INTRODUCCIÓN
Las estructuras civiles, como los edificios de gran altura, son siempre susceptibles de sufrir cargas sísmicas y de viento. Bajo estas excitaciones, pueden producirse desplazamientos y aceleraciones excesivas en la parte superior de los edificios, causando molestias a los usuarios. En otras circunstancias, cuando las excitaciones son lo suficientemente intensas, pueden producirse daños estructurales, incluyendo eventos catastróficos. Por estas razones, es esencial tomar medidas para controlar las vibraciones excesivas y evitar así desastres. El amortiguador de masa resonante (AMR) es una tecnología que se ha utilizado tradicionalmente para suprimir y controlar pasivamente las vibraciones en estructuras (e.g., Den Hartog 1947, Vickery et al. 1970, Petersen 1980, Esteva 1993, Campbell 1995, Soto-Brito y Ruiz 1999, Ghorbani-Tanha et al. 2009, Lu y Chen 2011a, Lu y Chen 2011b, Lu et al. 2014). Sin embargo, el espectro de frecuencias con el que el AMR puede funcionar correctamente es limitado. Otra opción con bandas de frecuencia de supresión más amplias es el amortiguador de partículas (AP). Los amortiguadores de partículas son dispositivos de control pasivo, que aprovechan la disipación de energía mediante colisiones entre partículas, fricción y radiación de sonido para atenuar las vibraciones (Masri y Ibrahim 1973, Lu et al. 2014). Las aplicaciones de estos dispositivos abarcan muchos y variados campos, ya que esta tecnología exige bajos costos de fabricación, puede adaptarse a casi cualquier geometría y no se ve fuertemente afectada por las condiciones ambientales, en particular la temperatura, que puede tener efectos adversos en el rendimiento de los materiales viscoelásticos que suelen utilizarse para el aislamiento y la amortiguación de vibraciones (e.g., Masri e Ibrahim 1973, Bryce et al. 2000, Hu et al. 2008, Sims et al. 2005, Li y Darby 2006, Papalou y Masri 1996, Papalou y Strepelias 2014, Inoue et al. 2011, Sánchez y Carlevaro 2013, Yan et al. 2020).
Hasta ahora, sin embargo, la investigación sobre la eficacia de los AP en el control de la respuesta estructural debida a los terremotos se encuentra todavía en una fase temprana de desarrollo teórico y experimental (Lu et al. 2018a, Lu et al. 2020). En consecuencia, solo se pueden encontrar unos pocos ejemplos de aplicación práctica (Ogawa et al. 1997, Naeim et al. 2011) y, en cambio, se ha publicado una cantidad considerable de investigación básica centrada en la atenuación de las vibraciones estructurales. Por ejemplo, Sánchez y Carlevaro (2013) realizaron un análisis dinámico no lineal de un modelo mecánico de un solo grado de libertad (1GDL) con un amortiguador de partículas; y así obtuvieron el tamaño de espacio óptimo entre las partículas y las paredes del contenedor para el mejor desempeño del amortiguamiento granular. Lu et al. (2018b) realizaron un estudio paramétrico experimental para evaluar el rendimiento de un marco de acero de un piso equipado con un AP; y de esta manera, también desarrollaron un método numérico simplificado para diseñar de manera óptima el amortiguador de partículas. De forma similar a este estudio, hay muchos trabajos en los que la respuesta acoplada de sistemas elásticos con los AP es el objetivo central de investigación (Lu et al. 2016, 2017, 2018b, 2021). Los resultados de estos trabajos muestran que, en general, los AP instalados en sistemas elásticos son eficaces para reducir el desplazamiento máximo de piso; además, las fuerzas internas en un marco con los AP pueden ser significativamente menores a aquellas en un marco sin amortiguadores de este tipo.
Por lo tanto, aquí planteamos la hipótesis de que las aceleraciones y desplazamientos estructurales inducidos por excitaciones sísmicas de banda estrecha se reducen significativamente al colocar un AP, además, estas reducciones pueden ser similares al usar un AMR. En consecuencia, primero estudiamos la respuesta sísmica de un sistema de un grado de libertad (1GDL) para tres configuraciones: 1) un sistema de 1GDL simple; 2) un sistema de 1GDL con amortiguador de masa resonante y 3) un sistema de 1GDL con amortiguador de partícula.
A continuación, se analizan las respuestas de marcos lineales de 11 y 17 plantas con AP y con AMR, y sin ellos, considerando los parámetros de diseño apropiados que se encontraron previamente analizando las tres configuraciones con el sistema 1GDL. El estudio considera movimientos sísmicos de banda estrecha registrados en dos sitios ubicados en la Ciudad de México, que se sabe que generan una cantidad significativa de contenido de energía dentro de un rango estrecho de períodos estructurales (Teran-Gilmore y Jirsa, 2007). Cuando los sistemas estructurales están sujetos a movimientos sísmicos de banda estrecha y de larga duración, su capacidad para disipar energía disminuye a medida que el período estructural tiende a cero. La cantidad de entrada de energía a los sistemas estructurales debido a los movimientos de banda estrecha del suelo es sustancial, en comparación con la energía introducida por los movimientos de banda ancha (Teran-Gilmore y Jirsa, 2007). Por lo tanto, este estudio permite evaluar la eficacia de los AP en edificios para reducir la respuesta lateral sujeta a excitaciones sísmicas de banda estrecha.
Los hallazgos obtenidos a partir del análisis de la respuesta estructural de los edificios en la Ciudad de México durante eventos sísmicos devastadores, tales como los terremotos ocurridos en 1985 y 2017, necesitan ser confrontados y validados a través de experimentos. Esto es fundamental para desarrollar directrices que permitan la aplicabilidad de los AP y para definir con precisión sus parámetros de diseño.
DESCRIPCIÓN DEL PROCEDIMIENTO
La efectividad de las estructuras bajo excitaciones sísmicas de banda estrecha se describe en dos partes: (i) evaluación de la respuesta dinámica inducida por el sismo en sistemas de 1GDL con AP y AMR y sin ellos; y (ii) determinación de la respuesta lateral de marcos de 11 y 17 pisos con los dispositivos de control pasivo y sin ellos. Estas etapas previas se detallan a continuación.
Características de los sistemas de 1GDL
La respuesta de un sistema de 1GDL se estudia aquí para tres configuraciones: (1) un sistema de 1GDL sin amortiguadores; (2) un sistema de 1GDL con AMR; y (3) un sistema de 1GDL con AP (Fig. 1). Cabe hacer notar que en la Figura 1 también se muestran fotografías de un sistema de amortiguación de partículas instalado en un edificio en Santiago de Chile (Lu et al. 2012). El sistema funcionó muy bien durante el terremoto de 2010 en Maule, Chile y el edificio no sufrió ningún daño por encima del suelo o en cualquier piso subterráneo o paredes del sótano. En este estudio, un AMR es un dispositivo de control pasivo agregado a la parte superior del sistema, que consiste en una masa suspendida en una cuerda o barra pendular, sintonizada a cierta frecuencia natural del sistema. De esta manera, parte de la energía cinética de la estructura principal se transfiere a la masa suspendida (e.g., Den Hartog 1947, Fig. 1b). Por otro lado, un AP es un contenedor dentro del cual hay una o más partículas de acero, que, a través de las colisiones entre partículas, colisiones entre partículas y la pared del contenedor, suprimen vibraciones del sistema principal (e.g., Masri y Ibrahim 1973, Fig. 1c). Los movimientos sísmicos del suelo se ingresan como aceleraciones horizontales en la base. Las ecuaciones gobernantes de movimiento para cada configuración se presentan aquí.

Figura 1 Vista esquemática de los sistemas de 1GDL: a) simple; b) con un AMR y c) con un AP. Edificio Parque Araucano y su sistema de amortiguación de partículas: (d) vista exterior tras el terremoto de 2010 en Maule, Chile; (e) contenedores de amortiguación de partículas en construcción; (f) tamaño de las bolas de metal que rellenan el contenedor de amortiguación de partículas; y (g) y (h) amortiguador de partículas terminado, relleno de bolas y colgado del techo.
Estructura de 1GDL simple
Se presenta la ecuación de movimiento de una estructura de 1GDL Fig. (1a). La ecuación diferencial gobernante de segundo orden está dada por
En Ec. (1),
Estructura de 1GDL con amortiguador de masa sintonizado
La respuesta sísmica de una estructura de 1GDL con un AMR que se muestra en la Figura 1 (b) se puede calcular con la formulación presentada por Jerome (2002)
En el sistema de las Ecs. (2.1) y (2.2),
Se puede observar que cuando el parámetro
Estructura de 1GDL con amortiguador de partículas
Análogas a las Ecs. (2.1) y (2.2), las ecuaciones de movimiento para estructuras de 1GDL con AP (Fig. 1c), fueron formuladas por Masri e Ibrahim (1973). El conjunto gobernante de ecuaciones es
En la Ec. (3.2),

Figura 2 Visualización de funciones no lineales de
Esquema de resolución de ecuaciones diferenciales
La solución de las Ecs. (1), (2.1), (2.2), (3.1) y (3.2) se determinó a través de un esquema numérico. Se utilizó el método explícito, de orden cuatro, de Runge-Kutta (Butcher 2016), con un paso de integración temporal (
Características de los edificios de marcos elásticos de 11 y 17 pisos
Los marcos analizados en este estudio representan edificios con periodos fundamentales de 1.4 y 2 s, respectivamente, con una planta de 12×12 m2 (Monsalvo, 2019). La altura de todos los pisos es de 3 m (ver Figura 3). Las secciones transversales de las vigas varían desde 0.2 m × 0.4 m hasta 0.3 m × 0.5 m. Las dimensiones de las columnas varían desde 0.5 m × 0.5 m en los primeros pisos hasta 0.4 m × 0.4 m en los niveles superiores. El módulo de elasticidad, E, es de 206,010,000 kN/m2. Estas dimensiones y el módulo de elasticidad fueron seleccionadas para asegurar los periodos estructurales deseados y se determinaron mediante el uso de un software de modelado estructural comercial SAP2000, utilizando elementos barra. Se asumió una relación de amortiguamiento igual al 5% del valor crítico. El peso total
La respuesta de los marcos sin amortiguadores se comparó con la de sistemas similares con un AMR y AP en la parte superior (i.e., en la azotea). El dispositivo de AMR fue representado por un sistema de 1GDL equivalente suspendido en la parte superior de la estructura primaria mediante barras de acero con la misma longitud L, como se muestra en la Fig. 3, esquina superior derecha. La longitud de la barra de acero se considera equivalente a la de un solo péndulo calculado como
En la ecuación. (4),
La rigidez lateral equivalente
donde E e I son el módulo de elasticidad y el momento de inercia, respectivamente, de la barra suspendida en la parte superior de la estructura primaria. Esta rigidez lateral equivalente se calcula considerando la barra como una viga en voladizo bajo una carga lateral uniforme. Este enfoque asume que la barra representa la interacción entre el sistema de amortiguadores de masa resonante (AMR) y la estructura primaria, y es una simplificación comúnmente utilizada en el análisis estructural para determinar la rigidez de elementos bajo condiciones ideales de carga.
La elección de esta ecuación se basa en su capacidad para proporcionar una buena aproximación de la rigidez lateral en situaciones donde los efectos de flexión predominan, lo que es adecuado para el tipo de análisis realizado en este estudio. Aunque esta simplificación no captura todos los posibles efectos dinámicos o no lineales, es válida para el propósito del análisis preliminar y se alinea con prácticas establecidas en la literatura (Monsalvo 2019).
Finalmente, en el caso del dispositivo de AP, para representar la caja contenedora de partícula (o partículas) se usan elementos rígidos que se fijan a la estructura primaria; y para modelar la interacción entre la partícula y las paredes del contenedor, se utilizan elementos de aislación de tensión/compresión (T/C) entre la partícula y las paredes del contenedor como se muestra en la Fig. (3), esquina superior derecha, que permiten la separación libre cuando la partícula se mueve dentro de la distancia
CASOS DE ESTUDIO
Primero se presenta la respuesta de edificios de un piso bajo excitaciones sísmicas de banda estrecha. Se analizaron tres configuraciones: 1) un sistema de 1GDL simple; 2) un sistema de 1GDL con amortiguador de masa resonante (AMR) y 3) un sistema de 1GDL con AP. A continuación, se analiza la respuesta de marcos lineales de tres claros de 11 y 17 pisos con AP y AMR y sin ellos.
Movimientos de suelo fuertes
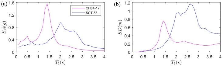
La respuesta inducida por sismos de las estructuras de 1GDL con AMR y AP durante los movimientos sísmicos de suelos de banda estrecha es muy sensible a la aceleración espectral, la duración y el contenido de frecuencia, así como a otras medidas de intensidad. La influencia del contenido de frecuencias del movimiento del suelo en la respuesta de la estructura de 1GDL se explica en este estudio mediante el uso de dos registros sísmicos de banda estrecha, representativos de movimientos de alta intensidad obtenidos en las estaciones acelerométricas CH84 y SCT, que se instalan sobre sitios de suelos blandos. Ambas estaciones están ubicadas sobre suelos arcillosos en lo que se conoce como la zona lacustre en la Ciudad de México. Estos sitios son de particular importancia ya que han registrado los movimientos sísmicos más intensos y destructivos desde que se instalaron los acelerómetros en la Ciudad de México. El primero a estudiar corresponde a un evento sísmico de Mw=7.1, ocurrido el 19 de septiembre de 2017 (CH84-17). El segundo a estudiar ocurrió el 19 de septiembre de 1985 (SCT-85), con magnitud Mw=8,1. La Figura 4 muestra los espectros de respuesta de aceleración SA (izquierda) y desplazamiento SD (derecha) del registro utilizado en este estudio. Estas representaciones muestran que el período dominante del suelo,
Respuesta dinámica de las estructuras de 1GDL inducidas por sismos
Se ejemplifica la respuesta inducida por sismos de estructuras de 1GDL con AP durante movimientos de suelo de banda estrecha, que podrían mejorar el desempeño de estructuras nuevas o antiguas en la Ciudad de México (ver Figura 1). Para todos los sistemas de 1GDL, los períodos del suelo
Parámetros que influyen en la respuesta del AP
La respuesta de los sistemas sin amortiguadores se comparó con la de sistemas similares con AMR y AP agregados en la parte superior (i.e., en la azotea). Se investiga la influencia de los siguientes tres parámetros del sistema sobre los efectos del control de vibraciones dinámicas: (1) la relación de período entre el contenedor AP y el oscilador de 1GDL,
La influencia de la relación de periodos T 2 ⁄T 1 es significativa en la respuesta del AP. Como se muestra en la Fig. 5a, cuando la relación de periodos T 2 ⁄T 1 es cercano o menor que 1, γ=m 2 ⁄m 1 =0.2 y los valores de d son pequeños, el sistema con AP logra desplazamientos menores con respecto a aquellos con AMR o simplemente un sistema de 1GDL. Por ejemplo, para valores de relación de período T 2 ⁄T 1 de aproximadamente 0.9 (izquierda, sistema T 1 =1.4 s sujeto a movimiento CH84-17) y (derecha, sistema T 1 =2 s sujeto a movimiento SCT-85), u 1 alcanza los valores más bajos de desplazamiento máximo. Además, observe que un aumento en la relación de período T 2 ⁄T 1 (es decir, T 2 ⁄T 1 >1.5) conduce a un aumento de los desplazamientos.
La relación de masas m 2 ⁄m 1 es otro factor clave. En la Fig. 5b se observa que para valores de relación de masa m 2 ⁄m 1 mayores a 0.1 y valores de d pequeños, se pueden lograr desplazamientos menores con respecto a aquellos con amortiguadores de masa resonante o simplemente sistemas de 1GDL.
La relación de amortiguamiento entre el contenedor y el oscilador 1GDL ξ 2 ⁄ξ 1 no parece influir de manera importante en la respuesta de desplazamientos máximos de la estructura principal. En la Fig. 5 (c) se aprecia que a medida que aumenta la relación de amortiguamiento ξ 2 ⁄ξ 1 (ξ 2 ⁄ξ 1 >1), los valores de desplazamientos máximos aumentan ligeramente para el sistema principal sujeto al movimiento CH84-17 (Fig. 5b izquierda) y SCT-85 (Fig. 5b derecha) para diferentes valores de d y con γ=m 2 ⁄m 1 =0.2.

Figura 5 Contornos de desplazamientos máximos
Para los casos representados en las figuras 5b y 5c,
En el Apéndice A se presentan figuras adicionales donde se muestran los desplazamientos máximos de la partícula
Historias de desplazamiento del sistema estructural primario
La historia de respuesta de desplazamiento de los sistemas de 1GDL sujetos al movimiento del suelo registrado en las estaciones CH84 (PGA=0.23 g; Figura 6a, izquierda,

Figura 6 Historias de respuesta de desplazamientos de los sistemas de 1GDL sometidos a los sismos del 19 de septiembre de 2017 (izquierda) y del 19 de septiembre de 1985 (derecha). Primera fila desde arriba: entrada de movimiento del suelo; 2da fila desde arriba: estructura simple; 3ra fila: 1GDL con AMR y 4ta fila: 1GDL con AP.
Además, la Figura 6 muestra una comparación directa de la respuesta de 1GDL con AMR y AP con la respuesta del sistema de 1GDL simple (líneas grises). Los resultados ilustran que el desplazamiento del sistema de 1GDL disminuye significativamente si se le instala un AMR (tercera fila desde arriba) o un AP (cuarta fila desde arriba).
Historias de aceleración del sistema estructural primario
De manera análoga a la Figura 6, la historia de respuesta de aceleración en el tiempo de los sistemas de 1GDL sujetos al movimiento del suelo registrado en las estaciones CH84-17 (PGA=0.23 g,

Figura 7 Historias de respuesta de aceleración de los sistemas de 1GDL sometidos a los sismos del 19 de septiembre de 2017 (izquierda) y del 19 de septiembre de 1985 (derecha). Primera fila desde arriba: entrada de movimiento del suelo; 2da fila desde arriba: estructura simple; 3ra fila: marco con AMR y 4ta fila: marco con AP.
Respuesta dinámica inducida por sismos en marcos elásticos de 11 y 17 pisos
Se ilustra la respuesta inducida por sismos de edificios de varios pisos con amortiguadores de partícula durante movimientos de suelo de banda estrecha, que podrían mejorar el desempeño de estructuras nuevas o antiguas en la Ciudad de México (ver Figura 3). En este estudio se consideran marcos elásticos de 11 y 17 pisos con periodos
Historias de desplazamiento del sistema estructural primario
La respuesta de los marcos elásticos de 11 y 17 pisos en su parte superior (i.e., a nivel de azotea) sujetos al movimiento del suelo registrado en las estaciones CH84 (Figura 8, columna izquierda, PGA=0.23g,

Figura 8 Historias de respuesta de desplazamientos de las estructuras de 11 y 17 pisos en la azotea sometidos a los sismos del 19 de septiembre de 2017 (izquierda) y del 19 de septiembre de 1985 (derecha). Primera fila desde arriba: entrada de movimiento del suelo; 2da fila desde arriba: estructura simple; 3ra fila: marco con AMR y 4ta fila: marco con AP.
Historias de aceleración del sistema estructural primario
De manera similar, que la Fig. 8, la respuesta temporal de aceleración de los marcos elásticos de 11 y 17 pisos sujetos a los movimientos del suelo CH84-17 (Figura 9a, izquierda, PGA=0.23 g,

Figura 9 Historias de respuesta de aceleración de las estructuras de 11 y 17 pisos en la azotea sometidos a los sismos del 19 de septiembre de 2017 (izquierda) y del 19 de septiembre de 1985 (derecha). Primera fila desde arriba: entrada de movimiento del suelo; 2da fila desde arriba: estructura simple; 3ra fila: marco con AMR y 4ta fila: marco con AP.
CONCLUSIONES
Este estudio evalúa la efectividad de los amortiguadores de partículas (AP) en edificios en términos de la aceleración de piso y desplazamiento lateral máximo debido a excitaciones sísmicas de banda estrecha. Se analizaron tres configuraciones: 1) un sistema de 1GDL sin amortiguadores; 2) un sistema de 1GDL con un amortiguador de masa resonante (AMR); y 3) un sistema de 1GDL con AP. Los resultados muestran que las respuestas de los sistemas estructurales primarios (es decir, marcos elásticos de 11 y 17 pisos) con AMR y AP son consistentes con las soluciones de las ecuaciones gobernantes de movimiento para los sistemas de 1GDL con AP. En consecuencia, el modelo utilizado para caracterizar los AP en los edificios es una tecnología prometedora para aminorar las vibraciones, aunque solo en situaciones particulares. El uso de los AP podría reducir la respuesta lateral de los sistemas estructurales primarios cuando se someten a excitaciones sísmicas de banda estrecha, principalmente cuando la relación entre la frecuencia predominante de la excitación sísmica del suelo y la frecuencia predominante del edificio es cercana a la unidad y el primer modo del marco se vuelve dominante. Así mismo, cuando se usa un AP y la relación de masas entre la partícula y el oscilador de 1GDL,










text new page (beta)





