I. Evaluación de programas sociales
La evaluación de programas sociales descansa sobre la idea fundamental de medir la eficiencia y la eficacia del gobierno en acciones particulares. González (2001) argumenta que todas las sociedades cuentan con la necesidad de evaluar la política pública ejercida por los gobiernos. No es, solamente, el mismo gobierno el que tiene esta necesidad, sino también la academia, los organismos internacionales y la sociedad en su conjunto. Los gobiernos de todos los países, al contar con recursos limitados, deben definir sus prioridades dentro del gasto gubernamental. Esta priorización de gastos, convertidos en programas sociales, busca que la política social genere impactos redistributivos que mejoren los indicadores de pobreza y desigualdad (Aedo, 2005), fundamentalmente en el contexto de países pobres o en desarrollo con resultados desfavorables en estos dos grandes males. Rawlings y Rubio (2003) plantean este dilema a partir del esbozo de preguntas de atención relevante: ¿cuáles son los problemas sociales más urgentes de una cierta sociedad?; ¿qué se hace en materia de política pública para enfrentarlos?, y ¿cuáles son los resultados de dicha política en la atención de aquellos problemas?
La evaluación busca dar respuesta a estas incógnitas y pretende cuantificar qué tan eficientes han sido las acciones diseñadas. Persigue el objetivo de evaluar si la política sirve o no, que tanto alcanzan los objetivos para los que se diseñaron y, fundamentalmente, identificar a quienes sirven para medir el grado en el que su costo se justifique (González, 2001, 23). Dentro de los instrumentos de política pública se encuentran los programas de transferencias redistributivas condicionadas que persiguen el objetivo de generar acumulación de capital humano como forma de destruir lo que se conoce como ciclos intergeneracionales de la pobreza, por medio de las transferencias de recursos para que los hogares en condiciones de pobreza y desigualdad puedan enviar de manera regular a sus hijos a la escuela o a centros de salud (Rawlings y Rubio, 2003). Este enfoque de intervención pública se conceptualiza desde el lado de la demanda, pues son los agentes individuales los que, con el ingreso transferido, deciden generar incrementos en la demanda de bienes y servicios y mejorar su situación particular. Aquí entra la discusión sobre si el programa está orientado a grupos poblacionales específicos o a toda la población en general. Este dilema se ha tratado en la bibliografía especializada como el de la dicotomía entre la focalización y la universalización (Paes y De Carvalho, 2004; Murayama, 2008).
En la evaluación de impacto de la política pública existen dos grandes enfoques, el de la evaluación ex ante y ex post. Particularmente, la evaluación ex post de los programas de transferencias directas se realiza con base en ciertos criterios, los cuales buscan medir el grado de eficiencia en la operación y el alcance de ellos. Las técnicas de evaluación de impacto se agrupan, tradicionalmente, en cinco: métodos de selección aleatoria, regresión discontinua, diferencias en diferencias, pareamiento (matching) y análisis de variables instrumentales. El problema fundamental de la evaluación de impacto radica en la existencia de inferencia causal, ya que los programas sociales se deben diseñar de forma tal que permita alcanzar ciertas metas en función de determinadas acciones de política. Con esto, se obtiene un resultado en función de ciertas causas que las impulsan. Por lo tanto, se tiene un problema de causa-efecto donde la pregunta fundamental es: ¿cuál es el impacto que genera un programa P sobre un resultado Y? La respuesta a dicha pregunta se alcanza de manera general por la fórmula general de evaluación de impacto (Gertler et al., 2011, p. 34)
α es el impacto causal, el cual se define como la diferencia entre el resultado obtenido con el programa y sin él. El punto álgido radica en el hecho de que el impacto causal debe ser medido en el mismo individuo en el mismo momento, de manera tal que no exista ningún factor externo que influya en el resultado. La idea es que el resultado se influencie única y exclusivamente por el programa en cuestión. En la práctica es imposible medir el resultado para el mismo individuo en dos situaciones diferentes en el mismo momento, es decir, ¿qué hubiera pasado con el individuo xi con y sin el programa? Este hecho se conoce como el problema del contrafactual porque no se cuenta con datos para determinar el resultado con y sin el programa. Por lo tanto, el problema del contrafactual se encuentra en la expresión, (Y | P = 0) la cual es una condición imposible de observar directamente. La estimación del contrafactual se realiza por medio de grupos de control o de comparación en los cuales se emplean los métodos antes mencionados para reproducir o imitar el contrafactual de la manera más precisa posible.
Los beneficiarios del programa y los grupos de control deben contar con ciertas características: 1) las características promedio deben ser las mismas; 2) deben reaccionar de la misma manera al programa, y 3) no deben estar expuestos a factores externos (Gertler et al., 2011, p. 38). Estos tres aspectos son de suma importancia para obtener una buena estimación del contrafactual y evitar obtener contrafactuales falsos o sesgados.
II. Antecedentes mexicanos de los programas con transferencias directas
En México existe una larga tradición por intentar evaluar el efecto de la política pública sobre el bienestar de la población. En general, los programas sociales de transferencias monetarias han constituido una herramienta de suma importancia en el combate a la pobreza y la desigualdad. Para identificar a los diferentes grupos poblacionales y caracterizar sus necesidades se desarrolló, en 1982, un estudio llamado Macroeconomía de las Necesidades Básicas Insatisfechas, realizado por la extinta Coordinación General del Plan Nacional de Zonas Deprimidas y Grupos Marginados (Coplamar). En él, se identificaron diversos grupos de poblaciones con diferentes necesidades al nivel de desagregación máximo existente, hasta ese momento, y con esto se pudieron estudiar las características socioeconómicas de las localidades en México.
Desde ese momento, la existencia de programas sociales focalizados, en general, y de aquellos que brindan transferencias directas, en particular, se constituyeron como una herramienta de gran utilidad en el combate a la pobreza y la desigualdad. En México, desde la publicación de indicadores socioeconómicos, se han diseñado diversos programas orientados a abatir condiciones de rezago socioeconómico. Desde los trabajos seminales de Coplamar, el gobierno de México comenzó a considerar que el problema de combate y disminución de la pobreza no es un problema que puede ser atacado, exclusivamente, a partir del desarrollo de políticas de crecimiento económico, fiscales, monetarias o sectoriales. Por el contrario, se reconoce ampliamente que incluso, en escenarios de crecimiento, la pobreza ha persistido y ha proliferado, como lo han demostrado, recientemente, investigaciones sobre crecimiento en favor de los pobres (crecimiento pro poor). Muchas de ellas evidencian que en diversos países y bajo diversos escenarios el crecimiento puede favorecer a la población más pobre (Ravallion y Datt 2002; Eastwood y Lipton 2011; Bourguignon 2004; Kakwani 2000; Duclos y Wodon 2004; Huesca y Arreola (2011); Hernández Laos 2009; Pérez-Méndez 2021; Pérez-Méndez 2022a; Pérez-Méndez 2022b).
Posterior al estudio de Coplamar, en el gobierno de Carlos Salinas de Gortari, se inició un programa general que se encargó de organizar un conjunto de programas de atención a la población en condición de pobreza. Se desarrolló un tipo de estrategia basada en metodologías que permitían la ubicación de los grupos poblacionales con mayores privaciones.
Desde sus inicios, los programas buscaban seguir reglas de focalización que orientaban su ejecución, las cuales estaban plasmadas en sus reglas de operación, y definían como población objetivo y prioritaria, a todo individuo que viviera en localidades consideradas de Alta y Muy Alta marginalidad, para lo que se desarrolló el índice de marginación construido por el Consejo Nacional de Población (Conapo) que refleja los distintos niveles de marginación y su distribución espacial (Pérez-Méndez, 2021) a lo largo y ancho del país.
A partir de los años noventa, se generalizaron los programas de atención focalizada de la pobreza a partir de estrategias específicas en cada una de las Secretarías. El beneficio de estos programas se puede rastrear con la información de la ENIGH y con las claves de ingreso asociadas a un cierto número de programas, aunque en general se cuentan con más de 180 programas sociales, los que brindan transferencias monetarias directas son un puñado capturado por las claves de ingreso de la encuesta. Por ejemplo, el programa Oportunidades comenzó a operar en 1997, contando con una cobertura inicial de 300,000 hogares y alcanzando, para 2002, 4´000,000 de hogares (Rawlings y Rubio, 2003, 15). Los resultados de la evaluación de este programa han sido analizados internacionalmente, pues mostró, por medio de criterios específicos de focalización, que el impacto sobre la población pobre fue significativo. En el caso de adolescentes en secundaria, el programa generó impactos diferenciados de 9.3 y 5.4 por ciento de aumento en la matrícula de niñas y niños, respectivamente (Rawlings y Rubio, 2003, 22). Este programa, en particular, ha beneficiado, bajo sus diferentes nombres, a más de seis millones de mexicanos y su excelente diseño con resultados probados ha ocasionado que se replique en más de 52 países.
Durante los años del periodo de estudio, 2016 a 2022, se generó un cambio de paradigma en la definición de la política pública de transferencias condicionales. Durante el gobierno de Enrique Peña Nieto se contaba con los siguientes programas de transferencias: “Prospera”, “Procampo”, “65 y Más”, “Adultos Mayores”, “Tarjeta SinHambre”, “Empleo Temporal” y “Otros Programas Sociales”. Al inicio del gobierno López Obrador se decidió reestructurar la política social. Se persiguió la premisa de sustituir los programas tradicionales por otros que, en un principio, carecían de reglas de operación. Al respecto, Jaramillo (2019) recopila los argumentos básicos sobre los que, de acuerdo con el gobierno del presidente López Obrador, descansaba la nueva política social. Se plantea como argumento central que los programas han transitado desde el enfoque de focalización al de universalización, aunque esto no es del todo cierto, y el cambio fundamental es que la operación de los programas descansaba en la existencia de intermediarios y condicionalidades que impedían que el beneficio llegará a las personas más necesitadas, siendo este uno de los argumentos más fuertes del gobierno y sobre el cual descansa en la idea de que los intermediarios actúan bajo criterios de corrupción.
Con el cambio en el diseño de la política social se redistribuyó por completo el gasto, así, el “El Programa para el Bienestar de las Personas Adultas Mayores” sustituyó al programa “65 y más”, las diferencias entre éstos son que el segundo se encontraba fuertemente focalizado hacia individuos que no contaban con ningún tipo de pensión, el primero es un programa de carácter universal e incrementó el monto de la transferencia de $1,160 a $2,550 bimestrales, además este programa se constituye como la insignia del nuevo paradigma social mexicano, pues acaparó 43 por ciento del presupuesto de 2020 (Jaramillo, 2019). El programa “Prospera” se desagregó en diferentes programas. El programa “Becas para el Bienestar Benito Juárez” correspondiente a educación primaria mantiene la focalización de “Prospera” actuando en localidades de extrema pobreza. Sin embargo, disminuyó el monto de la transferencia, pasando de $950 a $666 mensuales, además se eliminó la preferencia por sexo en los montos diferenciados. Jaramillo (2019, 6) propone cuatro características que definen el enfoque de política López Obradorista: 1) los programas sociales continúan siendo focalizados, pero bajo criterios opacos; 2) los programas actúan bajo el enfoque conocido como worfore que condiciona la obtención de la transferencia por un intercambio de trabajo, como en el caso de “Jóvenes Construyendo el Futuro”; 3) los programas aún tienen condicionales pero éstas se han concentrado en el gobierno, lo que podría opacar aún más la corrupción y por último, 4) se perdió el enfoque de género, olvidando que son las niñas que viven en localidades rurales de alta marginación las que cuentan con una menor probabilidad de salir de la pobreza y la marginación. Tanto el impacto como la evolución de estos programas se pueden rastrear en las ENIGH 2016, 2018, 2020 y 2022. En el caso de las últimas dos, correspondientes con el cambio de paradigma se pueden encontrar las siguientes transferencias: “Bienestar para las Familias de Educación Básica”, “Becas Benito Juárez para Jóvenes de Educación Media Superior”, “Becas de Jóvenes Escribiendo el Futuro de Educación Superior”, “Bienestar de las Personas Adultas Mayores”, “Bienestar de las Personas con Discapacidad”, “Bienestar de los Hijos con Madres Trabajadoras”, “Seguro de Vida para Jefas de Familia” y “Jóvenes Construyendo el Futuro”.
Ante este escenario conviene formular algunas preguntas de investigación con relación al cambio de paradigma: ¿las transferencias monetarias directas han disminuido la pobreza y la desigualdad del ingreso en menor o mayor medida que las políticas anteriores?, y si ¿las transferencias monetarias son progresivas o regresivas para la población pobre de México entre los años 2016 y 2022?
Por lo tanto, se pretende evaluar el impacto de la política pública sobre la pobreza y la desigualdad del ingreso, y comparar el diseño de las transferencias directas, analizando la progresividad o regresividad de éstas. Como hipótesis se esgrime que, en el caso de la primera pregunta, que la pobreza y la desigualdad han mostrado mejoría en el rendimiento de sus indicadores a partir del cambio de paradigma en el enfoque redistributivo, aunque en menor medida de lo esperado por la magnitud de los cambios. Es decir, se ha alcanzado una mejoría por la magnitud del gasto, sin embargo, se pudo hacer mejor con mejores diseños. Sobre la segunda pregunta, se esgrime que, derivado del mal diseño de la política, las transferencias son progresivas, no obstante, de manera equivocada en segmentos en los que no debería haber redistribución social, lo que ocasiona que los resultados observados se encuentren muy por debajo del potencial de la política.
III. Modelos de microsimulación como enfoque alternativo de evaluación de impacto
Con las técnicas tradicionales de evaluación de impacto es imposible medir el resultado para el mismo individuo en dos situaciones diferentes, en el mismo momento, por ello a continuación se plantea una propuesta de estimación del contrafactual basada en modelos de microsimulación económica siguiendo el enfoque de Bourguignon y Spadaro (2006). El objetivo es obtener un contrafactual, no de un grupo de control, sino, del mismo grupo de beneficiarios, por medio de la microsimulación del escenario en el que los beneficiarios no hubieran sido sujetos de participar en el programa. Con esto, se obtiene un contrafactual con un alto grado de exactitud, ya que se construye con base en el mismo grupo de unidades o individuos. Los modelos de microsimulación se han constituido como una herramienta de análisis de Política Pública (Spadaro, 2007). Existen diferentes enfoques para evaluar el impacto distributivo de la Política Pública. La Evaluación Ex-Ante o Ex-Post permite simular escenarios antes de aplicar o después de aplicar la política; la Microsimulación Estática o Dinámica, donde la primera estima efectos directos sobre los individuos para diferentes escenarios y la segunda requiere del modelado de ecuaciones de comportamiento que ajusten el proceso de toma de decisiones de los individuos. El enfoque de Equilibrio Parcial o de Equilibrio General, donde el segundo incluye el análisis de los efectos del cambio de comportamiento de los beneficiarios sobre otras variables, como el precio de los bienes relativos (Spadaro, 2007). Entre los trabajos más destacados se encuentran Siqueira et al. (2003) e Immervoll et al. (2006), quienes evalúan el sistema impositivo brasileño; Urzúa (1994, 2001) analiza el impacto sobre el bienestar social de reformas a los impuestos indirectos en México. Ahmad y Stern (1984) investigan los efectos de una reforma fiscal marginal sobre el bienestar de los hogares en México. Freije, Bando y Arce (2005), construyen modelos de microsimulación para evaluar el programa de asistencia social Oportunidades, y el de Huesca y Serrano (2005), que se diseñó para evaluar los impactos globales y desagregados de cambios en el régimen del Impuesto al Valor Agregado (IVA).
IV. Resultados del modelo de microsimulación
El proceso de microsimulación mostrado a continuación se realiza con base en la ENIGH versiones 2016, 2018, 2020 y 2022. Se seleccionaron variables de ingreso, dentro de las cuales se identificaron claves relacionadas con transferencias provenientes de programas sociales. Se obtuvieron variables observadas sobre el ingreso familiar y las transferencias de los programas sociales en sus diferentes etapas y se simularon variables sobre el ingreso familiar sin las transferencias. Estas últimas variables se obtuvieron por medio de un modelo de microsimulación estática al eliminar del ingreso familiar las transferencias sociales. Con esto, se obtiene un contrafactual con un grado alto de exactitud, el cual se representa por medio de la variable “ingreso familiar sin transferencias”. De esta manera se consigue que el grupo de tratamiento y el grupo de control sean exactamente el mismo y la variación en el resultado solamente depende de la participación o no en el programa social. Como se mencionó antes, en las encuestas 2016 y 2018 se tienen las siguientes transferencias: “Prospera”, “Procampo”, “65 y Más”, “Adultos Mayores”, “Tarjeta SinHambre”, “Empleo Temporal” y “Otros Programas Sociales” mientras que en las encuestas 2020 y 2022 se sustituyeron por: “Bienestar para las Familias de Educación Básica”, “Becas Benito Juárez para Jóvenes de Educación Media Superior”, “Becas de Jóvenes Escribiendo el Futuro de Educación Superior”, “Bienestar de las Personas Adultas Mayores”, “Bienestar de las Personas con Discapacidad”, “Bienestar de los Hijos con Madres Trabajadoras”, “Seguro de Vida para Jefas de Familia” y “Jóvenes Construyendo el Futuro”.
El primer instrumento empleado en el presente escenario de microsimulación es una curva de Lorenz, la cual mide el grado de desigualdad en el ingreso de la población seleccionada para los años propuestos, 2016 y 2022.
Las variables ictpc_2016, ictpc_2018, ictpc_2020 e ictpc_20221 representan el ingreso corriente total per cápita por miembro de hogar observado para los años seleccionados. Las variables ictpc_2016_sim, ictpc_2018_sim, ictpc_2020_sim e ictpc_2022_sim representan la simulación de los escenarios contrafactuales. En los primeros dos se eliminaron las transferencias diseñadas por el gobierno de Peña Nieto y sus antecesores, y en los segundos las transferencias de la 4T. En estas variables simuladas se han eliminado las transferencias de programas sociales en dos momentos en el tiempo, antes y después del cambio de paradigma. En este sentido, las variables simuladas representan el contrafactual de la política social. Por lo tanto, la diferencia entre el contrafactual y el escenario observado es igual a α = (Y | P = 1) - (Y | P = 0). Como es bien sabido, el índice de Gini se puede construir partiendo de la curva de Lorenz. Por lo tanto, para calcular el valor de α fue necesario construir el índice de Gini asociado a cada distribución y obtener sus diferencias. De manera preliminar, se puede observar en el Gráfico 1 que la política social no ha generado grandes cambios en la manera en la que se concentra la desigualdad, es decir, la ha mantenido casi inalterada. En la Tabla 1 se presentan los coeficientes de Gini de cada distribución, así como los coeficientes de las distribuciones simuladas, junto con sus diferencias. Se observa una disminución sostenida del grado de desigualdad medido por medio del Coeficiente de Gini, pasando de 0.49 a 0.45. Los coeficientes simulados arrojan resultados similares, mostrando que, en general, la política social disminuye el Gini en dos puntos base, aunque el cambio porcentual ha ido incrementando con los años.

Fuente: Elaboración propia con base en la ENIGH 2016, 2018, 2020 y 2022.
Gráfico 1 Curvas de Lorenz observadas. México 2016-2022.
Tabla 1 Evolución del coeficiente de Gini. México 2016-2022.
| Año | Gini observado | Gini simulado | Diferencia | Diferencia porcentual |
|---|---|---|---|---|
| 2016 | 0.4906 | 0.5126 | 0.022 | 4.5% |
| 2018 | 0.4776 | 0.4956 | 0.018 | 3.8% |
| 2020 | 0.4741 | 0.4945 | 0.0204 | 4.3% |
| 2022 | 0.4532 | 0.4768 | 0.0236 | 5.2% |
Fuente: Elaboración propia con base en la ENIGH 2016, 2018, 2020 y 2022.
El valor de α en términos de desigualdad del ingreso para 2016 es de 0.022, es decir, el impacto de la política social se refleja en una disminución de la desigualdad de 0.022 puntos. Dicho de otra manera, si no hubiera política social, la desigualdad en 2016 sería 2.2 por ciento más intensa. En contraste, en 2022 el valor de α es de 0.023, es decir, 2.3 por ciento más intenso que el observado. Al comparar las distribuciones de 2016 con la de 2022, se aprecia que la mejora se traduce en una disminución del coeficiente de Gini de 0.037 puntos; sin embargo, no se aprecia con claridad dominancia entre las curvas de Lorenz del Gráfico 1. Al respecto, es necesario emplear otro conjunto de instrumentos del análisis distributivo, como las curvas de Lorenz generalizadas, las cuales se aprecian en el Gráfico 2, demostrando que la curva de Lorenz generalizada del ingreso simulado de 2022 domina, aun sin las transferencias, considerablemente a las demás, mostrando una disminución en la desigualdad.

Fuente: Elaboración propia con base en ENIGH 2016, 2018, 2020 y 2022.
Gráfico 2 Curvas de Lorenz generalizadas. México 2016-2020.
El impacto de la política, en términos de pobreza, se aprecia por la microsimulación de las diferencias entre la tasa de pobreza observada y la simulada presentadas en la Tabla 2. Se aprecia que, tanto en la pobreza total como en la extrema,2 el impacto de la política social sobre las tasas de pobreza, tanto rural como urbana, oscila entre 0.58 y 1.83 por ciento. En el caso de la pobreza urbana total, el impacto de la política social disminuía la pobreza en 2016 en 813,228 individuos, mientras que en 2022 el impacto se cuantifica en 2´295,339 individuos. En el caso de la pobreza urbana extrema, pasó de 2´021,026 a 2´353,695 entre 2016 y 2022. En términos comparativos, la política social de la 4T es 2.8 veces más eficiente disminuyendo la pobreza urbana total, mientras que tan sólo 1.16 veces más efectiva en la pobreza urbana extrema. Desafortunadamente, no sucede el mismo escenario en el caso de la pobreza rural. Para la pobreza rural total se observa un impacto de 941,947 en 2016 y 1´112,847 en 2022. Más crítico es el caso de la pobreza rural extrema, en donde se estima un impacto de 2´159,747 en 2016 y una disminución en 2022 al pasar a tan sólo 1´744,779. Esta disminución no se resulta debido a que la población rural haya disminuido sino, por el contrario, a que el nuevo diseño de la política social no es tan efectivo en el combate a la pobreza extrema rural.
Tabla 2 Pobreza observada y simulada. México 2016, 2018, 2020 y 2022. Individuos y porcentajes.
| Ámbito | Pobreza | Pobreza simulada | Diferencia | Pobreza extrema | Pobreza extrema simulada | Diferencia | |
|---|---|---|---|---|---|---|---|
| 2016 | Urbana | 39.86% | 40.53% | 0.67% | 10.57% | 12.24% | 1.67% |
| 48,144,298 | 48,957,526 | 813,228 | 12,765,500 | 14,786,526 | 2,021,026 | ||
| Rural | 15.45% | 16.23% | 0.78% | 7.11% | 8.90% | 1.79% | |
| 18,656,156 | 19,598,103 | 941,947 | 8,590,882 | 10,750,629 | 2,159,747 | ||
| 2018 | Urbana | 38.16% | 38.74% | 0.58% | 9.45% | 10.73% | 1.28% |
| 47,251,512 | 47,968,726 | 717,214 | 11,703,361 | 13,282,182 | 1,578,821 | ||
| Rural | 15.59% | 16.19% | 0.60% | 6.11% | 7.60% | 1.50% | |
| 19,298,495 | 20,045,006 | 746,511 | 7,561,255 | 9,414,372 | 1,853,117 | ||
| 2020 | Urbana | 41.83% | 42.81% | 0.98% | 13.40% | 15.11% | 1.72% |
| 53,009,442 | 54,255,830 | 1,246,388 | 16,978,072 | 19,152,460 | 2,174,388 | ||
| Rural | 14.49% | 15.13% | 0.63% | 6.48% | 7.70% | 1.23% | |
| 18,369,388 | 19,172,586 | 803,198 | 8,207,892 | 9,761,907 | 1,554,015 | ||
| 2022 | Urbana | 33.54% | 35.32% | 1.78% | 8.67% | 10.50% | 1.83% |
| 43,220,318 | 45,515,657 | 2,295,339 | 11,175,113 | 13,528,808 | 2,353,695 | ||
| Rural | 13.52% | 14.38% | 0.86% | 5.50% | 6.85% | 1.35% | |
| 17,422,014 | 18,534,861 | 1,112,847 | 7,086,406 | 8,831,185 | 1,744,779 |
Fuente: Elaboración propia con base en ENIGH 2016, 2018, 2020 y 2022.
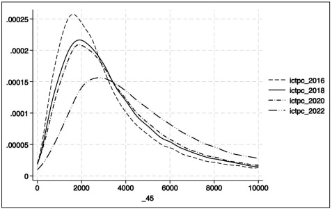
Para evaluar la manera en la que la política social modifica la distribución del ingreso, por medio de transferencias redistributivas, se muestra, en el Gráfico 3, las funciones de densidad del ingreso observado, mostrando que las transferencias han ocasionado un desplazamiento de la curva hacia la derecha y un incremento de la dispersión.

Fuente: Elaboración propia con base en ENIGH 2020.
Gráfico 3 Curvas de densidad del ingreso observado. México 2020.
Es necesario profundizar en este hallazgo, el de la disminución de la tasa de pobreza, el coeficiente de Gini y los desplazamientos de las curvas de distribución, por medio de la evaluación de la progresividad o regresividad implícita en el diseño y ejecución de la política de transferencias redistributivas. La progresividad de las políticas públicas tiene sus bases en los principios de equidad y justicia social. En la medida en la que la política beneficie a quien más lo merece, el efecto sobre la población será mayor. Por el contrario, si la política no es progresiva, sino regresiva, implica que se le brindan beneficios de redistribución a personas que no lo necesitan y el uso de presupuesto público no satisface las necesidades de la población en su conjunto. Una primera aproximación al análisis de la progresividad de las políticas públicas se realiza con base en las curvas de concentración de los ingresos provenientes de dichos programas. Si la curva se encuentra por encima de la recta de equidistribución, entonces la política es progresiva, de lo contrario será regresiva. Además, se espera que el comportamiento de la política sea acorde con una curva cóncava, desviaciones de estas curvas muestran fallas en el diseño y la implementación.
En el Gráfico 4, se han agrupado las políticas redistributivas por año, se aprecia, por la concavidad de las curvas de concentración, que la política anterior estaba correctamente diseñada, pues se encuentra por encima de la recta de equidistribución y es decreciente. La nueva política muestra deficiencias en el enfoque de progresividad ya que la parte baja de la distribución es regresiva al encontrarse por debajo de la curva de equidistribución, además el impacto es mucho menor en comparación con la política anterior.

Fuente: Elaboración propia con base en ENIGH 2016, 2018, 2020 y 2022.
Gráfico 4 Curvas de concentración política social redistributiva. México 2016-2022.
Para evaluar el efecto global de la progresividad de los programas se construyen las curvas de progresividad, las cuales son una herramienta tanto normativa como descriptiva para evaluar el impacto de una transferencia pública (Duclos y Araar, 2006). Sea una transferencia pública B y p proporciones de ingreso, la curva de concentración se define como:
CB (p) representa la proporción del total de la transferencia redistributiva recibida por la proporción p de la población. La curva de progresividad PR(p) se obtiene de la diferencia entre la curva de concentración de la transferencia y la curva de Lorenz del ingreso observado PR(p) = CB (p) - L(p). De acuerdo con Duclos y Araar (2006) y Huesca y Araar (2014), la progresividad se refleja en el comportamiento de la curva de progresividad. Existen dos enfoques para evaluarla: el enfoque de impuestos redistributivos (Tax Redistribution Approach TR) y el de ingresos redistributivos (Income Redistribution Approach IR). Siguiendo el enfoque de Huesca y Araar (2014), la transferencia B es IR progresiva, sí PR(p) = CB (p) - L(p) > 0 ∀ p ∈ [0,1].

Fuente: Elaboración propia con base en ENIGH 2016, 2018, 2020 y 2022.
Gráfico 5 Curvas de progresividad de programas sociales. México 2016-2022.
En el Gráfico 5 se aprecian las curvas de progresividad por año, mostrando que en los dos últimos años hay problemas de diseño, pues las curvas se cargan hacia la derecha, mostrando que la diferencia entre la curva de concentración y la curva de Lorenz es mayor en esos segmentos de la distribución. A pesar de que siguen siendo progresivas, todas las curvas son positivas, el diseño no es idóneo reflejando distorsiones en la parte baja de la distribución. Se esperaría que la curva estuviera más pronunciada en la parte baja de la distribución, reflejando una mayor redistribución hacia ese segmento de la población; sin embargo, sucede lo contrario.
Para evaluar, con mayor precisión, la mala progresividad de los programas mencionados se construyen curvas de participación deficitaria, que tradicionalmente se emplea para evaluar las diferencias entre el ingreso observado y el beneficio recibido por la transferencia DSB (p) = p - CB (p) y así conocer los percentiles en los que la redistribución genera distorsiones. El Gráfico 6 ilustra las curvas de participación deficitaria para la política redistributiva, reflejando que, en el caso del cambio de paradigma, una gran parte de los beneficios no se otorgan a personas ubicadas en la parte baja de la distribución. Como lo sugiere el impacto sobre la pobreza extrema rural.

Fuente: Elaboración propia con base en ENIGH 2020.
Gráfico 6 Curvas de participación deficitaria, política social. México 2016-2022.
Para evaluar la progresividad global de las transferencias se construyen los índices de progresividad de Reynolds-Smolensky, los cuales se basan en el enfoque IR (Income Redistribution Approach) y se construye como dos veces el área entre la curva de concentración CB (p) y la curva de Lorenz L(p). Estos índices son una medida global que permite evaluar si el programa en cuestión es progresivo o regresivo a lo largo de toda la distribución. Si el valor del índice RSB > 0 de transferencia es progresivo, de lo contrario sería regresiva. En la Tabla 3 se presentan los índices Reynolds-Smolensky, los cuales indican la progresividad de todos los programas; sin embargo, el 2016 es el más progresivo, perdiendo progresividad con los años y repuntando en el último.
Tabla 3 Índices de Progresividad. México 2020.
| Programa | Reynolds-Smolensky |
|---|---|
| Redistribución_2016 | 0.0564 |
| Redistribución_2018 | 0.0462 |
| Redistribución_2020 | 0.0416 |
| Redistribución_2022 | 0.0449 |
Fuente: Elaboración propia con base en ENIGH 2016, 2018, 2020 y 2022.
A la luz de estos resultados conviene preguntarse si la política social se encuentra bien distribuida entre la población. Se ha demostrado, por medio de instrumentos del análisis distributivo, que los nuevos programas sociales tienen problemas de diseño e implementación, así como de focalización y progresividad. La evaluación de impacto de los programas sociales estudiados se observa en la Tabla 4. En la columna A se muestra el impacto de la política redistributiva al contabilizar el número de individuos que reciben transferencias monetarias. Se muestra una tendencia al alza en el ámbito urbano, pasando de 6´009,413 en 2016 a 8´425,732 individuos en 2022. Por el contrario, en el ámbito rural, la tendencia es a la baja, pasando de 4´134,156 en 2016 a 3´823,623 individuos en 2022. En la columna B se identifican los individuos que reciben la transferencia y no se encuentran en situación de pobreza. La columna C muestra los individuos que aun recibiendo la transferencia no consiguen superar la condición de pobreza. En la columna D se muestran los individuos que sin la transferencia seguían siendo no pobres. En la columna E se encuentran los individuos que recibieron la transferencia y ésta les ayudó a superar la condición de pobreza.
Tabla 4 Impacto sobre la población pobre y no pobre. México 2016, 2018, 2020 y 2022. Individuos y porcentajes con respecto al total nacional.
| Año | Ámbito | Observadas | Simuladas | |||
|---|---|---|---|---|---|---|
| Impacto | Impacto sobre la población no pobre | Población pobre con transferencias | Población que no necesita la transferencia | Población que logró salir de la pobreza con la transferencia | ||
| A | B | C | D | E | ||
| 2016 | Urbana | 4.98% | 3.81% | 1.16% | 3.36% | 0.46% |
| 6,009,413 | 4,606,206 | 1,403,207 | 4,055,370 | 550,836 | ||
| Rural | 3.42% | 2.17% | 1.25% | 1.66% | 0.51% | |
| 4,134,156 | 2,624,038 | 1,510,118 | 2,008,291 | 615,747 | ||
| 2018 | Urbana | 4.40% | 3.36% | 1.04% | 3.00% | 0.36% |
| 5,448,813 | 4,162,100 | 1,286,713 | 3,712,460 | 449,640 | ||
| Rural | 3.39% | 2.31% | 1.08% | 1.88% | 0.43% | |
| 4,196,645 | 2,862,645 | 1,334,000 | 2,329,370 | 533,275 | ||
| 2020 | Urbana | 5.23% | 4.32% | 0.91% | 3.74% | 0.57% |
| 6,627,056 | 5,468,593 | 1,158,463 | 4,745,583 | 723,010 | ||
| Rural | 2.38% | 1.72% | 0.66% | 1.31% | 0.41% | |
| 3,013,536 | 2,178,381 | 835,155 | 1,663,117 | 515,264 | ||
| 2022 | Urbana | 6.54% | 5.69% | 0.85% | 5.04% | 0.65% |
| 8,425,732 | 7,332,552 | 1,093,180 | 6,490,521 | 842,031 | ||
| Rural | 2.97% | 2.27% | 0.70% | 1.79% | 0.48% | |
| 3,823,623 | 2,922,605 | 901,018 | 2,308,567 | 614,038 | ||
Fuente: Elaboración propia con base en ENIGH 2016, 2018, 2020 y 2022.
Este hallazgo es de suma importancia pues refleja que, si los programas tuvieran una mejor focalización, mejoraría la progresividad y disminuirían las tasas de pobreza y los índices de desigualdad.
Por último, hay indicios de que la política social se encuentra fuertemente sesgada hacia algunas entidades federativas, reflejando cierta predilección por entidades que no representan a la población más vulnerable. Al construir las curvas de concentración para toda la política de la 4T, pero diferenciando por entidad federativa, Gráfico 7, se encuentra que hay entidades en las que la progresividad se da de manera más intensa, incluso hay entidades en las que la redistribución se da entre los percentiles altos de la distribución. Sucede lo mismo con las curvas de participación deficitaria por entidad federativa, Gráfico 8, hay una distribución espacial sesgada de la redistribución del ingreso entre deciles y entre entidades.

Fuente: Elaboración propia con base en ENIGH 2020.
Gráfico 7 Curvas de concentración de 4T por entidad federativa. México 2020.

Fuente: Elaboración propia con base en ENIGH 2020.
Gráfico 8 Curvas de participación deficitaria 4T por entidad federativa. México 2020.
En la Tabla 5 se reproduce el ejercicio de evaluación de impacto para la población pobre y no pobre diferenciando por entidad federativa mostrando que, en efecto, hay entidades en las que se da prioridad al impacto de la política pública, siendo Guerrero, Oaxaca, Chiapas y Tabasco, los estados con el mayor porcentaje de individuos beneficiados. Al mismo tiempo, son el Estado de México y Veracruz los que reportan el mayor impacto en número de personas. De los resultados mostrados en la Tabla 5 el conjunto de datos relevantes se encuentra en la columna diferencia, la cual muestra la distancia entre la población que recibe beneficios y la población no pobre que si los recibe mostrando el impacto de la política pública sobre la población pobre por entidad federativa, donde el mejor impacto se da en Chiapas, Guerrero, Oaxaca, Puebla y Tabasco. En la Tabla 6 se presenta el impacto de la política sobre la desigualdad del ingreso por medio de una descomposición de la desigualdad por grupos. Se recurre a la descomposición de la familia de índices generalizados de entropía por entidad federativa. Se muestra el índice de Theil nacional, sus correspondientes valores por entidad federativa y los propios para la variable simulada del ingreso. Reflejando que, en la mayoría de los casos, la disminución en la desigualdad es tan sólo 2 por ciento, al igual que en el ámbito nacional, salvo en los casos de Oaxaca, Chiapas, Guerrero y Veracruz, donde el índice de Theil aumentó más de dos puntos. También se reporta el ingreso promedio de la entidad federativa como porcentaje del ingreso promedio nacional, tanto observado como simulado, mostrando que hubo casos excepcionales en los que el ingreso promedio de la entidad incluso disminuyó después de la redistribución como en el caso de Chihuahua, Nuevo León y Baja California Sur. Por último, se muestra la contribución relativa a la desigualdad, mostrando que es la Ciudad de México, el Estado de México y Nuevo León los que más aportan a la desigualdad global y Campeche, Colima y Tlaxcala los que menos.
Tabla 5 Pobreza observada y simulada por entidad federativa. México 2020.
| Entidad | Pobreza | Pobreza extrema | Pobreza simulada | Pobreza extrema simulada | Impacto general | Impacto sobre la población no pobre | Diferencia |
|---|---|---|---|---|---|---|---|
| Aguascalientes | 38.7% | 8.6% | 39.9% | 9.6% | 24.5% | 22.4% | 2.2% |
| 555,759 | 123,138 | 573,068 | 137,766 | 352,287 | 320,976 | 31,311 | |
| Baja California | 30.4% | 5.2% | 31.5% | 6.1% | 17.3% | 16.7% | 0.6% |
| 1,151,696 | 195,992 | 1,192,556 | 229,142 | 655,139 | 631,599 | 23,540 | |
| Baja California | 35.9% | 8.9% | 37.3% | 10.1% | 26.4% | 24.2% | 2.2% |
| 290,196 | 71,683 | 302,051 | 81,367 | 213,835 | 195,901 | 17,934 | |
| Campeche | 57.7% | 22.8% | 60.0% | 26.2% | 37.3% | 27.3% | 10.0% |
| 539,365 | 212,672 | 560,438 | 245,274 | 348,788 | 255,206 | 93,582 | |
| Chiapas | 78.8% | 44.1% | 80.7% | 50.1% | 46.7% | 25.1% | 21.6% |
| 4,401,442 | 2,466,438 | 4,506,910 | 2,800,414 | 2,610,897 | 1,404,483 | 1,206,414 | |
| Chihuahua | 37.7% | 9.0% | 38.8% | 10.0% | 18.1% | 16.0% | 2.1% |
| 1,417,091 | 337,180 | 1,461,984 | 375,706 | 681,983 | 602,014 | 79,969 | |
| Ciudad de México | 43.8% | 11.8% | 45.4% | 14.0% | 29.0% | 26.5% | 2.5% |
| 4,043,853 | 1,089,209 | 4,190,372 | 1,294,979 | 2,681,279 | 2,446,317 | 234,962 | |
| Coahuila | 40.2% | 8.9% | 41.2% | 9.9% | 18.5% | 17.1% | 1.5% |
| 1,273,456 | 282,682 | 1,306,313 | 314,725 | 587,291 | 540,825 | 46,466 | |
| Colima | 33.8% | 6.3% | 36.1% | 8.1% | 27.5% | 25.7% | 1.8% |
| 248,053 | 45,930 | 264,852 | 59,160 | 201,678 | 188,432 | 13,246 | |
| Durango | 51.1% | 14.0% | 53.0% | 16.3% | 29.6% | 25.5% | 4.1% |
| 944,437 | 259,492 | 979,833 | 301,977 | 547,468 | 472,314 | 75,154 | |
| Guanajuato | 51.1% | 11.9% | 53.1% | 14.0% | 26.4% | 23.2% | 3.2% |
| 3,169,473 | 734,566 | 3,291,205 | 867,498 | 1,638,642 | 1,438,398 | 200,244 | |
| Guerrero | 70.4% | 34.9% | 73.3% | 40.9% | 52.8% | 33.0% | 19.8% |
| 2,505,864 | 1,240,187 | 2,607,809 | 1,456,819 | 1,880,009 | 1,174,859 | 705,150 | |
| Hidalgo | 57.2% | 16.9% | 60.1% | 21.4% | 37.8% | 29.8% | 8.0% |
| 1,770,489 | 522,375 | 1,860,265 | 663,312 | 1,168,585 | 920,787 | 247,798 | |
| Jalisco | 41.2% | 7.4% | 42.8% | 8.9% | 21.0% | 19.1% | 1.9% |
| 3,451,021 | 620,841 | 3,583,837 | 744,407 | 1,756,918 | 1,600,411 | 156,507 | |
| Michoacán | 49.9% | 14.5% | 51.8% | 17.2% | 33.1% | 28.1% | 5.0% |
| 2,389,514 | 694,736 | 2,485,318 | 826,401 | 1,585,257 | 1,347,372 | 237,885 | |
| Morelos | 60.1% | 20.1% | 61.6% | 22.9% | 28.4% | 23.3% | 5.1% |
| 1,186,581 | 396,735 | 1,216,513 | 451,958 | 560,147 | 460,169 | 99,978 | |
| México | 60.6% | 19.5% | 61.8% | 20.7% | 20.7% | 17.1% | 3.6% |
| 10,357,257 | 3,322,753 | 10,550,793 | 3,539,445 | 3,532,476 | 2,916,029 | 616,447 | |
| Nayarit | 37.5% | 9.7% | 39.5% | 11.4% | 28.5% | 25.8% | 2.7% |
| 464,001 | 120,452 | 489,053 | 141,272 | 353,240 | 319,757 | 33,483 | |
| Nuevo León | 35.7% | 7.3% | 37.1% | 8.2% | 20.4% | 19.0% | 1.4% |
| 2,087,751 | 430,037 | 2,170,565 | 483,114 | 1,196,149 | 1,111,778 | 84,371 | |
| Oaxaca | 64.1% | 28.7% | 66.5% | 34.4% | 48.4% | 33.0% | 15.4% |
| 2,671,240 | 1,196,864 | 2,771,628 | 1,433,947 | 2,016,151 | 1,373,150 | 643,001 | |
| Puebla | 69.9% | 26.2% | 71.0% | 30.0% | 34.5% | 24.4% | 10.1% |
| 4,634,071 | 1,737,174 | 4,704,532 | 1,985,808 | 2,283,421 | 1,614,155 | 669,266 | |
| Querétaro | 39.9% | 8.4% | 41.1% | 9.5% | 23.1% | 21.2% | 1.9% |
| 956,127 | 200,719 | 985,500 | 227,860 | 553,986 | 507,360 | 46,626 | |
| Quintana Roo | 57.0% | 23.1% | 58.4% | 25.1% | 24.4% | 17.5% | 7.0% |
| 1,071,401 | 434,731 | 1,098,216 | 471,019 | 459,580 | 328,536 | 131,044 | |
| San Luis Potosí | 51.5% | 17.8% | 53.7% | 21.3% | 34.6% | 26.3% | 8.3% |
| 1,459,888 | 504,451 | 1,521,123 | 603,419 | 980,131 | 745,583 | 234,548 | |
| Sinaloa | 36.2% | 6.6% | 39.1% | 9.1% | 34.0% | 31.8% | 2.2% |
| 1,101,814 | 199,400 | 1,189,497 | 275,817 | 1,034,337 | 967,742 | 66,595 | |
| Sonora | 40.1% | 10.1% | 41.9% | 11.6% | 27.3% | 24.6% | 2.7% |
| 1,186,291 | 298,391 | 1,237,639 | 342,843 | 805,886 | 727,473 | 78,413 | |
| Tabasco | 59.7% | 22.5% | 61.9% | 27.3% | 39.9% | 30.5% | 9.4% |
| 1,441,040 | 542,349 | 1,496,349 | 658,300 | 963,958 | 737,635 | 226,323 | |
| Tamaulipas | 48.3% | 12.7% | 49.9% | 14.2% | 25.1% | 21.7% | 3.3% |
| 1,705,943 | 446,982 | 1,761,350 | 502,366 | 884,920 | 767,623 | 117,297 | |
| Tlaxcala | 68.7% | 27.7% | 70.5% | 31.2% | 31.8% | 23.9% | 7.9% |
| 927,646 | 374,092 | 951,935 | 421,463 | 429,014 | 322,120 | 106,894 | |
| Veracruz | 64.5% | 24.4% | 66.8% | 29.5% | 38.2% | 28.0% | 10.2% |
| 5,230,625 | 1,978,103 | 5,415,214 | 2,390,191 | 3,092,491 | 2,268,627 | 823,864 | |
| Yucatán | 58.6% | 21.4% | 61.0% | 25.5% | 36.2% | 27.8% | 8.4% |
| 1,369,504 | 499,730 | 1,426,978 | 595,112 | 845,938 | 649,546 | 196,392 | |
| Zacatecas | 54.3% | 17.0% | 56.4% | 20.4% | 30.1% | 26.0% | 4.1% |
| 884,564 | 277,152 | 918,192 | 332,238 | 490,237 | 423,271 | 66,966 | |
| Total | 52.8% | 17.2% | 54.5% | 19.9% | 29.5% | 23.5% | 6.0% |
| 66,887,453 | 21,857,236 | 69,071,888 | 25,255,119 | 37,392,118 | 29,780,448 | 7,611,670 |
Fuente: Elaboración propia con base en ENIGH 2020.
Tabla 6 Descomposición de la desigualdad por entidad federativa. México 2020.
| Entidad | Índice de Theil | Porcentaje del ingreso nacional promedio | Contribución relativa a la desigualdad | |||
|---|---|---|---|---|---|---|
| Observado | Simulado | Observado | Simulado | Observado | Simulado | |
| Aguascalientes | 0.281 | 0.290 | 116% | 117% | 0.90% | 0.89% |
| Baja California | 0.433 | 0.440 | 146% | 148% | 4.58% | 4.50% |
| Baja California Sur | 0.345 | 0.356 | 136% | 138% | 0.73% | 0.73% |
| Campeche | 0.391 | 0.418 | 93% | 93% | 0.66% | 0.66% |
| Coahuila | 0.283 | 0.292 | 117% | 118% | 2.02% | 2.00% |
| Colima | 0.303 | 0.315 | 131% | 131% | 0.56% | 0.56% |
| Chiapas | 0.430 | 0.481 | 54% | 52% | 2.50% | 2.56% |
| Chihuahua | 0.463 | 0.476 | 132% | 134% | 4.44% | 4.39% |
| Ciudad de México | 0.376 | 0.391 | 127% | 128% | 8.51% | 8.45% |
| Durango | 0.652 | 0.677 | 102% | 102% | 2.37% | 2.35% |
| Guanajuato | 0.272 | 0.286 | 92% | 92% | 2.97% | 2.98% |
| Guerrero | 0.358 | 0.402 | 64% | 62% | 1.57% | 1.62% |
| Hidalgo | 0.300 | 0.326 | 81% | 79% | 1.44% | 1.47% |
| Jalisco | 0.308 | 0.319 | 114% | 115% | 5.65% | 5.61% |
| México | 0.447 | 0.460 | 93% | 94% | 13.73% | 13.57% |
| Michoacán | 0.319 | 0.342 | 94% | 94% | 2.77% | 2.81% |
| Morelos | 0.331 | 0.349 | 87% | 86% | 1.09% | 1.09% |
| Nayarit | 0.307 | 0.323 | 115% | 115% | 0.84% | 0.84% |
| Nuevo León | 0.453 | 0.463 | 147% | 148% | 7.48% | 7.36% |
| Oaxaca | 0.384 | 0.428 | 72% | 70% | 2.20% | 2.27% |
| Puebla | 0.391 | 0.418 | 74% | 73% | 3.68% | 3.71% |
| Querétaro | 0.339 | 0.350 | 119% | 120% | 1.86% | 1.84% |
| Quintana Roo | 0.426 | 0.447 | 96% | 96% | 1.47% | 1.48% |
| San Luis Potosí | 0.383 | 0.410 | 94% | 93% | 1.95% | 1.97% |
| Sinaloa | 0.301 | 0.318 | 117% | 117% | 2.06% | 2.07% |
| Sonora | 0.365 | 0.379 | 130% | 131% | 2.71% | 2.69% |
| Tabasco | 0.388 | 0.422 | 84% | 83% | 1.51% | 1.54% |
| Tamaulipas | 0.379 | 0.392 | 109% | 109% | 2.80% | 2.77% |
| Tlaxcala | 0.283 | 0.302 | 69% | 68% | 0.51% | 0.51% |
| Veracruz | 0.320 | 0.350 | 73% | 72% | 3.65% | 3.71% |
| Yucatán | 0.436 | 0.465 | 96% | 95% | 1.87% | 1.89% |
| Zacatecas | 0.503 | 0.528 | 92% | 92% | 1.46% | 1.44% |
| Within | 92.55% | 92.33% | ||||
| Between | 7.43% | 7.67% | ||||
| Nacional | 0.410272 | 0.430964 | 100% | 100% | ||
Fuente: Elaboración propia con base en ENIGH 2020.
Por último, se reportan los índices de progresividad Reynolds-Smolenksy de la 4T por entidad federativa, Tabla 7, demostrando que la política, en general, es progresiva, aunque con preferencia en ciertas entidades. Se aprecia que Jóvenes Construyendo el Futuro no reporta efectos progresivos, pues la mayoría de los índices para las entidades son cercano a 0. Por el contrario, Adultos Mayores reportan mayor progresividad en San Luis Potosí, Hidalgo, Campeche y Oaxaca. De manera agregada, toda la política 4T es progresiva en Tabasco, Guerrero, Oaxaca y Campeche. Es importante destacar el caso de Tabasco que aunque se encuentra en las entidades con mayor impacto progresivo de la 4T no se encuentra entre los más altos para las tasas de pobreza (59.7 y 22.5 por ciento en pobreza total y extrema, respectivamente), tampoco se encuentra entre los más desiguales con un índice de Theil menor al nacional (0.38), su ingreso promedio se encuentra ligeramente debajo del promedio nacional (84 por ciento), a pesar de esto, 39.9 por ciento de su población recibe transferencias gubernamentales, de las cuales tan sólo 9.4 por ciento se encuentra por debajo de las líneas de pobreza.
Tabla 7 Índices de Progresividad: 4T, Jóvenes Construyendo el Futuro y Adultos Mayores. México 2020.
| Entidad | 4T | JCF | PAM |
|---|---|---|---|
| Baja California Sur | 0.01 | 0.00 | 0.01 |
| Chihuahua | 0.02 | 0.00 | 0.01 |
| Coahuila | 0.02 | 0.00 | 0.01 |
| Nuevo León | 0.02 | 0.00 | 0.01 |
| Aguascalientes | 0.02 | 0.00 | 0.01 |
| Querétaro | 0.02 | 0.00 | 0.01 |
| México | 0.02 | 0.00 | 0.01 |
| Baja California | 0.02 | 0.00 | 0.01 |
| Jalisco | 0.02 | 0.00 | 0.02 |
| Ciudad de México | 0.03 | 0.00 | 0.02 |
| Tamaulipas | 0.03 | 0.00 | 0.01 |
| Sonora | 0.03 | 0.00 | 0.02 |
| Colima | 0.03 | 0.00 | 0.02 |
| Nayarit | 0.03 | 0.00 | 0.02 |
| Guanajuato | 0.03 | 0.00 | 0.02 |
| Durango | 0.03 | 0.00 | 0.02 |
| Morelos | 0.03 | 0.00 | 0.02 |
| Sinaloa | 0.04 | 0.00 | 0.02 |
| Zacatecas | 0.04 | 0.00 | 0.02 |
| Tlaxcala | 0.04 | 0.00 | 0.02 |
| Quintana Roo | 0.04 | 0.01 | 0.01 |
| Michoacán | 0.04 | 0.00 | 0.02 |
| Yucatán | 0.05 | 0.00 | 0.02 |
| Puebla | 0.05 | 0.00 | 0.02 |
| Chiapas | 0.05 | 0.01 | 0.02 |
| San Luis Potosí | 0.06 | 0.00 | 0.03 |
| Veracruz | 0.06 | 0.00 | 0.02 |
| Hidalgo | 0.06 | 0.00 | 0.03 |
| Tabasco | 0.06 | 0.01 | 0.02 |
| Guerrero | 0.08 | 0.00 | 0.02 |
| Oaxaca | 0.08 | 0.00 | 0.04 |
| Campeche | 0.09 | 0.01 | 0.03 |
Fuente: Elaboración propia con base en ENIGH 2020.
Conclusiones
Los programas sociales de transferencias directas, aunque han sido ampliamente benéficos para la población y el desarrollo de los pueblos, se han utilizado, bajo diferentes perspectivas, como instrumento clientelar. Con el cambio de paradigma del gobierno del presidente López Obrador se postula que la nueva política social ha cambiado para mejorar las condiciones de la población más vulnerable de México. Por medio de la propuesta de una metodología alternativa de evaluación de impacto, basada en Modelos de Microsimulación, se analizó si el efecto de las transferencias directas mejora las condiciones de pobreza y desigualdad del ingreso en México entre los años 2016 y 2022. Por medio de una inspección de los cambios en los argumentos administrativos y con modelos y variables de simulación, fue posible corroborar las hipótesis propuestas en esta investigación. Se demostró que el impacto de la política pública de transferencias directas del gobierno de López Obrador no disminuye considerablemente las tasas de pobreza, tampoco mejora la desigualdad del ingreso ni el bienestar social, pues, sin importar el gobierno en turno, la política redistributiva disminuye las tasas de pobreza, aproximadamente, en dos puntos porcentuales. Se demuestra que los programas de transferencias directas, al abandonar los criterios de focalización con los que se diseñaron, ocasionan distorsiones en los efectos redistributivos, disminuyendo su progresividad. También se ha demostrado que esta pérdida de focalización se ha sustituido por asignación espacial hacia ciertas entidades federativas y hacia individuos que no se encuentran en situación de pobreza y vulnerabilidad, ocasionando que una gran cantidad de recursos públicos no se destinen de la manera socialmente más eficiente. En términos de eficiencia en el uso de los recursos públicos el gobierno debería replantear la estrategia de combate a la pobreza y la desigualdad poniendo un mayor empeño en identificar a los individuos en condiciones de pobreza y retomar criterios de focalización que permitan optimizar el uso de los recursos públicos.










text new page (beta)



