1. INTRODUCCIÓN
El uso de protección de superfície en el concreto es una posibilidad de aumentar la vida útil de estructuras expuestas a ambientes marinos. Ese tipo de protección inhibe la penetración de agentes agresivos por difusión, migración y absorción por capilaridad.
Los materiales de protección de superfície para concreto pueden ser clasificados em tres grupos: hidrofugantes (repele el agua), bloqueadores de poros (reaccionan con algunos componentes solubles del concreto y formam productos insolubles) y formadores de película (forman una película contínua en la superfície del concreto). La Figura 1 ilustra esos tres grupos de protección de superfície.

Figura 1 Grupos de tratamiento de superfície para concreto: (a) formadores de película (b) bloqueadores de poros (c) hidrogufantes de superfície (adaptado de Keer, 1992).
1.1 Formadores de película
Los formadores de película presentan la ventaja de proveer una barrera física en la superfície del concreto, que lo aisla de agentes agresivos del ambiente externo. Esos productos exigen un sustrato homogéneo y liso con poros de dimensión máxima igual a 0,1 mm. Eso significa que son capaces de cubrir fisuras de hasta 0,1 mm. Sin embargo, la película se rompe si el concreto se fisura despues de ser pintado. Ademas de eso, si el concreto tiene elevada humedad interna antes de la aplicación, la película no permite que el concreto se seque. Eso puede deteriorar la pelicula de protección, causando la formación de burbujas debido a la presión de vapor de la humedad interna. Desde el punto de vista arquitectónico, ese grupo de tratamientos de superfície modifica la estética de la estructura adicionando brillo o color a la superfície del concreto, que algunas veces es deseable y en otras no (Helene, 2000).
Ese grupo de tratamiento de superfície (formador de película) fué intensamente estudiado en los últimos quince años. Delucchi et al. (1998) estudiaron la importancia de los parámetros E (módulo de elasticidad) y ( (viscosidad) en la adherencia de la película. Seneviratne et al. (2000), utilizando analisis termo-mecánica, sugieren que la película de mayor exito es aquella con capacidad de mantener sus propiedades elastoméricas a lo largo del período necesario de exposición y sobre una amplia gama de temperaturas operacionales. Uemoto et al. (2001) mostraron la correlación entre la cantidad en volumen de pigmento de tinta y su permeabilidad al agua. Al-Zahrani et al. (2002) mostraron que los sistemas de protección por formación de película presentan eficiencia de inhibición de la corrosión acelerada coherente a los resultados obtenidos de las propiedades físicas, en particular, absorción de agua, permeabilidad y penetración de iones cloruro. Medeiros y Helene (2009) afirman que la determinación del coeficiente de difusión de cloruros permite una conparación cuantitativa de los sistemas de protección y, por eso, su cálculo debe ser canalizado en ensayos de migración. Los formadores de película son probablemente los más utilizados en la industria de la construcción y esa debe ser la razón para ser extensamente estudiados en comparación a los demas sistemas de protección de superfície.
1.2 Hidrofugantes de superfície
Agentes repelentes de agua o hidrofugantes siempre resultan de resina de silicon que son quimicamente combinadas con la base de concreto. Actualmente, los materiales mas utilizados son los silanos, siloxanos oligoméricos y la mezcla de esos dos compuestos (Medeiros; Helene, 2008).
Quimicamente, los silanos son formados por pequeñas moléculas que contienen un átomo de silício y los siloxanos son pequeñas cadenas de pocos átomos de silício, cuyas moléculas contienen grupos alcoxi (orgánicos) conectados al átomo de silício. Los silanos y siloxanos reaccionan con los silicatos del concreto, formando una adherencia estable (1997) (Figura 2). Medeiros et al. (2009) mostraron que la penetración de agentes hidrofugantes es mejor en las fases de grietas que en las de contacto con la forma, debido a la mayor permeabilidad del primero. Jacob; Hermann (1998), Batista (1998) y Moriconi et al. (2002) presentaron una amplia revisión bibliográfica sobre agentes hidrofugantes. El uso de esos agentes en la industria de la construcción civil está creciendo en un indice interesante y ha sido razonablemente estudiado. Sin embargo, hay algunos itens aun en estudio, como la influencia del mecanismo de penetración de agua (succión por capilaridad y permeabilidad) en la eficácia del tratamiento con hidrofugantes (Medeiros; Helene, 2008).

Figura 2 Combinación química del agente hidrofugante con concreto (adaptado de Vries and Polder, 1997).
1.3 Bloqueadores de poros
Bloqueadores de poros, como silicato de sódio, son usados en la industria del cemento para varias aplicaciones. Por ejemplo: como activador de cemento de escória, como aditivo protector de fibras vegetales en compuestos de cemento, como endurecedor de superfície para pisos industriales y como sistema de protección de superfície para concreto (Mehta, Monteiro, 2008; Brough, Atkinson, 2002; Jones, 2002; Toledo et al., 2003; Melo Neto, 2009).
Asi como este grupo de tratamiento es conocido hace varios años, poca información técnica y científica fue publicada sobre este asunto. Por otro lado, muchos productos de ese tipo son comercializados e indicados para la protección de superfícies de concreto. Thompson et al. (1997) explicaron las tres teorias de como los silicatos actúan para mejorar el desempeño del concreto:
Precipitación de SiO2 en los poros;
Formación de un gel expansivo, similar al formado en la relación álcali silicato, dentro de los poros;
Reacción de los silicatos con el hidróxido de cálcio presente en los poros formando silicato de cálcio hidratado.
La última teoria es la más aceptada actualmente. De ese modo, teoricamente, los bloqueadores de poros son productos compuestos por silicatos, que penetran en los poros superficiales y reaccionan con la portlandita formando C-S-H. El silicato de sódio es el producto mas usado para esa finalidad.
De acuerdo con Thompson et al. (1997), la ecuación 1 representa lo que acontece cuando la solución de silicato de sódio penetra en los poros del concreto.
Así, ese tratamiento forma una capa menos porosa en la capa superficial del concreto, modificando la penetración de agua en el material. Ese tratamiento requiere que el silicato de sódio reaccione con la portlandita [Ca (OH)2]. Por tanto, es fácil entender que en el concreto carbonatado la reacción de la ecuación 1 no ocurra, pues el Ca (OH)2 de la capa mas externa ya reacciono con el CO2, formando CaCO3. Eso fue explicado por Kagi y Ren (1995), que afirmaron que una reducción significativa de la penetración de agua en el concreto debido al tratamiento con solución de silicato solo se obtiene si el concreto es muy joven y si repetidas aplicaciones fuesen realizadas para rellenar los poros capilares. Otra contribución de Kagi y Ren (1995) es relacionada con la permeabilidad al vapor de agua del sustrato, que no es significativamente afectada por los silicatos, porque ellos no bloquean los poros capilares totalmente. Ibrahim et al. (1997) concentraron su trabajo en estimar el tiempo necesario para que las muestras de concreto armado tratadas con silicato de sódio se fisuraran por corrosión y concluyeron que los resultados fueron semejantes a los de las muestras no tratadas (patrón). No obstante, los resultados de Ibrahim et al. (1997) no estan de acuerdo con los de Thompson et al. (1997) sobre la absorción de agua. Es importante resaltar que Ibrahim et al. (1997) no informó la concentración de silicato de sódio que utilizaron en el estudo ya que el uso de una baja concentración puede influir en sus resultados. Thompson et al. (1997) compararon las concentraciones de silicato de sódio en los productos de protección y el valor alrededor del 26% presento mayor eficiencia.
Es importante enfatizar que los bloqueadores de poros deben ser aplicados luego que todas las cargas de proyecto esten actuando y las fisuras y microfisuras ocurran. No obstante, los efectos del ambiente pueden causar más fisuras. Se hubiere fisuras (grandes o suficientes para ser visibles) antes de la aplicación de los silicatos, es necesario repararlas antes de realizar el tratamiento da superfície. Se hay fisura luego del tratamiento, estas deben ser tratadas inmediatamente debido a la ruptura de la capa de baja porosidad. Ese es el principal problema del tratamiento de superfície (hidrofugantes, bloqueadores de poros y formadores de película): ellos no absorben la deformación del sustrato de concreto. Eso significa que la capa de protección formada se rompe al concreto fisurarse, causando inmediata imperfección del sistema de protección.
Es importante recrodar que, independientemente de la dimensión de la fisura, los poros restantes serán menores si no hubiese el bloqueador de poros en la superfície. Entonces, el ataque del medio ambiente será aislado en el área fisurada y las otras regiones continuaran protegidas.
En general, se puede decir que son necesarias más informaciones sobre la capacidad de protección de silicatos aplicados en superfícies de concreto armado. Por otro lado, el uso de ese tipo de protección en el concreto es amplio y su aplicación contribuye para la elevación de la vida útil, una vez que pueden ser aplicados como métodos de prevención o corrección.
De modo general, el abordaje de la vida útil ha evolucionado significativamente durante los últimos años (Castro-Borges, Helene, 2007) y eso se debe principalmente a la introducción de mas parámetros cuantitativos queven años anteriores. Esos parámetros incluyen nuevos conceptos como operacionalidad, funcionalidad, seguridad, confiabilidad y durabilidad.
Este trabajo está enfocado en la evaluación de sistemas de tratamiento de superfícies de concreto sometidas a la exposición de agua contaminada con cloruro de sódio y en condiciones de migración. De ese modo, el principal objetivo de este artículo es indicar una manera de estimar la influencia de los tratamientos de superfície del concreto en la vida útil de una estructura de concreto armado expuesta a la contaminación por cloruros.
2. PROCEDIMIENTO EXPERIMENTAL
2.1 Concreto del sustrato
El cemento utilizado para la confección del sustrato fue un cemento compuesto por escória (CPII-E 32). La Tabla 1 presenta la caracterización física y química de este material.
El concreto utilizado está descrito en la Tabla 2. Las probetas fueron compactadas con el uso de una mesa vibratoria para asegurar la compactación adecuada. El proceso de curado usado consistió en acondicionar las probetas en cámara humeda con U.R. igual a 100% y temperatura de 24°C por 91 dias. Ese período fue adoptado para promover un alto nivel de hidratación en el concreto y eliminar la influencia de un curado adicional que podría ocurrir durante los ensayos debido a la exposición al agua, o que podría afectar la série de referencia en relación a las séries con superfície tratada.
2.2 Materiales de protección de superfície
Los materiales de tratamiento de superfície utilizados en este estudio estan descritos en la Tabla 3. La Tabla 4 presenta el tipo de curado, el número de capas y el consumo recomendado por los fabricantes de cada material. Vale destacar que en el experimento existen representantes de los tres grupos de sistemas de protección abordados en este trabajo.
Tabla 3 Características de los materiales de protección de superfície
| Producto | Tipo de sistema | Densidad (g/cm3) | Viscosidad CPs (temperatura = 20oC) | Tiempo de secado (h) |
| Silano/siloxano | Hidrofugante de superfície | 1,0 | 10 | 2 - 6 |
| Acrílico | Formador de película | 0,9 | 45 | 1 |
| Poliuretano | Formador de película | 0,95 | 32 | 8 |
| Silicato de sódio | Bloqueador de poros | 1,3 | 20 | 2 |
| Silano/siloxano + Acrílico | Doble | --- | --- | --- |
Tabla 4 Tipo de curado y consumo recomendado pelos fabricantes
| Producto | Consumo (g/m² de revestimento) | Número de camadas | Tipo de cura |
| Silano/siloxano disperse em agua | 300 | 1 | Evaporaçao da agua + reaçao |
| Acrílico disperse em solvente | 150 | 2 | Secagem |
| Poliuretano | 180 | 2 | Reaçao química |
| Silicato de sódio | 200 | 2 | Reaçao química |
| Silano/siloxano + Acrílico | --- | --- | --- |
2.3 Estimativa do coeficiente de difusión por ensayo de migración
El método utilizado para estimar el coeficiente de difusión de cloruros fue basado en el procedimiento descrito por Luping & Nilsson (1992), que consiste en la medición de la profundidad de penetración de cloruros libres en las capas de concreto fracturadas en el sentido del flujo de cloruros, utilizando aspersión de una solución acuosa de 0,1 M de AgNO3 (Andrade et al., 1999) y en la aplicación da Ecuación 2. Como el método se basa en la profundidad de penetración de cloruros libres, se debe destacar que los cloruros fijos son ignorados y que existe la posibilidad de liberación de una parcela de los cloruros fijos, volviendose libres. Eso hace que el método genere aseveraciones, de cierta forma, contra la seguridad, por tanto, esta práctica fue implementada por la facilidad de ensayo y por el hecho de que en el momento de la evaluación es la penetración de los cloruros libres que efectivamente influye en la despasivación del acero.
Donde: D es el coeficiente de difusión (cm²/s), R es la constante de los gases (8,31 J/molK), T es la temperatura (298 K), z es la valencia del íon (para cloruros es igual a -1), F la constante de Faraday (96,5 J/Vmol), E es el campo eléctrico (-600V/m), xd la profundidad de penetración de cloruros (m) y t el tiempo de ensayo. Para E = -600V/m e T = 298 K, a = 1,061 e b = 0,589. El modelo es basado en el estado no estacionario de transporte de íones cloruros.
Fueron extraídas tres rebanadas centrales de 50 mm de cada probeta cilíndrica (( 100 mm x 200 mm). Enseguida, las muestras fueron mantenidas en una estufa a 60°C hasta obtener peso constante. Entonces los materiales de protección de superfície fueron aplicados sobre las superfícies circulares de las probetas. Siete dias despues a la aplicación de los tratamientos, las probetas fueron saturadas conforme indica el procedimiento de la ASTM C 1202/12 (2012). En todos los casos fueron seguidas las orientaciones de los fabricantes en cuanto a la cantidad de material a ser aplicada.
La rebanada de 50 mm de Espesor fue posicionada entre dos células de acrílico. Una célula fue rellenada con solución 0,3 N NaOH y la otra con solución de 3,0% de NaCl. Las células fueron conectadas a una fuente de tensión con diferencia de potencial de 30 V y mantenidas en esa condición durante 30h. El esquema gráfico del ensayo acelerado de migración de cloruros está presentado en la Figura 3.
Enseguida, las rebanadas fueron fracturadas y la profundidad de penetración de cloruros libres fue determinada conforme ilustra la Figura 4. Andrade et al. (2000), comparando los métodos para determinación del coeficiente de difusión de cloruros en el estado estacionário utilizando el ensayo de migración acelerada, indico que el ensayo recomendado por Nilsson & Luping (1992) presento una mejor trazabilidad de resultados, justificando asi el método de ensayo presentado este artículo.
3. RESULTADOS
La Figura 5 presenta los resultados de los coeficientes de difusión determinados por el método de Luping & Nilsson (1992) para concreto saturado, conforme el experimento fue realizado. Por tanto, la movilidad de iones cloruro causada por efectos de absorción o permeabilidad no existio.
De manera general, los coeficientes de difusión de las superfícies tratadas claramente se redujeron. Esa reducción aumenta la vida de servicio de la estructura cuando es expuesta a un ambiente marino. No entanto, hubo una gran diferencia en la eficiencia, dependiendo del tratamiento utilizado.
Es importante enfatizar que, excepto por el revestimiento de poliuretano, el sistema doble (hidrofugante de superfície + revestimento acrílico) es mucho mas vantajoso cuando es comparado con los sistemas únicos debido a la barrera doble formada en esta categoria de protección. Eso ocurre porque, cuando el íon cloruro pasa la capa del acabado acrílico, existe todavía el tratamiento de silano/siloxano, que tiene alguna capacidade para inhibir la penetración de iones cloruro para el interior del concreto.
En terminos de funcionamiento, los formadores de película de calidad son mas eficientes porque actuan como una capa de separación de la pieza de concreto del contacto con el medio externo. Este es el caso del poliuretano indicado en la Figura 5. Por otro lado, los sistemas de poros abiertos como los silicatos e hidrofugantes tienden a presentar menor capacidad de protección acompañado de películas de baja calidad como es el caso del acrílico usado en este estudio.
La Tabla 5 muestra el indice de reducción de los coeficientes de difusión de cloruros de cada tratamiento. El sistema doble redujo el coeficiente de difusión de cloruros en 67% en relación al sustrato de referencia. El revestimiento de poliuretano fue la protección más eficaz, reduciendo el coeficiente en 71%. Es importante destacar que este resultado no puede ser universalmente considerado porque la eficiencia del tratamiento no depende solo del tipo de resina que lo compone. Esto está de acuerdo con Vipulanandan y Liu (2005), que afirman que para un tipo específico de resina la eficácia para reducir la penetración de cloruros puede ser altamente distinta.
Tabla 5 Porcentaje de reducción de penetración de cloruros para cada sistema de protección
| Sistema de protección | Taxa de reducción do coeficiente de difusión de cloruros (%) |
|---|---|
| Hidrofugantes (Silano/siloxano) | 13 |
| Formadores de película (Acrílico) | 22 |
| Sistema duplo (silano/siloxano + acrílico) | 67 |
| Formadores de película (Poliuretano) | 71 |
| Bloqueadores de poros (Silicato de sódio) | 43 |
El silano/siloxano redujo apenas en 13%, indicando que este material no ejerce grande influencia en la penetración de cloruros. Por tanto, vale comentar que de acuerdo con Medeiros y Helene (2009), y Medeiros y Helene (2008), agentes hidrofóbicos reducen significativamente la sortividad del concreto, que es el mecanismo principal de protección de ese tipo de tratamiento. De ese modo, cuando se especifica un hidrofugante de superfície, el foco está en reducir la sorción capilar, que puede transportar agua contaminada por cloruros para el interior de concreto. Entonces, el ensayo de penetración de cloruros en condiçoes de saturación del concreto es transporte de cloruros por migración no ensaya o simula el puento fuerte de actuación de este producto, aun cuando haya sido registrado 13% de redución en el coeficiente de difusión de cloruros para este material. Medeiros et al. (2015) muestran en su trabajo el uso de la técnica de goniometria para ensayar la capacidad de que los hidrofugantes aumenten el ángulo de contacto del agua con el sustrato tratado, reduciendo la afinidad con el agua y confirmando la hidrorrepelencia al concreto.
4. DISCUSIÓN DE LOS RESULTADOS
La previsión de la vida útil de estructuras de concreto armado es un área que necesita de avances. Actualmente, existen muchos modelos desarrollados, sin embargo, sus validaciones aun precisan ser más estudiadas y divulgadas.
Este trabajo, es presentada una previsión del ingreso de cloruros basado en el estado no estacionário. El método propuesto permite correlacionar el tiempo de ingreso de cloruros a partir del recubrimiento del concreto, lo que puede ser una herramienta útil para concebir estructuras de concreto armado sometidasa condiciones de transporte de cloruros por migración y por difusión. Su extrapolación a otros mecanismos de penetración, tales como absorción, convección, o una mezcla de estos debe ser cuidadosa. Es necesario realizar mas pesquisas sobre esos fenómenos para desarrollar esas consideraciones. Aun cuando el modelo usado ainda precise de mejoras, como la aplicación del factor de edad (aging factor) es la variación del Cs a lo largo del tiempo, su aplicación es válida porque permite una comparación cuantitativa entre los diferentes materiales y produce una estimación de tiempo de ingreso de los cloruros por difusión en la red de poros del concreto.
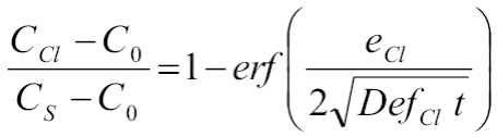
El método tiene origen en la segunda ley de Fick (Ecuación 3), cuyo desarrollo está presentado en las Ecuaciones de 3 a 5.
Helene (2000) tambirm presento las Ecuaciones 4 y 5 basadas en la segunda ley de Fick. Estas ecuaciones fueron utilizadas en este estudio para analizar los resultados de los coeficientes de difusión, permitiendo la construcción de un gráfico que correlaciona la profundidad de penetración de cloruro con el tiempo (Figura 6).

Figura 6 Relación entre la vida útil estimada y el recubrimiento de concreto relativo à penetración de cloruros (profundidad donde 0,4% en peso de cemento fue afectado).
Donde: Ccl = cantidad de cloruros en la profundidade eCl, en el tiempo t (Ccl em %); CS = contenido de cloruros en la superfície del componente estructural de concreto, admitido como constante (%); C0 = contenido inicial de cloruros en el interior del componente estructural de concreto; DCl = Coeficiente de difusión de cloruros (cm2/s); t = duración del tiempo considerado (s); eCl = profundidad alcanzada por el frente de cloruros con contenido de cloruros igual a CCl (cm).
Considerando z una incógnita cualquiera (arbitrando la expresión dentro de la función erf) es aislando eCl, se obtiene la Ecuación 4.
Incluyendo z en la Ecuación 3 y aislando erf (z), se llega a la Ecuación 5.
En la construcción de la Figura 6 se considero C0 = 0, es decir, el concreto no tenía cloruro alguno en el momento del vaciado.
Fijando un valor para CS considerando CCl igual al límite crítico para la despasivación de las armaduras por corrosión causada por ataque por cloruros, se obtiene la función error de Gauss [erf (z)]. Consultando Tablas que relacionan erf(z) con z, se obtiene el valor de z. Sustituyendo este valor de z y el coeficiente de difusión de cloruros en la Ecuación 4, se obtiene una Ecuación que relaciona la profundidad en que el valor limite (para la despasivación de las armaduras) es afectado con el tiempo necesario para que esto ocurra. Este fue el razonamiento seguido para la elaboración de la Figura 6.
Es importante destacar que la previsión de tiempo de ingreso de cloruros presente en este artículo es válida solamente en las condiciones a continuación:
La estructura del concreto armado está en el inicio da su vida útil (a partir del período de iniciación);
El agente de degradación mas rápido es el ataque por cloruros;
No hay factores externos accidentales que hayan afectado las propiedades del recubrimiento de concreto;
El contenido limite de cloruros para la despasivación del acero es 0,4% en relación a la masa de cemento y fué el escogido porque es el especificado en algunos documentos técnicos importantes (Boletin 152, 1992; BS 8110-1, 1997; EN 206-Part 1, 2007).
Es importante dar enfasis al hecho de que el coeficiente de difusión haya sido obtenido por un proceso de migración (por aplicación de una ddp) en estado no estacionário, siendo, portanto, un parámetro bastante diferente del transporte real de cloruros en el concreto, lo que restringe y limita su aplicación directa en un modelo de previsión de vida útil. Por tanto, el uso de resultados comparativos dentro del experimento realizado es posible y coherente.
A pesar de los ciclos de variación de la concentración de cloruro en la superfície de concreto (De Coss et al., 1998), una restriçao de este trabajo fue la fijación de la concentración de cloruros en la superfície (Cs) igual a 0,9%, que fue citado por Helene (1993) como adecuado para concretos entre 20 y 30 MPa, relación agua/cemento entre 0,48 e 0,68 y consumo de cemento entre 280 y 400 kg/m3, condición en que el concreto utilizado en el experimento de este articulo encaja.
Otra simplificación del método es solo considerar el proceso de difusión en la previsión de penetración de cloruros, de ese modo, las previsiones realizadas son más adecuadas para un concreto sumergido en agua de mar que en estructuras sometidas a condiciones de proximidad con el mar.
Es posible observar en la Figura 6 que para las estructuras con recubrimiento igual a 4 cm, la vida útil estimada es alrededor de 12 años para el ingreso de cloruros por difusión, pudiendo alcanzar hasta 40 años dependiendo del sistema de protección aplicado (puede haber aumento en el tiempo de hasta tres veces). Es importante enfatizar que la protección de poliuretano (formador de película) y los sistemas dobles presentaron mejores resultados que otros tratamientos probados en este estudio.
Es importante relatar que Castellote y Andrade enfatizan que vários modelos de previsión de vida útil fueron analizados en diferentes workshops dentro de la RILEM TC 178-TMC y que innumerables incertezas permanecen, lo que impide, en el actual estado del arte, de hacer exactas previsiones a largo prazo basados en experimentos de corta duración (Castellote, Andrade, 2006). Algunos años pasaron desde 2006, por tanto, se consideran tales incertezas aun existan. De ese modo, las previsiones de vida útil realizadas en este trabajo no deben ser interpretadas como valores precisos eyabsolutos, porque la metodologia tiene elementos de contorno como ocurre en cualquier modelo de previsión de vida útil.
Una buena manera de pensar en terminos de protección de superfície fue propuesta en Medeiros y Helene (2009), donde la protección es representada en recubrimiento equivalente, que consiste en cuantos cm de recubrimiento de concreto es igual a un revestimento de un determinado sistema de protección. Es decir se una pieza de concreto es protegida con un sistema de protección que tiene un recubrimiento equivalente X cm, eso significa que es como se ella tuviera un imcremento de X cm, desde que el sistema de protección tenfa sus propiedades de desempeño mantenidas a lo largo del tiempo, que en la prática solo es obtenido previendo renovación y mantenimiento periódico de la protección de la superfície. Por ejemplo: si el concreto armado fuese protegido con un formador de película a base acrílico, es como si el recubrimiento de la armadura existente fuese crecido en 5 mm.
La Figura 7 muestra el recubrimiento equivalente para cada tratamiento estudiado. Esos datos estan relacionados con el concreto del sustrato utilizado en este estudio.

Figura 7: Espesor del recubrimiento equivalente para cada sistema de protección relacionado al concreto del sustrato - Cs = 0,9% (coeficiente de difusión de cloruros por el método de Luping y Nilsson, 1992).
Este tipo de razonamiento puede ser el camino para fundamentar la aplicación de sistemas de protección de superfície en condiciones en que la estructura de concreto armado ya este concluída y con Espesor de recubrimiento por debajo de lo especificado por norma. Este tipo de situación puede ser generado en los casos de estructuras construídas con bajo control de calidad y casos de estructuras construídas y no concluídas por motivos como la quiebra de la constructora.
5. CONCLUSIONES
Las conclusiones aqui expresas se aplican a las características de este trabajo y de los materiales usados. Cualquier extrapolación para otros materiales o circunstancias debe ser realizada cuidadosamente.
La previsión de vida útil para el inicio de la corrosión del concreto con tratamientos de superfície fue obtenida en el estado de migración no estacionária y será válida apenas en la fase de iniciación mencionada.
La contaminación por cloruros en una estructura de concreto armado expuesto a un ambiente marinno es una de las maneras de degradación mas dificiles de corregir. La penetración de íones en el concreto ocurre por difusión, por migración o por penetración de agua contaminada por cloruros. A partir de esta investigación las siguientes conclusiones pueden ser obtenidas:
La protección de superfície del concreto puede ser un medio eficiente de inhibición de la penetración de cloruros en concreto. Consecuentemente, los sistemas de protección deben ser usados para aumentar la vida útil del concreto armado en ambientes influenciados por el mar, como edificios costeros.
Los resultados indican que el sistema de protección más eficiente puede reducir el coeficiente de difusión de cloruros en el concreto armado en 71%.
Es importante destacar que los resultados indican que el uso de un sistema de protección de elevada eficiencia puede aumentar más de tres veces la vida útil de una estructura de concreto armado. Por tanto, ese nível de aumento en la vida útil está relacionado a las condiciones utilizadas en este trabajo y diferentes resultados pueden ser obtenidos en otras condiciones de ensayos.
Gráficos (como la Figura 6) que relacionan la vida útil estimada con la profundidad en que la concentración de cloruros alcanzó el límite de despasición do del acero son los medios más eficaces e ilustrativos de presentar los resultados de los coeficientes de difusión de cloruros.
Los resultados de este artículo indican que el hidrofugante de superfície redujo en 13% la penetración de cloruro en el concreto. Pero es importante resaltar que este tratamiento mostro la menor capacidad de reducir el coeficiente de difusión de cloruros.
El revestimiento de poliuretano y el sistema de doble protección fueron los tratamientos de superfície que presentaron la mejor eficiencia en la reducción de la penetración de cloruros (71% y 67% de reducción del coeficiente de difusión de cloruros, respectivamente).
Este trabajo propone una forma interesante de interpretar los resultados del coeficiente de difusión de cloruros. La posibilidad de hacer previsiones de vida útil, facilidad de interpretación y correlación entre el recubrimiento de concreto y la vida útil estimada son las ventajas de este método. De esa forma, el procedimiento de interpretación puede tornarse una herramienta importante para preveer la vida útil de las estructuras de concreto armado. No obstante, es importante observar que esa es una aplicación basada apenas en el coeficiente de difusión obtenido por un ensayo de migración de cloruros. Como considerar otros fenómenos aun es desconocido y necesita ser mas investigado para aprimorar la aproximación de las estimativas de previsión de vida útil con la realidad.
Otro punto positivo del trabajo es la conversdión de la capacidad de protección del sistema de protección con el recubrimiento equivalente en concreto del sustrato. Este tipo de abordaje posibilita inferir cual es el Espesor de recubrimiento adicional que un dato del sistema de protección equivale. Por tanto, no se puede dejar de resaltar que este tipo de conversión solo es válido se es garantizado que el material de protección de superfície mantengan suas propiedades de protección a lo largo del tiempo de vida útil de la estructura a ser protegida y eso solo ocurre si la renocación del sistema se realiza periodicamente.










texto en 











