de Sedimentos (SQG) según el CCME (2001). TEL: concentración de efecto umbral; PEL: concentración de efecto probable. Concentraciones en mg/kg.
| SQG (CCME) | ||
|---|---|---|
| TEL | PEL | |
| As | 7.24 | 41.60 |
| Pb | 30.20 | 112.00 |
| Zn | 124.00 | 271.00 |
| Cu | 18.70 | 108.00 |
| Cr | 52.30 | 160.00 |
3.3. ANÁLISIS ESTADÍSTICO
Previo al análisis estadístico, se revisó la normalidad de las variables (contenido de humedad, COT, CIT, PT, DC, CT), empleando la prueba de Shapiro Wilk (p-valor < 0.05). Posteriormente, se realizaron matrices de correlación de Spearman con el objetivo de encontrar asociaciones entre las variables analizadas en cada uno de los reservorios. Finalmente, para analizar las fluctuaciones de los indicadores determinados en los registros sedimentarios, se realizaron Análisis de Componentes Principales (ACP), que es una técnica basada en la reordenación de la matriz de covarianza de las variables que mejor explican las principales causas de la variabilidad. Su objetivo es resumir la variabilidad de los datos para representarlos como un conjunto de nuevas variables ortogonales llamadas componentes principales (Tharwat, 2016; Urdinez y Cruz Labrín, 2020). Todas las pruebas estadísticas fueron realizadas empleando el software Rstudio.
4. Resultados y discusión
4.1.1. Variabilidad vertical de los indicadores ambientales
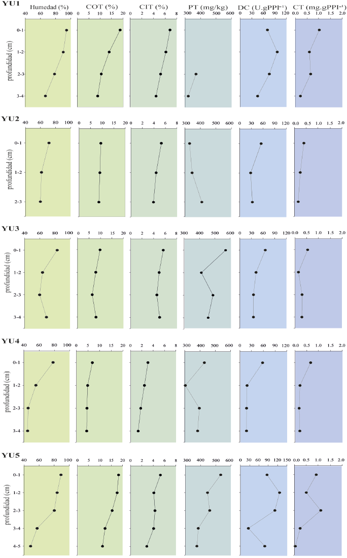
La distribución vertical de los indicadores ambientales determinados en los núcleos sedimentarios de la LY se muestra en la Figura 2. Los contenidos de humedad presentaron una tendencia creciente hacia los niveles superiores en los cinco núcleos sedimentarios. El valor de humedad más alto se registró en el nivel superficial del núcleo YU1 (máximo= 94.38 %; 0-1 cm), mientras que el valor de humedad más bajo se registró en los sedimentos inferiores del sitio YU4 (mínimo= 45.00 %; Figura 2).

Figura 2 Perfiles de los indicadores ambientales determinados en los registros sedimentarios de la Laguna de Yuriria. De izquierda a derecha: contenido de humedad (%), carbono orgánico total (COT, %), carbono inorgánico total (CIT, %), fósforo total (PT, mg/kg), derivados de clorofila (DC, U. g PPI-1) y carotenoides totales (CT, mg. g PPI-1).
El COT mostró un patrón de aumento en los sedimentos más superficiales en todos los núcleos sedimentarios. El contenido de COT más alto se obtuvo en el nivel superior del núcleo YU1 (máximo= 18.75 %; 0-1 cm), mientras que el valor de COT más bajo se registró en la parte inferior del núcleo Y4 (mínimo= 4.50 %; 3-4 cm; Tabla 2), evidenciando un aumento progresivo de COT en los sedimentos superiores de la LY. De acuerdo con Wetzel (1975), los lagos eutrofizados son ricos en materia orgánica (COT > 10 %), la cual se puede incorporar a los sedimentos por adsorción en minerales de arcillas y carbonatos. Anderson et al. (2014) atribuyeron el aumento de las tasas de deposición de carbono orgánico en sedimentos al incremento en la eutrofización provocada por las fuentes agrícolas enriquecidas con nutrientes (N y P) que promueven una productividad primaria mayor. En la cuenca LY se ha evidenciado un crecimiento poblacional paulatino y la expansión de la frontera agrícola durante los últimos 30 años, de acuerdo con los censos poblacionales de INEGI, lo que ha contribuido al aumento gradual de los nutrientes en la laguna, generando un nivel de eutrofización alto (Espinal-Carreón et al., 2013: Zanor et al., 2023). De manera similar a los valores de COT, el CIT exhibió una tendencia vertical creciente hacia los niveles sedimentarios superiores con una fluctuación longitudinal desde 1.36 (YU4 3-4 cm) hasta 6.80 % (YU1 0-1 cm; Figura 2).
Tabla 2 Estadísticos descriptivos del análisis multi-indicador determinados en los núcleos sedimentarios de la Laguna de Yuriria: contenido de humedad, carbono orgánico total (COT), carbono inorgánico total (CIT), fósforo total (PT), derivados de clorofila (DC), carotenoides totales (CT), arsénico (As), plomo (Pb), zinc (Zn), cobre (Cu) y cromo (Cr). DS: desviación estándar. n: número de datos.
| Humedad (%) |
COT (%) |
CIT (%) |
PT (mg/Kg) |
DC (U.gPP-1) |
CT (mg.gPP-1) |
As (mg/Kg) |
Pb (mg/Kg) |
Zn (mg/Kg) |
Cu (mg/Kg) |
||
|---|---|---|---|---|---|---|---|---|---|---|---|
| n | 4 | 4 | 4 | 2 | 4 | 4 | 2 | 2 | 2 | 2 | |
| media ± | 82.38 ± 12.51 | 13.00 ± | 5.63 ± 1.04 | 345.31 ± 35.35 | 71.80 ± 20.85 | 0.63 ± 0.33 | 8.01 +5.36 | 25.65 ± 8.70 | 78.70 ± 2.55 | 24.85 ± 5.59 | |
| YU1 | DS | 4.38 | |||||||||
| max | 94.38 | 18.75 | 6.80 | 370.31 | 95.93 | 1.03 | 11.80 | 31.80 | 80.50 | 28.80 | |
| min | 66.52 | 8.88 | 4.42 | 320.32 | 45.22 | 0.22 | 4.22 | 19.50 | 76.90 | 20.90 | |
| n | 3 | 3 | 3 | 3 | 3 | 3 | 3 | 3 | 3 | 3 | |
| media ± | 64.21 ± 6.23 | 8.99 ± 0.44 | 4.54 ± 0.70 | 362.65 + 41.44 | 38.75 ± 14.46 | 0.27 + 0.12 | 8.58 +3.47 | 20.95 +3.72 | 66.45 +3.16 | 23.23 ±2.43 | |
| YU2 | DS | ||||||||||
| max | 71.35 | 9.43 | 5.30 | 409.57 | 55.24 | 0.40 | 14.20 | 23.10 | 78.80 | 30.30 | |
| min | 59.90 | 8.56 | 3.93 | 331.03 | 28.23 | 0.16 | 7.86 | 16.10 | 72.50 | 25.90 | |
| n | 4 | 4 | 4 | 3 | 4 | 4 | 2 | 2 | 2 | 2 | |
| media ± | 68.71 ± 10.07 | 8.06+ 1.40 | 5.05 ± 0.46 | 456.55 ± 131.37 | 44.39 ± 14.55 | 0.33 + 0.16 | 12.45 +0.49 | 30.05 +3.68 | 76.10 ± 2.83 | 22.65 ± 3.75 | |
| YU3 | DS | ||||||||||
| max | 82.80 | 9.84 | 5.66 | 569.56 | 65.68 | 0.54 | 12.80 | 23.50 | 78.10 | 25.30 | |
| min | 59.81 | 6.40 | 4.56 | 312.42 | 35.00 | 0.15 | 12.10 | 18.30 | 74.10 | 20.00 | |
| n | 4 | 4 | 4 | 4 | 4 | 4 | 4 | 4 | 4 | 4 | |
| media ± | 56.17 ± 15.51 | 5.24+ 1.13 | 2.18 + 0.76 | 378.39 ± 52.84 | 27.66 ± 20.26 | 0.31 +0.24 | 10.19+3.64 | 21.53 +6.72 | 64.68 ±9.31 | 23.13 ±3.71 | |
| YU4 | DS | ||||||||||
| max | 78.23 | 9.84 | 3.09 | 428.81 | 58.04 | 0.67 | 12.50 | 27.50 | 75.30 | 27.20 | |
| min | 45.00 | 6.40 | 1.36 | 304.28 | 17.00 | 0.17 | 4.84 | 13.00 | 55.10 | 18.40 | |
| n | 5 | 5 | 5 | 5 | 5 | 5 | 3 | 3 | 3 | 3 | |
| media ± | 71.87 ± 17.66 | 7.45 ± 1.58 | 4.13 + 0.85 | 440.60 ± 63.72 | 85.50 ± 38.50 | 0.56 ± 0.45 | 9.08 +1.14 | 17.40+6.35 | 81.43 ±3.07 | 26.00 ±2.35 | |
| YU5 | DS | ||||||||||
| max | 89.01 | 9.11 | 5.28 | 533.62 | 126.14 | 1.12 | 9.85 | 24.60 | 83.40 | 28.70 | |
| min | 48.81 | 5.55 | 2.88 | 376.51 | 25.76 | 0.04 | 7.77 | 12.60 | 77.90 | 24.40 |
Las concentraciones de CIT más altas en los niveles superiores se explicarían debido al aumento progresivo en la salinización de la LY por la entrada de escorrentías agrícolas. De acuerdo con Zanor et al. (2023), los valores elevados de Na+, Cl-, HCO3-, pH y conductividad eléctrica encontrados en muestras de agua del afluente La Cinta se asociaron a la influencia de la actividad agrícola desarrollada en la zona y al uso de fertilizantes sulfatados y fosfatados. Además, los contenidos de COT y CIT mantuvieron una variabilidad vertical similar, lo que sugiere que en la LY la precipitación de los carbonatos tiene un fuerte control biogénico. Diversos autores observaron que durante eventos de floraciones algales se promueve la depositación de carbonatos en los sedimentos, debido a que el carbono inorgánico disuelto en forma de CO2 consumido durante la fotosíntesis es precipitado en forma de carbonatos (Kelts y Hsu, 1978; Schultze-Lam et al., 1997; Obst et al., 2009). Por lo tanto, valores altos de CIT indicarían una condición de producción primaria alta. Por su parte, los DC y CT de las secuencias YU2, YU3 y YU4 presentaron un perfil similar con una tendencia creciente hacia las capas superficiales (Figura 2).
Se ha documentado que un patrón de aumento en las concentraciones de pigmentos fósiles en sedimentos lacustres se puede asociar con una mayor productividad primaria (Makri et al., 2019; Halac et al., 2020), debido a que los productores primarios responden rápidamente a los cambios en una amplia gama de condiciones ambientales, especialmente en cuanto a la disponibilidad de nutrientes (Makri et al., 2019). Efectivamente, la LY recibe aguas residuales y escorrentías agrícolas con altos contenidos de nutrientes y materia orgánica, lo que impulsaría el crecimiento algal y el incremento de la productividad primaria. Los sitios YU1 y YU5 en las capas más superficiales (0-1 cm) presentaron tendencias opuestas en relación a las concentraciones de pigmentos fósiles, mientras los DC disminuyeron los CT aumentaron (Figura 2). Estudios previos demostraron que los DC se relacionan principalmente con comunidades fitoplanctónicas; en cambio, los CT se asocian mayormente a la vegetación vascular terrestre y acuática (Swain, 1985; Carpenter y Leavitt, 1991). Esto podría estar asociado con el crecimiento desmedido durante los últimos años de la macrófita Eichhornia crassipes (lirio acuático) en la zona oeste (sitio YU1) y el predominio de comunidades de plantas subacuáticas (tulares) en la región sureste del reservorio (sitio YU5; Figura 1). Según estimaciones realizadas con el análisis de imágenes satelitales en la LY, la mancha del lirio acuático creció desde 9.50 (año 1991) hasta 12.13 km2 (año 2019; Figura 1S). Ventura y Retana (1993) describieron que la vegetación acuática de la LY está dominada por extensos tulares de Typha domingensis y Scirpus calfornicus, especialmente en lugares someros del sur y sureste de la laguna.
En concordancia con el aumento de los indicadores de producción primaria, las concentraciones de PT en los núcleos YU3, YU4 y YU5 incrementaron gradualmente hacia las capas más superficiales con un contenido máximo de 569.56 mg/kg (YU3 0-1 cm). Por el contrario, el núcleo YU2 presentó una ligera disminución desde la base (409.57 mg/kg; 2-3 cm) hacia el techo (331.03 mg/kg; 0-1 cm; Figura 2). El aumento progresivo de PT en los sedimentos del reservorio se explicaría por el uso de fertilizantes fosfatados empleados en la agricultura desarrollada en la región circundante (i.e., fosfonitratos) y el vertido de aguas residuales domésticas y urbanas de las comunidades ribereñas (jabones y detergentes; Zanor et al., 2023).
4.1.2. Variabilidad espacial de los indicadores ambientales
La variabilidad lateral del contenido de humedad exhibió el valor más alto en el sitio YU1 (media= 84.32 %), en cambio, el núcleo YU4 exhibió el valor más bajo (media= 50.73 %; Tabla 2). Espacialmente, las concentraciones de COT mostraron concentraciones altas en la parte suroeste de la LY (YU1), tanto en el nivel superior (18.75 %; 0-1 cm) como en el nivel inferior (8.88 %; 3-4 cm). Contrariamente, el COT más bajo se registró en la zona aledaña a la desembocadura (YU4; Tabla 2 y Figura 2S). Los valores altos de COT en el sitio YU1 evidencian que la LY recibe descargas orgánicas que ingresan por los afluentes La Cinta y Ciénega Prieta (Figura 1). Cohen (2003) señaló que entre los factores que ocasionan un mayor contenido de materia orgánica en los sedimentos lacustres se encuentran las escorrentías difusas y la descarga de agua residual doméstica e industrial. De manera similar al COT, los contenidos de CIT fueron más altos en el núcleo YU1 (media= 13.00 %) cercano a la desembocadura de los afluentes La Cinta y Ciénega Prieta, y más bajos en el núcleo YU4 (media= 5.34 %) próximo al efluente (Tabla 2; Figura 2S). López-López et al. (2011) y Zanor et al. (2023) reportaron que el afluente La Cinta aporta contenidos altos de sustancias orgánicas e inorgánicas a la LY provenientes de los municipios de Moroleón y Uriangato, los cuales se encuentran ubicados al suroeste de la laguna (Figura 1).
Se encontró una correlación positiva entre COT y CIT (r2= 0.89***; Tabla 1S y Figura 2S), lo que permite considerar que la precipitación de carbonatos en la LY sería bioinducida por organismos fotosintéticos. Schultze-Lam et al. (1997) y Teranes et al. (1999) señalaron que la bioinducción de carbonatos en sedimentos lacustres es el resultado de una tasa alta de organismos fotosintéticos que asimilan el CO2 disuelto, creando condiciones más alcalinas. Otros estudios en sedimentos lacustres han documentado un aumento similar en la acumulación de carbonatos como respuesta al enriquecimiento de nutrientes y en consecuencia, una productividad primaria más alta (Mullin, 1998; Degano et al., 2016; Costamagna et al., 2022). Los contenidos de DC fueron más altos en el registro YU5 (media = 85.50 U.g PPI-1), mientras que los CT resultaron más altos en el perfil YU1 (media = 0.63 mg.g PPI-1). Los valores altos de CT en el sitio de muestreo YU1 se explicaría por la invasión de lirio acuático en la zona occidental (Figura 1S). Por su parte, Zanor et al. (2023) encontraron que la región este de la LY presenta valores de pH más alcalinos en el agua (máximo pH= 8.87) debido probablemente a la alta productividad primaria del fitoplancton. Esto explicaría los valores más elevados de DC en el sitio YU5 localizado en la zona oriental de la laguna.
El valor máximo de PT se obtuvo en el registro YU3 (media= 456.55 mg/kg) mientras que el contenido más bajo se registró en núcleo YU1 (media= 345.31 mg/kg; Tabla 2). El sitio de muestreo YU3 se ubica en la zona norte de la laguna, cercano a la localidad Angostura (Figura 1), la cual es una zona recreativa que ofrece servicios de alimentos. De acuerdo con Espinal-Carreón et al. (2013), la mala calidad del agua en esta zona de la LY está influenciada por la disposición inadecuada de aguas residuales domésticas de las localidades de Angostura y Cahuageo que producen un aumento en las concentraciones de nutrientes y materia fecal.
4.1.3. Variabilidad geoquímica de los elementos traza
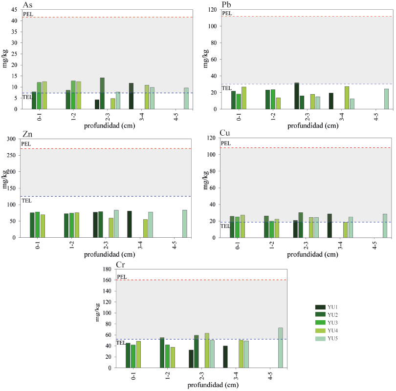
La Figura 3 muestra las concentraciones de los elementos traza en los núcleos sedimentarios de la LY y su comparación con los lineamientos SQG (CCME, 2001). El valor máximo de As en la línea vertical se obtuvo en el sitio YU2 (máximo = 14.20 mg/kg; 2-3 cm) y el mínimo en el registro YU1 (mínimo= 4.22 mg/kg; 2-3 cm). Espacialmente, el núcleo de la zona norte del reservorio (YU3) presentó el contenido de As promedio más alto (media= 12.45 mg/kg; Tabla 2). En la totalidad de las muestras (con excepción de los niveles YU1: 2-3 cm y YU4: 2-3 cm), el As estuvo por arriba del valor TEL, indicando que podrían ocurrir efectos adversos para la biota acuática (Figura 3). Con base en el Igeo calculado, los sedimentos se clasificaron como no contaminados a moderadamente contaminados con As (0 < Igeo <1), con un FE moderado (FE < 2; Figura 6), lo que siguiere concentraciones de As más altas que los niveles de fondo debido al aporte por fuentes humanas. El As es un contaminante cancerígeno que generalmente ingresa de manera antropogénica al medio ambiente por la aplicación de agroquímicos y por procesos metalúrgicos (Sprague y Vermaire, 2018; Bundschuh et al., 2021). De acuerdo con Saldaña-Robles et al. (2018) y Bundschuh et al. (2021) existen dos fuentes de As en la agricultura: 1) el As que ingresa mediante el riego de campos agrícolas con aguas provenientes de pozos profundos, que, por sus características geológicas contienen metal(oid)es, y 2) los agroquímicos que contienen As en su fabricación. Asimismo, los compuestos como el arsenuro de sodio, el arsonato de metano monosódico y el ácido dimetilarsino se emplean como herbicida en las actividades agrícolas (Armbrust et al., 2002; Datta et al., 2004; Quazi et al., 2011). El enriquecimiento de As en los sedimentos de la LY puede derivarse de la actividad agrícola intensiva que se desarrolla en los alrededores de la laguna y que ha ido en aumento en los últimos 30 años. Con base en datos del INEGI, la superficie sembrada en el municipio de Yuriria aumentó desde 15,500 (año 1991) hasta 33,350 hectáreas (año 2016).

Figura 3 Geoquímica de los elementos traza en los registros sedimentarios de la Laguna de Yuriria y la comparación con los valores de los Lineamientos de Calidad de Sedimentos (SQG) para la protección de la vida acuática. Línea azul punteada: Valor TEL en mg/kg (concentración de efecto umbral). Línea roja punteada: Valor PEL en mg/kg (concentración de efecto probable). Cuadro gris: rango de efecto posible.

Figura 6 Índices de geoacumulación calculados para los sedimentos de la Laguna de Yuriria (símbolos en color negro) y la presa La Esperanza (símbolos en color azul).
La variabilidad longitudinal del Pb fluctuó desde 12.60 (YU5 3-4 cm) hasta 31.80 mg/kg (YU1 2-3 cm) mientras el contenido de Zn varió entre 55.10 (YU4 3-4 cm) y 83.40 mg/kg (YU5 4-5 cm; Figura 3). En la lateral, los registros de las zonas cercanas a las desembocaduras de los afluentes presentaron las concentraciones medias de Pb (media= 25.65 mg/kg; YU1) y Zn (media= 81.43 mg/kg; YU5) más altas. Los valores de Pb y Zn en los cinco sitios de muestreo de la LY se encontraron por debajo del valor TEL, en un rango sin efecto adverso para la vida acuática (Figura 3). Asimismo, los sedimentos de la LY se clasificaron como no contaminados con Pb y Zn (Igeo < 0; Figura 6), con un FE mínimo (FE < 2) sugiriendo que los procesos naturales serían los que controlan los niveles de estos elementos traza. La presencia de Pb y Zn en el registro sedimentario de la LY podría ser atribuido al tipo de suelo Vertisol que domina en el área de estudio. Según Gough et al. (1979) y Srinivasarao et al. (2014), estos tipos de suelo rico en minerales de arcilla favorecen la acumulación de Pb, Zn, Cr y Cu. Dentro de las probables fuentes humanas que aportan Pb se encuentran la depositación asociada con la quema de combustibles fósiles (Siver y Wizniak, 2001). En este caso es posible que las concentraciones de Pb sean, en proporción, menos aportadas por el aceite de petróleo liberado de las lanchas durante las actividades turísticas y la pesca.
Por su parte, las concentraciones de Cu mostraron una variabilidad vertical entre 18.40 (YU4 3-4 cm) y 28.70 mg/kg (YU5 4-5 cm: Figura 3), con una concentración promedio más alta en el sitio YU2 (media= 26.84 mg/kg; Tabla 2). Las concentraciones de Cu sobrepasaron el valor TEL en la totalidad de los sitios y profundidades, lo que indica un posible efecto adverso para la biota acuática (Figura 3). Entretanto, los valores de Cr en todos los sitios y profundidades oscilaron entre 32.50 (YU1 2-3 cm) y 72.80 mg/kg (YU5 4-5 cm; Figura 3). De manera similar al Cu, el Cr de los sitios YU4 y YU5 estuvieron por encima del valor TEL, con el contenido más alto en la secuencia YU5 (57.47 mg/kg; Tabla 2). Sin embargo, los sedimentos de la laguna no se encontraron contaminados con Cu y Cr (Igeo < 0) y el FE de estos elementos traza resultó bajo (FE < 2). Es por ello que estas concentraciones se explicarían por una herencia litológica de las rocas basálticas que afloran en las zonas aledañas al sistema lacustre (Soto Araiza et al., 2002).
4.2.1. Variabilidad vertical de los indicadores ambientales
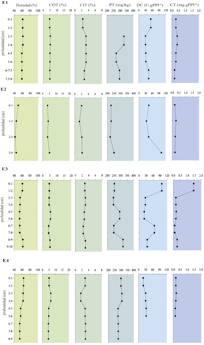
Los valores del contenido de humedad mostraron una ligera tendencia creciente en la vertical h acia los sedimentos más superficiales en todos los registros de la PLE (Figura 4). Esto se atribuye a que los sedimentos superficiales están en contacto directo con el agua y se encuentran saturados de esta sustancia, presentando una menor compactación y una alta permeabilidad. Por el contrario, los sedimentos más profundos se vuelven más densos y menos permeables (Arche, 1989).

Figura 4 Perfiles de los indicadores ambientales determinados en los registros sedimentarios de la presa La Esperanza. De izquierda a derecha: contenido de humedad (%), carbono orgánico total (COT, %), carbono inorgánico total (CIT, %), fósforo total (PT, mg/kg), derivados de clorofila (DC, U. g PPI-1) y carotenoides totales (CT, mg. g PPI-1).
En cuanto al contenido de COT, la distribución vertical presentó fluctuaciones mínimas, sin una tendencia específica (Figura 4). El sitio E4 obtuvo el valor máximo de COT (6.30 %; 2-4 cm) mientras que el valor mínimo de COT se registró en el núcleo E2 (3.70 %; 2-3 cm). De acuerdo con Xu et al. (2017), las fuentes de materia orgánica sedimentaria se dividen en endógenas y exógenas. La primera indica una procedencia a partir de algas, bacterias y plantas acuáticas, y en la segunda la materia orgánica proviene principalmente de plantas terrestres y de las actividades humanas. El COT en los sedimentos de la PLE podría derivar de materia orgánica exógena, debido la deforestación y la degradación forestal que ha ocurrido recientemente en la cuenca La Esperanza. Los bosques de encino de esta cuenca son talados para la extracción de madera, provocando una degradación forestal de hasta el 85 % (Macías Domínguez et al., 2023). Asimismo, se reporta que la deforestación en la cuenca ha comenzado desde hace 300 años con la explotación de madera para su uso en la minería (SMAOT, 1998). Según Farella et al. (2001) y Bélanger et al. (2017), la deforestación intensiva promueve el incremento de la carga de sedimentos, el enriquecimiento por nutrientes y el aporte de materia orgánica terrígena hacía los sistemas lacustres.
De manera similar al COT, los contenidos de CIT tuvieron una variabilidad vertical baja, con el valor máximo de CIT en el sitio E1 a 2-6 cm de profundidad (3.30 %) y un valor mínimo de CIT en E2 a 1-2 cm de profundidad (1.30 %; Figura 4). Con base en Gierlowski-Kordesch (2020), la depositación de carbonatos en los lagos es atribuida a cuatro procesos principales: 1) concentración a través de la evaporación, 2) bioinducción, generada por la alta productividad primaria, 3) entrada clástica a través del agua, y 4) transporte eólico. Las concentraciones relativamente bajas de CIT y COT en las secuencias de la PLE indicarían baja productividad y aguas menos concentradas (Vázquez-Castro et al., 2008). Además, la distribución CIT-COT vertical presenta una tendencia especular (cuando aumenta CIT disminuye COT; Figura 4) evidenciando que los procesos fotosintéticos no serían el proceso fundamental que explica la precipitación de carbonatos en la PLE (Teranes et al., 1999). Por ello, se puede considerar que el mayor aporte de CIT es producido por la entrada de escorrentías y el transporte eólico, procesos que han aumentado debido a la problemática de la deforestación en la cuenca. En cuanto a los DC y CT, se observó una distribución vertical similar, con variaciones desde 19.87 (E4 0-2 cm) hasta 101.00 U.g PPI-1 (E2 3-4 cm) y desde 0.09 (E3 6-8 cm) hasta 1.46 mg.g PPI-1 (E3 0-2 cm), respectivamente (Figura 4). En general, las secuencias sedimentarias muestran valores altos de DC y bajos de CT (Figura 4), lo que indicaría que las comunidades fitoplanctónicas aportan en mayor proporción a la producción primaria (Swain, 1985; Mengo et al., 2022).
Por su parte, el PT mostró una distribución vertical similar a la de COT, con una variación entre 220.75 (E2 2-3 cm) y 329.23 mg/kg (E1 2-4 cm; Figura 4). La correlación positiva entre el PT y el COT (r2= 0.86**; Tabla 2S) sugiere que la mayor contribución de PT estaría representada por el fósforo orgánico proveniente del material orgánico de origen animal o vegetal, ya sea autóctono (organismos acuáticos) o alóctono (vegetación y fauna terrestre). De acuerdo con Delaney (1998), el P que se encuentra en la interfaz sedimento-agua es predominantemente fósforo orgánico en partículas de carbono orgánico. La deforestación contribuye al aumento de material erosionado en la cuenca, lo que resulta en el aumento de P orgánico alóctono en la PLE.
4.2.2. Variabilidad espacial de los indicadores ambientales
La variabilidad lateral del COT exhibió el contenido más alto en el sitio E4 (media = 5.06 %); en cambio, el registro E2 exhibió el valor más bajo (media = 3.68 %; Tabla 3). De manera similar, el CIT mostró una variación espacial uniforme entre los sitios de muestreo, con los valores más bajos en el sitio E2 (media= 1.89 %; Tabla 3). El contenido de CIT podría estar asociado con el mineral calcita (CaCO3) que se encuentra en todas las vetas del DMG, ya que los jales mineros de este distrito están fuertemente erosionados con una taza mayor al 50 % (Ramos-Arroyo et al., 2006). Asimismo, la geología que aflora en el DMG incluye facies de caliza pertenecientes al complejo volcánico-sedimentario de la Sierra de Guanajuato y rocas dioríticas que podrían estar aportando carbonatos alóctonos a la PLE (Ramos-Arroyo et al., 2004).
Tabla 3 Estadísticos descriptivos del análisis multi-indicador determinados en los núcleos sedimentarios de la presa La Esperanza: contenido de humedad, carbono orgánico total (COT), carbono inorgánico total (CIT), fósforo total (PT), derivados de clorofila (DC), carotenoides totales (CT), arsénico (As), plomo (Pb), zinc (Zn), cobre (Cu) y cromo (Cr). DS: desviación estándar. n: número de datos.
| Humedad (%) |
COT (%) |
CIT (%) |
PT (mg/kg) |
DC (U.gPPI-1) |
CT (mg.gPPI-1) |
As (mg/kg) |
Pb (mg/kg) |
Zn (mg/kg) |
Cu (mg/kg) |
Cr (mg/kg) |
||
|---|---|---|---|---|---|---|---|---|---|---|---|---|
| n | 8 | 8 | 8 | 8 | 8 | 8 | 6 | 6 | 6 | 6 | 6 | |
| E1 | media ± DS | 60.73 ±1.19 | 4.87 ±0.16 | 2.91 ±0.44 | 298.63 ± 26.29 | 39.40 ± 10.29 | 0.30 ± 0.08 | 17.53± 1.48 | 34.77 ±2.82 | 148.67 ±3.61 | 63.17 ±5.35 | 93.10 ±15.45 |
| max | 62.09 | 5.10 | 3.30 | 329.23 | 53.30 | 0.40 | 18.90 | 38.40 | 153.00 | 68.50 | 113.00 | |
| min | 59.63 | 4.69 | 2.31 | 270.61 | 29.70 | 0.20 | 15.70 | 32.70 | 145.00 | 56.70 | 81.90 | |
| n | 4 | 4 | 4 | 4 | 4 | 4 | 4 | 4 | 4 | 4 | 4 | |
| E2 | media ± DS | 45.07 ± 3.30 | 4.16 ±0.68 | 1.89 ±0.37 | 231.47 ± 12.92 | 55.40 ± 30.78 | 0.22 ± 0.04 | 6.13 ±1.39 | 24.23 ±5.88 | 134.00±13.21 | 67.33 ±4.93 | 116.25 ±3.27 |
| max | 49.55 | 5.13 | 2.15 | 250.24 | 101.00 | 0.28 | 7.17 | 31.20 | 152.00 | 75.30 | 121.00 | |
| min | 41.59 | 3.68 | 1.35 | 220.75 | 33.41 | 0.18 | 3.73 | 15.30 | 115.00 | 61.80 | 112.00 | |
| n | 10 | 10 | 10 | 10 | 10 | 10 | 10 | 10 | 10 | 10 | 10 | |
| E3 | media ± DS | 56.85 ± 3.74 | 4.79 ± 0.46 | 2.76 ± 0.26 | 271.58 ±30.91 | 49.21 ± 29.99 | 0.44 ± 0.54 | 8.54 ±4.49 | 34.22 ±5.83 | 167.00±16.51 | 80.82 ±5.29 | 128.20±14.75 |
| max | 61.73 | 5.43 | 3.00 | 318.81 | 97.31 | 1.46 | 16.10 | 40.50 | 182.00 | 85.20 | 145.00 | |
| min | 53.48 | 4.20 | 2.34 | 245.60 | 21.81 | 0.09 | 3.23 | 26.00 | 137.00 | 71.20 | 105.00 | |
| n | 9 | 9 | 9 | 9 | 6 | 6 | 6 | 9 | 9 | 9 | 9 | |
| E4 | media ± DS | 58.53 ± 4.47 | 5.06 ± 0.73 | 2.69 ± 0.60 | 288.16 ± 13.88 | 27.39 ±5.91 | 0.18 ±0.03 | 7.98 ±0.98 | 46.07 ±3.43 | 184.67±12.30 | 90.71 ±3.20 | 133.89±14.38 |
| max | 63.73 | 6.30 | 3.05 | 306.38 | 32.27 | 0.22 | 9.05 | 54.80 | 203.00 | 97.20 | 147.00 | |
| min | 53.91 | 4.49 | 1.63 | 275.84 | 19.87 | 0.15 | 6.86 | 38.20 | 172.00 | 83.00 | 117.00 |
Los valores de DC y CT mostraron una variabilidad espacial mínima entre los cuatro núcleos sedimentarios, con contenidos medios desde 27.39 (E4) hasta 55.40 U.g PPI-1 (E2) y entre 0.18 (E4) y 0.44 mg.g PPI-1 (E3), respectivamente (Tabla 3). Lo anterior demuestra que no existe una fuente fija que esté influenciando el aumento de la productividad primaria en la PLE. El valor máximo de PT en la lateral se obtuvo en el registro E1 (media= 298.63 mg/kg) mientras que el contenido más bajo se obtuvo en el sitio E2 (media= 231.47; Tabla 3), sin una diferencia marcada entre los sitios. En la zona ribereña de la PLE, la densidad poblacional es relativamente menor en comparación con la LY, siendo Guanajuato la ciudad más grande localizada aguas debajo del reservorio (70,068 habitantes en el año 2020, datos de INEGI; Figura 1). Esto contribuye a una menor presión antropogénica sobre el cuerpo de agua por parte de las comunidades ribereñas.
4.2.3. Variabilidad geoquímica de los elementos traza
La Figura 5 presenta la geoquímica de los elementos traza en los núcleos sedimentarios de la PLE y su comparación con los lineamientos SQG (CCME, 2001). Las concentraciones de As en los sedimentos de la PLE fluctuaron en la línea vertical de los registros desde 3.23 (E3 2-4 cm) hasta 18.90 mg/kg (E1 4-6 cm; Figura 5). Con base en la variabilidad lateral, la zona este de la PLE exhibió la concentración de As más alta en todos los niveles a distintas profundidades (media= 17.53 mg/kg; E1; Figura 3S). Los valores de As superaron el valor TEL, lo que indica efectos adversos para la biota acuática (Figura 5). Los sedimentos del registro E2 se clasificaron como no contaminados (Igeo < 0). Por el contrario, los sedimentos del sitio E1 (ubicado en la zona este de la PLE; Figura 1) se clasificaron como moderadamente contaminados (1 < Igeo < 2; Figura 6) con un FE moderado (2 < FE < 5). La extracción y fundición de minerales que contienen As contribuyen al aporte global del As en el aire, el suelo y los cuerpos de agua (Nriagu, 1989). Córdova de la Cruz y Esparza Claudio (2016) señalaron que en el estado de Guanajuato la industria minera tiene gran relevancia y es uno de los principales productores de plata en el mundo. En consecuencia, las cantidades de As en los sedimentos de la PLE podrían estar dadas por los procesos metalúrgicos, ya que el As se encuentra asociado mineralógicamente con muchos de los complejos de plata. Cano-Aguilera et al. (2008) reportaron la presencia de contenidos de As en los relaves mineros de Monte San Nicolás (localizada al este de la PLE). Los yacimientos de Los Mexicanos y Guapillos (en la parte este de la cuenca) contienen As que podrían estar favoreciendo al incremento de este elemento traza en la PLE a través del arroyo Mexicanos (Mengelle-López et al., 2013; Figura 1). Valores similares de As en sedimentos del área de estudio fueron reportados por Rueda-Garzon et al. (2022), obteniendo una concentración media de 15.20 mg/kg, con un Igeo > 0 (moderadamente contaminado). Por otra parte, Bravo- Covarrubias et al. (2020) reportaron contenidos de As en un rango desde 25.11 hasta 28.80 mg/kg en sedimentos de la presa Santa Ana, la cual se encuentra localizada aguas debajo de la PLE.

Figura 5 Geoquímica de los elementos traza en los registros sedimentarios de la presa La Esperanza y la comparación con los valores de los Lineamientos de Calidad de Sedimentos (SQG) para la protección de la vida acuática. Línea azul punteada: Valor TEL en mg/kg (concentración de efecto umbral). Línea roja punteada: Valor PEL en mg/kg (concentración de efecto probable). Cuadro gris: rango de efecto posible.
Por su parte, el Pb fluctuó longitudinalmente desde 15.30 (E2 1-2 cm) hasta 54.80 mg/kg (E4 6-9 cm) en los cuatro registros sedimentarios (Figura 5). Espacialmente, el sitio ubicado en el centro-este de la PLE mostró la concentración media de Pb más alta (media= 46.07 mg/kg; E4; Tabla 3). Los sedimentos se clasificaron como no contaminados a moderadamente contaminados con Pb (0 < Igeo < 1; Figura 6) con un FE moderado (2 < FE < 5). Los niveles de Pb podrían atribuirse a aportes geogénicos y antropogénicos, es decir, un origen mixto. De forma natural, el Pb se encuentra presente en el mineral galena (PbS) que está distribuido ampliamente en el DMG (Ramos-Arroyo et al., 2004; Mendoza-Amézquita et al., 2006) y es un mineral económicamente importante en la región (Vasallo, 1988). El aporte de Pb en la cuenca La Esperanza también estaría influenciado de manera antropogénica por los procesos de recuperación de minerales (fusión, amalgamación y cianuración) (Ramos-Arroyo et al., 2004; Ramos-Arroyo et al., 2006; Rueda-Garzon et al., 2022).
En el caso del Zn, los valores en todos los registros y profundidades variaron entre 115.00 (E2 0-1 cm) y 203.00 mg/kg (E4 4-6 cm), sin una tendencia específica (Figura 5), con una concentración media en la lateral de 184.67 mg/kg (E4; Tabla 3).
Los contenidos de Zn en todos los sitios y profundidades superaron el valor TEL (con excepción de E2 0-1 cm), lo que indica posibles efectos adversos para la biota acuática (Figura 5). Asimismo, los sedimentos se clasificaron como no contaminados a modernamente contaminados (0 < Igeo < 1), con un FE moderado (2 < FE < 5). Se han reportado concentraciones altas de Zn en los jales mineros del DMG (180-330 mg/kg) con un bajo potencial de lixiviación (Mendoza-Amézquita et al., 2006). También, se documentó la presencia de esfaleritas [(Zn,Fe)S)] (Ramos-Gómez et al., 2012), que posiblemente estén enriqueciendo a los sedimentos de la PLE con Zn. Mengelle-López et al. (2013) identificaron a escasos 2 km aguas arriba de la PLE, yacimientos de sulfuros de origen vulcanogénico con metales y metaloides que pueden enriquecer los sedimentos del reservorio.
Para el caso del Cu, este elemento fluctuó verticalmente en todos los sitios de muestreo entre 56.70 (E1 0-2 cm) y 97.20 mg/kg (E4 2-4 cm; Figura 5). Con base en la variabilidad lateral, la zona suroeste de la PLE (próximo al DMG) exhibió la concentración de Cu más alta en todos los niveles (media= 90.71 mg/kg; E4; Tabla 3; Figura 2S), superando el valor TEL y manteniéndose muy cercano al PEL (Figura 5), lo que indica que podrían ocurrir efectos adversos para la biota acuática. Los sedimentos de los registros E1, E2 y E3 se clasificaron como no contaminados a moderadamente contaminados con Cu (0 < Igeo < 1), mientras que el sitio E4 se clasificó como moderadamente contaminado con Cu (1 < Igeo < 2), y un FE moderado (2 < FE < 5) (Figura 6). La concentración alta de Cu en los sedimentos de la PLE es resultado en parte por la actividad minera que ocurre principalmente en la zona oeste del reservorio. Carrillo-Chávez et al. (2003) señalaron que el DMG ha estado generando más de 150 millones de toneladas de material de desecho minero, dando como resultado relaves históricos que se encuentran dispersos en la ciudad de Guanajuato. Miranda-Avilés et al. (2012) mencionaron que el Cu se ha utilizado en los procesos metalúrgicos de amalgamación y además se encuentra presente en la mineral calcopirita. De acuerdo con Mendoza-Amézquita et al. (2006), en los jales de las minas pertenecientes a la Veta Madre y la Veta la Sierra ubicadas en la cuenca La Esperanza se encuentra presente el mineral calcopirita. Carrillo-Chávez et al. (2003) analizaron muestras de La Luz, Valenciana, San Nicolás y Noria Alta, minas localizadas al suroeste de la PLE, reportando contenidos altos de Cu (400.00 mg/kg), por lo tanto, es probable que los residuos metalúrgicos estén sometidos a procesos de lixiviación, erosión y/o transporte en la cuenca.
Finalmente, las concentraciones de Cr variaron verticalmente en los cuatro núcleos entre 81.90 (E1 2-4 cm) y 147.00 mg/kg (Figura 5). Los sedimentos en todos los niveles de los registros sedimentarios tuvieron contenidos de Cr que superaron el valor TEL (Figura 5), pero se clasificaron como no contaminados (Igeo < 0). Como excepción, los sedimentos del registro E4 resultaron no contaminados a modernamente contaminados con Cr (0 < Igeo < 1), con un FE moderado (2 < FE < 5). Estos resultados concuerdan con lo reportado por Miranda-Avilés et al. (2012) y Rueda-Garzon et al. (2022) en la subcuenca del Río Guanajuato (Figura 1), donde se encontraron concentraciones de Cr en los sedimentos menores a los valores de fondo, atribuyéndolas a los aportes de las rocas ultramáficas de la Sierra de Guanajuato.
5. Análisis de Componentes Principales
Con el objetivo de comprender las fluctuaciones de los indicadores en los registros sedimentarios de los reservorios LY y PLE se realizó un ACP para caracterizar el tipo de perturbación antrópica (minería, agricultura y urbanización). Los dos primeros componentes explicaron el 68.20 % de la varianza total. El componente 1 resultó el más importante, ya que explicó el 44.50 % de la varianza de los indicadores ambientales estudiados y el componente 2 explicó el 23.70 % de la varianza total. La Figura 7 muestra la contribución de las variables a los componentes principales, y la línea roja discontinua indica el valor medio de la contribución.

Figura 7 Contribución de los indicadores (%) en los dos primeros componentes principales del ACP en los núcleos sedimentarios de los reservorios Laguna de Yuriria y presa La Esperanza.
El biplot de composición muestra la relación entre los indicadores y los registros sedimentarios de la LY y la PLE (Figura 8). En el componente 1 se agruparon las muestras de la LY y los indicadores representados fueron DC, CT, COT, CIT, PT, contenido de humedad y As, con valores positivos, indicando una relación directa entre ellos. La asociación entre estos indicadores sugiere una productividad primaria alta causada por el enriquecimiento de nutrientes y el contenido orgánico a partir de las actividades humanas desarrolladas en la zona de influencia a la LY (Figura 8). Además, es importante señalar que los sitios que tienen mayor peso en los indicadores son los que se encuentran cercanos a las desembocaduras de los afluentes (núcleos YU1 y YU5) y el sitio cercano a la localidad Angostura que es un sitio de alta actividad gastronómica (núcleo YU3), contribuyendo con la descarga de aguas residuales sin un tratamiento previo. En cambio, el sitio YU4 mostró los contenidos más bajos en todos los indicadores analizados y tuvo un menor peso en el componente 1, ya que se encuentra cercano al efluente Zempoala (Figura 1). El PT y el As en los sedimentos de la LY serían aportados principalmente por fuentes antropogénicas relacionadas con el uso de agroquímicos, y particularmente el PT mediante las descargas de aguas residuales domésticas de las comunidades que habitan en las márgenes de la laguna.

Figura 8 Biplot de la ordenación de los indicadores determinados en los núcleos sedimentarios de los reservorios estudiados. Contenido de humedad (humedad), carbono orgánico total (COT), carbono inorgánico total (CIT), fósforo total (PT), derivados de clorofila (DC), carotenoides totales (CT), As, Pb, Zn, Cu y Cr de los núcleos sedimentarios. En color negro se presentan las muestras a distinta profundidad de los sedimentos de la Laguna de Yuriria. En color azul se presentan las muestras a distinta profundidad de los sedimentos de la presa La Esperanza.
Por su parte, el componente 2 incluyó los registros sedimentarios de la PLE y los indicadores que se correlacionaron positivamente fueron el Pb, Zn, Cu y Cr. Este componente y los parámetros que agrupa se interpretan como una representación de la influencia de los procesos metalúrgicos desarrollados históricamente en el DMG desde hace más de 500 años, que han generado residuos con elementos traza que podrían lixiviarse y acumularse en los sedimentos de la PLE. Otros estudios han demostrado que los jales mineros situados en la subcuenca del Río Guanajuato tienen altos contendidos de As, Pb y Cu que son movilizados a través de la erosión eólica (Ramos-Arroyo et al., 2006) y mediante los sistemas hídricos superficiales (Cano-Aguilera et al., 2008; Lecomte et al., 2022), lo que provoca el aumento del número de sitios contaminados por elementos traza.
6. Conclusiones
El análisis de indicadores ambientales en núcleos sedimentarios cortos de la LY y la PLE permite identificar dos escenarios sujetos a condiciones ambientales y fuentes de aporte diferentes. En un primer caso, los registros de la LY experimentan un aumento progresivo en la productividad primaria (COT, DC, CT y PT) en las últimas décadas. El origen de estos incrementos desde base hasta techo se debe a fuentes antropogénicas asociadas con la urbanización, la actividad agrícola que ha crecido recientemente en la zona, la descarga de aguas residuales domésticas y urbanas de las comunidades aledañas al reservorio, y al aporte de biomasa de plantas acuáticas. La sobrepoblación del lirio acuático en la zona oeste y de los tulares en la zona sureste imprimen una señal en los sedimentos caracterizada por el aumento de vegetación acuática vascular (CT más altos). En cambio, el aumento en la productividad primaria por el florecimiento de algas es reflejado mayormente en los sedimentos de la región norte y este de la LY (DC más altos). La correlación positiva entre COT y CIT sugiere que la precipitación de carbonatos en este reservorio es mayormente bioinducida por organismos fotosintéticos que generan condiciones de mayor alcalinidad en el agua. Los sedimentos de la LY presentan concentraciones más bajas de Pb, Zn, Cr y Cu comparado con el As, relacionadas principalmente con condiciones naturales (meteorización de rocas y suelos), sin afectaciones a la biota acuática por parte del Pb, el Zn y el Cr. En cambio, los sedimentos se clasifican como moderadamente contaminados por As, con posibles efectos adversos para la biota y su origen se atribuye al uso de agroquímicos que ingresan a la LY mediante las escorrentías agrícolas.
Por otro lado, los sedimentos de la PLE evidencian un contenido elevado de materia orgánica exógena que ingresa al reservorio como resultado de la alta deforestación que existe en la cuenca La Esperanza durante los últimos siglos. Los sedimentos se clasifican en su mayoría como moderadamente contaminados por As, Pb, Zn, Cr y Cu, con posibles efectos adversos para la biota acuática, a excepción del Zn. Se evidencia que las concentraciones de Cr y Zn tienen un origen geogénico, en relación con la presencia de rocas básicas y minerales (esfalerita), que se encuentran presentes en la cuenca hidrológica. En cambio, las concentraciones de Cu y As son generadas por el aporte antropogénico de los procesos metalúrgicos desarrollados en el DMG e ingresan a la PLE por la zona suroeste y este, respectivamente. Por su parte, las concentraciones de Pb presentan un origen mixto, tanto por fuentes naturales (mineral galena) como por fuentes antropogénicas (actividad minera).
Este estudio expone por primera ocasión el comportamiento de variables físicoquímicas, biológicas y geoquímicas en secuencias sedimentarias cortas de ambos reservorios, constituyendo una fuente de información útil para la correlación con estudios de calidad de agua, que permitan mejorar la gestión de las cuencas hidrológicas.
Contribuciones de los autores
Conceptualización: GAZ; Análisis y adquisición de datos: CSMR, RMA; Desarrollo metodológico/técnico: CSMR, GAZ; Redacción del manuscrito original: CSMR; Redacción del manuscrito corregido y editado: GAZ, SRH, ELP, RMA; Diseño gráfico: CSMR; Trabajo de campo: ELP, GAZ, CSMR; Interpretación: CSMR, GAZ, SRH; Financiamiento: GAZ.
Financiamiento
Parte de este estudio fue financiado por la Secretaría de Medio Ambiente y Ordenamiento Territorial (SMAOT, Gobierno del Estado de Guanajuato, México), con el número SMAOT-DGAJ-SOTyGRN-DGRN/COLABORACION/CUVEN/Q17/2020.
Conflictos de interés
Los autores declaran que no existen conflictos de intereses.
Editor a cargo
Alexander Correa-Metrio.










text new page (beta)





