Servicios Personalizados
Revista
Articulo
Indicadores
-
Citado por SciELO -
Accesos
Links relacionados
-
Similares en
SciELO
Compartir
Revista mexicana de ingeniería biomédica
versión On-line ISSN 2395-9126versión impresa ISSN 0188-9532
Rev. mex. ing. bioméd vol.34 no.1 México abr. 2013
Artículo de investigación
Simplificación del problema inverso electroencefalográfico a una sola región homogénea con condición de Neumann nula
Simplification of the Inverse Electroencephalographic Problem to One Homogeneous Region with Null Neumann Condition
M.M. Morín-Castillo*, J.J. Oliveros-Oliveros**, J.J. Conde-Mones**, A. Fraguela-Collar**, E.M. Gutiérrez-Arias*, E. Flores-Mena*
* Facultad de Ciencias de la Electrónica, BUAP, Edificio 109B, Ciudad Universitaria, Ave. San Claudio y 18 Sur, Col. Jardines de San Manuel, Puebla, Pue. México, 72570.
** Facultad de Ciencias Físico Matemáticas, BUAP, Ciudad Universitaria, Edificio 111A, 18 Sur y Ave. San Claudio, Col. Jardines de San Manuel, Puebla, Pue. México, 72570.
Correspondencia:
Dr. José Jacobo Oliveros-Oliveros,
Correo electrónico: oliveros@fcfm.buap.mx
Fecha de recepción: 19 de Noviembre de 2012.
Fecha de aceptación: 30 de Marzo de 2013.
RESUMEN
Objetivo: Presentar una simplificación del Problema Inverso Electroencefalográfico (PIE) del caso de varias capas conductoras a una región homogénea con condición de Neumann Nula. Metodología: Se divide el PIE en tres problemas, dos de los cuales se resuelven usando el potencial medido en el cuero cabelludo y con estas soluciones y el tercer problema se lleva a cabo la simplificación. Para validar la simplificación se genera un ejemplo sintético usando el modelo de esferas concéntricas. Resultados: Por medio de la simplificación la fuente se determina a partir de la ecuación de Poisson con una condición de Neumann nula y un dato adicional sobre la frontera de la región homogénea, el cual se obtiene de la medición. Esto es válido para regiones generales con fronteras suficientemente suaves. Adicionalmente, para el caso de esferas concéntricas, se plantea el PIE para el caso de una fuente dipolar (que representa a focos epilépticos) usando esta simplificación y la técnica de la función de Green. Conclusión: La simplificación presentada aquí permite analizar el PIE en una región lo cual simplifica su estudio teórico y numérico. En particular, puede ser útil para el análisis del problema de identificación de los parámetros de una fuente dipolar.
Palabras clave: fuentes electroencefalográficas, focos epilépticos, condición de Neumann, función de Green, teoría de distribuciones.
ABSTRACT
Objective: To give a simplification of the Inverse Electroencephalographic Problem (IEP) from the case of multilayer conductive medium to the case of a homogeneous region with null Neumann condition. Methodology: IEP is divided in three problems, two of which are resolved using the measurements of potential on the scalp and with these solutions and the third problem the simplification is carried out. In order to validate the simplification a synthetic example is generated using the model of concentric spheres. Results: Through of simplification, the source is determined from the Poisson equation with null Neumann condition and an additional data on the boundary of the homogeneous region, which is obtained from the measurement. This is valid for regions with smooth boundary. Additionally, in the case of concentric spheres, it is statement the identification problem for dipolar sources (representing epileptic focus) using this simplification and Green function. Conclusion: The simplification presented here allows us to analyze the inverse problem in one region, which simplifies the theoretical and numerical study. In particular it may be useful to analyze the problem of parameter identification of a dipolar source.
Keywords: electroencephalographic source, dipolar focus, Neumann condition, Green function, distribution theory.
INTRODUCCIÓN
En diversos campos de la investigación, se presentan situaciones en las cuales es necesario conocer las causas que producen cierto fenómeno a través de la información parcial que se obtiene del mismo [1]. Este tipo de problemas son llamados de identificación y son ampliamente estudiados en muchos campos de la investigación, entre otros la medicina, donde hay un gran interés en el problema de identificación de fuentes bioeléctricas cerebrales, a partir de los datos obtenidos por medio de un electroencefalograma (EEG) ya que permiten detectar posibles anomalías (daños, mal funcionamiento, etc.) lo que se ha hecho tradicionalmente a través de diferentes técnicas de diagnóstico.
Para los problemas de identificación se usan modelos matemáticos, con los cuales se desarrollan técnicas no invasivas. Entre estas se encuentran la tomografía por emisión de positrones, la resonancia magnética nuclear, la electroencefalografía, la cual es de particular de interés para nosotros. Por medio de esta técnica se registran los potenciales en un electroencefalograma (EEG); estos potenciales provienen de la actividad eléctrica de los tejidos excitables, y se captan midiendo la diferencia de potencial existente entre un electrodo explorador y otro de referencia. A las fuentes que son generadas por la actividad electroquímica de estos órganos se les conoce como fuentes bioeléctricas y se considera que están compuestos por grandes conglomerados de neuronas que actúan simultáneamente. Entre las ventajas de la técnica del EEG se encuentran que la información que proporciona se captura en tiempo real, de manera simple, es no invasiva además de económica. En algunos casos podemos considerar que los generadores están concentrados en una región del cerebro y que pueden representarse por funciones de cuadrado integrable definidas sobre esa región. En el caso particular en que se tiene una fuente dipolar (con la cual se representan a los focos epilépticos), es necesario enfocar el análisis de este problema a través de las distribuciones o funciones generalizadas. Para el estudio de este problema se consideran el problema directo e inverso electroencefalográfico. El primero de ellos consiste en hallar el EEG cuando conocemos a la fuente. El segundo consiste en determinar la fuente a partir del EEG.
En este trabajo se presenta una simplificación del PIE, la cual se basa, como primer paso, en separar el problema en dos sub problemas. El primero de ellos puede ser calculado a partir del EEG en el cuero cabelludo. Para el segundo de ellos, se divide en otros dos, uno de los cuales puede calcularse también (indirectamente) de la medición. De esta manera, el problema inverso se reduce a un problema de identificación de fuentes en un medio homogéneo con una condición de Neumann nula en la frontera de dicho medio, con lo que se pueden usar los resultados que se tienen para este último problema el cual ha sido utilizado para realizar experimentación y para hallar resultados teóricos. Para validar el método se presenta la solución del problema inverso para el caso de fuentes distribuidas en el volumen cerebral. Para fuentes dipolares (focos epilépticos) se halla la solución para una región anular homogénea usando una función de Green. En el caso de una esfera la función de Green puede calcularse en forma explícita y el potencial producido en un punto se obtiene realizando un producto punto de vectores en el espacio por lo que el problema inverso se reduce a un problema de mínimos cuadrados no lineales en un medio homogéneo. En el desarrollo de este trabajo no se considera el caso de errores en la medición.
Debido a que la epilepsia ataca a una parte importante de la población mundial [2] se han dedicado esfuerzos para su estudio los cuales pueden dividirse, en desarrollo de algoritmos y en desarrollo tecnológico para obtener sistemas de visualización de la zona afectada. Este trabajo se enmarca dentro del primero de ellos.
MODELO MATEMÁTICO
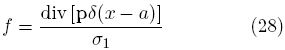
El modelo matemático que se presenta en este trabajo ha sido ampliamente utilizado para el estudio del problema de identificación en ([1], [3], [4], [5]); en él la cabeza humana ha sido modelada por medio de capas conductoras con conductividad constante y diferente en cada capa. La actividad eléctrica del cerebro es registrada en el cuero cabelludo por medio del EEG. Se considera para la modelación que el EEG es producido por grandes conglomerados de neuronas que se activan simultáneamente. A estos conglomerados se les conoce como generadores o fuentes bioeléctricas ([4], [6]). Adicionalmente, se supone que las corrientes que pueden producirse en la región Ω se deben únicamente a la actividad eléctrica del cerebro y pueden ser de dos tipos: óhmicas e impresas. Las primeras se deben al movimiento de cargas iónicas a través del fluido extracelular en el cerebro y las segundas a las corrientes de difusión a través de las membranas neuronales ([6]) las cuales se denotan por J p y son las de interés en el problema de identificación, ya que el soporte de estas puede darnos información sobre la ubicación espacial de la zona afectada. Tomando en cuenta lo anterior, se demuestra que el estudio del Problema Inverso Electroencefalográfico (PIE) puede ser realizado a través del siguiente problema de valores en la frontera ([1], [4], [5], [7]):

donde Ω =
1 U Ω2 representa a la cabeza, Ω1 el cerebro, Ω2 el resto de las capas que componen la cabeza (líquido intracraneal, cráneo, cuero cabelludo), σ1 y σ2 son las conductividades de Ω1 y Ω2 las cuales se suponen constantes (ver figura 1), ƒ = div Jp/σ1 es llamada la fuente, ui = u|Ω1 i = 1,2 y u representa al potencial eléctrico en Ω. El símbolo Δ representa al operador laplaciano, que también se simboliza como ∇2. Obsérvese que en este caso podremos recuperar sólo una parte de la fuente bioeléctrica Jp. Las condiciones de frontera (3)-(4) son llamadas de transmisión y la condición de frontera (5), se obtiene al considerar que la conductividad de ΩC es cero (la conductividad del aire). De las fórmulas de Green se deduce la siguiente condición de compatibilidad


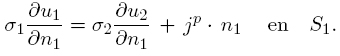
En el caso en que sólo se consideren fuentes corticales, su presencia se refleja sobre la condición de frontera asociada con la igualdad de flujos de corriente. Si denotamos por jp a la densidad de corriente cortical entonces dicha condición de frontera toma la forma:

Se denomina a jp · n1 fuente cortical y satisface una condición de compatibilidad similar a la (6). Sin embargo, si consideramos simultáneamente tanto fuentes corticales como volumétricas esta condición se convierte en
. El caso de fuentes corticales ha sido estudiado en [8] y se busca la solución como la suma de un potencial de capa doble definido S1 más uno de capa simple definido sobre S2. En este caso la densidad dipolar definida sobre S1 puede representar la actividad de neuronas piramidales y, por lo tanto, brindar información sobre la zona activa de la corteza cerebral. Sin embargo, en ese trabajo sólo se consideraron fuentes que pueden representarse por funciones de cuadrado integrable y no por funciones generalizadas con las cuales representan las fuentes dipolares. Este caso debe estudiarse matemáticamente con detalle para asegurar la existencia de soluciones de este problema además de interpretarse apropiadamente el planteamiento matemático para que dichas soluciones tengan un sentido en el problema real. La discusión sobre este tema no se aborda en este trabajo por lo que no se considera la presencia de fuentes corticales.
Al problema (1)-(5) se llama Problema de Contorno Electroencefalográfico (PCE).
Definición 1. Se llama Problema Directo Electroencefalográfico al problema que consiste en hallar la solución u(x) del PCE cuando se conoce f (x) = div Jp/ σ1.
Definición 2. El Problema inverso asociado al PCE consiste en dada una función V definida sobre S, encontrar f(x) de manera que para la solución u(x) del problema directo correspondiente a dicha f(x), se cumpla que u\s = V.
SIMPLIFICACIÓN DEL PROBLEMA A UNA REGIÓN
Problemas que permiten la simplificación
Para resolver el Problema Inverso Electroencefalográfico, primero se desacopla el problema (1)-(5) en los dos problemas siguientes:
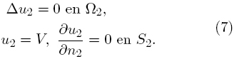
Primer problema. Resolver el problema de Cauchy en la región anular Ω2 dado V sobre S2:

Segundo problema. Después de hallar u2 en el primer problema por medio de los datos de Cauchy sobre S2 usando las condiciones de transmisión (3)-(4) el PIE se reduce a hallar ƒ a través del problema:

donde 
La condición de transmisión (4) correspondiente a la igualdad de los flujos de corriente, lleva a que

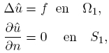
Para reducir a una región, consideremos el Tercer problema. Para el estudio del problema (8) tomamos los siguientes dos problemas:

Notemos que u1 = û + ū si elegimos ƒ en (11) a través del dato adicional:

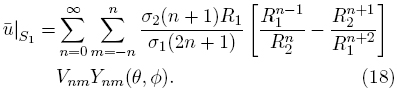
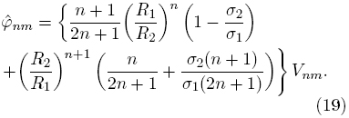
La solución del problema (10) se toma ortogonal a las constantes, con lo cual es única. Debido a que ψ es conocida a partir de los datos de Cauchy, el problema (10) puede separarse del resto y sólo considerarse para el estudio del problema de identificación, al problema (11)-(12), el cual corresponde al caso del PIE para una sola región con una condición de contorno de Neumann nula y que llamaremos Problema Inverso Electroencefalográfico Simplificado (PIES). Nótese que la condición de compatibilidad sobre ψ para el problema (10) es la dada por (9). Llamaremos al problema (11), Problema de Contorno Electroencefalográfico Simplificado (PCES).
El desarrollo de esta sección es válido para regiones generales con frontera suficientemente suave que incluyen el caso de las geometrías que pueden aproximar con mayor precisión a la geometría de la cabeza de un paciente específico. En la sección siguiente se desarrollan los tres problemas anteriores para el caso en el que la cabeza se modela por medio de esferas concéntricas, a fin de ilustrar cómo funciona la propuesta realizada en esta sección.
EJEMPLIFICACIÓN DE LA TÉCNICA PROPUESTA USANDO EL CASO DE ESFERAS CONCÉNTRICAS
Es conocido [9] que para fuentes bioeléctricas volumétricas representadas por funciones de cuadrado integrable, la solución del PIE es única si la fuente es una función armónica y satisface la condición (6).
Para ejemplificar la metodología sobre la reducción a una sola región, consideremos el caso de fuentes ƒ representadas por funciones armónicas que satisfacen (6) (con lo que, como se dijo anteriormente, garantizamos unicidad de la solución del problema de identificación) en el caso en que la cabeza se modela por dos esferas concéntricas lo cual es elegido por claridad de la exposición. En este caso se pueden realizar todos los cálculos de manera analítica sin recurrir a los métodos numéricos. Sin embargo, los resultados se pueden generalizar al caso en el que las capas no son necesariamente esféricas para lo cual sería necesario utilizar métodos numéricos para validar los resultados que se presenten.
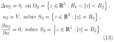
Primer problema. Resolver el Problema de Cauchy en la región anular Ω2 compuesta por esferas concéntricas, dada la medición sin error V:

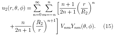
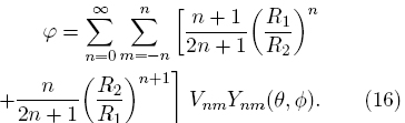
Sean Ynm los armónicos esféricos y Vnm los coeficientes de Fourier de V en la base que ellos forman. En este caso se tiene que V está dado por

de donde la correspondiente solución del problema (13) es

Debe observarse que para que la serie dada en (15) converja, los coeficientes de Fourier deben converger muy rápidamente debido a la presencia del término 
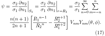
El potencial u2 sobre S1 es

Usando la expresión (15) puede ser calculado
sobre S1:

Segundo problema. Resolver el problema (10):

Como ū es armónica esta se busca en la forma
Se halla que

Utilizando la condición
se tiene que

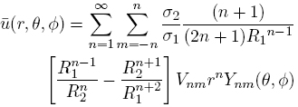
Por lo tanto, la solución del problema (10) viene dado por

de aquí que

Tercer problema. En este paso se resuelve el PIES.

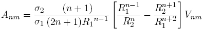
de donde los coeficientes de Fourier de
son:

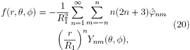
Ahora, el problema inverso de identificación de la fuente ƒ se puede estudiar en la región homogénea Ω1y consiste en hallar ƒ a partir del problema:

con la información adicional û =
sobre S1. En este caso la solución del PIES está dada por

la cual está en función de los coeficientes de Fourier
nm de
dados por (19) (que a su vez están dados en términos de los coeficientes de Fourier de la medician V). En términos prácticos la serie (20) debe truncarse para poder graficarla. Más aún, para el problema directo las series deben truncarse en el entendido que entre más términos se tomen de la misma, mejor será la aproximación. En el problema inverso el truncamiento debe hacerse en función del error en los datos. Como en este caso no estamos considerando error en las mediciones no se ha analizado este hecho.
En el siguiente ejemplo sintético, la serie (20) asociada a la fuente sólo tiene un número finito de términos.
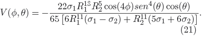
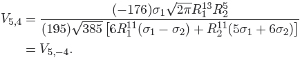
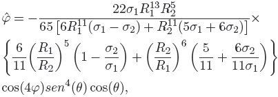
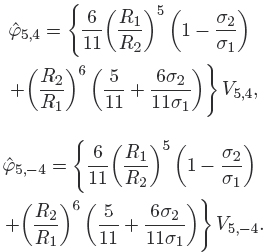
Ejemplo. Consideremos el caso en que R1 = 1, R2 = 1.2, σ1 = 3 y σ2 = 1 y

En coordenadas cartesianas f (x, y, z) = 2 (x4 6x2y2 + y4) z. Esta fuente produce la medición

Los coeficientes de Fourier de la medición V son

Usando el método propuesto calculamos
:

donde sus coeficientes de Fourier son

Sustituyendo estos coeficientes en la ecuación (20) se halla que la fuente correspondiente a la medición dada por (21) está dada por:

Las representaciones gráficas de las fuentes exacta y recuperada, están dadas por la figura 2.
Como no se consideran errores en la medición, la fuente exacta y la recuperada prácticamente coinciden. De hecho, en la tabla I se muestran los valores para los diferentes tipos de error. Mediante EA, ER y EMC denotamos el error absoluto, el error relativo y el error en media cuadrática entre la fuente exacta y la recuperada, respectivamente.

Los valores presentados en la Tabla I, muestran que el método recupera a la fuente exacta considerando aritmética exacta. Para el caso de errores en la medición, debido a que el problema de Cauchy (8) es mal planteado [9], la fuente obtenida por el método puede variar sustancialmente de la fuente exacta y más aún, pequeños cambios en la geometría también pueden provocar también cambios sustanciales en la solución del problema de identificar a las fuentes. Para ver esto, basta considerar que en vez de tener la medición sobre el cuero cabelludo, la tenemos en una curva paralela muy cercana al mismo (hacia el interior de la cabeza). Para tener el valor de la medición en dicha superficie paralela, debemos resolver el problema de Cauchy para la ecuación de Laplace en la región anular formada por estas dos superficies, y por lo dicho arriba sobre su inestabilidad, tendremos cambios importantes en el valor del potencial en la mencionada superficie paralela, y por ende, en la localización de la fuente. Por ello, en este caso es necesario usar métodos de regularización como el de Tijonov que tomen en cuenta lo mencionado arriba.
PLANTEAMIENTO DEL PROBLEMA INVERSO PARA FUENTES DIPOLARES
En esta sección plantearemos el problema de determinar los parámetros de una fuente dipolar usando la simplificación presentada en este trabajo. Para ello, dada la medición V sobre el cuero cabelludo, calcularemos
dada por (12) siguiendo los pasos descritos en las secciones anteriores. Estudiaremos ahora el problema (11).
Solución del PCES
En lo que sigue consideraremos el problema (11), al que hemos denotado por PCES, pero por simplicidad utilizaremos u en vez de û y Ω en vez de Ω1.
Como primer paso para el estudio del problema de identificación se debe estudiar la solubilidad del PCES. En este trabajo estamos interesados en el caso en que la fuente corresponde a un foco epiléptico y la representación matemática de este tipo de fuentes es por medio de las funciones generalizadas o distribuciones. Más precisamente, un foco epiléptico concentrado en el punto a puede representarse en la forma ([4]):

donde p representa al momento dipolar y δ(xa) es la función delta de Dirac concentrada en a. La idea básica para hallar la solución en este caso es la siguiente: ya que δ(x a) es el límite de funciones suaves concentradas alrededor de a, para cada una de dichas funciones suaves, se busca la solución clásica en términos de una función de Green y se toma el límite de dichas soluciones clásicas para hallar la solución que corresponde a ƒ = divJp/σ1 cuando Jp está dado por (22). Para ello comencemos con la siguiente
Definición 3. Diremos que u ∈ C2(Ω) ∩ Ω1 (
) es solución clásica del PCES si satisface la ecuación y la condición de contorno de dicho problema en sentido usual.
Notemos que una condición necesaria de existencia de la solución clásica del PCES es que:

la cual se obtiene de las fórmulas de Green. Además la solución clásica del PCE es única salvo constantes y puede expresarse en términos de la función de Green que se define a continuación.
Definición 4. Se llama función de Green del PCES a la función G(y,x) que satisface el siguiente problema de contorno

Consideremos los siguientes espacios: C0(Ω) es el conjunto de funciones continuas que se anulan en una vecindad de la frontera de Ω y

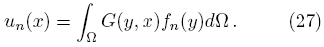
Teorema 1. Si ƒ ∈
entonces la solución clásica u del PCES está dada por:

donde G es la función de Green que satisface el problema (24)-(25).
Para cada ƒn ∈
(Ω), a partir de (22), la solución del PCES, con ƒ sustituido por ƒn, está dada por:

Si además ƒn ∈
(Ω)converge a ƒ = divJp/σ1, con Jp dada por (19), se tiene que
un existe y no depende de la sucesión que converja a ƒ. A tal límite se le llama solución del PCES ([7]).
Pasemos ahora al caso en que la fuente bioeléctrica está dada por

La solución del PCES cuando Jp = pδ(x a) viene dada por:

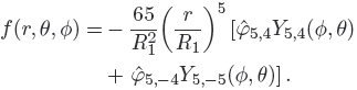
Este resultado puede consultarse en [7]. De esta forma el potencial producido por una fuente dipolar, se expresa en función del momento dipolar y el gradiente de la función de Green.
Para la solución de este problema pueden usarse otras técnicas como la presentada en [10], en donde se propone un método libre de mallas que es computacionalmente eficiente. Sin embargo, para el caso de fuentes dipolares la expresión (29) para x ∈ S es muy sencilla, representa a la solución del problema directo, es decir, al potencial teórico medido en la frontera de Ω. Claramente es necesario conocer a la función de Green en (29) para poder calcular el potencial teórico. Esto se realiza en la siguiente sección para el caso en que la región Ω es una esfera.
CASO DE UNA REGIÓN ESFÉRICA
Función de Green
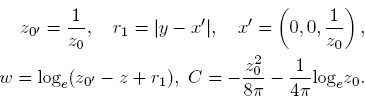
En esta sección consideramos el caso en que Ω corresponde a una esfera de radio uno en la cual la función de Green está dada por ([11]):

La elección de α = 1/6m(Ω) garantiza la existencia y la unicidad (salvo constantes) de la función g1 y, por lo tanto, de la función de Green G.
Cuando x está sobre el eje z, es decir, cuando x = (0, 0, z0) se tiene que

en donde

La constante C se elige de la condición:

con la cual garantizamos que la función de Creen es única.
Nótese que cuando z0 = 1 se tiene que el punto x corresponde al polo norte de la esfera. Tendremos entonces el potencial en ese punto. Para el caso en que x no coincida con el polo norte, se realiza un cambio de coordenadas para colocar el eje z en la dirección del punto x y que éste coincida con el polo norte (para lo cual se usan matrices de rotación). Así tendremos el potencial teórico en cada punto de la superficie.
Modelos que consideran una geometría real de la cabeza [10], han sido empleados para el estudio de este problema cuando se tiene una fuente dipolar, los cuales podrían dar información sobre la posible ubicación de la fuente. Sin embargo, de acuerdo con [12] un modelo muy detallado de la cabeza humana podría no ser necesario para el estudio tanto del problema directo como del inverso.
Planteamiento del problema inverso
A partir de los resultados presentados en este trabajo, el problema de determinar los parámetros de una fuente dipolar, a saber, el momento dipolar p y la posición a, puede estudiarse a partir del funcional de mínimos cuadrados

donde x pertenece a la superficie de la esfera interior que representa al cerebro, u está dada por (29) y la función de Creen por (33). Se debe proponer un algoritmo estable el cual puede basarse en la técnica de mínimos cuadrados no lineales planteado en este trabajo junto con algún método de regularización para tratar la inestabilidad del problema.
CONCLUSIONES
En este trabajo por medio de una simplificación se redujo el PIE al análisis de un problema de Poisson (definido en una sola región homogénea con conductividad constante) con una condición de contorno de Neumann nula junto con el dato que se determina de la medición sobre el cuero cabelludo (ver sección 3). Este caso ha sido estudiado como un primer paso para el análisis del PIE. En este trabajo se demuestra que este problema tiene una relación estrecha con el problema de varias capas conductoras. Esto se deriva del hecho que el flujo de corriente es nulo en la superficie del cuero cabelludo debido a que el aire se considera un aislante. En aquellos casos en que esta condición física se cumpla, pueden aplicarse los resultados presentados aquí.
Se validó, usando la técnica de los armónicos esféricos, la simplificación en el caso en que la cabeza se modela por esferas concéntricas y la fuente es una función armónica. Para el caso de fuentes dipolares, se planteó el problema de identificar los parámetros de una fuente dipolar usando la simplificación. Para el caso en que las mediciones tengan errores, se debe proponer un algoritmo regularizado ya este problema es mal planteado debido a que pequeños errores en la medición, pueden generar grandes cambios en la localización de la fuente.
REFERENCIAS
1. Fraguela A, Morin M. Oliveros J. "Modelos Matemáticos en Electroencefalografía Inversa" En: Jiménez Pozo M, Bustamante González J, editores, Tópicos de la Teoría de Aproximación II, Capítulo 4. Textos Científicos, Benemérita Universidad Autónoma de Puebla, 2007; 73-95. [ Links ]
2. Fuertes de Gilbert Rivera B., López Gutiérrez R., Gil Gregorio P. "EPILEPSIA" En: Tratado de geriatría para residentes. Editado por Sociedad Española de Geriatría y Gerontología (SECC), Príncipe de Vergara, 57-59, 1.ž B, 28006 (Madrid), 2006: 519-530. [ Links ]
3. Heller L. "Return Current in Encephalography. Variational Principles". Biophysical Journal, 1990; 5:. 601-607. [ Links ]
4. Sarvas J. "Basic Mathematical and Electromagnetic Concepts of the Biomagnetic Inverse Problem". Phys. Med. Biol., 1987, 32(1): 11-22. [ Links ]
5. Grave R, González S, Gómez C. M. "Bases biofísicas de la localización de los generadores cerebrales del electroencefalograma. Aplicación de un modelo tipo distribuido a la localización de focos epilépticos". Revista de Neurología, 2004; 39: 748-756. [ Links ]
6. Nuñez P.L. "Electric Field of the Brain". New York, Oxford Univ. Press, 1981. [ Links ]
7. Fraguela A, Morín M, Oliveros J. "Planteamiento del Problema Inverso de Localización de los Parámetros de una Fuente de Corriente Neuronal en forma de Dipolo". Comunicaciones de la Sociedad Matemática Mexicana, 1999; 25: 41-55. [ Links ]
8. Fraguela A, Oliveros J, Grebennikov A. "Planteamiento operacional y análisis del problema inverso electroencefalográfico". Revista Mexicana de Física, 2001; 47 (2): 162-174. [ Links ]
9. Fraguela A, Morín M, Oliveros J. "Inverse electroencephalography for volumetric sources". Mathematics and Computers in Simulation, 2008; 78: 481-492. [ Links ]
10. Von Ellenrieder N, Muravchik C. H, Nehorai F. A. "A Meshless Method for Solving the EEG Forward Problem". IEEE Transactions on Biomedical Engineering, 2005; 52(2): 249-257. [ Links ]
11. Sobolev S. L. "Partial Differential Equations of Mathematical Physics". Addison-Wesley Publishing Company (Inc. Moscú), 1964. [ Links ]
12. Von Ellenrieder N, Muravchik C. H, Nehorai F. A. "Effects of Geometric Head Model Perturbations on the EEG Forward and Inverse Problems". IEEE Transactions on Biomedical Engineering, 2006; 53(3): 421-429. [ Links ]













