PACS: 78.20.-e; 68.65.Ac.
1. Introduction
Porous materials are distinguished because their optical characteristics depend strongly on their structural properties (porosity, pore size and pore distribution). Particularly, in materials with air-filled pores, such as porous silicon (PS), the refractive index is directly related to its porosity; however its determination is challenging due to the great variety of microstructures emerging from the diversity of the fabrication specifications.
PS is usually fabricated by electrochemical etching of crystalline Si in a hydrofluoric acid solution, thus the resulting nanostructure is composed of Si and air in a sponge-like structure. This process regulates the generated porosity by changing the applied current density and then modifying the refractive index of the resulting PS. This fact opens the possibility of fabricating 1D photonic structures with PS, where controlling the propagation of light in a dielectric medium is sought. Bragg mirrors, microcavities, filters, bio and chemical sensors are some of the simplest photonic multilayer arrangements that can be fabricated with PS 1,2. For example, a Bragg-reflector is composed of a periodic stack of layers which alternate between high and low refractive indices with a high contrast between layers. If each layer satisfies the quarter wavelength condition, a selective mirror that reflects a central wavelength can be constructed 3,4,5,6.
In order to build efficient and high quality 1D photonic structures the refractive index of PS must be determined accurately. For instance, PS biosensing devices are based on the change of the effective refractive index due to the presence of molecules in the nanostructure modifying its spectral response 7,8, thus determining accurate refractive index values of the porous material is essential.
Most of the current research has been done using constant refractive indices 9,10,11,12 or, when not considering constant values an arbitrary dependency that adjusts the experimental behaviour are often proposed 4,13,14. There are many examples presenting slight differences between theoretical and experimental results that need deeper explanations 9,15,16. This matter can be surpassed by measuring the effective refractive index as a function of the wavelengths, for example by spectroscopic ellipsometry (SE). Although there are recent reports where SE measurements are used to determine the refractive index of PS 17,18,19,20, in this work we found that this technique is not adequate for our purposes (see Supplementary Appendix).
Hence, in this study we calculated the PS refractive indices using effective medium approximation (EMA) methods and evaluated the usability of these data by using them to predict the reflectance of fabricated Bragg mirrors. We obtained the theoretical reflectance spectra using the transfer matrix method and compared them to the experimental measurements. This comparison provides a good assessment for the refractive index determination where several proposals were evaluated by defining a Qe-factor in the analysis of the Bragg reflectance spectra. In this manner we offer a quantitative strategy to select adequate effective refractive indices for the construction of high reflective and broadband Bragg mirrors.
In what follows we present the fabrication procedure of PS and its porosity characterization. With these values we approach different refractive indices using several EMAs. Subsequently, we evaluate the performance of the refractive indices by fabricating Bragg reflectors centered at different wavelengths and calculating the Q e -factor for each one. Afterwards we examine the use of the most adequate refractive indices and fabricate a broadband mirror to ultimately test their usability. Finally we present the concluding remarks.
2. Experimental details
In this section we present the fabrication procedure of the PS samples and detail the method we used to characterize its porosity and thickness. These values were later used for the determination of the refractive index of PS. The PS samples for this study were fabricated by an anodic electrochemical dissolution of highly boron-doped p+-type (100) crystalline silicon (c-Si) wafers with resistivity < 0.005 Ω cm. In order to ensure electrical conduction during anodization, an aluminum film was deposited on the backside of the c-Si substrates and then heated at 500°C during 30 min in nitrogen atmosphere. The substrates were electrochemicaly etched in an electrolyte composed of ethanol, HF and glycerin in a volume ratio of 7:3:1 (if the total volume of the electrolyte is 55 ml then we use 35 ml of ethanol, 15ml of HF and 5 ml of glicerol). We fabricated single high porosity layers by applying a current density of 40.0 mA/cm2 and low porosity layers by using 3.0 mA/cm2. After electrochemical etching, the samples were rinsed in ethanol for 10 minutes and dried under a nitrogen stream. We subsequently oxidized the samples for stabilization of the PS at 300° C during 15 minutes.
To measure the porosity produced with these current densities we fabricated 5000 nm thick films and used the gravimetric method 21 where the silicon wafer to be etched is weighted before anodization (m1), immediately after anodization (m1), and after dissolving the PS layer in an aqueous solution of sodium hydroxide (m3) using the formula:
In this manner, measuring the corresponding samples with a Sartorius Microbalance (model MC 5)
with a precision of 0.0005 mg, we calculated porosities of
Pa = 79.2% and
Pb = 59.4% (from standard error
propagation the error percentage is less than 0.15% for each different porosity
sample), where the subscript

Figure 1. SEM image. SEM image showing the two different porosity layers Pa and Pb, used in this work.
Since the porosity of PS determines its the refractive index and we calculated the porosity values of each PS layer, then we were able to predict its average refractive index using EMA methods. In the next section we present the main effective methods we used for approaching the refractive index of PS.
3. Effective medium approaches for PS
Traditionally the envelope method or the Fresnel’s equation are used to obtain the refractive index from the measured reflectance and transmittance spectra of PS monolayers. However, these methodologies present restrictions when the material has high optical absorption or scattering effects, such as PS in the visible range 22.
In particular, the structure and morphology of PS changes as a function of porosity and because the size of its pores is much smaller than the light wavelength it can be described as an effective medium. The high and low porosity layers presented in Fig. 1 show a coral-like structure in the Pa layers and an interlaced branched formation of Si in the Pb layers. These morphologies are complicated and to describe their effective behaviour different EMAs can be used. Many of these methods have been used for the determination of the refractive index but have been chosen arbitrarily as discussed in 23. Since we do not have enough information to distinguish the agreement with these EMAs and the interaction between light and PS, in this study we evaluated which method is best suited to approach the refractive indices of PS of high and low porosities. For this purpose we selected different EMAs and provided a quantitative method to determine which EMA has the best performance by fabricating Bragg reflectors.
The effective medium approaches were developed to obtain theoretical values of the effective
dielectric function, whose real part
where nSi is the refractive index of silicon and nair the refractive index of air. Whereas the parallel interpolation is calculated as:
The Looyenga model is best suited for high porosities and is defined as:
Because the Maxwell-Garnett formula considers isolated spherical particles, where percolation of PS is not contemplated, this model is not relevant for this material 25,31. As an alternative to this methods we used the formula proposed by del Río et al. (dRZW) based on the Keller reciprocity theorem for effective conductivity in a composed material 29. dRZW considers no particular inclusion shape, so it could be applied to materials with arbitrary microstructure. We used this formula for the effective refractive index as:
The Bruggeman approximation is one of the most used EMA for the refractive index determination of PS 24,32. The symmetric Bruggeman considers different sizes of spherical inclusions embedded in a continuos medium and is applicable to any porosity:
The complex refractive index is defined as
Here we determined the extinction coefficient values for high and low porosity PS layers from Eq. (7) and calculated the refractive indices,
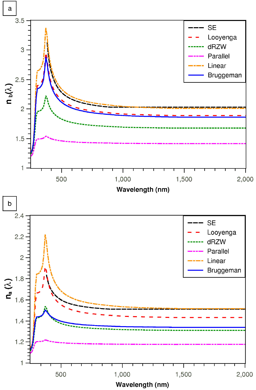
In Fig. 2 we show a comparison between the spectra of the refractive indices obtained by these effective models and the ones obtained from SE (see Supplementary Appendix for more details). We can observe slight differences between the refractive index values obtained from each methodology, therefore we need an efficient procedure to determine which values are the most adequate. For this reason, we fabricated several Bragg mirrors centered at specific wavelengths (

Figure 2. Refractive index spectra. Refractive index spectra of PS obtained with SE (black line), Looyenga (red line), the dRZW formula (green line), the paralell (pink line), the linear interpolation (orange line) and the Bruggeman approach (blue line), for a) the low porosity layers Pb , and b) the high porosity layers Pa .
4. PS Bragg reflectors
Bragg reflectors are the simplest 1D photonic structures, since they are formed of alternating
layers of high (na ) and low
(nb ) refractive index and
repeating thickness da and
db respectively. When an
electromagnetic wave with a specific wavelength

Figure 3. Refractive index rates. Refractive index rates (na / nb ) obtained from SE measurements (black line), dRZW (red line), the Looyenga model (green line), the paralell (pink line), the linear interpolation (orange line) and the Bruggeman approach (blue line).
The thickness and refractive index of the periodic layers that constitute a Bragg mirror
determine the
Hence we fabricated several Bragg reflectors in order to validate the performance of the
refractive indices that we obtained from each methodology (Fig. 2). Using these values we designed sets of three selective
mirrors centered at
We simulated the theoretical reflectance spectra of the Bragg mirrors using the well known transfer matrix method 40 where we considered the absorption in the multilayers by using the complex refractive index in the calculations. Then we compared the spectra with the experimental measurements performed with a spectrophotometer UV-Vis-IR (Shimadzu UV1601), see Figs. 4a and b. The spectrophotometer uses an Aluminum mirror as reference, this is the standard method we have used in our studies.

Figure 4. Reflectance spectra of the SE Bragg mirrors. Theoretical (black dashed line) and experimental (red line) reflectance spectra of PS Bragg mirrors, centered at a)
If the
The smaller the Qe -factor, the more accurate the
refractive indices which characterize the photonic Bragg structure. We measured the
Table I. The Qe -factor calculated for each Bragg
reflector centered at
Table II. The Qe -factor calculated for each Bragg
reflector centered at
5. Results and discussion
Each set of Bragg mirrors produced to validate the performance of the refractive index values are presented here. First, we fabricated three reflectors using the values obtained from SE measurements (for details see Supplementary Appendix) and compared their experimental reflectance spectra to their corresponding theoretical spectra in Fig. 4. Here a shift to shorter wavelengths can be observed in all the experimental spectra which suggests that the SE refractive indices are not adequate. The calculations of the Qe -factor for these mirrors confirm the inadequacy of the SE measurements (see Tables I-III). The difference between theory and experiment can be understood as a result of the complexity of modelling the PS nanostructure and the use of accurate SE data with complex models to estimate refractive indeces which afterwards are used in simple photonic structures.
The blue-shift of the experimental reflectance spectra in Fig. 4 advises that the refractive index values must be smaller in order to displace the spectra to larger wavelengths to fit the theoretical spectra. Therefore we chose the Looyenga, the dRZW and the Bruggeman refractive indices for the fabrication of other sets of Bragg reflectors following the same mentioned methodology. In Figs. 5-7 we show the comparison between the theoretical and experimental reflectance of each mirror that were designed using the refractive index values obtained from i) the Looyenga effective model, ii) the dRZW formula and iii) the Bruggeman approximation.

Figure 5. Reflectance spectra of the Looyenga Bragg mirrors. Theoretical (black line) and experimental (red line) reflectance spectra of PS Bragg mirrors, centered at a)

Figure 6. Reflectance spectra of the dRZW Bragg mirrors. Theoretical (black line) and experimental (red line) reflectance spectra of PS Bragg mirrors, centered at a)

Figure 7. Reflectance spectra of the Bruggeman Bragg mirrors. Theoretical (black line) and experimental (red line) reflectance spectra of PS Bragg mirrors, centered at a)
The best fit between the theoretical and experimental reflectance spectra are the ones fabricated using the Bruggeman refractive indices. Furthermore, we calculated the Qe -factor using Eq. (8) for these results and present them in Tables I-III. From these values we can conclude that the Bruggeman refractive indices are the most adequate for the fabrication of the PS Bragg reflectors. Note that the qualitative and quantitative agreement is clearly better that with the other formulas. Hence, the Bruggeman approximation represents the effective media of the PS multilayer better since it considers spherical or cilyndrical shaped inclusions and averages over these morphologies which can be observed in PS from the SEM image in Fig. 1. The failures using the Looyenga method might come from the empirical nature of the formula and as for the inadequacy of the dRZW model the cause might come from the consideration of all possible structural configurations and their statistical averaging. This represents an advantage when there is no information about the structure of the effective media but might be a disadvantage otherwise.
5.1. Broadband mirror
The bandwidth of one Bragg reflector represents the wavelength range presenting high reflectance. This range depends on the refractive index rate between high and low porosity layers. For example, the reflectance spectra of the Bragg mirrors centered at

Figure 8. Reflectance spectra of broadband mirror. Theoretical (black line) and experimental (red line) reflectance spectra of a PS broadband mirror using the Bruggeman refractive indices.
To measure quantitatively the concordance between theory and experiment and since we can not use the Qe - factor criterion for a multi-Bragg structure, we propose a merit function given by:
where
6. Conclusions
In this study we theoretically and experimentally characterized the refractive index of high (Pa = 79.2%) and low (Pb = 59.4%) porosity PS films. Through SE measurements and EMA methods, where different fitting models were considered for each porosity, we determined the refractive index of PS.
In this work we report a simple procedure to assess the usability of the refractive index values based on the fabrication and evaluation of photonic mirrors. Here we validated the performance of the refractive indices by fabricating Bragg reflectors centered at 600, 800 and 1000 nm and compared the reflectance spectra to theoretical simulations using the Qe - factor criterion. We found that the refractive indices obtained by SE were not adequate and calculated afterwards the refractive indices of PS using EMA, in particular using the Looyenga method, the dRZW formula and the Bruggeman approximation. Furthermore, we fabricated a broadband Vis-NIR mirror and measured the concordance between theory and experiment using a Merit function. Within this analysis we proved a good agreement for the mirrors produced with the Bruggeman refractive indices and concluded that these are the most adequate values for the fabrication of PS 1D photonic structures presented in this work, such as Bragg or broadband mirrors. With this study we have proposed quantitative parameters to evaluate the performance of the refractive index in PS through photonic structures.










text new page (beta)





