Las plantas endémicas se caracterizan por tener una distribución restringida, por lo que sólo se encuentran en una región o área geográfica específica (Bonn et al. 2002). Sin embargo, el endemismo es un criterio relativo pues existen diferentes formas de clasificación, por ejemplo, el endemismo delimitado por área geográfica puede hacer referencia a una pequeña isla o un gran continente (Ruiz-Gómez et al. 2023). El rango de distribución limitado de estas especies incrementa su vulnerabilidad y riesgo de extinción ante cambios ambientales y pérdidas de su hábitat (Salas de León et al. 1999, Coelho et al. 2020). La importancia de estas especies no solo reside en la protección de la biodiversidad local, sino también en la preservación de la diversidad filogenética, la cual brinda información para comprender la historia evolutiva (p. ej., el origen y la evolución de las especies) y vislumbrar cómo los patrones de distribución han cambiado con el tiempo (Skarbek 2008). Aunado a esto, diversas especies endémicas son usadas por distintos grupos étnicos, debido a sus principios terapéuticos y gastronómicos, por lo cual se les reconoce por su valor biocultural (Pío-León et al. 2023).
Asimismo, juegan un papel vital en la integridad ecológica de sus hábitats, sin embargo, a medida que el impacto antrópico y el cambio climático aumentan, los taxones endémicos desaparecen a mayor velocidad (Quiroga-Méndez et al. 2022). Estas especies son más propensas a la extinción debido a su aislamiento y adaptación a ambientes estables (Stevens 1989). Por ello, los esfuerzos de conservación y la creación de áreas protegidas a menudo se enfocan en sitios con grandes concentraciones de especies endémicas y amenazadas (Mittermeier et al. 1999, Myers et al. 2000). Según Bonn et al. (2002), las especies endémicas suelen ser objeto de selección para establecer prioridades de conservación y pueden ser útiles para determinar áreas prioritarias, ya que las áreas con especies amenazadas y de distribución restringida funcionan considerablemente mejor que las áreas seleccionadas al azar, aunque no son suficientes para preservar la riqueza general de especies en un país.
Considerando lo anterior, implementar estrategias de conservación específicas para las especies endémicas es esencial para preservar la biodiversidad y la evolución de los ecosistemas únicos en los que habitan. Según Burlakova et al. (2011), estas especies contribuyen significativamente a la unicidad de sus comunidades vegetales y son especialmente vulnerables a la alteración del hábitat, lo que incrementa la urgencia de establecer prioridades de conservación. Su alta especialización a hábitats específicos incrementa notablemente su vulnerabilidad ante cambios ambientales (Williams et al. 2009), haciéndolas extremadamente susceptibles a perturbaciones, que pueden provocar una significativa reducción o extinción de sus poblaciones (Pozo et al. 2013).
En México, los linajes endémicos de angiospermas representan puntos críticos para la conservación (Sosa & De-Nova 2012), lo que subraya la importancia de su protección. Por ello, es crucial conocer la identidad y distribución de especies endémicas para guiar políticas y acciones de conservación. Destacando la necesidad de estrategias específicas que consideren su papel ecológico fundamental, siendo relevantes en la estructura y composición de los bosques (Endress 2002). En el país, el estado de Veracruz se reconoce como un hotspot de biodiversidad (Villaseñor 2016). Esto se debe a la colindancia de Veracruz con el Golfo de México y a la presencia de diversos tipos de vegetación y relieves que dan lugar a una amplia gama de macro y microclimas, lo que contribuye a una excepcional riqueza florística (Benítez Badillo et al. 2010). Actualmente, Veracruz cuenta con alrededor de 8,500 especies de plantas vasculares según Villaseñor (2016). Además, es considerado como uno de los estados mejor explorados botánicamente, en parte, gracias a los esfuerzos realizados por el proyecto de la “Flora de Veracruz” (Gómez-Pompa et al. 2010), que desde 1978 a la fecha ha publicado 205 fascículos con tratamientos taxonómicos sobre múltiples familias de plantas (https://libros.inecol.mx/index.php/FV/catalog). De esta manera, Veracruz, junto con Chiapas y Oaxaca, es uno de los tres estados con mayor diversidad de plantas vasculares en México (Castillo-Campos et al. 2011, Villaseñor 2016), que además alberga una cantidad relevante de especies endémicas.
Durante las últimas tres décadas se han realizado varios esfuerzos por inventariar las especies endémicas de Veracruz. Sosa & Gómez-Pompa (1994) reportan 7,490 especies de plantas vasculares para la flora de Veracruz, de las cuales 60 fueron consideradas endémicas del estado; Castillo-Campos et al. (2005) en un estudio enfocado en el endemismo registraron más del doble de estas especies (131 más 10 taxones subespecíficos); Gómez-Pompa et al. (2010) mencionan 99 especies consideradas endémicas de Veracruz; Villaseñor (2016) registró 8,497 especies vasculares para el estado, de las cuales señala 238 como endémicas a la entidad. Entre estos cuatro listados no solamente existe una gran discrepancia en la cantidad de especies consideradas endémicas, también existen diferencias en su composición. Otro trabajo en el que se mencionan endémicas (raras o con estatus de conservación) es el de Vovides et al. (1997), el cual reportó 31 especies restringidas al estado.
Es común encontrar en estos listados especies que ya no son consideradas endémicas de Veracruz por haberse registrado posteriormente en otros estados como es el caso de Cephalocereus senilis (Haw.) K.Schum. (Vázquez-Sánchez et al. 2005), así como de Peperomia botterii C.DC., P. camptotricha Miq., P. chazaroi G.Mathieu & T.Krömer y P. huatuscoana C.DC. (Ruiz Gómez et al. 2024), Lonchocarpus barbatus M. Sousa, E.Martínez & Ramos (Sousa 2011) y Arachnothryx angustispica Borhidi, E.Martínez & Ramos descrita en 2015 (Torres-Montúfar & Torres-Díaz 2022).
Otros ejemplos de especies que no se encuentran incluidas en los listados de endémicas publicados anteriormente, por ser nuevas para la ciencia en la última década, son Hydrangea carroniae Samain & E. Martínez (Samain et al. 2019), Tridimeris huatuscoana Marinero-Sobal & Ortíz-Rodr. (Ortíz Rodríguez & Marinero-Sobal 2022) y Cyperus gonzaleziae G.C. Tucker (Tucker 2022). Por lo tanto, el objetivo del presente trabajo fue generar un listado actualizado de las especies endémicas de Veracruz, mediante la compilación de los registros disponibles y de una revisión exhaustiva de las referencias, ejemplares e información existentes de estas especies en la literatura, los herbarios y las plataformas virtuales. Asimismo, se identificaron cuáles son las familias y los géneros que incluyen un mayor número de especies endémicas. Para conocer el estado de conservación de las especies actualmente consideradas como endémicas al estado, se verificó si estas fueron evaluadas usando parámetros nacionales, i.e., el Método de Evaluación del Riesgo de Extinción de las Especies Silvestres en México MER; NOM-059 (SEMARNAT 2010) e internacionales como los de la Lista Roja de la Unión Internacional para la Conservación de la Naturaleza (UICN; IUCN 2024). Finalmente, se generaron mapas de densidad de registros y riqueza de especies de plantas endémicas de Veracruz mediante análisis espacial de datos georreferenciados para identificar donde se distribuyen principalmente estas especies.
Materiales y métodos
Área de estudio. El estado de Veracruz, ubicado en el centro-este de México, cuenta con una superficie de 71,824 km2, colinda al norte con el estado de Tamaulipas, al este con el Golfo de México, al sureste con Tabasco, al sur con Chiapas y Oaxaca, y al oeste con Puebla, Hidalgo y San Luís Potosí. Los tipos de clima predominantes en Veracruz según el INEGI (2023) son cálido subhúmedo (53 %) y cálido húmedo (41 %) en la llanura costera del Golfo, así como templado húmedo (5 %) en las partes altas de las zonas montañosas. La temperatura media anual en el estado de Veracruz es de 23 °C. La temperatura máxima registrada es de 46 °C, ocurrida en mayo en la estación climatológica Garro, ubicada en el municipio de Isla. Por otro lado, la temperatura mínima es de -5 °C, registrada en enero en la comunidad de Zalayeta, municipio de Perote (INEGI 2023). Esto significa que el estado presenta un rango térmico de 51 °C.
La precipitación media anual en el estado de Veracruz es de 1,500 mm. Las lluvias se concentran principalmente en verano, de junio a octubre; sin embargo, en el sureste del estado -particularmente en la región limítrofe con Tabasco- las precipitaciones se presentan a lo largo de todo el año (INEGI 2023). En el valle de Uxpanapa, la precipitación anual puede alcanzar hasta 4,000 mm, mientras que en zonas del altiplano, como Frijol Colorado, en el municipio de Perote, se han registrado apenas 300 mm al año. Esto representa un rango pluviométrico de 3,700 mm en el estado.
El estado de Veracruz destaca por su posición biogeográfica como zona de transición entre el neotrópico y el neártico, la elevada humedad derivada de la proximidad al Golfo de México y los vientos del norte, así como la presencia de variados tipos de suelo (Benítez-Badillo et al. 2010). Además, los gradientes altitudinales que se presentan en el estado, pasando desde el nivel del mar hasta la cima del Pico de Orizaba (5,636 m snm), también generan diferentes ambientes bióticos que albergan una variedad de tipos de vegetación con especies adaptadas a condiciones específicas de temperatura, humedad atmosférica y precipitación (Gómez-Díaz et al. 2017, 2023). De esta forma, Veracruz cuenta con múltiples elementos que interactúan para crear el mosaico de hábitats que sustenta su diversidad florística y favorecen la existencia de especies endémicas.
De acuerdo con el sistema de clasificación propuesto por Castillo-Campos et al. (2011) se reconoce la presencia de 19 tipos de vegetación en el estado. Los más importantes en relación al número de taxones son: bosque tropical perennifolio (2,230 spp.; 251,505 ha) que incluye las selvas altas y medianas perennifolias y subperennifolias, bosque mesófilo de montaña (2,028 spp.; 135,271 ha), bosque de encino (1,727 spp.; 20,100 ha), bosque tropical caducifolio (1,754 spp.; 22,843 ha), bosque tropical subcaducifolio (1,221 spp.; 1,432 ha), bosque de pino (1,015 spp.; 52,826 ha), matorral xerófilo (994 spp.; 9,391 ha) y bosque de pino-encino (883 spp.; 26,253 ha).
Listado de la flora endémica de Veracruz. En primer lugar, compilamos una base de datos conformada por las plantas vasculares registradas como endémicas de Veracruz en los cinco listados publicados desde 1994 hasta la fecha (Sosa & Gómez-Pompa 1994, Vovides et al. 1997, Castillo-Campos et al. 2005, Gómez-Pompa et al. 2010, Villaseñor 2016). Además, la base se complementó con la base de datos de Sosa et al. (2018), la cual, aunque no menciona especies endémicas de Veracruz, incluye las coordenadas geográficas de los registros de las especies endémicas de México; así, utilizando un sistema de información geográfica, seleccionamos únicamente aquellas especies con distribución restringida a Veracruz. Asimismo, se realizó una búsqueda exhaustiva de literatura en Google Scholar y Web of Science, integrando aquellas especies publicadas como endémicas de Veracruz en artículos científicos, revisiones y floras que no habían sido consideradas en los listados de endémicas publicados anteriormente. A estas especies se les asignó la categoría de “Nuevas”.
También se generó un listado de especies con distribución única en Veracruz en la página web de Plants of the World Online (POWO 2024). Para ello se accedió a la sección de construcción de listados (checklistbuilder.science.kew.org), donde se seleccionó el nivel de distribución "Botanical country". Luego, en la opción de ubicaciones, se eligió "Mexico Gulf", que corresponde exclusivamente al estado de Veracruz, y se filtraron las especies endémicas seleccionando "Endemic taxa only".
Posteriormente, los nombres científicos de todas las especies registradas en la base de datos fueron revisados en POWO (2024), Tropicos (tropicos.org 2024) y con apoyo de diferentes taxónomos especialistas (ver agradecimientos) para corroborar los nombres aceptados, actualizar sinonimias y posteriormente realizar la búsqueda de ejemplares considerando los nombres aceptados y sus sinónimos en herbarios, consorcios, herbarios virtuales, portales y bases de datos en línea que se mencionan a continuación.
La búsqueda de ejemplares de herbario se realizó en bases de datos como Tropicos (tropicos.org 2024) y la Red de Portales de colecciones botánicas SEINet (https://swbiodiversity.org/seinet/collections/index.php), que incluyen ejemplares de consorcios y redes de EUA y México, como la Red de Herbarios del Noroeste de México y el South East Regional Network of Expertise and Collections (SERNEC, que contiene más de 400 herbarios de Norteamérica).
Algunos herbarios virtuales no pertenecen a estos consorcios y redes, por lo que fueron revisados de manera individual. Por ejemplo, el Herbario Nacional de México, el Herbarium Berolinense, el Muséum National D´Histoire Naturelle y el Jardín Botánico de Meise. Para Pteridophyta, además de las bases de datos previamente mencionados, se realizó la revisión en el Consorcio de Colecciones de Pteridofitas (PCC 2024). De igual manera, para Cycadopsida se realizó la búsqueda en la lista mundial de cícadas (The World List of Cycads; Calonje et al. 2024), asegurando una cobertura más completa.
También se realizó la búsqueda de ejemplares en la plataforma web EncicloVida (CONABIO 2024 www.enciclovida.mx), que integra información reunida por la Comisión Nacional para el Conocimiento y Uso de la Biodiversidad (CONABIO) a través del Sistema Nacional de Información sobre Biodiversidad (SNIB). En esta plataforma encontramos colectas que aún no están disponibles en los herbarios virtuales, brindando información complementaria relevante. Otra plataforma utilizada fue Global Biodiversity Information Facility (GBIF; www.gbif.org). Asimismo, se visitó de forma presencial el herbario XAL del Instituto de Ecología, A.C. y los herbarios CIB, CITRO y XALU de la Universidad Veracruzana en Xalapa, Veracruz.
Todas las imágenes de ejemplares de las especies compiladas fueron revisadas, con especial énfasis en los ejemplares colectados fuera del estado de Veracruz. La mayoría de estas imágenes fueron enviadas a los especialistas de diferentes grupos taxonómicos (ver agradecimientos) para asegurar su correcta identificación y proceder a ubicarlas adecuadamente en nuestra base. Además, las floras y revisiones de grupos específicos fueron de gran apoyo para realizar consultas específicas (p. ej., Espejo Serna 2012, Espejo-Serna et al. 1993, Ibarra-Manríquez et al. 2012, Martínez-Gordillo et al. 2017, Espejo-Serna & López-Ferrari 2018, Sánchez-Ken 2019, Callejas 2020, Krömer et al. 2020, Torres-Montúfar & Torres-Díaz 2022).
A partir de la base de datos obtenida y depurada, se compiló un listado actualizado con las especies corroboradas como endémicas de Veracruz con un espécimen de referencia, el cual consta del nombre del colector, número de colecta y herbario donde se localiza (Material suplementario, Tabla S1). En esta Tabla se integraron todas las especies resueltas con apoyo de los especialistas. Además, se generó la Tabla S2 (Material suplementario) que presenta el listado de plantas vasculares que se clasificaron como No endémicas con un espécimen de referencia que comprueba su presencia fuera del estado. Esta tabla se divide en dos categorías: No endémicas 1 (especies con colectas corroboradas en otros estados o países) y No endémicas 2 (especies con amplia distribución por sinonimia, especies con errores nomenclaturales, taxonómicos o introducidas).
Finalmente, en la Tabla S3 (Material suplementario) se presenta el listado de plantas vasculares que se clasifican como Dudosas, el cual contiene dos categorías: Dudosas 1 (especies con ejemplares colectados fuera de Veracruz que aún necesitan ser revisados por especialistas de cada grupo, ya que estos casos no se resolvieron por la dificultad de encontrar a los expertos adecuados) y Dudosas 2 (especies sin ejemplares o que en POWO son consideradas como no colocadas). Esta última clasificación de POWO se refiere a especies cuyo nombre no ha sido válidamente publicado, especies ilegítimas por ser homónimos posteriores, no se tiene conocimiento de la existencia del material tipo, el material tipo puede ser insuficiente para establecer una identidad clara o no han sido estudiadas por expertos del grupo (POWO 2024).
De cada especie corroborada como endémica de Veracruz (Material suplementario, Tabla S1), se procedió a buscar su estado de conservación de acuerdo con la NOM-059 (SEMARNAT 2010, 2025) y la Lista Roja de la UICN (IUCN 2024) para identificar aquellas que se encuentran en alguna categoría de amenaza, así como las que aún no han sido evaluadas.
Análisis de datos. Utilizando la base de datos generada, elaboramos gráficas para visualizar la evolución del número de especies identificadas como endémicas a lo largo del tiempo. Estas gráficas muestran el porcentaje de especies que mantienen su estatus de endémicas, aquellas que han perdido dicha clasificación y las que actualmente tienen un estatus incierto en cada fuente analizada. Adicionalmente, identificamos las familias y géneros con la mayor cantidad de especies endémicas, lo que proporciona una visión sobre los grupos taxonómicos más relevantes en términos de endemismo y conservación.
Mapas de densidad de registros y riqueza de especies endémicas de Veracruz. Los mapas de densidad de registros y riqueza de especies de plantas endémicas de Veracruz se elaboraron mediante análisis espacial de datos georreferenciados (Peterson et al. 2020). Se filtraron registros de especies endémicas con coordenadas válidas y se transformaron a formato espacial utilizando el sistema de referencia WGS84 (EPSG:4326). La delimitación del área de estudio se realizó mediante la intersección espacial con un shapefile oficial del estado de Veracruz (INEGI 2020). Se implementó un análisis rasterizado con resolución de 0.125 ° (~14 km en el ecuador), siguiendo metodologías establecidas para estudios de biodiversidad a escala regional (Kreft & Jetz 2007). La densidad de registros se calculó mediante la función de conteo por celda, mientras que la riqueza de especies se determinó contabilizando el número de taxones únicos por unidad espacial (Gotelli & Colwell 2001). Ambas variables se representaron mediante escalas cromáticas graduadas con transformación logarítmica para la densidad de registros, facilitando la visualización de patrones espaciales heterogéneos (Bivand et al. 2013). Los mapas resultantes se generaron utilizando los paquetes 'raster', 'stars' y 'ggplot2' en R (Hijmans 2022, Pebesma 2019, Wickham 2016).
Resultados
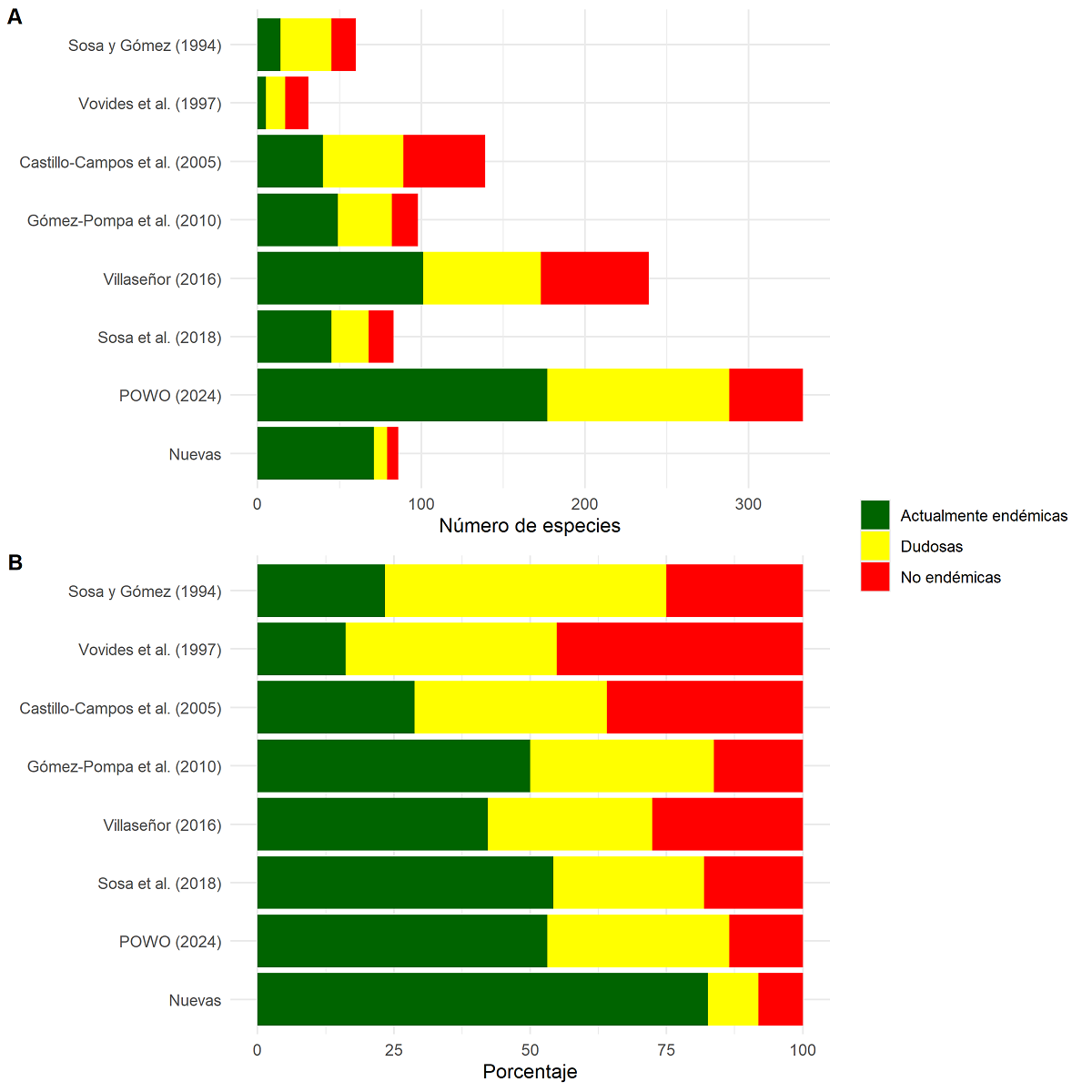
Listado actualizado de la flora endémica de Veracruz. Al compilar la información disponible sobre las plantas vasculares endémicas de Veracruz obtuvimos inicialmente un total preliminar de 700 taxones, el cual se redujo a un listado de 564 taxones considerando las sinonimias. De estos 564 taxones, 207 (36.7 %) fueron corroborados como endémicos de Veracruz (Material suplementario, Tabla S1).
Determinamos que las dos fuentes con el mayor porcentaje de especies endémicas corroboradas fueron la base generada con los datos de Sosa et al. (2018) con 45 spp. (54 % de su listado) y el listado generado en POWO con 176 spp. (53 % de su listado; Figura 1). Asimismo, el análisis de las fuentes reveló que 154 especies (27.1 % de las 564) se descartan del listado actualizado de endémicas del estado por diversas razones (Material suplementario, Tabla S2).

Figura 1 Comparativa entre el A) número y B) porcentaje de especies previamente clasificadas como endémicas de Veracruz según los cinco listados publicados (Sosa & Gómez-Pompa 1994, Vovides et al. 1997, Castillo-Campos et al. 2005, Gómez-Pompa et al. 2010, Villaseñor 2016), la base de datos de Sosa et al. (2018), la base generada en POWO (2024) y especies reportadas como endémicas de manera individual en artículos científicos clasificadas como Nuevas, indicando si estas actualmente se pueden confirmar como endémicas, dudosas y no endémicas.
Por otro lado, 203 especies fueron clasificadas como “Dudosas” (35.9 % del total de las 564). De estas, 153 requieren una revisión por parte de taxónomos especializados en los grupos correspondientes para confirmar si su determinación es correcta, ya que presentan registros de colecciones fuera de Veracruz. Estos casos se detallan en la Tabla S3 (Material suplementario), bajo la categoría Dudosas 1. Las 50 especies restantes fueron clasificadas como Dudosas por ser especies descritas en su mayoría en los años de 1,800 - 1,900, son consideradas en POWO como no colocadas y no cuentan con ejemplares disponibles. Estas especies se enlistan en la Tabla S3 (Material suplementario), bajo la categoría de Dudosas 2 (Figura 2).

Figura 2 Ejemplos de especies clasificadas como “Dudosas” que requieren ser revisadas por taxónomos especialistas: A) Mayna odorata (B. Hammel 7187, CM) Panamá, B) Zephyranthes miradorensis (G. L. Nesom y M. Martínez 6241, TEX) Tamaulipas, C) Echeandia albiflora (H. et al. 9596, CalBG) Guerrero y D) Neurolaena venturana (J. I. Calzada y J. Múgica 16969, MEXU) Oaxaca. Las fotografías de los ejemplares son cortesía de los herbarios citados entre paréntesis.
Cabe mencionar que el listado generado en POWO presentó el mayor porcentaje de especies dudosas con 111 spp. (33.3 % de su listado), seguido por el trabajo de Villaseñor (2016) con 72 spp. (30.1 % de su listado) y el de Castillo-Campos et al. (2005) con 49 spp. (35.2 % de su listado; Figura 1).
Análisis de datos. Considerando únicamente el listado actualizado de las 207 especies de plantas vasculares endémicas de Veracruz, las 11 familias con mayor número de especies endémicas fueron: Piperaceae (18 spp.), Asteraceae (13 spp.), Zamiaceae (11 spp.), Orchidaceae y Poaceae (10 spp. cada una), Fabaceae (9 spp.), Annonaceae y Crassulaceae (8 spp. cada una), así como Acanthaceae, Myrtaceae y Rubiaceae (7 spp. cada una).
Por otro lado, los 11 géneros con mayor número de especies endémicas fueron: Peperomia (10 spp.), Piper (8 spp.), Ceratozamia (8 spp.), Eugenia (7 spp.), Lobelia (6 spp.), Justicia (5 spp.), así como Echeveria, Sedum, Magnolia y Parathesis (4 spp. cada uno).
Estado de conservación de especies endémicas. De las 207 especies endémicas de Veracruz sólo 43 han sido evaluadas con los métodos de la UICN (20.7 %): una especie fue clasificadas como extinta (EX), una en preocupación menor (LC), tres como vulnerables (VU), cuatro con datos insuficientes (DD), 15 en peligro (EN) y 19 en peligro crítico (CR). En la columna 3 de la Tabla S1 se pueden consultar las especies que han sido evaluadas con los métodos de la UICN con sus respectivas categorías. Los dos géneros con el mayor número de especies evaluadas (UICN) son: Ceratozamia con siete especies de las cuales cinco se encuentran en peligro (EN) y dos en peligro crítico (CR), y Eugenia con una especie vulnerables (VU), una en peligro crítico (CR) y cuatro en peligro (EN).
Asimismo, de las 207 especies endémicas únicamente 20 se encuentran en la NOM-059 (9.6 %); ocho amenazadas (A), siete en protección especial (PR), cuatro en peligro de extinción (P) y una probablemente extinta en el medio silvestre (E, Material suplementario, Tabla S1). El género con más especies evaluadas es Peperomia (tres amenazadas y tres en protección especial).
Mapas de densidad de registros y riqueza de especies endémicas de Veracruz. Se analizaron los patrones espaciales de distribución de especies endémicas en el estado de Veracruz. El análisis de densidad de registros reveló una concentración máxima de 62 registros por píxel, con un promedio de 7.23 registros por píxel (excluyendo celdas sin datos). La distribución espacial de estos registros no fue homogénea, identificándose tres zonas de alta concentración: la franja costera entre los municipios de Actopan y Alto Lucero, incluyendo el municipio de Veracruz; la región central en torno al municipio de Apazapan y sus alrededores; y la región de Los Tuxtlas, particularmente en el municipio de San Andrés Tuxtla (Figura 3A).

Figura 3 Mapas de A) densidad de registros y B) riqueza de especies de plantas endémicas de Veracruz.
En cuanto a la riqueza de especies, se registró un máximo de 21 especies por píxel, con un promedio de 3.36 especies por unidad espacial. Las áreas con mayor diversidad se localizaron principalmente en tres regiones: la zona central de Veracruz (Apazapan y municipios circundantes), las zonas montañosas (Totutla y alrededores), y la Sierra de Los Tuxtlas (San Andrés Tuxtla y Soteapan). Estas zonas de alta riqueza coinciden parcialmente con las áreas de mayor densidad de registros, sugiriendo una correlación positiva entre el esfuerzo de muestreo y la diversidad documentada (Figura 3B). El análisis por ecorregiones mostró que los bosques húmedos, selvas secas, manglares y la Sierra de Los Tuxtlas concentran la mayor densidad de registros, mientras que las selvas secas y el bosque mesófilo de montaña en el centro de Veracruz y la Sierra de Los Tuxtlas albergan la mayor riqueza de especies endémicas.
Discusión
Listado actualizado de la flora endémica de Veracruz. Se confirmó la presencia de 207 especies de plantas vasculares endémicas de Veracruz, cifra que representa el 2.4 % de las 8,497 que Villaseñor (2016) reporta para la entidad. De acuerdo con el listado florístico de México propuesto por este autor, Veracruz, con 238 especies endémicas, ocupa el cuarto lugar en endemismo de flora vascular en el país, por debajo de Baja California Sur (242), Chiapas (403) y Oaxaca (760). Considerando nuestros resultados, Veracruz también se coloca por debajo de Guerrero (237) en endemismos, ocupando el quinto lugar nacional. Cabe mencionar que el listado actualizado de endémicas puede aumentar, considerando especies nuevas de distribución restringida a la entidad (p. ej., Beschorneria carolinae Jimeno-Sevilla & García-Gutiérrez (Jimeno-Sevilla et al. 2024) y Lepanthes salvaterrae Solano, J.R.Carral & Téllez (Solano et al. 2025), así como la verificación de algunas de las especies dudosas.
El número de especies endémicas de Veracruz que obtuvimos es cercano a las 238 especies que reporta Villaseñor (2016), aunque la composición de ambos listados muestra una gran discrepancia entre sí, ya que únicamente 100 especies coinciden. En otros estudios, se ha encontrado que las cifras reportadas por Villaseñor (2016) sobre el endemismo son muy cercanas al número de especies corroboradas como endémicas. Por ejemplo, en Sinaloa, Villaseñor (2016) reportó 69 especies endémicas y un estudio posterior más detallado por Pío-León et al. (2023) encontró 77 especies. De manera similar, en Puebla, Villaseñor (2016) identificó 67 especies mientras que un estudio posterior ajustó este número a 60 (Villaseñor et al. 2023a). Para Guanajuato, Villaseñor (2016) reportó siete especies endémicas, una cifra que fue confirmada posteriormente por Villaseñor et al. (2023b). Estos patrones sugieren que, aunque puede haber ligeras variaciones, las estimaciones iniciales con respecto al número de endémicas de Villaseñor (2016) proporcionan una base para estudios posteriores. No obstante, será necesario corroborar la composición de estos listados, es decir, verificar si las especies reportadas como endémicas efectivamente lo son.
Existen especies que han sido consideradas endémicas de Veracruz en listados anteriores, que tienen colectas en otros estados o países, sin embargo estos ejemplares están mal identificados. Por ejemplo: Desmodium sylvicola Brandegee (C. A. Purpus 8658, NY; Figura 4A), fue registrada para el Estado de México por una colecta (G. B. Hilton 2866, K), que en realidad corresponde a Desmodium bellum (S.F. Blake) B.G. Schub; Licaria mexicana (Brandegee) Kosterm. (C. A. Purpus 8781, GH, Figura 4B), se registró para Guatemala por un ejemplar (W. R. Maxon 3346, C), que corresponde a Licaria peckii (I.M. Johnst.) Kosterm., especie que se distribuye desde el sur de Veracruz hasta Belice y Guatemala; de Peperomia hobbitoides T.Wendt (T. Wendt et al. 4223, TEX; Figura 4C), existe una colecta de Guerrero (G. B. Hinton 10765, NY), que corresponde a Peperomia pasionana Trel. ex G.Mathieu, con distribución en Guerrero y Puebla; finalmente, de Archibaccharis venturana G.L.Nesom (M. H. Nee 32893, MO; Figura 4D), se conoce una colecta del estado de Guerrero (F. R. Barrie y E. Martínez S. 687, TEX), la cual corresponde a Archibaccharis schiedeana (Benth.) J.D.Jacks., una especie de amplia distribución en México. La identificación incorrecta de especies conlleva imprecisiones en los listados y puede deberse a la escasez de taxónomos especializados en grupos específicos que brinden asesoría en el proceso de identificación. Por ello, consideramos fundamental destacar la importancia de incluir la enseñanza de la taxonomía en los programas educativos de biología desde etapas tempranas. Asimismo, proponemos fomentar estancias en herbarios internacionales con especialistas, con el fin de despertar el interés en esta disciplina y así contribuir a la formación de nuevos taxónomos especializados en grupos específicos (Ruiz-Gómez et al. 2024). También sería de utilidad generar un directorio en línea de taxónomos especialistas de géneros y familias.

Figura 4 Ejemplos de especies corroboradas como actualmente endémicas de Veracruz. A) Desmodium sylvicola Brandegee (C. A. Purpus 8658, NY), B) Licaria mexicana (C. A. Purpus 8781, GH), C) Peperomia hobbitoides (T. Wendt et al. 4223, TEX) y D) Archibaccharis venturana (M. H. Nee 32893, MO). Las fotografías de los ejemplares son cortesía de los herbarios citados entre paréntesis.
El 27.3 % de las 564 especies de nuestro listado original fue clasificado como no endémico (154 spp.), debido a la existencia de registros confirmados en estados vecinos. Por ejemplo, Begonia imperialis Lem. originalmente descubierta en la región del Uxpanapa y considerada anteriormente como endémica de Veracruz por Castillo-Campos et al. (2005), se ha colectado recientemente en Oaxaca y Chiapas. De igual manera, Monstera florescanoana Croat, T Krömer & Acebey (Figura 5A), clasificada como endémica por Gómez-Pompa et al. (2010) ahora se conoce también de Chiapas, Hidalgo y Querétaro. Otro ejemplo es Marattia laxa Kunze (Figura 5B) considerada endémica por Vovides et al. (1997) y posteriormente colectada en Oaxaca. Asimismo, Agave wendtii Cházaro (Figura 5C), categorizada como endémica por Gómez-Pompa et al. (2010), Villaseñor (2016) y Sosa et al. (2018), la cual ha sido colectada en Tabasco. Estos casos indican que, por la presencia de tipos de vegetación y hábitats similares en estados colindantes a Veracruz, estas especies que originalmente fueron reportadas como endémicas del estado puedan tener distribuciones más amplias. Una limitación de este estudio fue no lograr la revisión de todas las colectas realizadas fuera del estado, por ello hemos generado la Tabla S3 (categoría Dudosas 1), en la cual se especifican los ejemplares colectados fuera de Veracruz que necesitan ser revisados por especialistas de cada grupo para verificar si están identificados correctamente.

Figura 5 Ejemplos de especies que en listados anteriores habían sido clasificadas como endémicas de Veracruz, pero se ha corroborado que no lo son: A) Monstera florescanoana (H. Rubio 652, MO) Querétaro, B) Marattia laxa (J. T. Mickel y R. L. Hellwig 4117, TEX) Oaxaca, C) Agave wendtii (A. Morales 40, MEXU) Tabasco y D) Diphalangium graminifolium (A. Aschenborn 30, JE) México. Las fotografías de los ejemplares son cortesía de los herbarios citados entre paréntesis.
Por otro lado, 10.6 % de las especies del listado inicial (60 spp.) fueron consideradas no endémicas por tratarse de especies con amplia distribución por sinonimia o presentar errores taxonómicos, lo que sugiere que en listados anteriores no habían considerado todos los sinónimos de las especies, siendo estos esenciales en la investigación taxonómica (Rao 2004). Uno de estos casos es Milla biflora Cav. (Figura 5D), en el listado de Villaseñor (2016) fue considerada como endémica su sinónimo Diphalangium graminifolium Schauer, que en realidad se distribuye en Chihuahua, Colima, Durango, Guanajuato, Hidalgo, Jalisco, Michoacán, Morelos, Puebla, Querétaro, Sonora y Zacatecas.
Lo anterior resalta la necesidad de realizar revisiones taxonómicas, sobre todo de los grupos menos estudiados debido a su complejidad taxonómica (Ramírez-Amezcua & Steinmann 2013), con el fin de depurar los listados. Estamos de acuerdo con Scoffield (2008) sobre la necesidad de contar con más fondos para llevar a cabo revisiones taxonómicas, pues el conocimiento taxonómico es clave para la conservación de especies endémicas. Estudios futuros podrían ampliar la revisión taxonómica de las especies dudosas que se encuentran en la Tabla S3 (apartado “Dudosas 2”, Material suplementario), sobre todo aquellas que fueron descritas hace muchos años.
Análisis de datos. El análisis de las diferentes fuentes de información mostró grandes diferencias en el número y la composición de especies endémicas confirmadas, las cuales se deben principalmente a las colectas adicionales que se han realizado en otros estados, las nuevas especies que se han descubierto y las sinonimias no actualizadas. Existen especies con más de un sinónimo (ver Tabla S2, Material suplementario), lo que suele ser un indicador claro de la complejidad inherente a su clasificación taxonómica (Rao 2004). Estos resultados subrayan la importancia de actualizar los listados florísticos periódicamente.
Las dos fuentes que presentaron porcentajes más altos de especies corroboradas como endémicas fueron la base de datos de Sosa et al. (2018) con 54 % y la base generada en POWO con 53 % (Figura 1B). Consideramos que se debe a que Sosa et al. (2018) conformaron su base de datos con información de tres fuentes: CONABIO, Villaseñor (2016) e información adicional de la literatura. Esto reitera la importancia de incluir diversas fuentes para lograr una búsqueda efectiva de información (Moncada-Hernández 2014). En el caso de POWO por ser un programa colaborativo internacional.
La base generada bajo la categoría Nuevas contribuyó con 71 especies al listado actualizado, lo que resalta la importancia de haber llevado a cabo una búsqueda exhaustiva en la literatura para detectar especies publicadas como endémicas en el pasado pero que no habían sido consideradas en los cinco listados anteriores. Tal es el caso de Lobelia circaeoides (C.Presl) A.DC., cuya descripción se publicó en 1839, y que no se menciona como endémica en ninguno de los cinco listados analizados, sino hasta la construcción del inventario actualizado de Campanulaceae por Rzedowski (2019). Además, regularmente se publican nuevas especies que no se conocen para otros estados. Por ejemplo, Valeriana rudychazaroi Cházaro, Franc.Gut. & J.R.Carral (Francisco-Gutiérrez et al. 2023), Anthurium tiswatl Diaz Jim. & Croat (Díaz et al. 2024), Ocotea bella Reveles & Ortiz-Rodr. y O. caelestis Ortiz-Rodr. & Reveles (Hurtado-Reveles & Ortiz-Rodriguez 2025). Incluso el presente estudio quedará desactualizado con el tiempo, subrayando la importancia de revisar y actualizar constantemente los datos de endemismo para guiar adecuadamente los esfuerzos de conservación y las políticas ambientales. En este sentido, el alto grado de endemismos en la reserva de la biósfera Sierra de la Laguna en Baja California Sur fue uno de los factores que motivaron su conservación (Cariño et al. 2004).
Las únicas especies del listado actualizado de endémicas que son consideradas extintas son Licaria mexicana y Encyclia flabellata (Lindl.) B.F.Thurst. & W.R.Thurst (Gómez-Pompa et al. 2010). Sin embargo, existen más especies que cuentan con especímenes de los años 1800 y que sólo se conocen de la localidad tipo. Esto sugiere que estas también pueden estar extintas debido a la pérdida de su hábitat natural por la deforestación y los cambios de uso de suelo (Ellis et al. 2011, Gómez-Díaz et al. 2018). Algunos ejemplos de especies cuyos ejemplares fueron colectados hace muchos años y posiblemente ya desaparecieron son: Alternanthera cordobensis (Standl.) Standl. colectada en 1865, Amauropelta venturae (AR Sm.) Salino & TE Almeida colectada en 1973, Paepalanthus mellii Moldenke colectada en 1928, Selaginella orizabensis Hieron., de la cual existen colectas mal identificadas de otros estados, sin embargo, sólo el ejemplar colectado en 1855 está correctamente determinado (especialista C. Carvajal, com. pers.), y Ribes orizabae Rose colectada en 1853 (otro ejemplar de Puebla está mal identificado, especialista C. Durán, com. pers.). Comúnmente, se publica más sobre el descubrimiento de nuevas especies para la ciencia (p. ej., Krömer et al. 2007, Londoño & Ruiz-Sánchez 2014, Gutiérrez-Báez et al. 2016, Arzaba-Villalba et al. 2018), mientras que existen menos esfuerzos para investigar si las especies endémicas se han extinguido (p. ej., Sosa et al. 1998). Considerando que entre 1984 y 2000 el estado de Veracruz perdió 36 % de sus bosques naturales y en el 2011 sólo quedaba 8.6 % de la vegetación natural en fragmentos aislados (Ellis et al. 2011), es necesario corroborar en futuros trabajos si estas especies endémicas no están extintas.
Las tres familias con mayor número de especies endémicas fueron Piperaceae (18), Asteraceae (13) y Zamiaceae (11). En México, la familia con mayor número de especies es Asteraceae con 3,050 especies, de las cuales 1,988 (63.9 %) son endémicas del territorio nacional (Villaseñor 2018), mientras que Piperaceae agrupa 245 especies con 81 endémicas del país (33 %; Villaseñor 2016). En el caso del estado de Veracruz, la familia con mayor número de especies también es Asteraceae con 610, mientras que Piperaceae se encuentra en el noveno con 139 (Lorea-Hernández et al. 2011), albergando más de la mitad de las especies de esta familia.
El patrón que encontramos sobre alto número de especies endémicas de la familia Asteraceae puede deberse a la alta riqueza de especies de esta familia tanto en México como en Veracruz (Lorea-Hernández et al. 2011, Villaseñor 2016). Esto también se observó al analizar el endemismo del norte de México donde la mitad de los géneros endémicos pertenecen a Asteraceae, la familia más representativa de esta región (González-Elizondo et al. 2017).
En Mesoamérica, cerca del 80 % de las especies de la familia Piperaceae son endémicas y presentan distribuciones muy limitadas (Callejas 2020). Por ello, consideramos que la posición número uno de esta familia en términos de endemismo en Veracruz puede deberse a los factores ecológicos específicos presentes en el estado, que favorecen la diversificación y especialización de estas especies, sobre todo los hábitats de selvas húmedas en tierras bajas como en las regiones de Los Tuxtlas y Uxpanapa pertenecientes a la región Neotropical (Jimeno-Sevilla et al. 2018, Carmona-Hernández et al. 2023). Algunos de los factores climáticos probablemente implicados en los patrones de endemismo de las Piperaceae son la temperatura mínima del mes más frío, el rango de temperatura media mensual y la precipitación del mes más húmedo (Hao et al. 2012), lo cual indica la necesidad de generar estudios regionales para identificar las variables ambientales que influyen en el endemismo e identificar áreas prioritarias de conservación de especies endémicas (Gómez-Díaz et al. 2023, Carvajal-Hernández & Gómez-Díaz 2024). Finalmente, la representatividad de la familia Zamiaceae puede deberse a que México es el segundo país con mayor riqueza de cícadas a nivel mundial (Calonje et al. 2024).
Los géneros con mayor número de especies endémicas son Peperomia, Piper y Ceratozamia, consideramos que esto se debe en parte a las múltiples revisiones taxonómicas que se han realizado especialmente en los géneros Peperomia (Mathieu et al. 2015, Vergara-Rodríguez et al. 2017, Jimeno-Sevilla et al. 2018, Ruiz-Gómez et al. 2023, 2024) y Piper (Callejas 2020, Carmona-Hernández et al. 2023) en los últimos diez años. Así como los estudios entorno al género Ceratozamia por tratarse de especies altamente amenazadas a nivel global (Vovides et al. 2012, Rivera-Fernández et al. 2012, Gómez-Díaz et al. 2023).
Peperomia contaba, hasta 1997, con 1,000 especies, siendo uno de los 13 géneros de angiospermas más numerosos a nivel global (Frodin 2004). Actualmente se conocen 1,673 taxones (1,505 especies y 168 variedades y formas; Mathieu 2023). En Mesoamérica se encuentran 223 especies, con el 48 % de endemismo (Callejas 2020), mientras que en México se distribuyen 136 especies (Mathieu 2023), de las cuales 65 ocurren en Veracruz (Vergara-Rodríguez et al. 2017, Jimeno-Sevilla et al. 2018) y diez han sido corroboradas como endémicas (Ruiz Gómez et al. 2024). Podemos encontrarlas como hierbas terrestres, saxícolas y/o epífitas, desde el nivel del mar hasta casi los 3,000 m snm, formando poblaciones pequeñas (Callejas 2020) y se distribuyen principalmente en las selvas húmedas y bosques mesófilos de montaña, en donde las condiciones microclimáticas favorecen su adaptación (Vergara-Rodríguez et al. 2017).
Ocho especies endémicas de Veracruz pertenecen al género Piper que cuenta con aproximadamente 2,600 especies a nivel global, de las cuales 736 se encuentran en Mesoamérica, con 82 % de endemismo (Callejas 2020). En México, Piper ocupa el doceavo lugar entre los géneros con mayor número de especies y de endémicas (136 y 53 spp., respectivamente; Villaseñor 2016) y para Veracruz se han reportado 80 especies (Carmona-Hernández et al. 2023). Las especies de Piper son mayormente arbustos o pequeños árboles que se distribuyen principalmente en selvas húmedas y bosques mesófilos de montaña, frecuentemente ubicadas a orillas de cuerpos de agua o en el interior del bosque; sin embargo, algunas especies requieren altos grados de exposición solar (Callejas 2020). Estos ambientes son comunes en Veracruz, donde el clima de las selvas tropicales y los bosques mesófilos de montaña favorece a las especies de este género.
Respecto al género Ceratozamia, ocho especies resultaron endémicas al estado. Este género forma parte del grupo de las cícadas, que en México está conformado por 76 especies en los géneros Ceratozamia, Dioon y Zamia (Calonje et al. 2024). El 80 % de estas son endémicas de México, que es el segundo país con mayor riqueza de cícadas en el mundo, solo superado por Australia (Calonje et al. 2024). Ceratozamia se distribuye únicamente en el neotrópico, en las regiones montañosas de México y la zona con mayor diversidad de especies es la cordillera de la Sierra Madre Oriental (Medina-Villarreal et al. 2019), lo que explica el alto número de endémicas en Veracruz.
Estado de conservación de especies endémicas. Conocer con mayor exactitud cuáles son las plantas endémicas del estado ha sido el primer paso para promover su conservación. Posteriormente, al revisar el estado de conservación de las 207 especies corroboradas como endémicas de Veracruz de acuerdo con criterios nacionales como el Método de Evaluación del Riesgo de Extinción de las Especies Silvestres en México MER NOM-059 (SEMARNAT 2010, 2025) e internacionales como los de la Lista Roja de la UICN (IUCN 2024), observamos que sólo 20 especies han sido evaluadas de acuerdo con la NOM-059 y 43 de acuerdo con la UICN. Por lo tanto, consideramos que ambas listas están desactualizadas, lo cual ya ha sido mencionado en otros trabajos (García-Aguilar et al. 2017, Krömer et al. 2019).
De hecho, más del 70 % de todas las especies de plantas vasculares del mundo no cuentan con evaluaciones sobre su estado de conservación (Bachman et al. 2024). Para llenar estos vacíos de información, se ha realizado un estudio específico destinado a abordar esta falta de conocimiento obteniendo la predicción del riesgo de extinción de todas las especies de angiospermas (Bachman et al. 2024). Sin embargo, estos resultados son binarios y sólo nos indican si una especie está en riesgo o no, por lo cual, es necesario realizar la evaluación precisa de cada especie para determinar su categoría de riesgo.
Existe un sesgo hacia ciertos grupos taxonómicos, como por ejemplo las orquídeas y cícadas en la NOM-059, el cual ha sido señalado por García-Aguilar et al. (2017), quienes cuestionaron la inclusión y exclusión de especies en este listado. Nosotros corroboramos dicho sesgo debido a los bajos porcentajes de especies endémicas incluidas en la Norma Oficial Mexicana. En ese sentido, tenemos la experiencia de haber enviado en 2021 a la SEMARNAT los resultados obtenidos de la evaluación de varias especies endémicas de Veracruz bajo los lineamientos establecidos por el MER. Cuatro años después ha sido publicado un listado actualizado de la NOM-059 (SEMARNAT 2025), por lo que consideramos que se trata de un proceso burocrático y lento. Por ello, es urgente que la SEMARNAT asuma su responsabilidad en la conservación de las especies endémicas y amenazadas, asegurando su inclusión oportuna en la NOM-059 (Lorenzo & González 2017). Asimismo, es necesario desarrollar más estudios ecológicos que faciliten la comprensión de las especies endémicas, los cuales serán el sustento para generar planes de manejo que aseguren su conservación, la identificación de áreas de endemismo y de sitios prioritarios de conservación, como lo han realizado en otros estados, como Sinaloa (Pío-León et al. 2023).
Mapas de densidad de registros y riqueza de especies endémicas de Veracruz. La distribución heterogénea de la densidad de registros y riqueza de especies endémicas en Veracruz puede explicarse por una combinación de factores ecológicos, geográficos, históricos y metodológicos. La alta concentración de registros y riqueza en la zona central de Veracruz (Apazapan y alrededores) y en las zonas montañosas (Totutla y alrededores) puede atribuirse principalmente a la presencia del bosque mesófilo de montaña, un ecosistema reconocido como centro de endemismo en México (Rzedowski 2006). Este tipo de vegetación se caracteriza por condiciones microclimáticas particulares, con alta humedad, temperaturas moderadas y niebla frecuente, que favorecen la especiación y el aislamiento de poblaciones vegetales (Williams-Linera 2007). La topografía accidentada de estas regiones genera un mosaico de microhábitats que promueve la diversificación y el mantenimiento de especies con distribuciones restringidas (Gentry 1982, Luna-Vega et al. 2016).
La región de Los Tuxtlas (San Andrés Tuxtla y Soteapan) representa otro importante centro de endemismo, explicable por su condición de "isla biogeográfica" de bosque húmedo tropical rodeada de áreas transformadas (Dirzo & Miranda 1991). Su origen volcánico y aislamiento geográfico han favorecido procesos de especiación alopátrica y la persistencia de linajes antiguos (Castillo-Campos & Laborde 2004). Además, esta región ha funcionado históricamente como refugio durante fluctuaciones climáticas del Pleistoceno, permitiendo la supervivencia y diversificación de especies sensibles a cambios ambientales (Toledo 1982, Wendt 1989).
La franja costera entre Actopan y Alto Lucero, incluyendo el municipio de Veracruz, muestra alta densidad de registros asociada principalmente a ecosistemas de selvas secas y manglares. Las selvas secas de México son reconocidas por su alto endemismo debido a la estacionalidad marcada y condiciones edáficas particulares que han impulsado adaptaciones específicas (Trejo & Dirzo 2002). Los manglares, por su parte, representan ecosistemas con condiciones ecológicas extremas (salinidad, inundación) que favorecen adaptaciones especializadas y endemismos (López-Portillo et al. 2011).
Es importante considerar también factores metodológicos que pueden influir en los patrones observados. La accesibilidad diferencial del territorio veracruzano puede generar sesgos de muestreo, con mayor concentración de registros en áreas cercanas a centros urbanos, carreteras o estaciones biológicas (Hijmans et al. 2000). La presencia de instituciones académicas y áreas naturales protegidas también puede incrementar el esfuerzo de colecta en determinadas zonas (Soberón et al. 2007).
La correlación parcial entre áreas de alta densidad de registros y alta riqueza de especies sugiere que, si bien existe un efecto del esfuerzo de muestreo, los patrones de diversidad observados reflejan también procesos ecológicos y evolutivos reales (Hortal et al. 2007). La heterogeneidad ambiental de Veracruz, con marcados gradientes altitudinales y climáticos en distancias relativamente cortas, ha favorecido la diversificación y especialización de la flora endémica (Challenger & Soberón 2008).
Estos patrones de endemismo tienen importantes implicaciones para la conservación, ya que identifican áreas prioritarias que concentran especies con distribuciones restringidas y potencialmente vulnerables a cambios ambientales y perturbaciones antropogénicas (Myers et al. 2000). La fragmentación de hábitats, particularmente severa en ecosistemas como el bosque mesófilo de montaña y las selvas húmedas y secas de Veracruz, representa una amenaza significativa para la persistencia de estas especies endémicas (Williams-Linera et al. 2002).
Recomendaciones y alcances del trabajo. Cada especie que se presenta como endémica de Veracruz en este listado está acompañada de un espécimen de referencia para facilitar al lector su ubicación, quien puede revisar si los ejemplares están bien determinados y corroborar la presencia de la especie en el estado. Desafortunadamente, no todas las publicaciones de especies endémicas cuentan con esta información (p. ej., Villaseñor 2016, Lascurain-Rangel et al. 2017, Villaseñor et al. 2023a, b, 2024), por lo que es indispensable que los especialistas incluyan estos datos esenciales en sus listados. Además, es relevante examinar los especímenes en colecciones de herbarios y repositorios virtuales para desarrollar listados, dado que esta información es utilizada en estudios biogeográficos y en el desarrollo de estrategias de conservación biológica (Ramírez-García & Krömer 2025).
La falta de una revisión exhaustiva de los ejemplares que conforman las bases de datos utilizadas para generar estudios florísticos-taxonómicos tiene importantes implicaciones. Esto ha llevado a que se sigan considerando como especies endémicas o raras a algunas que no lo son, como es el caso de Monstera florescanoana, Spathiphyllum uxpanapense Matuda, Peperomia chazaroi G. Mathieu & T. Krömer, P. fugax C.DC. y P. huatuscoana C.DC., entre otras. Aunque estas especies han sido colectadas en varios estados y la información de sus especímenes está presente en herbarios virtuales o bases de datos, recientemente fueron publicadas como raras y endémicas de Veracruz (Villaseñor et al. 2024).
También es necesario generar un vínculo que permita actualizar las correcciones que los especialistas realizan de los ejemplares de herbario, pues continúan apareciendo colectas con nombres erróneos en línea, generando problemas al localizar los especímenes. Por ejemplo, hay una colecta de Platanthera nubigena A.Rich. & Galeotti de Morelia (Rzedowski 46503, IEB) disponible en GBIF y EncicloVida que, sin embargo, fue determinada por los mismos autores Espejo-Serna & López-Ferrari (1994) como Platanthera calderoniae López-Ferrari & Espejo. Consideramos que es necesario actualizar estos cambios de manera más eficiente.
Las plataformas virtuales fueron excelentes herramientas para ubicar especies publicadas en los años de 1800-1900, útiles para analizar especies con errores taxonómicos, por lo que recomendamos su uso. Sin embargo, en ocasiones no están disponibles las imágenes de los ejemplares, por lo que consideramos que sería muy valioso contar con la digitalización de todos los herbarios, tanto nacionales como regionales (Heberling et al. 2019), facilitar su acceso en bases de datos como GBIF y darle continuidad a la iniciativa nacional de Red de Herbarios de México (herbanwmex.net). A medida que más instituciones se integren a la digitalización podremos contar con mejores datos sobre la distribución de la flora (de Araujo et al. 2022), que nos permitan generar trabajos biogeográficos actualizados (Heberling et al. 2019) y proyectos de conservación, con énfasis en las especies más vulnerables (Delves et al. 2023).
En relación con las especies clasificadas como Dudosas (Tabla S3), cuyos ejemplares no están disponibles en línea o cuya identificación con certeza es complicada mediante una fotografía digital, es importante que especialistas en cada grupo taxonómico contribuyan en la revisión de estos registros. Como se trata de 203 especies, la confirmación o actualización de sus nombres sería relevante para la evaluación de su estado de endemismo y conservación.
También es importante continuar con la colecta y herborización de material vegetal de manera adecuada para que sus ejemplares puedan ser estudiados por taxónomos expertos (Ruiz-Gómez et al. 2024). Sobre todo, es necesario realizar más trabajo de campo en los fragmentos de bosque natural remanentes en zonas remotas y botánicamente poco exploradas (Prance et al. 2000), donde aún quedan muchas especies por descubrir que pueden estar amenazadas por la deforestación y la pérdida de hábitat (Carvajal-Hernández et al. 2018). Esto con el fin de continuar ampliando nuestro conocimiento sobre la distribución de las plantas vasculares y descubrir nuevas especies endémicas.
El listado que hemos generado representa una herramienta clave para priorizar la evaluación del riesgo de extinción de las especies endémicas de Veracruz, facilitar la elaboración de planes de manejo y restauración de hábitats e identificar aquellas especies que requieren monitoreo constante para detectar cambios en sus poblaciones. Estas especies desempeñan un papel crucial en la estructura y composición de los bosques sucesionales (Endress 2002), y al ser utilizadas como bioindicadores, permiten obtener información valiosa sobre la salud y el estado de los ecosistemas en los que habitan. Confiamos en que este listado actualizado contribuirá significativamente al diseño e implementación de políticas de conservación, así como a la protección legal de las especies más amenazadas.
Material suplementario
El material suplementario de este trabajo puede ser consultado aquí: https://doi.org/10.17129/botsci.3673.















