Introdução
A madeira apresenta muitas possibilidades de usos, podendo ser empregada em diferentes etapas da construção civil, tanto para fins estruturais quanto em acabamentos. A melhor utilização da madeira depende do conhecimento de suas propriedades tecnológicas, dentre as quais se podem destacar a capacidade intrínseca de resistir à ação de diferentes agentes deterioradores (físicos, químicos, mecânicos e biológicos), a qual é denominada de durabilidade natural (Castro e Guimarães, 2018).
Em ambientes externos, a madeira está sujeita a ação das intempéries e de agentes biológicos, que proporcionam modificação da madeira, de modo a reduzir a vida sua útil (de Avila Delucis et al., 2016), sendo a radiação ultravioleta a maior responsável pelas mudanças na sua estrutura química (Cogulet et al., 2017; Kropat et al., 2020). Quando exposta a radiação solar, chuvas e umidade do ar a madeira está sujeita à deterioração superficial, diminuindo o seu tempo útil de vida, primeiramente com a mudança de cor, seguido de redução nas propriedades mecânicas (De Mesquita et al., 2017) embora, devido ao efeito superficial, raramente a madeira sujeita às intempéries perde sua funcionalidade (Cogulet et al., 2017).
Nos primeiros meses de exposição ao intemperismo natural, a madeira apresenta alteração colorimétrica e formação de rachaduras superficiais, de modo a tornar sua superfície acinzentada e rugosa (Cademartori et al., 2015) . Em estágios avançados, a resistência mecânica da madeira também é comprometida (Ozgenc et al., 2013; Tomak et al., 2014).
O processo de intemperismo natural na madeira pode ser dividido em duas etapas distintas (Teles e Costa, 2014). Na primeira etapa ocorre a oxidação da lignina devido à absorção da luz visível e ultravioleta, sendo essa última responsável pela quebra das ligações químicas e liberação de radicais livres que reagem com o oxigênio e produzem grupos carbonílicos e carboxílicos cromóforos (Pastore et al., 2008). Na segunda etapa, a ação das chuvas favorece a lixiviação do material oxidado pela luz solar, tornando assim, a superfície da madeira acinzentada (Castro e Guimarães, 2018).
Estudos têm sido realizados para avaliação de madeiras amazônicas expostas ao intemperismo artificial (Barreto e Pastore, 2009; Costa et al., 2011; Mendes et al., 2016; Pastore et al., 2008; Silva et al., 2007). Apesar de demandar mais tempo, a realização de trabalhos com a exposição ao intemperismo natural, permite avaliar de forma mais fidedigna a deterioração superficial da madeira, pois não se trata de uma simulação e sim a real condição de exposição às intemperes (Cogulet et al., 2017; Poohphajai et al., 2021).
O estado do Mato Grosso é um dos principais estados, junto com Pará e Rondônia, responsáveis pela comercialização madeira tropical no Brasil. Dentre as espécies tropicais que apresentam os maiores volumes e valores de comercialização, na região norte do estado, pode-se destacar as madeiras de Trattinnickia rhoifolia Willd. (amescla), Erisma uncinatum Warm. (cedro), Parkia pendula (Willd.) Benth. ex Walp. (angelim), Apuleia leiocarpa (Vogel) J.F.Macbr. (garapeira) e Mezilaurus itauba (Meissn.) Taub. (itaúba), todas comumente usadas na construção civil (Zaque et al., 2019).
Objetivos
Diante do exposto, o presente trabalho teve como objetivo avaliar a cor, rugosidade e a dureza superficial das cinco espécies em destaque na região norte do estado de Mato Grosso submetidas ao intemperismo natural durante 360 dias.
Materiais e métodos
Coleta do material, preparo dos corpos de prova e características das madeiras
Para a realização desse estudo foram utilizadas seis tábuas, com dimensões nominais de 0,03 m × 0,30 m × 3 m (espessura × largura × comprimento), para cada uma das cinco espécies amazônicas (Trattinnickia rhoifolia - amescla, Parkia pendula - angelim, Erisma uncinatum - cedro, Apuleia leiocarpa - garapeira e Mezilaurus itauba - itaúba), obtidas de forma aleatória em diferentes serrarias do município de Sinop, Mato Grosso, Brasil.
As tábuas foram aplainadas com auxílio de plainas desengrossadeira e desempenadeira e, posteriormente, confeccionaram-se 84 corpos de prova com dimensões nominais de 2 cm × 2 cm × 10 cm (espessura × largura × comprimento), para cada espécie. Desse total, 72 corpos de prova de cada espécie foram utilizados para os ensaios de intemperismo natural, e o restante, 12 corpos de prova sem exposição às intempéries (tratamento testemunha), para caracterização inicial da colorimetria, rugosidade e dureza Rockwell. Logo após a confecção, os corpos de prova foram lixados com lixa de 200 mesh e submetidos à climatização até obtenção de teor de umidade de equilíbrio de 12%.
Características das madeiras
A determinação da composição química seguiu as normas da Technical Association of Pulp and Paper Industry [TAPPI], TAPPI T 211 om-16 (TAPPI, 2016) (Cz - cinzas), TAPPI T 204 cm-17 (TAPPI, 2017) (Et - extrativos totais), e TAPPI T 222 om-15 (TAPPI, 2015) (Lg - lignina Klason). Já a holocelulose (HC = celulose + hemicelulose) foi obtida por diferença (Hc = 100 - (Cz + Et + Lg)), com duas repetições. A densidade básica foi determinada de acordo com a Norma Brasileira Associação Brasileira de Normas Técnicas [ABNT], NBR 11941 (2003), pelo método do máximo teor de umidade, com duas repetições.
Ensaio de intemperismo natural
O ensaio de intemperismo natural foi realizado em área experimental da Universidade Federal de Mato Grosso, Campus Universitário de Sinop (coordenadas 11º 51’ de latitude sul e 55º 29’ de longitude oeste), durante os meses de junho de 2014 a junho de 2015, totalizando 360 dias (um ano de ensaio). O clima da região é do tipo Aw conhecido como clima tropical de verão seco, que apresenta estação chuvosa no verão, de novembro a abril, e nítida estação seca no inverno, de maio a outubro, sendo julho o mês mais seco (Alvares et al., 2013).
Os corpos de prova das cinco espécies amazônicas foram aleatoriamente dispostos sobre uma plataforma metálica, com tela de aço galvanizado de malha nº 8, de dimensões de 1,0 m × 1,5 m, com inclinação igual à latitude local e altura mínima de 1 m em relação ao solo, conforme metodologia adotada por (Cassiano et al., 2013). De modo a evitar a movimentação dos corpos de prova na plataforma metálica, procedeu-se a fixação com abraçadeiras de plástico (Fig. 1).
A cada 60 dias, 12 corpos de prova, de cada espécie amazônica, foram retirados do ensaio para avaliação da superfície oxidada das madeiras por meio da colorimetria, rugosidade e dureza Rockwell.
Colorimetria
A colorimetria das madeiras foi avaliada mediante emprego de um espectrofotocolorímetro CR-410 (Konica Minolta, Ramsey, USA) dotado de iluminante D65 e ângulo de observação de 10º, conforme padrão estabelecido pelo sistema CIEL*a*b*. As análises colorimétricas procederam-se de acordo com a norma American Society for Testing and Materials [ASTM] D2244-16 (2016) na face tangencial de cada corpo de prova, sendo registradas três leituras dos seguintes parâmetros: L* (luminosidade), a* (coordenada verde-vermelho), b* (coordenada amarelo-azul), C* (cromaticidade) e h (ângulo de tinta). Adicionalmente, determinou-se a variação total da cor (ΔE), sendo essa determinada pela equação 1.
onde:
∆E: variação total da cor
∆L*, ∆a* e ∆b*: variação entre as leituras dos parâmetros colorimétricos antes e depois da exposição das madeiras ao intemperismo
Rugosidade
A rugosidade das madeiras foi avaliada com auxílio de um rugosímetro, sendo este configurado com um percurso de avaliação de 8 mm e comprimento de amostragem de 0,8 mm (Ghosh et al., 2009). A rugosidade foi analisada na face tangencial dos corpos de prova, sendo o percurso de avaliação realizado no sentido perpendicular às fibras.
Realizaram-se três leituras da rugosidade em cada corpo de prova para determinação dos seguintes parâmetros: Ra (média aritmética dos desvios do perfil da linha média), Rz (soma da altura média dos cinco picos mais altos e da profundidade dos cinco vales mais profundos, medidos de uma linha paralela à linha média) e Rt (soma da altura do pico máximo e a profundidade do vale máximo).
Dureza Rockwell
A dureza Rockwell das madeiras foi determinada por meio do emprego de um durômetro de bancada, sendo esse dotado de um penetrador esférico de aço de 0,635 cm (1/4 de polegada). Cada corpo de prova foi submetido ao ensaio de dureza Rockwell ao aplicar a carga em duas etapas distintas, primeiro uma pré-carga de 98 N (10 kgf) e em seguida uma carga final de 588 N (60 kgf) (Stangerlin et al., 2013). Foram realizadas três leituras da dureza Rockwell na face tangencial de cada corpo de prova, sendo o resultado da resistência oferecida à penetração da esfera de aço obtido diretamente no mostrador analógico do durômetro (escala L).
Análise dos dados
Para análise dos resultados foram estabelecidas correlações de Pearson entre as alterações nos parâmetros colori-métricos (L*, a*, b*, C* e h), variação total da cor (ΔE) e dureza Rockwell (HRL) com o tempo de exposição ao intemperismo natural. Os parâmetros da rugosidade (Ra, Rz e Rt) foram analisados apenas quanto a sua variação em função do tempo de exposição, sem geração de correlações de Pearson.
Resultados e discussão
Características das madeiras
A composição química e a densidade básica das espécies estudadas estão descritas na Tabela 1. As madeiras de folhosas apresentam, em geral, teor de lignina por volta de 20% ± 4% e teor de extrativos aproximadamente de 3% ± 2% (Klock e Andrade, 2013). Nesse sentido pode-se destacar o alto teor de lignina da espécie M. itauba. Considerando a densidade básica a madeira de T. rhoifolia pode ser classificada como leve, enquanto as madeiras de P. pendula, E. uncinatum e M. itauba são consideradas de média densidade e a madeira de A. leiocarpa é considerada pesada, de acordo com a classificação proposta por Csanády et al. (2015).
TABELA 1 Propriedades químicas e densidade básica das cinco madeiras amazônicas.
| Espécie | Cz (%) | Et (%) | Lg (%) | Hc (%) | DB (g cm-3) |
| T. rhoifolia | 0,58 | 2,94 | 25,17 | 71,30 | 0,34 |
| P. pendula | 0,39 | 4,31 | 27,93 | 67,39 | 0,46 |
| E. uncinatum | 0,76 | 3,79 | 30,72 | 64,73 | 0,52 |
| A. leiocarpa | 1,37 | 13,48 | 24,17 | 60,98 | 0,77 |
| M. itauba | 0,55 | 10,99 | 35,59 | 52,87 | 0,70 |
Cz: teor de cinzas; Et: teor de extrativos; Lg: teor de lignina; Hc: teor de holocelulose; DB: densidade básica.
Avaliação colorimétrica
A exposição das madeiras ao intemperismo natural reduziu a intensidade dos parâmetros colorimétricos L* (Fig. 2A), a* (Fig. 2B) e b* (Fig. 2C), de modo a proporcionar o escurecimento superficial das amostras. Esse resultado pode ser atribuído à ação combinada das reações de foto-oxidação e despolimerização da lignina e da lixiviação da camada deteriorada, tornando a superfície das madeiras acinzentada (Chang et al., 2010; Ghosh et al., 2009). De modo geral, os valores médios do parâmetro colorimétrico L* apresentaram redução até 180 dias de exposição ao intemperismo natural, posteriormente (entre 240 dias e 360 dias) verificou-se a estabilização deles. Em relação às coordenadas cromáticas (a* e b*), foi verificado acréscimo dos valores médios de a* e estabilidade dos valores médios de b* nos primeiros 60 dias de exposição das madeiras de T. rhoifolia, P. pendula e E. uncinatum ao intemperismo natural. Alterações da cor no início do período de exposição estão relacionadas com a formação de compostos cromóforos a partir da condensação e/ou oxidação da lignina e de extrativos (Cademartori et al., 2015), principal-mente quando os produtos dessas modificações são quinonas (Arpaci et al., 2021).
Resultados similares foram obtidos por de da Avila Delucis et al. (2016), sendo observada a estabilização dos valores médios do parâmetro L* de diferentes madeiras de eucalipto (Eucalyptus sp.) a partir de 225 dias de exposição ao intemperismo natural.
O acréscimo também foi verificado para a coordenada b*, entretanto apenas nas madeiras de T. rhoifolia e E. uncinatum. Mattos et al. (2014) obtiveram o mesmo resultado para madeiras de eucalipto após 45 dias de exposição às intempéries.
Após 60 dias de exposição ao intemperismo natural, as madeiras das cinco espécies apresentaram redução das coordenadas cromáticas a* e b* (Fig. 2B e 2C), denotando perda da intensidade de tons vermelhos e amarelos na superfície. Esta redução nos parâmetros colorimétricos é um efeito típico da exposição da madeira às intempéries naturais, deixando a madeira cinzenta (Ozgenc et al., 2013). A alteração na cor da madeira é o resultado da perda de extrativos presentes na madeira (Mattos et al., 2014), bem como a degradação de componentes químicos da parede celular (lignina, celulose e hemiceluloses) (Magdalena et al., 2015), já anteriormente mencionados.
A cromaticidade (C*) é um parâmetro dependente das coordenadas cromáticas a* e b* (Bonfatti Júnior e Lengowski, 2018), sendo assim justifica-se o decréscimo de seus valores, proporcionando uma redução da saturação da cor das madeiras expostas ao intemperismo natural e um consequente aspecto acinzentado na superfície (Fig. 3A). O parâmetro C* representa o desvio a partir do ponto que corresponde ao eixo do parâmetro L*. Nesse sentido, quanto mais próximo ao eixo menor será a saturação da cor da madeira, indicando o aspecto acinzentado das madeiras.

FIGURA 3 Parâmetros colorimétricos C*, h e a variação total da cor (ΔE) das cinco madeiras amazônicas expostas ao intemperismo natural.
Para o ângulo de tinta (h), as madeiras apresentaram resultados distintos em relação à variação desse parâmetro colorimétrico durante o período de exposição ao intemperismo natural. As madeiras de T. rhoifolia e P. pendula apresentaram decréscimo na intensidade do parâmetro h, enquanto nas madeiras de E. uncinatum, A. leiocarpa e M. itauba os valores tiveram um acréscimo (Fig. 3B).
Em relação à variação total da cor (ΔE), os melhores resultados foram verificados para a madeira de E. uncinatum, uma vez que esta apresentou os menores valores de ΔE (Fig. 3C). Esse resultado denota a estabilidade da cor da madeira de E. uncinatum, sendo os valores de ΔE constantes a partir de 180 dias de exposição ao intemperismo natural. Por outro lado, a madeira de A. leiocarpa apresentou os maiores valores de ΔE, sendo esses estabilizados a partir de 300 dias de exposição ao intemperismo natural.
Além da influência das condições ambientais, a resistência ao intemperismo natural também está relacionada às propriedades intrínsecas da madeira, tais como a densidade básica e os teores de extrativos e lignina (Ghosh et al., 2009; Teacă et al., 2013).
Na Tabela 1 verifica-se que a madeira de A. leiocarpa apresentou os maiores valores de extrativos e de densidade básica e o menor valor de lignina, no entanto essas propriedades não favoreceram na sua estabilidade colorimétrica durante o período de intemperismo natural. Pastore et al. (2008) ao estabelecerem relação entre espectros de infravermelho médio e a resistência ao intemperismo artificial de quatro madeiras amazônicas, também verificaram uma baixa resistência da madeira de A. leiocarpa. Os mesmos autores ainda destacaram que não foi possível estabelecer relação entre o teor de extrativos e a densidade básica com a resistência ao intemperismo. Esse resultado é similar ao que foi verificado no presente estudo, visto que a madeira de E. uncinatum apresentou a maior estabilidade colorimétrica, mesmo tendo baixo teor de extrativos (3,79%) e média densidade básica (0,52 g cm-3).
Os extrativos fenólicos possuem ação antioxidante, esta característica ocasiona uma proteção na superfície da madeira em relação à descoloração causada pelo processo de intemperismo (Bispo et al., 2017). Em relação ao teor de lignina, madeiras com teores similares de lignina siringil e guaiacil apresentam maior resistência ao processo de intemperismo, havendo uma menor formação de grupos carbonílicos e carboxílicos cromóforos (da Avila Delucis et al., 2016). Sendo assim, essas características químicas podem estar presentes na madeira de E. uncinatum, de modo a proporcionar os menores valores de ΔE.
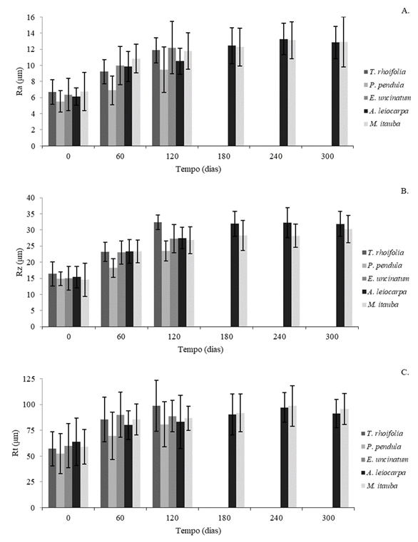
Rugosidade
Em nenhuma das cinco espécies foi possível realizar o monitoramento dos parâmetros Ra (Fig. 4A), Rz (Fig. 4B) e Rt (Fig. 4C) até o final do período de intemperismo, devido à intensa deterioração superficial das madeiras. A rugosidade das madeiras de T. rhoifolia, P. pendula e E. uncinatum foi avaliada até 120 dias, enquanto para as madeiras de A. leiocarpa e M. itauba foi possível o monitoramento até 300 dias de exposição ao intemperismo natural. Essa diferença de rugosidade ao longo do tempo para espécies impediu o cálculo da correlação de Pearson para essa característica.

FIGURA 4 Parâmetros de rugosidade Ra, Rz e Rt das cinco madeiras amazônicas expostas ao intemperismo natural.
O aumento da rugosidade superficial das madeiras expostas ao intemperismo natural pode ser atribuído à deterioração da lignina presente na lamela média, camada que se caracteriza por apresentar elevada concentração de lignina, sendo esse importante para ligação entre as paredes celulares (Bispo et al., 2017). É importante destacar que além da lixiviação da lignina deteriorada pelas reações do intemperismo, o aumento da rugosidade das madeiras também está relacionado à absorção e dessorção da umidade do ambiente, proporcionando o desenvolvimento de fissuras superficiais (Nzokou et al., 2011; Stangerlin et al., 2013).
Dureza Rockwell
A dureza Rockwell das madeiras intemperizadas (Fig. 5) apresentou variação semelhante ao da rugosidade superficial, em que as madeiras de A. leiocarpa e M. itauba se destacaram pela maior estabilidade da dureza durante o período de avaliação. Por sua vez, as madeiras de T. rhoifolia, P. pendula e E. uncinatum apresentaram uma significativa redução após 120 dias de exposição; em algumas amostras intemperizadas de T. rhoifolia, P. pendula e E. uncinatum foram registrados valores nulos de dureza, devido a intensa deterioração superficial, influenciando no coeficiente de variação dos valores. Turkoglu et al. (2015) também verificaram redução significativa nos valores de dureza König das madeiras de Pinus sylvestris e Fagus orientalis após 180 dias de exposição ao intemperismo natural, sendo as perdas de dureza equivalentes a 75% e 85%, respectivamente.
O decréscimo nos valores de dureza das madeiras intemperizadas está associado ao decréscimo na densidade superficial, sendo essa proporcionada pela oxidação da lignina. Além disso, a presença de fissuras nas madeiras expostas às intempéries também influencia na redução da resistência mecânica (Jankowska e Kozakiewicz, 2014; Tomak et al., 2014), principalmente quando essa é avaliada por meio de ensaios de caracterização superficial, como no caso da dureza Rockwell.
Os resultados de rugosidade e de dureza Rockwell permitem estabelecer duas classes de resistência à erosão superficial com base na densidade básica das madeiras avaliadas. As madeiras de menor densidade básica (T. rhoifolia, P. pendula e E. uncinatum) apresentaram baixa resistência à erosão superficial, por sua vez, as madeiras mais densas (A. leiocarpa e M. itauba) foram mais resistentes. Nesse sentido, madeiras de alta densidade básica são mais resistentes à erosão superficial, em razão da maior espessura das paredes celulares e da menor porosidade.
Na Tabela 2 destaca-se a correlação significativa entre os parâmetros colorimétricos avaliados, bem como as correlações entre a variação total da cor e dureza Rockwell com o tempo de exposição ao intemperismo. As madeiras intemperizadas apresentaram os maiores valores de correlação de Pearson entre a coordenada cromática b* e o tempo de exposição, exceto para a madeira de T. rhoifolia em que as melhores correlações foram verificadas com o parâmetro colorimétrico L* (Tabela 2).
TABELA 2 Correlações de Pearson entre as alterações nos parâmetros colorimétricos (L*, a*, b*, C* e h), variação total da cor (ΔE) e dureza Rockwell (HRL) com o tempo de exposição (t) ao intemperismo natural.
| Parâmetros | T. rhoifolia | P. pendula | E. uncinatum | A. leiocarpa | M. itauba |
| L* x t | - 0,77** | - 0,78** | - 0,71** | - 0,91** | - 0,34** |
| a* x t | - 0,41** | - 0,67** | - 0,85** | - 0,92** | - 0,93** |
| b* x t | - 0,75** | - 0,89** | - 0,89** | - 0,95** | - 0,94** |
| C* x t | - 0,72** | - 0,88** | - 0,88** | - 0,94** | - 0,93** |
| h x t | - 0,54** | - 0,44** | 0,45** | 0,89** | 0,53** |
| ΔE x t | 0,63** | 0,74** | 0,82** | 0,94** | 0,90** |
| HRL x t | - 0,74** | - 0,73** | - 0,75** | - 0,58** | - 0,24** |
**significativo à 1% de probabilidade de erro.
A coordenada cromática b* é a mais sensível na predição da resistência natural aos processos de intemperismo em comparação aos demais parâmetros colorimétricos e a dureza Rockwell. Somado a isso a predição das ações das intempéries na espécie A. leiocarpa será a mais fiel, pois é a que apresenta maiores correlações para todos os parâmetros.
Conclusões
As madeiras expostas ao intemperismo natural tornaram-se acinzentadas, rugosas e com baixa dureza Rockwell, devido às modificações causadas pela foto-oxidação na estrutura química da madeira.
A madeira de E. uncinatum apresentou a maior estabilidade colorimétrica após o período de exposição às intempéries, sendo verificada a menor variação total de cor (∆E). Por outro lado, as madeiras de A. leiocarpa e M. itauba foram mais resistentes à erosão superficial, em razão da maior estabilidade dos parâmetros de rugosidade (Ra, Rz e Rt) e da dureza Rockwell.
As madeiras utilizadas nesse trabalho apresentam vocação estabelecida para a construção civil, contudo sofreram severas modificações superficiais pela ação das intempéries, o que deixa evidente a necessidade da utilização de recobrimentos, como tintas e vernizes, para proteção da madeira em ambiente externo.










nueva página del texto (beta)





