1. Introducción
La estadística es la ciencia que demuestra que, si mi vecino
se ha comido un pollo y yo me he quedado en ayunas, cada
uno nos hemos comido medio pollo.
José Ramón Busto S. J. (2019).
El tema de las desigualdades económicas se introdujo en la economía con los primeros economistas clásicos. Sin embargo, fue relegado con la economía neoclásica, para nuevamente estar en la agenda de muchos economistas y políticos; constituyéndose en una preocupación y reto a nivel global. Asimismo, el futuro que se vislumbra a propósito de los impactos de las nuevas tecnologías como la Inteligencia Artificial (IA), robótica, entre otras, incrementa las inquietudes sobre el tema. La lista de los factores explicativos de estas mayores disparidades es larga, multidimensional y multifactorial, teniendo como origen factores que van desde los históricos, étnicos; concentración de la propiedad, estructura y procesos productivos; diversas variables y dinámicas económicas, sociales y políticas (Alarco et al., 2019).
Este trabajo indaga la desigualdad económica desde la estructura productiva de cuatro economías de la región latinoamericana: Chile, Colombia, México y Perú. La hipótesis central es que, si bien estas economías comparten una historia común, abundan los elementos particulares no sólo por los factores explicativos no económicos mencionados anteriormente, sino los relativos al diferente peso o importancia de tecnologías y procesos productivos predominantes y configuración empresarial de las diferentes actividades económicas. En el trabajo sólo se detallarán los resultados de lo ocurrido, sin abordar la naturaleza de estas diferencias e igualmente las que podrían ocurrir por las políticas implantadas y las reacciones suscitadas a propósito de la pandemia por covid-19.
Los objetivos específicos del texto son: en primer lugar, determinar algunas características de las estructuras distributivas a nivel de la distribución funcional del ingreso de las cuotas de sus tres componentes: remuneraciones, ingresos mixtos y excedente de explotación -ganancias- por actividades económicas en 2019 y 2022, antes y después de la pandemia por covid-19. En segundo lugar, presentar y analizar la estructura de distribución personal del ingreso en 10 deciles, identificando los cambios entre los dos periodos. En tercer lugar, mostrar niveles y distancias entre los ingresos por deciles de las cuatro economías analizadas, comparándolos con otros referentes internacionales.
El texto se compone de seis secciones, incluida la introducción. En la segunda sección se presenta el marco conceptual sobre el tema; en la tercera sección la metodología, protocolos y fuentes de información para determinar las estructuras distributivas funcionales y personales de los años analizados. La cuarta sección muestra los resultados y el análisis comparado para la distribución funcional a nivel de 11 actividades económicas y de la personal dividida en 10 deciles, utilizando diversos indicadores de desigualdad. La quinta sección aprovecha la información distributiva para establecer los niveles de ingreso por deciles de las economías analizadas para 2019 y 2022, tanto en USD$ constantes a precios de 2010 y de paridad de poder adquisitivo en USD$ constantes de 2011. La última sección presenta las conclusiones.
En el estudio no se califica si las estructuras distributivas reflejan o no una elevada desigualdad; tampoco se discuten sus efectos negativos sobre el crecimiento económico, la cohesión social y la gobernabilidad política. No se tiene una mirada sociológica donde la sociedad se divide en clases, grupos o estratos sociales. Se trabajó sólo con la información oficial obtenida de las cuentas nacionales y de las encuestas nacionales de los hogares, sin ajuste o corrección alguna, omitiendo en el caso de estas últimas los problemas generales de subestimación de los ingresos de los estratos de medianos y altos cuando estos se extrapolan a nivel agregado. De esta forma, si las desigualdades calculadas son importantes, lo serían más si se incluyeran plenamente los ingresos de capital de los más ricos. Finalmente, al obtener los ingresos reales por deciles se utilizó un único índice de precios, aunque cada decil podría tener una estructura y precios diferenciados, entre otras acotaciones.
2. Marco conceptual
El análisis desarrollado prosigue en la línea de uno previo presentado por Alarco (2022) relativo a revelar la explicación de la distribución del ingreso a partir de la problemática de la heterogeneidad estructural (HE) y sus cambios en el tiempo. Sin embargo, a diferencia de dicho estudio, aquí se analizan de manera comparada tanto algunas características de las estructuras productivas, como la distribución personal del ingreso y sus cambios en cuatro economías de la región en un periodo complejo: 2019 y 2022.
Al respecto, Chena (2016) recuerda que la he es uno de los principales problemas del subdesarrollo latinoamericano, tanto para el estructuralismo latinoamericano como para sus sucesores neoestructuralistas. En el primer caso, el reconocimiento temprano de este hecho llevó a dicha escuela de pensamiento a estudiar la relación entre distribución del ingreso y crecimiento económico, desde una mirada diferente a la utilizada para comprender el mismo fenómeno en las economías centrales. Para este autor, el estructuralismo destaca que en América Latina el poder para apropiarse del ingreso social tiene como fuente primaria el control minoritario sobre los medios para introducir el progreso técnico proveniente de los países centrales.
El concepto de he surge a partir de Pinto (1970) en los años setenta del siglo XX para caracterizar la industrialización de Latinoamérica en su paso de duales a heterogéneas; concepto que se va enriqueciendo en el tiempo. De nueva cuenta, Chena (2016) anota que, a la problemática de la he, para explicar las desigualdades, se suman elementos tales como la inadecuación tecnológica con la dotación de factores, la presencia de empresas transnacionales, la naturaleza de la inserción internacional, la concentración de la propiedad, los efectos de los consumos suntuarios de las clases propietarias y la restricción externa. Más reciente, el neoestructuralismo retoma los aspectos tecnológicos del fenómeno y destaca que el origen de ésta obedece a las escasas posibilidades de generar y difundir -por reducidos encadenamientos productivos- el progreso técnico que tiene la región debido a su inadecuada especialización productiva.
Por otra parte, el análisis de la distribución personal del ingreso sigue en este documento la metodología y protocolos tradicionales. Sobre ese particular, destaca un estudio reciente de Del Castillo (2023) en el que se analiza la forma en que se genera (PIB), asigna (ingreso nacional), distribuye (ingreso disponible), utiliza (gasto y ahorro) y acumula (riqueza) el valor generado a partir del trabajo (intelectual y manual) y los recursos naturales (que también aportan valor). Asimismo, Amarante et al. (2023) anotan que los elevados niveles de concentración de la riqueza e ingreso sigue siendo uno de los principales problemas en América Latina; describen las principales tendencias de la desigualdad en la región desde 1990 hasta la fecha y plantean algunos elementos para la agenda de reducción de la desigualdad.
Un último tema a destacar son los diferentes niveles de ingreso y desigualdad en la región. En un estudio realizado hace casi 50 años, Figueroa (1976) señalaba, en un análisis para la región andina, que aparte de los desniveles de ingresos entre países, hay que considerar las desigualdades en la distribución dentro de cada uno de ellos. Anotaba que la desigualdad en Brasil y México caía dentro del promedio detectado para las naciones andinas, mientras que la de Argentina era muy inferior. También que no todos los habitantes de estos países son pobres. Quienes se ubican en la cúspide de la pirámide de la distribución perciben ingresos similares o incluso superiores al promedio que se registra en las naciones más industrializadas, lo que les permite emular los patrones de consumo y de vida imperantes en éstas.
3. Metodología y fuentes de información
A continuación se analizan las estructuras distributivas de las cuatro economías en lo relativo a la distribución funcional y personal del ingreso a nivel de 10 deciles. En el caso de la distribución funcional se considera la estructura a nivel de 11 actividades económicas, mismas que se han homogeneizado,1 dividiéndose en tres componentes: remuneraciones, excedente de explotación neto -ganancias- e ingresos mixtos.2 En todos los casos esta información se presenta en términos relativos, expresada como un porcentaje del valor agregado sectorial, de acuerdo con lo señalado en la ecuación (1).
Donde, θi,t es la participación o cuota de la masa de remuneraciones, del excedente de explotación neto y de los ingresos mixtos de toda la economía en un año particular; mientras que, Ci,j es la masa de cada uno de los tres componentes anteriores de cada una de las actividades económicas entre su valor agregado sectorial (VAj,t). Al respecto, la fuente de información para la distribución funcional del ingreso son las cuentas nacionales de cada país considerando 2019 y el último disponible, 2022. En Chile los datos son del Banco Central de Chile (BCCh) para 2021. En Colombia se utilizó la información del Departamento Administrativo Nacional de Estadística (DANE). En México se consultaron las cuentas del Instituto Nacional de Estadística y Geografía (INEGI). Mientras que para Perú la información se extrajo del Instituto Nacional de Estadística e Informática (INEI).
Por otra parte, en el caso de la distribución personal del ingreso de las cuatro economías se procesaron los resultados de las encuestas de los hogares para 2019 y 2022.3 Según la Comisión Económica para América Latina y el Caribe (CEPAL) (2021), las encuestas de presupuestos familiares son cruciales para comprender cómo es que las personas obtienen y utilizan sus recursos económicos. Además proporcionan información vital para actualizar el índice de precios al consumidor (IPC), construir la cuenta institucional del sector hogares en las estadísticas de cuentas nacionales, determinar la canasta básica de alimentos y el valor umbral de la línea de pobreza.
En Chile se utilizaron los resultados de la Encuesta Suplementaria de Ingresos, un módulo complementario de la Encuesta Nacional de Empleo. En Colombia la Gran Encuesta Integrada de Hogares del DANE para analizar la distribución del ingreso. En México se empleó la base de datos del INEGI, específicamente la Encuesta Nacional de Ingresos y Gastos de los Hogares (ENIGH). En Perú se recurrió al módulo “Sumaria” de microdatos del INEI para obtener la distribución del total de ingresos de los hogares. En todos los casos la microdata se procesó en Stata.
En otro orden de ideas, se debe anotar que las encuestas nacionales de hogares a menudo enfrentan problemas de representatividad, ya que no reflejan con precisión los ingresos reportados en el PIB de un país y año. Davies y Shorrocks (2000) señalan que las encuestas a hogares enfrentan problemas de cobertura debido a errores de muestreo o reporte, como hogares no capacitados, rechazan responder, subreportan los ingresos de capital, entre otros. Además, Alarco y Castillo (2020) mencionan que estas encuestas suelen omitir a los sectores de altos ingresos, medios altos y las ganancias de capital. La subestimación para las cuatro economías analizadas fluctúa entre 40 y 70%, con un nivel máximo en 2020 a propósito de la pandemia por covid-19.
Por otra parte, para el análisis de la distribución personal del ingreso se utilizó la información procesada en 10 deciles. Asimismo, se consideraron diversos indicadores de desigualdad. En primer lugar, se abordó el coeficiente de Gini mediante la ecuación (2), en el cual el valor máximo alcanza 1 en situaciones de extrema desigualdad, mientras 0 representa la igualdad perfecta. En segundo lugar, se contempla el cociente de los ingresos totales del décimo decil de mayores ingresos (D10) y los ingresos del decil de menores ingresos (D1) expresado en la ecuación (3). Lo anterior para cuantificar las distancias entre ambos grupos.
Donde Xt denota la proporción acumulada de perceptores de ingresos, mientras que Yt representa la proporción acumulada de los ingresos de la población.
Además, en la ecuación (4) se muestra el índice Palma, mismo que indica la disparidad entre los ingresos del décimo decil (D10) y el conjunto de grupos de menores ingresos pertenecientes a los cuatro primeros deciles de la distribución del ingreso (D1 al D4). Por último, la ecuación (5) presenta el índice de Theil, que posibilita la diferenciación entre la desigualdad intergrupos o interdeciles, definida como T1 en la ecuación (6), y la intragrupos o intradeciles, definida como T2 en la ecuación (7). El resultado de la fórmula (5) constituye la suma de ambos componentes según la ecuación (8).
En donde, n es el número de individuos i que perciben ingresos y xi denota las participaciones individuales sobre el ingreso total acumulado. Además, el índice puede ser desglosado por grupos de individuos, permitiendo expresar la desigualdad del ingreso tanto a nivel intragrupo (T1) como entre grupos (T2). En este contexto, v j representa la participación del grupo j en el total (en este caso, los deciles), zij indica la participación del individuo i dentro del grupo j, y nj corresponde al número de individuos por grupo o decil.
En la quinta sección del documento se estiman los ingresos promedio anual por decil
de las cuatro economías y se utilizan las siguientes fórmulas. En primer lugar, en
la ecuación (9) se determina la
población por decil Pi,t en el decil
i y en el año t. La ecuación calcula la
proporción de la población asignada al decil i en el año
t. Aquí, PTt representa la población total del
país seleccionado en el año t. La variable
Por su parte, la ecuación (10) representa el ingreso per cápita por decil Ii,t en el decil i y en el año t. En la expresión, PIB t denota el PIB, a precios constantes de 2010 en USD$ y a precios de paridad de poder adquisitivo de 2011 en USD$, ambos del Banco Mundial (BM) para el país seleccionado en el año t (2019 y 2022). La variable θit representa las participaciones de los ingresos totales por deciles en economías seleccionadas para el año t. Además, Pi,t es la proporción de la población asignada al decil i en el año t.
4. Estructuras distributivas con información oficial
En esta sección se presentan los resultados de las estructuras distributivas a nivel de la distribución funcional del ingreso (entre remuneraciones, excedente de explotación- ganancias- e ingresos mixtos) por actividades económicas para las cuatro economías seleccionadas para 2019 y 2022. Al respecto, como ya se mencionó, los cambios en la participación de las remuneraciones en el valor agregado bruto total (VA)4 dependen principalmente de lo ocurrido dentro de cada sector y en su participación respecto del VA total. Asimismo, se presenta la distribución personal del ingreso en 10 deciles para los mismos años evaluando lo ocurrido entre 2019 y 2022.
La Tabla 1 muestra la participación de las remuneraciones respecto del VA y la participación de VA de la actividad económica respecto del VA total de la economía. Hay sorpresas tanto cuando se compara el peso de las remuneraciones en cada sector como en las participaciones sectoriales en cada una de las economías analizadas. Por ejemplo, la participación de las remuneraciones en el VA sectorial de la administración pública y defensa es lógicamente la más elevada entre todos los sectores; sin embargo, esta actividad varía entre 3.6 y 15% del VA total. Por otra parte, tanto las cuotas de cada uno de los tres componentes del ingreso como la participación en el PIB son diferentes entre las cuatro economías. En Chile, las mayores cuotas salariales se ubican en los servicios financieros, el comercio-restaurantes y hoteles, los otros servicios, la construcción y los servicios empresariales. Por el contrario, la de menor cuota son electricidad y agua, seguida por minería.
Tabla 1 Participación de las remuneraciones en el VA sectorial (%) 2019 y 2022
| Chile* | Colombia | México | Perú | |
| Agricultura, ganadería, caza, silvicultura y pesca | ||||
| 2019 | 25.87 | 24.00 | 17.74 | 15.21 |
| 2022 | 26.99 | 13.80 | 21.58 | 12.27 |
| Participación (%VAB 2022) | 3.92 | 9.87 | 4.10 | 7.79 |
| Minería | ||||
| 2019 | 18.59 | 17.30 | 7.23 | 24.40 |
| 2022 | 10.06 | 9.84 | 7.71 | 14.79 |
| Participación (%VAB 2022) | 15.78 | 8.03 | 3.80 | 13.64 |
| Manufactura | ||||
| 2019 | 37.85 | 32.42 | 22.06 | 27.84 |
| 2022 | 36.77 | 28.27 | 26.64 | 25.33 |
| Participación (%VAB 2022) | 9.54 | 12.51 | 22.57 | 13.57 |
| Electricidad, gas, agua y gestión de desechos | ||||
| 2019 | 16.96 | 15.19 | 16.78 | 15.66 |
| 2022 | 21.36 | 12.46 | 14.33 | 16.47 |
| Participación (%VAB 2022) | 2.79 | 4.16 | 2.15 | 2.55 |
| Construcción | ||||
| 2019 | 47.86 | 26.41 | 27.09 | 40.81 |
| 2022 | 49.15 | 34.28 | 24.46 | 33.46 |
| Participación (%VAB 2022) | 6.45 | 4.38 | 6.44 | 8.38 |
| Comercio, restaurantes y hoteles | ||||
| 2019 | 59.57 | 39.81 | 14.42 | 29.70 |
| 2022 | 51.95 | 37.17 | 22.74 | 27.35 |
| Participación (%VAB 2022) | 12.66 | 15.38 | 23.01 | 16.09 |
| Transporte y comunicaciones | ||||
| 2019 | 39.28 | 29.89 | 23.18 | 22.17 |
| 2022 | 40.09 | 33.21 | 26.04 | 24.76 |
| Participación (%VAB 2022) | 8.31 | 7.86 | 9.07 | 7.30 |
| Servicios financieros | ||||
| 2019 | 65.40 | 39.63 | 22.89 | 30.79 |
| 2022 | 67.36 | 42.18 | 23.12 | 31.13 |
| Participación (%VAB 2022) | 3.91 | 4.31 | 4.15 | 4.73 |
| Servicios empresariales | ||||
| 2019 | 44.07 | 79.09 | 57.16 | 38.29 |
| 2022 | 44.55 | 81.09 | 38.91 | 40.29 |
| Participación (%VAB 2022) | 9.75 | 3.85 | 1.61 | 4.72 |
| Otros servicios | ||||
| 2019 | 49.43 | 17.90 | 35.06 | 48.84 |
| 2022 | 48.11 | 16.62 | 36.02 | 47.75 |
| Participación (%VAB 2022) | 21.82 | 14.71 | 19.55 | 15.92 |
| Administración pública y defensa | ||||
| 2019 | 81.81 | 76.79 | 97.47 | 83.44 |
| 2022 | 81.41 | 75.32 | 97.49 | 84.43 |
| Participación (%VAB 2022) | 5.08 | 14.92 | 3.55 | 5.31 |
| Participación de las remuneraciones en el PIB (%) | ||||
| 2019 | 40.84 | 38.21 | 26.56 | 31.62 |
| 2022 | 36.98 | 30.84 | 27.37 | 29.59 |
Nota: *la información de Chile del 2022 corresponde al año 2021.
Fuentes: elaboración propia con base en las cuentas nacionales del BCCh, DANE, INEGI e INEI.
En el caso de Colombia, las mayores cuotas salariales se observan en los servicios empresariales, seguidos por el comercio-restaurantes y hoteles, los servicios financieros y la manufactura. Las menores cuotas son de nuevo electricidad y agua, minería y otros servicios. En México, las mayores participaciones se observan en servicios empresariales, otros servicios, construcción y transporte; mientras que nuevamente las menores cuotas se observan en minería y electricidad. También cabe destacar que las cuotas de las remuneraciones sectoriales de México son en general más reducidas respecto de las otras economías analizadas. Finalmente, en Perú las mayores cuotas de las remuneraciones se observan en los sectores de otros servicios, servicios empresariales, construcción y servicios financieros, mientras que los menores niveles están en el sector agropecuario, pesca y electricidad.
La evaluación de los resultados distributivos a partir de la información sectorial es compleja, ya que varía de economía en economía a través del tiempo. A partir de la información por actividades económicas se explican los resultados nacionales para la cuota salarial respecto del PIB, donde estos se redujeron entre 2019 y 2022 en Chile, Colombia y Perú, y aumentaron en México (véanse últimas filas de la Tabla 1). Al respecto, se elevan las cuotas salariales en los sectores transportes, servicios financieros en todas las economías y en servicios empresariales a excepción de México. También se eleva la cuota salarial de la administración pública a excepción de Chile y Colombia; la de construcción aumenta a excepción de México y Perú; la del sector agropecuario-pesca crece a excepción de Colombia y Perú. En dirección contraria la cuota salarial de la minería, el comercio, la manufactura y otros servicios se reduce en todas las economías a excepción de México, lo que también contribuiría a explicar la mayor cuota salarial de este país entre 2019 y 2022.
La cuota de los ingresos mixtos y del excedente de explotación respecto de los va sectoriales se muestra en las Tablas 2 y 3. Se debe recordar que los ingresos mixtos aluden a las percepciones que involucran simultáneamente trabajo directo e ingresos por el capital. En la Tabla 2 se observan niveles y dinámicas diferenciadas en los diferentes sectores productivos. Los mayores niveles de la cuota de ingresos mixtos se observan en el sector agropecuario -pesca y se elevan entre 2019 y 2022. En Perú, la cuota de los ingresos mixtos sobre el VA tiende a ser mayor que en Colombia, especialmente en los sectores agropecuario-pesca, manufactura, comercio-restaurantes-hoteles, transporte y servicios empresariales, donde predominan los micro y pequeños propietarios.
Tabla 2 Participación del ingreso mixto en el VA sectorial (%) 2019 y 2022
| Colombia | Perú | |
| Agricultura, ganadería, caza, silvicultura y pesca | ||
| 2019 | 60.29 | 74.11 |
| 2022 | 70.13 | 76.97 |
| Minería | ||
| 2019 | 10.95 | 2.77 |
| 2022 | 9.42 | 0.34 |
| Colombia | Perú | |
| Manufactura | ||
| 2019 | 11.63 | 16.21 |
| 2022 | 13.29 | 16.74 |
| Electricidad, gas, agua y gestión de desechos | ||
| 2019 | 2.09 | 1.40 |
| 2022 | 2.93 | 1.37 |
| Construcción | ||
| 2019 | 38.60 | 18.59 |
| 2022 | 39.98 | 15.85 |
| Comercio, restaurantes y hoteles | ||
| 2019 | 35.51 | 45.60 |
| 2022 | 41.78 | 41.76 |
| Transporte y comunicaciones | ||
| 2019 | 22.94 | 39.91 |
| 2022 | 22.61 | 34.13 |
| Servicios financieros | ||
| 2019 | 1.74 | 0.35 |
| 2022 | 2.42 | 0.35 |
| Servicios empresariales | ||
| 2019 | 5.71 | 24.51 |
| 2022 | 4.51 | 23.56 |
| Otros servicios | ||
| 2019 | 26.42 | 13.25 |
| 2022 | 24.22 | 11.59 |
| Administración pública y defensa | ||
| 2019 | 3.78 | - |
| 2022 | 4.83 | - |
| Participación del ingreso mixto en el PIB (%) | ||
| 2019 | 19.18 | 22.16 |
| 2022 | 21.56 | 20.06 |
Fuente: elaboración propia con base en las cuentas nacionales del BCCh, DANE, INEGI e INEI.
Tabla 3 Participación del excedente de explotación en el VA sectorial (%) 2019 y 2022
| Chile*, ** | Colombia | México ** | Perú | |
| Agricultura, ganadería, caza, silvicultura y pesca | ||||
| 2019 | 72.99 | 14.64 | 83.93 | 10.59 |
| 2022 | 71.95 | 14.93 | 78.42 | 10.67 |
| Minería | ||||
| 2019 | 80.47 | 70.36 | 92.50 | 72.19 |
| 2022 | 89.46 | 79.09 | 91.93 | 84.35 |
| Manufactura | ||||
| 2019 | 60.55 | 52.63 | 77.07 | 54.77 |
| 2022 | 61.75 | 55.22 | 72.34 | 56.84 |
| Electricidad, gas, agua y gestión de desechos | ||||
| 2019 | 79.01 | 80.05 | 82.68 | 79.20 |
| 2022 | 74.63 | 82.38 | 85.16 | 78.42 |
| Construcción | ||||
| 2019 | 50.92 | 32.67 | 72.32 | 40.34 |
| 2022 | 49.63 | 23.48 | 74.87 | 50.43 |
| Comercio, restaurantes y hoteles | ||||
| 2019 | 38.45 | 20.20 | 85.11 | 24.29 |
| 2022 | 46.45 | 16.48 | 76.70 | 30.50 |
| Transporte y comunicaciones | ||||
| 2019 | 64.21 | 44.49 | 76.82 | 35.53 |
| 2022 | 61.51 | 41.80 | 73.90 | 37.98 |
| Servicios financieros | ||||
| 2019 | 30.25 | 55.59 | 74.87 | 68.27 |
| 2022 | 27.90 | 52.89 | 74.80 | 67.93 |
| Servicios empresariales | ||||
| 2019 | 55.08 | 13.25 | 42.41 | 36.50 |
| 2022 | 54.75 | 12.97 | 60.33 | 35.40 |
| Chile*, ** | Colombia | México ** | Perú | |
| Otros servicios | ||||
| 2019 | 47.21 | 50.86 | 64.58 | 37.54 |
| 2022 | 48.41 | 54.39 | 63.56 | 40.30 |
| Administración pública y defensa | ||||
| 2019 | 17.96 | 17.12 | 0.50 | 16.52 |
| 2022 | 18.35 | 17.75 | 0.49 | 15.50 |
| Participación del excedente de explotación en el PIB (%) | ||||
| 2019 | 47.80 | 34.15 | 68.53 | 37.20 |
| 2022 | 51.03 | 34.56 | 67.16 | 42.29 |
Notas: *la información de Chile del 2022 corresponde al año 2021; **el excedente de explotación en Chile y México incluye el ingreso mixto.
Fuente: elaboración propia con base en las cuentas nacionales del BCCh, DANE, INEGI e INEI.
En tanto en Colombia, la cuota de los ingresos mixtos es mayor en la minería, construcción y otros servicios. Por otra parte, entre 2019 y 2022 no sólo se incrementa la cuota de los ingresos mixtos en el sector agropecuario-pesca, sino también en la manufactura; sin embargo, hay reducciones en el transporte-comunicaciones, servicios empresariales y otros servicios. En el caso del comercio la cuota de los ingresos mixtos aumentó en Colombia y se redujo en Perú. En general, la cuota de los ingresos mixtos respecto al PIB subió entre 2019 y 2022 en Colombia, mientras que en Perú se redujo.
En la Tabla 3 se muestra lo ocurrido con el excedente de explotación donde sólo se podría comparar a Colombia y Perú, y por otra parte a Chile y México, que integran a los ingresos mixtos en el excedente de explotación. Al respecto, la cuota de los excedentes de explotación más los ingresos mixtos con relación a los va sectoriales mexicanos son en todos los sectores superiores a los niveles chilenos, excepto en la administración pública. Cabe destacar que la cuota del excedente de explotación más los ingresos mixtos respecto del PIB sube en Chile entre 2019 y 2022, especialmente por el crecimiento de las cuotas respecto al va sectoriales de la minería, manufactura, otros servicios y administración pública. Sin embargo, cae en general en México entre 2019 y 2022, excepto en los sectores de electricidad y construcción.
Por otra parte, la cuota de las ganancias respecto de los va sectoriales es mayor en Perú en los casos de la minería, manufactura, construcción, comercio, servicios financieros y servicios empresariales. Y es superior en Colombia en los sectores agropecuario -pesca, electricidad, transporte, otros servicios y administración pública. En el caso de la comparación entre Colombia y el Perú, la cuota de las ganancias respecto del PIB es mayor en la segunda economía que en la primera, pero en ambos casos se eleva entre 2019 y 2022.
Las Tablas 4 y 5 presentan la información relativa a la distribución personal del ingreso por deciles para el año base 2019 y diversos indicadores de la desigualdad en los ingresos para 2019 y 2022. En estos casos la información es nacional, ya que no existe data por deciles a nivel sectorial. En primer lugar, en la Tabla 4 se observa que el D1 de más bajos ingresos sólo tiene entre 0.9 y 1.4% del ingreso total, destacando las mayores participaciones en México, seguido por Perú, Chile y Colombia. En el caso de un decil intermedio como el D5 las participaciones en el ingreso total se ubican entre 4.7 y 6.1% del ingreso con una mayor cuota de México, seguido de Perú, Chile y Colombia. Por otra parte, en el decil de mayores ingresos estos fluctúan entre 37.1 y 48.9% del ingreso, destacando las mayores participaciones de Colombia y Chile, y las menores de México y Perú.
Tabla 4 Participación de los ingresos totales por deciles 2019 (% del total)
| Decil | Chile* | Colombia | México** | Perú |
| 1 | 0.92 | 0.87 | 1.33 | 1.01 |
| 2 | 1.65 | 2.19 | 2.63 | 1.84 |
| 3 | 2.26 | 3.23 | 3.72 | 2.79 |
| 4 | 3.71 | 4.28 | 4.78 | 3.93 |
| 5 | 5.04 | 4.68 | 6.02 | 5.36 |
| 6 | 7.09 | 5.38 | 7.45 | 7.23 |
| 7 | 7.74 | 7.25 | 9.12 | 9.59 |
| 8 | 10.84 | 9.42 | 11.69 | 12.80 |
| 9 | 15.27 | 13.77 | 15.85 | 18.32 |
| 10 | 45.48 | 48.93 | 37.40 | 37.13 |
Notas: *la Encuesta Suplementaria de Ingresos de Chile sólo abarca ingresos asalariados e ingresos mixtos en 2021 y 2022; **la Encuesta de Ingresos y Gastos de México para 2019 corresponde a 2018.
Fuente: elaboración propia con base en encuestas de hogares de las diferentes economías INE, DANE, INEGI e INEI.
Tabla 5 Indicadores de desigualdad de los ingresos totales 2019 y 2022
| Gini | Decil 10/ Decil 1 | Palma | Theil | |||
| Total | T1 | T2 | ||||
| Chile | ||||||
| 2019 | 0.55 | 49.49 | 5.32 | 0.50 | 0.08 | 0.42 |
| 2022 | 0.52 | 53.22 | 3.86 | 0.28 | 0.04 | 0.24 |
| Colombia | ||||||
| 2019 | 0.55 | 56.03 | 4.62 | 0.74 | 0.25 | 0.49 |
| 2022 | 0.54 | 47.55 | 4.58 | 0.67 | 0.21 | 0.46 |
| México | ||||||
| 2019 | 0.47 | 28.02 | 3.00 | 0.39 | 0.07 | 0.32 |
| 2022 | 0.49 | 35.58 | 3.86 | 0.36 | 0.07 | 0.29 |
| Perú | ||||||
| 2019 | 0.51 | 36.74 | 3.88 | 0.36 | 0.03 | 0.33 |
| 2022 | 0.46 | 26.20 | 2.76 | 0.37 | 0.03 | 0.34 |
Fuente: elaboración propia con base en encuestas de hogares de las diferentes economías INE, DANE, INEGI e INEI .
La información relativa a los diferentes indicadores de la desigualdad en los ingresos de la Tabla 5 no es del todo concluyente, ya que los resultados y conclusiones varían dependiendo del indicador considerado. En primer lugar, se debe anotar que de acuerdo con la microdata de las encuestas de los hogares México habría elevado sus niveles de desigualdad entre 2019 y 2022 de acuerdo con el Gini, la razón del D10/D1, el índice de Palma, pero se reduce al utilizar el Theil. Asimismo, de acuerdo con la razón D10/D1 Chile también habría incrementado sus niveles de desigualdad en los ingresos. De igual manera, Perú de acuerdo con Theil habría incrementado marginalmente su desigualdad intergrupos y total. Sólo Colombia habría reducido sus niveles de desigualdad según todos los indicadores presentados entre 2019 y 2022.
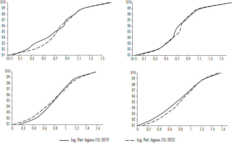
Las Figuras 1 y 2 son útiles para comparar tanto las estructuras de participación de los ingresos por deciles de las cuatro economías analizadas en el año base 2019, como las respectivas variaciones de las mismas participaciones para cada economía entre 2019 y 2022. Al igual que lo comentado con relación a la distribución funcional del ingreso, coexisten una historia común y muchos elementos explicativos particulares (Alarco, 2017). Asimismo, antes de abordar el análisis de estos resultados se debe anotar que en ambas figuras se ha optado por presentar las participaciones en el ingreso por deciles convertidas a logaritmos, ya que es una mejor forma para visualizar las diferencias entre las diferentes economías y años.

Nota: *la Encuesta de Ingresos y Gastos de México para 2019 corresponde a 2018.
Fuente: elaboración propia con base en encuestas de hogares de las diferentes economías INE, DANE, INEGI e INEI.
Figura 1 Participación de los ingresos totales por deciles 2019 (en Log)

Fuente: elaboración propia con base en encuestas de hogares de las diferentes economías INE, DANE, INEGI e INEI.
Figura 2 Participación del ingreso total por deciles 2019 y 2022
En la Figura 1 se observan las principales variantes en los patrones distributivos de cada economía en 2019. La economía mexicana muestra en general las mayores participaciones en los ingresos para los deciles de menores ingresos del D1 al D4. Chile, en cambio, muestra las menores participaciones en los ingresos entre los deciles D1 al D4, siendo superado negativamente entre los deciles D5 al D9 por Colombia. En el caso de Perú, los primeros deciles D1 al D4 están más cercanos a Chile con menores participaciones en el ingreso y del decil D6 al D9 las mejores participaciones en el ingreso del conjunto de países analizados. Como se ha señalado anteriormente, la mayor participación del ingreso del D10 se encuentra en Colombia, seguido por Chile, México y Perú.
Por otra parte, la Figura 2 muestra los cambios en los patrones distributivos de las cuatro economías entre 2019 y 2022 donde destacan, con la información oficial, los impactos de la pandemia por covid-19, de las políticas implantadas en cada país y del entorno internacional. Se observa un incremento de la participación de los ingresos de Chile del D2 al D6. En el caso de Colombia una mejora marginal en los D1 y D2 y en los deciles medios D5 y D6. En México se observa una mejora en los sectores medios y medios-altos del D6 al D9. En el caso de Perú refleja una mejora en la participación entre los D1 al D7 con una ligera pérdida en los deciles de altos ingresos del D8 al D10.
5. Niveles y evolución de los ingresos por deciles 2019-2022
Esta sección muestra lo ocurrido con los ingresos promedio por deciles durante 2019 y 2022. Para tal efecto se utilizan las estructuras derivadas de las encuestas de las cuatro economías seleccionadas -sin ajuste alguno- y el PIB de cada economía. Esta información permite evaluar no sólo lo ocurrido antes y después de la pandemia por covid-19, sino también comparar los ingresos anuales por deciles de las economías seleccionadas con los promedios de algunos otros países fuera de la región.
En la Tabla 6 se muestran los promedios estimados para una evaluación en corte transversal entre 2019 y 2022. Al respecto, los menores ingresos asociados al D1 en 2019 se observan en Colombia, seguido por Perú, Chile y México con los ingresos más elevados, pero que apenas superan los USD$112 mensuales. Con la información oficial a 2022 sólo crecen los ingresos de Colombia y Perú, mientras decrecen los de Chile y México. Por otra parte, a un nivel intermedio como el D5, los mayores ingresos se observan en Chile, México, Perú y Colombia en 2019, y para 2022 todos, excepto México, muestran mayores ingresos per cápita. En los deciles de medianos-altos ingresos del D7 al D9 se observa un incremento de los ingresos en todas las economías, incluido México. Por otra parte, en cuanto a los ingresos del D10 más rico destaca Chile con una gran distancia respecto de México, Colombia y Perú. Con la información oficial, la distancia entre el D10/D1 como un indicador de la desigualdad para 2022 es de 56.8 veces en Chile, 47.5 veces en Colombia, 35.6 veces en México y 26.2 veces en Perú.
Tabla 6 Evolución de los ingresos totales per cápita por deciles 2019 y 2022 (USD$, 2010=100)
| Chile* | Colombia | México** | Perú | |
| D1 | ||||
| 2019 | 1 259 | 559 | 1 351 | 662 |
| 2022 | 1 079 | 708 | 992 | 824 |
| D2 | ||||
| 2019 | 2 263 | 1 405 | 2 667 | 1 205 |
| 2022 | 3 311 | 1 560 | 2 081 | 1 540 |
| D3 | ||||
| 2019 | 3 139 | 2 071 | 3 766 | 1 829 |
| 2022 | 5 009 | 2 169 | 3 023 | 2 260 |
| D4 | ||||
| 2019 | 5 022 | 2 740 | 4 835 | 2 572 |
| 2022 | 6 350 | 2 917 | 4 128 | 3 207 |
| D5 | ||||
| 2019 | 7 054 | 2 995 | 6 090 | 3 512 |
| 2022 | 8 079 | 3 856 | 5 610 | 4 065 |
| D6 | ||||
| 2019 | 9 081 | 3 446 | 7 539 | 4 739 |
| 2022 | 7 928 | 4 101 | 7 046 | 5 153 |
| D7 | ||||
| 2019 | 11 505 | 4 641 | 9 229 | 6 279 |
| 2022 | 14 159 | 4 736 | 9 609 | 6 714 |
| D8 | ||||
| 2019 | 14 880 | 6 030 | 11 829 | 8 383 |
| 2022 | 15 294 | 6 147 | 12 031 | 8 506 |
| D9 | ||||
| 2019 | 21 063 | 8 818 | 16 045 | 11 997 |
| 2022 | 22 448 | 8 728 | 17 750 | 11 700 |
| D10 | ||||
| 2019 | 62 591 | 31 335 | 37 858 | 24 327 |
| 2022 | 61 240 | 33 656 | 35 290 | 21 583 |
| Promedio | ||||
| 2019 | 13 761 | 6 404 | 10 120 | 6 550 |
| 2022 | 14 358 | 6 858 | 9 756 | 6 555 |
Notas: * la Encuesta Suplementaria de Ingresos de Chile sólo abarca ingresos asalariados e ingresos mixtos en 2022; ** la Encuesta de Ingresos y Gastos de México para 2019 corresponde a 2018.
Fuente: elaboración propia con base en datos del BM (2024) y encuesta de hogares INE, DANE, INEGI e INE.
En las Figuras 3 y 4 se muestran los niveles de ingreso per cápita de los deciles D1 y del D10 comparados con algunas economías fuera de la región que tienen productos per cápita promedios cercanos a los del grupo de referencia. En el caso del D1 los ingresos de las cuatro economías de nuestra región tienen niveles promedio similares a las economías africanas como Etiopía, Malí y Togo. Sin embargo, cuando se hace referencia al D10 de más altos ingresos, la comparación es con economías desarrolladas como España, Portugal y los Países Bajos para Chile. Estas economías son una mixtura que comprende ciudadanos con ingresos promedio similares a las economías de más altos ingresos que coexisten con ciudadanos que viven a niveles de África. Si se consideraran los ciudadanos con ingresos promedios del D1 al D4, la referencia serían otras economías africanas como Angola, Cabo Verde y Ghana.

Fuente: elaboración propia con base en datos del BM (2024) y encuestas de hogares INE, DANE, INEGI e INEI.
Figura 3 Niveles de los ingresos totales per cápita del D1 entre 2019 y 2022 (USD$ 2010)

Fuente: elaboración propia con base en datos del BM (2024) y encuestas de hogares INE, DANE, INEGI e INEI
Figura 4 Niveles de los ingresos totales per cápita del D10 entre 2019 y 2022 (USD$ 2010)
En la Tabla 7 se muestran los resultados de los ingresos promedios por deciles de las cuatro economías analizadas entre 2019 y 2022, considerando el PIB de paridad de poder adquisitivo en USD$ a precios de 2011 calculados por el BM. Habrá que destacar que el poder adquisitivo de USD$1 es diferente en cada economía, dependiendo de los precios en moneda nacional y el tipo de cambio en cada momento del tiempo considerando la misma canasta de bienes a nivel global. También es importante señalar que la elaboración del índice toma como base a Estados Unidos. Por ejemplo, USD$100 permitiría adquirir los mismos bienes en la economía estadounidense, mientras que en Colombia se requerirían sólo USD$44, en México USD$48, en Perú USD$51 y en Chile USD$55 con el nivel de precios internos más elevado. Por otra parte, antes de comentar los resultados se debe acotar que el índice se aplica por igual a todos los deciles de cada una de las economías, ya que no existen índices por decil.
Tabla 7 Evolución de los ingresos totales per cápita por deciles entre 2019 y 2022 (PPA USD$, 2011=100)
| Chile | Colombia | México | Perú | |
| D1 | ||||
| 2019 | 2 270 | 1 276 | 2 767 | 1 287 |
| 2022 | 1 946 | 1 612 | 2 059 | 1 601 |
| D2 | ||||
| 2019 | 4 079 | 3 207 | 5 463 | 2 343 |
| 2022 | 5 969 | 3 553 | 4 321 | 2 995 |
| D3 | ||||
| 2019 | 5 659 | 4 727 | 7 715 | 3 556 |
| 2022 | 9 030 | 4 939 | 6 276 | 4 393 |
| D4 | ||||
| 2019 | 9 053 | 6 253 | 9 904 | 5 001 |
| 2022 | 11 448 | 6 643 | 8 571 | 6 236 |
| D5 | ||||
| 2019 | 12 718 | 6 836 | 12 475 | 6 829 |
| 2022 | 14 565 | 8 780 | 11 647 | 7 903 |
| D6 | ||||
| 2019 | 16 373 | 7 865 | 15 444 | 9 214 |
| 2022 | 14 293 | 9 340 | 14 629 | 10 019 |
| D7 | ||||
| 2019 | 20 742 | 10 593 | 18 905 | 12 208 |
| 2022 | 25 527 | 10 785 | 19 951 | 13 052 |
| D8 | ||||
| 2019 | 26 826 | 13 763 | 24 233 | 16 298 |
| 2022 | 27 573 | 13 997 | 24 979 | 16 536 |
| D9 | ||||
| 2019 | 37 974 | 20 125 | 32 868 | 23 325 |
| 2022 | 40 470 | 19 876 | 36 853 | 22 747 |
| D10 | ||||
| 2019 | 112 843 | 71 517 | 77 552 | 47 295 |
| 2022 | 110 407 | 76 643 | 73 269 | 41 961 |
| Promedio | ||||
| 2019 | 24 810 | 14 616 | 20 732 | 12 735 |
| 2022 | 25 886 | 15 617 | 20 255 | 12 744 |
Fuente: elaboración propia con base en datos del BM (2024) y encuesta de hogares INE, DANE, INEGI e INE.
Los resultados de la Tabla 7 difieren de la Tabla 6 en cuanto a los niveles absolutos, mientras que lo ocurrido entre 2019 y 2022 es similar. En el caso del D1 de más bajos ingresos el mayor poder de compra tanto en 2019 como 2020 se observa en México, Chile, Colombia y Perú. Los mayores ingresos nominales de Chile pierden en poder de compra respecto de México. Asimismo, los ingresos de los ciudadanos del D1 del Perú también pierden poder de compra respecto de los menores ingresos nominales de Colombia. Se puede ganar más, pero si los precios internos en USD$ son mayores, la capacidad de compra de los ciudadanos es menor. Sin embargo, a nivel intermedio del D5 tienen un mayor poder de compra los ciudadanos chilenos, seguidos ligeramente por México. Por otra parte, en este D5 el poder de compra de los colombianos es superior al de los peruanos. En el caso del D10, de nuevo la distancia entre los ingresos de los ciudadanos chilenos es claramente superior a México, seguido de Colombia y, finalmente, Perú.
En las Figuras 5 y 6 se muestran los resultados para los deciles D1 y D10 de las cuatro economías analizadas respecto de los PIB per cápita promedio de las economías cercanas fuera de la región. En el caso del D1 los ingresos son cercanos a los relativos a economías africanas, agregando ahora a Somalia. Por otra parte, cuando se hace referencia a los ingresos de D10, la comparación es con las economías desarrolladas de más altos ingresos del mundo como Alemania, Corea del Sur y Estados Unidos por el menor poder de compra de los USD$ en esas economías. Destaca también que los ciudadanos más ricos de Chile, que son parte del D10, tienen ingresos promedio cercanos a los de Singapur.

Fuente: elaboración propia con base en datos del BM (2024) y encuestas de hogares INE, DANE, INEGI e INEI.
Figura 5 Niveles de los ingresos totales per cápita del D1 entre 2019 y 2022 (PPA USD$, 2011=100)

Fuente:elaboración propia con base en datos del BM (2024) y encuestas de hogares INE, DANE, INEGI e INEI.
Figura 6 Niveles de los ingresos totales per cápita del D10 entre 2019 y 2022 (PPA USD$, 2011=100)
6. Conclusiones
El análisis sobre las cuotas de las remuneraciones, ingresos mixtos y ganancias a nivel de actividad económica y total de la economía muestra resultados interesantes. Lo anterior, ya que en algunos casos se determina una historia común, aunque predominan los elementos particulares de cada economía y lo ocurrido entre 2019 y 2022. De partida, la cuota de las remuneraciones en el PIB en 2019 es más reducida en México, respecto de Chile, Colombia y Perú. Por el contrario, el excedente de explotación (incluyendo a los ingresos mixtos) tiene en el año base los mayores niveles en México, mientras que en Chile son menores, Colombia y Perú. Asimismo, la cuota de los ingresos mixtos es mayor en Perú respecto de Colombia.
Un análisis sectorial para el año base muestra que el comercio y los servicios tienen en todas las economías los mayores niveles en la cuota de remuneraciones, mientras que la minería, la electricidad y agua presentan los más reducidos. En las otras actividades económicas se registran comportamientos diferenciados entre las economías en estudio. La mayor cuota de las remuneraciones en Chile, después de la observada en la administración pública para todos los países, se produce en el sector financiero, mientras que el sector agropecuario, silvicultura y pesca del Perú tiene los menores niveles de toda la región por la mayor presencia de la cuota de los ingresos mixtos. Como contrapartida, la mayor cuota de las ganancias se genera en la minería y en la electricidad.
Entre 2019 y 2022 subió en general la cuota de las remuneraciones respecto del PIB en México -donde contribuye el desempeño sectorial asociado probablemente a la política de salarios mínimos-; mientras disminuye en Chile, Colombia y el Perú; asimismo, mientras se eleva el excedente de explotación en estas últimas economías baja en México. La mayor cuota de las ganancias se explicaría en las tres primeras economías por la caída de la cuota de las remuneraciones en la minería, comercio, manufactura y otros servicios, a diferencia de México, donde sube en estos sectores. A la par, sube la cuota de los ingresos mixtos en Colombia y cae en Perú. Se debe anotar que, si bien la cuota de los ingresos mixtos sube en los países antes mencionados para el sector agropecuario, silvicultura-pesca, y en la manufactura en Perú se contrae en la construcción y los servicios.
Cuando se analiza la distribución personal del ingreso en 10 deciles se observa que el D1 de más bajos ingresos sólo tiene entre 0.9 y 1.4% del ingreso total, destacando las mayores participaciones en México, seguidos por Perú, Chile y Colombia. Por otra parte, en el caso del decil de más altos ingresos D10 estos fluctúan entre 37.1 y 48.9% del ingreso total, destacando las mayores participaciones de Colombia y Chile; y las menores de México y Perú. Por otra parte, la información relativa a los diferentes indicadores de la desigualdad en los ingresos no es del todo concluyente, ya que los resultados varían dependiendo del indicador considerado. En 2019 son desiguales, en orden descendente, para Chile, Colombia, Perú y México, pero hacia 2022 los indicadores de desigualdad se reducen en Colombia y ligeramente en Perú, mientras no se registran resultados categóricos en Chile y México.
Tanto los patrones distributivos de la distribución personal del ingreso por deciles en el año base como en 2022 no son similares. Por ejemplo, en 2019 la economía mexicana muestra en general las mayores participaciones en los ingresos para los deciles de menores ingresos del D1 al D4, mientras que en Chile es todo lo contario. Por otra parte, para 2022, por ejemplo, se observa un incremento de la participación de los ingresos de Chile del D2 al D6. En el caso de Colombia se muestra una mejora marginal en los D1 y D2 y en los deciles medios D5 y D6. En el caso de México una mejora en los sectores medios y medios-altos del D6 al D9. En el caso del Perú una mejora en la participación entre los D1 al D7 con una ligera pérdida en los deciles de altos ingresos del D8 al D10.
En la última sección del estudio se muestran los niveles de los ingresos promedio por deciles en USD$ constantes de 2010 y USD$ en paridad de poder adquisitivo de 2011. Al respecto, los menores ingresos asociados al D1 en 2019 se observan en Colombia, seguido por Perú, Chile y México con los ingresos más elevados que apenas superan los USD$112 mensuales. Asimismo, en cuanto a los ingresos del D10 más rico destaca Chile -con una gran distancia respecto de México, Colombia y Perú. Con la información oficial, la distancia entre el D10/D1 como un indicador de la desigualdad para 2022 es de 56.8 veces en Chile, 47.5 veces en Colombia, 35.6 veces en México y 26.2 veces en Perú.
Finalmente, debe destacarse que el D1 tiene niveles de ingresos similares al promedio de las economías africanas como Etiopía, Malí y Togo. Sin embargo, cuando se hace referencia al D10 de mayores ingresos, la comparación es con economías desarrolladas como España, Portugal y Países Bajos para Chile. En paridad de poder adquisitivo este decil se acerca a los ingresos promedio de Alemania, Corea del Sur y Estados Unidos, mientras que Chile se ubica alrededor de Singapur. Los ingresos promedio del D10 son similares a las economías de más altos ingresos a la par que coexisten con ciudadanos (D1) que viven a niveles africanos.










text in 


