1. Introducción
La deficiencia de proteínas es una de las principales preocupaciones en salud pública, especialmente en países en desarrollo, tal es el caso de México. En este escenario, la prospección de fuentes suplementarias de proteína dietaria es de suma importancia. Ante el agotamiento de recursos e incremento de la población, el uso de ingredientes alimentarios poco convencionales en la innovación tecnológica puede propiciar la sustentabilidad (1). Una serie de subproductos agroindustriales de bajo uso, tales como, el salvado de cereales, pulpa de soya, pulpa de frutos, desperdicios de mariscos y suero de leche, son altamente populares como nutrientes principales y componentes alimentarios (1). Las proteínas del suero son consideradas superior a las proteínas de plantas y ofrece una de las proteínas de más alta calidad para la industria alimentaria. El perfil de aminoácidos de suero de leche es casi idéntico al músculo esquelético. La proteína del suero de leche proporciona todos los aminoácidos correctos, muy aproximados a la proporción contenida por el músculo esquelético (2).
La producción de suero de leche en el mundo se estimó entre 180 y 190 millones ton/año, con una tasa de incremento entre 1 y 2%, pero solo el 50% se procesa (3). De acuerdo a datos del SIAP (4), México produjo alrededor de 11,394.7 millones de litros de leche. Del total de leche producida en el estado de Chiapas en el 2015 (423.6 millones de litros), casi el 39% se utiliza en la elaboración de quesos (aprox. 165.2 millones de litros), desechándose alrededor de 147.03 millones de litros de lactosuero con alto valor nutricional a los ríos, consecuentemente causando graves problemas ambientales. El suero líquido contiene entre 1 y 2% de proteínas (25 % de las proteínas de la leche) (5), entre las que se encuentran la α-lactoalbúmina, la β-lactoalbúmina, la lactoferrina, la sero-albumina, las inmunoglobulinas y la proteosa peptona, las cuales presentan una importante actividad biológica. La β-lactoglobúlina (β-Lg) es la proteína más abundante de la leche bovina, es altamente hidrofóbica, y contiene cinco aminoácidos (5).
Uno de los productos que se elaboran a partir del suero de leche es el requesón, también es llamado queso ricotta o cottage en algunos sitios, su fabricación se realiza de varias maneras, puede ser elaborado adicionando leche entera entre un 5 y 10% al lactosuero, utilizando cristales de ácido cítrico o vinagre blanco y con calentamiento del suero. Cualquiera de estos métodos lo que logra es que las proteínas asciendan a la superficie para concentrarse y formar el requesón (6).
Los alimentos funcionales se definen como "alimentos que, a través de una acción fisiológica beneficiosa específica, contribuyen a la salud del consumidor". Los probióticos se definen como “microorganismos vivos que, cuando se administran en cantidades adecuadas, confieren un beneficio para la salud al huésped” (7). Actualmente, existe un elevado incremento en el consumo de bacterias probióticas usando productos alimenticios, dentro de los que se incluyen productos lácteos tales como leches fermentadas, helados, varios tipos de queso, alimentos para bebes, postres lácteos congelados, bebidas a base de suero de leche, crema ácida, mantequilla, leche líquida normal y saborizada (8). Mantener la viabilidad de los cultivos probióticos en los alimentos hasta el final de la vida útil es un criterio importante para proporcionar productos alimenticios probióticos eficaces.
La definición de probiótico requiere la eficacia y seguridad de que todos los probióticos se verifiquen y así, su estado constituye una importante parte de su caracterización para el uso humano (9). Las bacterias probióticas, especialmente Lactobacillus y Bifidobacterias, son habitantes habituales del colon humano. Estas bacterias benéficas ayudan a la salud humana al proveer un balance de la microbiota intestinal y defensas en la mucosa contra patógenos (9).
Algunas de las características de las bacterias probióticas son, resistencia a las condiciones del tracto intestinal, y buena adhesión a la mucosa, resistencia a sales biliares, a altas concentraciones de sales, a antibióticos, a cambios de pH, al efecto antagonista sobre patógenos (9,10). Algunos beneficios que proveen a la salud son, realzan la respuesta inmune, reducen los síntomas de intolerancia a la lactosa, tratamiento contra la diarrea, reducción de colesterol en sangre, síntesis de vitaminas, actividad antimicrobiana y anticarcinógena (11).
Las bacterias ácido lácticas (BAL) son los probióticos más estudiados, especificamente los Lactobacillus y Bifidobacterias. Las aplicaciones de cepas de BAL aisladas de productos lácteos y ambientes no lácteos como adjuntos para el desarrollo de nuevos sabores, han mostrado interés puesto que estas cepas pueden secretar más enzimas catabólicas para aminoácidos que los catalizadores industriales (12).
La matriz alimentaria en la que se ingiere el probiótico, puede afectar la supervivenvia en el intestino. Esto puede limitar también la cantidad de alimento que se ingiere; por ejemplo, 100 g de yogurt se puede ingerir fácilmente, de queso es más factible una cantidad menor. Esto significa que la concentración de probióticos se debe adaptar a un tamaño de la porción “normal que asegure un suficiente número de células vivas”, incluso hasta el final de la vida útil (13). Para alcanzar un efecto en la salud, debe consumirse 108 bacterias probióticas vivas. Equivalente a una porción diaria de 45 g (2 rebanadas) de queso y una tasa de supervivencia de las bacterias probióticas del 30% y una cocentración de bacterias de 1 X106 por g de queso (14). La matriz alimentaria juega un papel fundamental en la supervivencia de las BAL, incluyendo su funcionalidad. Sin embargo, el queso en comparación del yogurt debido a su pH más alto, mayor contenido de grasa y mayor consistencia sólida, es una base alimentaria interesante como vehículo de probióticos al tracto gastro-intestinal (11). El queso es una buena alternativa para el suministro de probióticos al intestino y, tiene ciertas ventajas como portador de probióticos en comparación con los productos lácteos fermentados más ácidos como el yogur. Crea un amortiguador contra el ambiente altamente ácido en el tracto gastrointestinal y, por lo tanto, crea un ambiente más favorable para la supervivencia de los probióticos durante todo el tránsito gástrico (7; 15).
El objetivo de la presente investigación fue optimizar el proceso de elaboración de un queso tipo ricotta untable y evaluar la viabilidad de bacterias ácido lácticas (BAL) adicionadas al queso. La importancia del presente trabajo se centra en obtener un producto comestible de alto contenido proteico (9.75%), a partir del lactosuero, que es un subproducto de la agroindustria, y que actualmente en México como en otros países en desarrollo no tiene gran utilidad; sin embargo, gran parte de ello, se derrama a los ríos o cloacas, generando grandes problemas de contaminación.
2. Materiales y equipos
Materiales. Se utilizaron cajas petri estériles desechables, vasos de precipitado, probetas graduadas, micropipetas, asas de cultivo.
Equipos. Se utilizó una campana de flujo laminar (Velab®, modelo CFLH-90E), autoclave (Aesa®, modelo CV300), microscopio (velab®, modelo VE-56), incubadora (Velab®, modelo 9162).
3. Métodos experimentales
La investigación se efectuó en el Laboratorio de Investigación y Desarrollo de Productos Funcionales (LIDPF) de la Facultad de Ciencias de la Nutrición y Alimentos de la Universidad de Ciencias y Artes de Chiapas.
3.1 Selección de cepas y elaboración cultivo iniciador
Previo a la elaboración del cultivo iniciador se inocularon tres BAL (Lactobacillus acidophilus, Lactobacillus bulgaricus y Streptococcus thermophilus) en suero lácteo, se les monitoreó la biomasa (g/L), el pH del suero fermentado y el porcentaje de acidez, con la finalidad de seleccionar dos cepas para la elaboración de una bebida que se utilizará en la elaboración del queso. Las cepas L. acidophilus y L. bulgaricus, fueron aisladas y caracterizadas del pozol fermentado (bebida zoque tradicional del estado de Chiapas México) en un estudio previo en nuestro Laboratorio (16).
Para la elaboración del cultivo iniciador (suero lácteo fermentado), se filtraron 300 ml de lactosuero dulce previamente pasteurizado, se le adicionó el 7% de inóculo con las dos cepas seleccionadas (de acuerdo al rendimiento de biomasa, pH y acidez en la bebida). El primer matraz con L. bulgaricus (M1) y el segundo con L. acidophilus (M2), al término del proceso de fermentación se determinó el pH y el % de ácido láctico (ºD) de acuerdo a la Norma Oficial Mexicana (17), se cuantificó la biomasa (ufc/ml), empleando la técnica de dilución y vaciado en placa (18). Una vez alcanzada la cantidad de BAL (106 ufc/ml) establecidas por la NOM-181-SCF1-2010 (19) para ser considerada una bebida como probiótica, se almacenó en refrigeración (5±1ºC).
3.2 Optimización del proceso de elaboración del queso
Para optimizar el proceso de elaboración del queso tipo ricotta (requesón) se siguió un diseño experimental factorial de dos niveles 3x3 (3k) completamente aleatorio, el primero corresponde a tres valores de pH (4.5, 5.0 y 6.0), y el segundo a tres tiempos de calentamiento (5, 10 y 15 min) a 90ºC, obteniéndose 9 tratamientos, los cuales se desarrollaron por triplicado, haciendo un total de 27 ensayos, con la finalidad de obtener mayor rendimiento.
Se seleccionó el mejor tratamiento y se procedió a la elaboración del queso untable tipo ricotta, tal y como se describe en seguida.
1. Se recibió el lactosuero procedente de una quesería ubicada en la ciudad de Tuxtla Gutiérrez Chiapas, se le verificó el color (ligeramente amarillo), olor (agradable a suero de leche), sabor dulce, pH entre 6 y 7. Se filtró, para eliminar residuos de cuajada e impurezas y se pasteurizó (63(1ºC durante 30 min). Se le determinó su composición fisicoquímica (humedad, proteínas, grasas, cenizas, acidez, densidad y pH) utilizando los métodos de la AOAC (20), además de sus características microbiológicas de acuerdo a la Norma Oficial Mexicana (18).
2. El suero de leche previamente pasteurizado (condiciones citadas previamente), se acidificó con ácido cítrico hasta un pH de 4.5, se homogeneizó, posteriormente se calentó a 90ºC durante 10 a 15 minutos.
3. Se dejó reposar 10 minutos, se filtró para obtener la cuajada, la pasta obtenida se mezcló en una relación 5:1 con lactosuero que contenía carboximetilcelulosa (CMC) al 2%, se envasó en frascos de vidrio previamente esterilizados y se pasteurizó (63ºC durante 30 min).
4. En condiciones de esterilidad (utilizando una campana de flujo laminar) se mezclaron la pasta obtenida anteriormente y el cultivo iniciador en una proporción de 3:2 hasta obtener una pasta con características adheribles y una viscosidad propia de un queso untable, se envasó en frascos de vidrio esterilizados, y se almacenó en refrigeración durante 20 días.
5. Se determinó la composición nutrimental del producto terminado mediante análisis químico proximal, y los atributos de calidad a través de pruebas fisicoquímicas y evaluación sensorial de atributos.
Evaluación de la viabilidad de las BAL en el queso probiótico
Se evaluó la cantidad de UFC de BAL por gramo del queso recién elaborado y durante el almacenamiento refrigerado para estimar la viabilidad de las bacterias; la prueba se realizó cada tercer día durante dieciocho días, para ello se utilizó el método de dilución y vaciado en placa (18), utilizando agar MRS para Lactobacillus (Difco®).
4. Resultados
4.1 Selección de cepas y elaboración cultivo iniciador
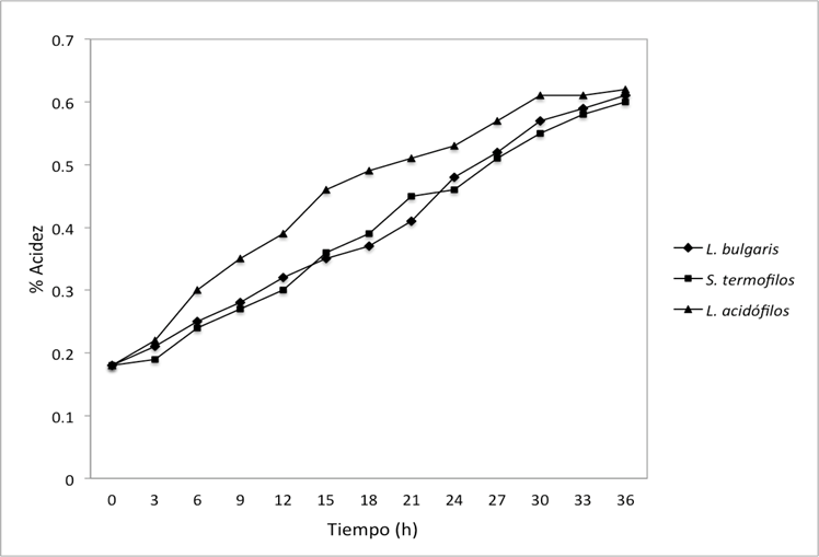
Los resultados de biomasa, evolución de pH y de acidez en el suero lácteo inoculado con las tres cepas (L. bulgaricus, S. thermophilus y L. acidophilus), se muestran en las Figuras 1, 2 y 3, respectivamente. En la Figura 1, se observa que las cepas requirieron entre 5 y 6 horas para adaptarse, después de 24 h entraron a fase estacionaria; lo que indica el agotamiento de sustrato (lactosa). Treinta y dos horas posterior a la inoculación, el caldo de cultivo con las cepas de L. acidophilus y L. bulgaricus presentaron el pH más bajo (4.30 y 4.37, respectivamente), además presentaron el mayor porcentaje de acidez (ca. 0.60%) en el menor tiempo. Estos resultados permitieron seleccionar a las cepas de L. acidophilus y L. bulgaricus para su uso en la elaboración del queso probiótico.
4.2 Proceso de elaboración del queso untable tipo ricotta
Como punto de partida para la elaboración del producto, se determinaron las características fisicoquímicas de la materia prima (lactosuero), presentando un 83.13% de humedad, 0.8% de grasa, 1.08% de proteínas, 2.08% de cenizas, 0.1741% de acidez, pH 5.6 y una densidad de 1.023 (g/ml). Estos resultados indican que se trata de un suero lácteo dulce, con reducido porcentaje de acidez, lo que permite su uso para la elaboración del queso ricotta, aunado a los resultados obtenidos del análisis microbiológico realizado al suero de leche posterior a la pasteurización que indicaron la ausencia de Escherichia coli, Salmonella spp y Enterobacterias.
De los nueve tratamientos que se evaluaron, los tres correspondientes al pH 4.5 son los que mejor rendimiento presentaron (Tabla 1), de estos el T2 y T3 estadísticamente fueron mayor que el T1; sin embargo, no existe diferencia estadística significativa (p<0.01) entre ellos, lo que indica que para obtener mayor rendimiento en el proceso de elaboración del queso tipo ricotta, primeramente debe acidificarse y posteriormente calentarse a 90ºC entre 10 y 15 minutos, y alcanzar un rendimiento superior al 6.5%.
Tabla 1 Porcentaje de rendimiento para la obtención del queso tipo ricotta.
| Tiempo (min) | pH | ||
|---|---|---|---|
| 4.5 | 5.0 | 6.0 | |
| 5 |
|
|
|
| 10 |
|
|
|
| 15 |
|
|
|
*Letras minúsculas diferentes en la misma fila indican diferencias significativas (p<0.01, ANOVA).
** Letras mayúsculas diferentes en la misma columna indican diferencias significativas (p<0.01, ANOVA).
4.3 Evaluación de la viabilidad de las BAL del queso untable tipo ricotta
Durante los 20 días de almacenamiento refrigerado, se presentó una alta viabilidad de las BAL, esto puede constatarse en la Tabla 2, en la que se puede observar que las UFC/g aumentaron durante ese periodo en los quesos con los tres tipos de inóculos (1) L. bulgaricus, (2) L. acidophilus, y (3) L. bulgaricus + L. acidophilus, cantidad superior a lo establecido por la Norma Oficial Mexicana (19) (1X106 ufc/ml o g). Puede observarse en la misma tabla que la cantidad de L. acidophilus en el queso aumenta de 3.7X107 a 7.6X107 UFC/g desde el inicio al final del almacenamiento.
Tabla 2 Cuenta viable de BAL del queso durante su almacenamiento.
| Tiempo (Días) | L.a (107) | L.b (107) | L.b + L.a (107) |
|---|---|---|---|
| 0 | 3.7 | 4.1 | 4.2 |
| 3 | 4.3 | 4.3 | 4.3 |
| 6 | 5.7 | 4.7 | 4.4 |
| 9 | 6.4 | 5.7 | 4.9 |
| 12 | 6.5 | 6.8 | 5.0 |
| 15 | 6.8 | 7.2 | 6.1 |
| 18 | 7.6 | 8.1 | 7.0 |
L.b: L. bulgaricus, L.a: L. acidófilos
La cuenta viable y supervivencia mostrada en la Tabla 3 de las dos cepas evaluadas (L. acidophilus y L. bulgaricus), evidencian su resistencia a la acidez y tolerancia a las sales biliares, lo que indica su alta probabilidad de permanecer vivas y multiplicación en el tracto gastrointestinal (TGI).
Tabla 3 Cuenta viable de BAL del queso expuesto a 0.3% de sales biliares y a un pH de 1.5 posterior al almacenamiento refrigerado.
| Condición | Tiempo (Días) | L. a (107) | L. b (107) | L. b + L. a (107) |
|---|---|---|---|---|
| Inicial | 0 | 7.6 | 8.1 | 7.0 |
| 0.3% sales biliares | 3 | 2.9 | 3.3 | 2.5 |
| 1.5 pH | 3 | 2.1 | 2.6 | 1.7 |
L.b: L. bulgaricus, L.a: L. acidófilos.
De acuerdo a las características de composición nutrimental, el queso elaborado puede considerarse como un alimento de humedad intermedia (AHI), las características fisicoquímicas que presentó a los 18 días de almacenamiento fueron 57.9% de humedad, 9.88% de grasa, 9.75% de proteínas, 1.82% de cenizas, 0.33% de acidez y un pH de 4.7. Algunas de sus propiedades sensoriales presentadas son sabor “agradable a queso ácido”, textura “cremosa y consistente”, olor “a leche” y color “amarillo crema”.
5. Discusión
Las condiciones de acidez y pH presentadas en el cultivo iniciador, fueron fundamentales para la selección de las dos cepas utilizadas (L. bulgaricus y L. acidophilus) en la elaboración del queso ricotta. El incremento de la acidez, puede ser atribuido a la conversion de la lactosa en ácido láctico u otros ácidos orgánicos por las BAL utilizadas, esto conlleva a la reducción del pH en el suero fermentado. Puede observarse un alto contenido de proteínas (1.08%) en la materia prima, componente principal que se precipita en el proceso de elaboración del requesón (queso ricotta), tal y como se muestra en la composición del producto final, que presentó un 9.75% de proteínas.
La proteína de lactosuero es de tipo globular, sus componentes principales son la (-globulina (35-65%) y (-lactoalbuminas (12-25%). En menor cantidad incluye inmunoglobulinas (8%), albúminas séricas (5%) y lactoferrina (1%). Las proteínas de suero de leche son una fuente rica de aminoácidos (leucina, isoleucina y valina), aminoácidos esenciales (cisteína), así como peptidos (1). La leucina, juega un papel clave en la regulación de la síntesis de proteínas del músculo esquelético. La cisteína (sulfidril aminoácido), es un precursor del glutatión, es un tiol antioxidante no enzimático, que juega un papel importante en la reducción del estrés oxidativo, regula los procesos celulares, desequilibrio de quién puede ocasionar una enfermedad.
Respecto a las BAL, resultados similares a los de éste estudio reportaron (14), quienes cuantificaron los cultivos probióticos en un queso semiduro durante el proceso de añejamiento, ellos reportan que el número de L. acidophilus en muestras experimentales de los quesos varía al principio de la maduración en aproximadamente 107 UFC/g y que ésta cantidad permanece estable hasta el final del proceso (180 días); Obando et al. (21), reportaron que el L. acidophilus es el probiótico que menos viabilidad pierde (menor a 0.5 ciclos logarítmicos) durante 21 días de almacenamiento en un queso cottage adicionado con microorganismos probióticos. El pH es uno de los factores más importantes que restringen la viabilidad de la bacteria probiótica. El crecimiento de L. acidophilus cesa a valores de pH por debajo de 4.0; los valores de pH del producto final debe mantenerse arriba de 4.6, si no la población de bifidobacterias podría reducirse rápidamente (9). El aumento en el tiempo de almacenamiento de quesos inoculados con BAL, conllevan a una disminución del pH e incremento de la acidez.
Otros resultados, Gutiérrez et al. (22), evaluaron la viabilidad de L. casei en un queso crema, el recuento obtenido después de 15 días de almacenamiento fue de 11x108 UFC/mL, cumpliendo el requisito de viabilidad, los cuales deben ser mayores de 106. En numerosos estudios las bacterias probióticas mantienen su viabilidad, en algunos existe un incremento significativo de la cuenta viable, y en pocos la viabilidad decrece drásticamente durante el periodo de almacenamiento (9). Es importante que la matríz alimentaria al menos mantenga la cantidad de bacterias probióticas, o en su caso que haya un incremento, tal es el caso de la presente investigación, con la finalidad de que lleguen con sus características potenciales al organismo. Debido a la vulnerabilidad de los probióticos por las condiciones largas de manufactura, almacenamiento y el tránsito a través del TGI, es difícil que el probiótico viable ejerza sus efectos benéficos. Durante la manufactura y/o almacenamiento, la viabilidad de los probióticos puede ser negativamente afectada por varios factores, tales como, temperatura de almacenamiento, actividad de agua y otros ingredientes de los alimentos (23).
En el mismo estudio realizado por Gutiérrez y col. (22), se reportó que la cantidad de Lactobacillus caseí disminuyerón de 1.0x1012 a 11x108 ufc/g del día 0 al día 15 de almacenamiento refrigerado, respectivamente, en un queso crema; indican que la disminución probablemente se deba al proceso de refrigeración. Mantener la viabilidad en el estómago, es otra tarea difícil para que el probiótico alcance el sitio de alojamiento porque muchos probióticos mueren o pierden su funcionalidad en condiciones ácidas. Un probiótico ideal debe resistir a estas condiciones adversas, permanecer viable y disponible en el sitio de acción. El efecto benéfico depende de la habilidad de la cepa probiótica para sobrevivir a las defensas naturales del huesped y multiplicarse en el TGI. Algunos de estos efectos son, supresión del crecimiento a patógenos, control del nivel de colesterol sérico, modulación del sistema immune, mejora de la digestión de la lactosa, síntesis de vitaminas, incremento de la biodisponibilidad de minerales y posible actividad anti-carcinogena (24).
6. Conclusiones
El mejor rendimiento (6.5%) de obtención de queso ricotta untable, se obtuvo en los tratramientos 2 y 3 (T2 y T3), acidificando a pH de 4.5 y calentando durante 10 y 15 minutos, respectivamente. Las cepas de L. acidophilus presentaron mayor capacidad fermentativa, sus características ácido tolerantes les permitió permanecer viables (20 días) e incrementar las UFC en el producto a bajos niveles de pH (ca. 4.0) y mayor condiciones de acidez, que el resto. El queso untable tipo ricotta, es un excelente vehículo para el suministro de bacterias potencialmente probióticas a los consumidores, además de que provee las condiciones ideales para mantener la viabilidad y una cuenta estable superior a lo establecido por la NOM-181-SCF1-2010 (19) (106 UFC/ml). Además de éstas características, el producto presentó un alto contenido de proteínas (9.75%); que por su origen (suero de leche) poseen un alto contenido de peptidos bioactivos, los que han sido relacionados con efectos benéficos en la salud humana.










text new page (beta)





