Antecedentes
Los estudios de trayectorias académicas en el nivel de educación superior surgieron para determinar la eficacia y eficiencia de los centros educativos y realizar el seguimiento de la vida académica de los estudiantes.1 En la Universidad Nacional Autónoma de México (UNAM), estos estudios comenzaron en el Colegio de Ciencias y Humanidades (CCH) en 1976, en donde se definió una metodología para ello.2
Actualmente, se realizan en dependencias como la Coordinación de Universidad Abierta, Innovación Educativa y Educación a Distancia (CUAIEED) de la UNAM, mediante una técnica propia y aplicable en diversos contextos,3 con la finalidad de acreditar los planes de estudio, mejorar la permanencia, egreso y titulación; disminuir el abandono y rezago escolar; establecer perfiles para intervenciones específicas para mejorar los resultados de las evaluaciones de los estudiantes y que puedan concluir en tiempo y forma.4 Además, se utilizan para predecir el desempeño que tendrán los estudiantes durante la licenciatura y establecer un perfil de éxito académico.5,6
Miles de médicos han egresado de las licenciaturas de ciencias de la salud; entre 1945 y 2008, la mitad de los médicos mexicanos provenían de la Facultad de Medicina.7 Identificar el comportamiento de las trayectorias académicas ayuda a planear y desarrollar estrategias para cada licenciatura y plantel.
En la CUAIEED de la UNAM,1,8,9 el método para el análisis de trayectorias hace referencia al itinerario educativo formal que sigue una cohorte de estudiantes durante un tiempo definido: su matriculación a un plan de estudios, permanencia, abandono escolar y egreso. Este método tiene como ventaja la clasificación de intervalos de avance escolar, considerando niveles de rezago, está institucionalmente probado y ha sido empleado para procesos como acreditación de diversas licenciaturas ante organismos nacionales e internacionales que demandan rigurosos estándares de calidad educativa.3,10
Objetivo
Esta investigación se centra en las licenciaturas en ciencias de la salud de la UNAM de las generaciones 2001 a 2016 con los siguientes objetivos:
Comparar las trayectorias de las cohortes de medicina, enfermería, odontología y psicología según el plantel en donde se imparten.
Identificar los períodos críticos de mayor riesgo de abandono y rezago.
Comparar el impacto del modelo curricular (modular o por asignatura) en las trayectorias académicas de los estudiantes.
Material y métodos
Se realizó un estudio comparativo de cohortes reales con base en el historial académico de los alumnos de las generaciones 2001 a 2016, las cuales comprendieron estudiantes que egresaron entre 2005 y 2020 (no se reportan generaciones más recientes ya que aún están activas) y que cursaron las licenciaturas de medicina (médico cirujano), odontología (cirujano dentista), psicología y enfermería en Ciudad Universitaria, Facultad de Estudios Superiores (FES) Iztacala, FES Zaragoza y Escuela Nacional de Enfermería y Obstetricia (ENEO). Los datos fueron proporcionados por la Dirección General de Administración Escolar de la UNAM.
Se calculó el avance en créditos de cada alumno al final de cada ciclo (semestral o anual) en tiempo curricular, dividiendo el número de créditos aprobados en los períodos de exámenes ordinarios y extraordinarios al corte entre el total que estipula el plan de estudios en ese momento y 50 % adicional de su duración en tiempo reglamentario.11 El tiempo curricular es el estipulado para que se cursé un plan de estudios, por ejemplo, cuatro años que es la duración de la licenciatura, mientras que el tiempo reglamentario es de seis años, 50 % más del total de la duración de la licenciatura. A cada alumno se le asignó una categoría: abandono (cero créditos), rezago extremo (1 y 25 %), rezago alto (26 y 50 %), rezago medio (51 a 75 %), rezago recuperable (76 a 99 %) y regularidad (100 % de avance en el corte). En los tiempos curricular y reglamentario, 100 % de avance en los créditos corresponde al egreso. En el caso del tiempo curricular se refiere a la conclusión de los estudios en tiempo y forma, lo cual corresponde a la eficiencia terminal.
Se realizó prueba de ANOVA para contrastar el egreso entre planteles por carrera y tiempo. Para identificar los períodos críticos se utilizaron funciones de supervivencia con el método de Kaplan-Meier,12 en el cual se consideró como evento de interés dejar de ser alumno regular. Para lo anterior, se preparó un archivo de datos por alumno en el cual se señaló el tiempo que permaneció como estudiante regular; los casos en los cuales por motivo del corte no fue posible determinar cuándo dejaron de serlo fueron tratados como censurados. El análisis se efectuó con el software R (versión 4.2.2).
Resultados
La muestra estuvo integrada por 91 032 estudiantes de las generaciones 2001 a 2016; 69 % fue del sexo femenino. En la Figura 1 se muestra que el abandono en todas las licenciaturas y entidades no fue mayor a 10 %, sin cambios en el tiempo curricular ni en el reglamentario. Las licenciaturas de psicología en Ciudad Universitaria y la FES Zaragoza, así como la de enfermería en la ENEO, presentaron los menores porcentajes de abandono (5 %), a diferencia de la de medicina en Zaragoza, que mostró el mayor porcentaje (10 %) en tiempo curricular.

Figura 1 Trayectorias escolares de los estudiantes de las licenciaturas en ciencias de la salud de las generaciones 2001-2016, según tiempo curricular y reglamentario (n = 91 032 estudiantes).
En todos los campus se observó un incremento del rezago recuperable, como en odontología. Los menores porcentajes de rezago se observaron en enfermería y medicina (10 %) y los mayores en odontología (FES Zaragoza) y psicología. El rezago recuperable casi alcanzó 20 %, por lo que respecto al egreso fue mayor el número de estudiantes que permaneció en esta condición.
En todas las licenciaturas, en tiempo curricular se observó mayor avance en los intervalos de rezago medio y recuperable y no se presentaron cambios en el egreso, lo cual indicó que aproximadamente 70 % egresó en tiempo y forma de acuerdo con el plan de estudios y de 10 % a 30 % presentó algún tipo de rezago, mientras que el resto no presentó variaciones en el avance y fue tan solo en tiempo reglamentario que se advirtió un incremento en el egreso, de 20 % a 40 % más que en tiempo curricular. Los porcentajes de egreso fueron mayores que los de cualquier tipo de rezago de acuerdo con el avance en créditos.
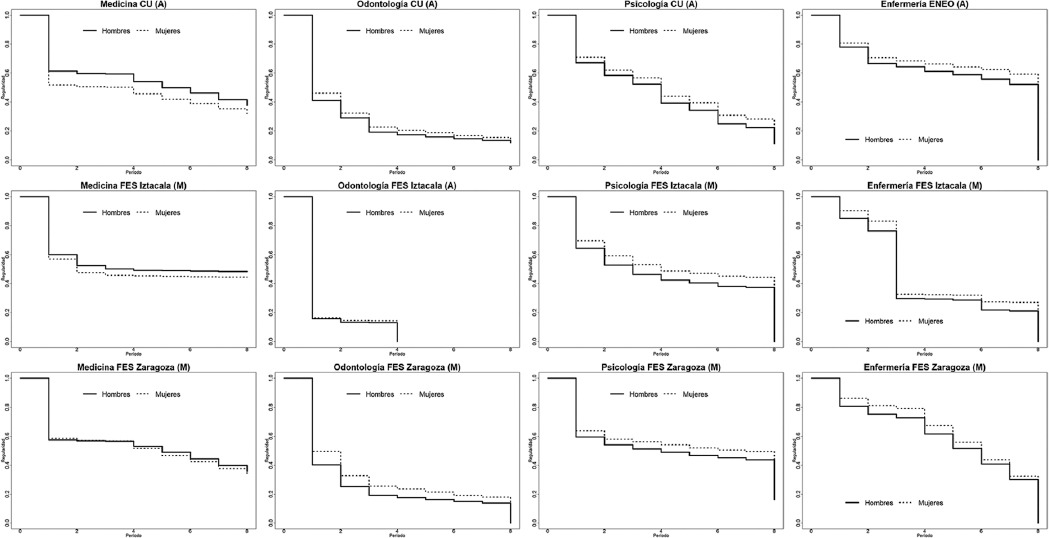
Períodos críticos de mayor riesgo para el abandono y rezago
En la Figura 2 se aprecia que en todas las licenciaturas y campus existió un decremento en la regularidad durante los dos primeros semestres; sin embargo, en enfermería se presentó menor riesgo de abandono o rezago durante ese lapso, mientras que en odontología se presentó el mayor riesgo. Después del primer año, en algunos casos no se identificaron variaciones importantes en la regularidad, sin embargo, en la licenciatura de psicología (FES Zaragoza con plan modular) se observó un decremento importante en la regularidad en octavo semestre y en la licenciatura de enfermería (FES Iztacala con plan modular) ocurrió en el tercer semestre.

Figura 2 Períodos críticos de mayor riesgo para el abandono y rezago de los estudiantes de las licenciaturas de ciencias de la salud según sexo.
En cuanto a la regularidad respecto al sexo, medicina, independientemente del campus, presentó un comportamiento similar entre hombres y mujeres, con excepción de Ciudad Universitaria (por asignaturas), donde se observó que la regularidad fue menor en las mujeres. En el resto de las licenciaturas y campus, la regularidad fue ligeramente mayor en las mujeres que en los hombres.
Egreso en tiempos curricular y reglamentario
En la Tabla 1 se muestra que enfermería presentó los mayores porcentajes de egreso en tiempo curricular y odontología, los menores. Por entidad, los mayores porcentajes de egreso correspondieron a medicina, psicología y enfermería en la FES Zaragoza (plan modular); sin embargo, odontología presentó el mayor porcentaje de egreso en la FES Iztacala (plan modular). Los menores porcentajes de egreso correspondieron a las mismas tres primeras licenciaturas, pero en odontología (Ciudad Universitaria [plan modular] y FES Zaragoza [plan modular]) se observó el menor porcentaje de egreso.
Tabla 1 Egreso en tiempos curricular y reglamentario de las generaciones 2001-2016, según licenciatura y sexo. Universidad Nacional Autónoma de México
| Carrera | Tiempo curricular | Tiempo reglamentario | ||||
|---|---|---|---|---|---|---|
| Ciudad Universitaria* | FES Iztacala | FES Zaragoza | Ciudad Universitaria* | FES Iztacala | FES Zaragoza | |
| Medicina | ||||||
| Plan de estudio | Asignaturas | Modular | Modular | Asignaturas | Modular | Modular |
| Generaciones | 2001 a 2016 | 2001 a 2016 | 2001 a 2016 | 2001 a 2013 | 2001 a 2014 | 2001 a 2013 |
| Ingreso (n) | 17 231 | 11 315 | 3 403 | 13 567 | 9 830 | 2 702 |
| Mujeres (n, %) | 11 156, 64.7 % | 7470, 66.0% | 2199, 64.6 % | 8 781, 64.7 % | 6 467, 65.8 % | 1 750, 64.8 % |
| Egreso (n, %) | 7 225, 41.9 % | 5 548, 49.0 % | 1 970, 57.9 %** | 10 688, 78.8 % | 7 956, 80.9 % | 2 153, 79.7 % |
| Egreso de mujeres (n, %) | 4 192, 37.6 % | 3 501, 46.9 % | 1 263, 57.4 % | 6 755, 76.9 % | 5 211, 80.6 % | 1 380, 78.9 % |
| Odontología | ||||||
| Plan de estudio | Asignaturas | Asignaturas | Modular | Asignaturas | Asignaturas | Modular |
| Generaciones | 2001 a 2016 | 2001 a 2017 | 2001 a 2017 | 2001 a 2013 | 2001 a 2015 | 2001 a 2015 |
| Ingreso (n) | 8 608 | 10 027 | 5 674 | 7 000 | 8 929 | 4 978 |
| Mujeres (n, %) | 6 180, 71.8 % | 6 582, 65.6 % | 3 564, 62.8 % | 5 021, 71.7 % | 5 869, 65.7 % | 3 106, 62.4 % |
| Egreso (n, %) | 2 695, 31.3 % | 3 385, 33.7 % | 1 248, 22.0 %** | 5 075, 72.5 %** | 5 947, 66.6 %** | 2 849, 57.2 %** |
| Egreso de mujeres (n, %) | 2 010, 32.5 % | 2 341, 35.6 % | 1 242, 34.8 % | 3 693, 73.6 % | 3 993, 68.0 % | 1 883, 60.6 % |
| Psicología | ||||||
| Plan de estudio | Asignaturas | Modular | Modular | Asignaturas | Modular | Modular |
| Generaciones | 2001 a 2017 | 2001 a 2017 | 2001 a 2017 | 2001 a 2015 | 2001 a 2015 | 20012015 |
| Ingreso (n) | 9 253 | 11 328 | 8 129 | 8 102 | 9 884 | 7 014 |
| Mujeres (n, %) | 7 415, 80.1 % | 8 236, 72.7 % | 5 674, 69.8 % | 6 515, 80.4 % | 7 278, 73.6 % | 4 944, 70.5 % |
| Egreso (n, %) | 4 657, 50.3 % | 5 876, 51.9 % | 4 858, 59.8 %** | 6 671, 82.3 %** | 7 176, 72.6 % | 5 146, 73.4 % |
| Egreso de mujeres (%) | 3 902, 52.6 % | 4 807, 58.4 % | 854, 15.1 % | 5 468, 83.9 % | 5 419, 74.5 % | 3 725, 75.3 % |
| Enfermería | ||||||
| Plan de estudio | Asignaturas | Modular | Modular | Asignaturas | Modular | Modular |
| Generaciones | 2010 a 2017 | 2011 a 2017 | 2011 a 2017 | 2010 a 2015 | 2011 a 2015 | 2011 a 2015 |
| Ingreso (n) | 1678 | 2094 | 2292 | 1 171 | 1 489 | 1 635 |
| Mujeres (n, %) | 1 148, 68.4 % | 1 547, 73.9 % | 1 606, 70.0 % | 820, 70.0 % | 1 112, 74.7 % | 1 144, 70.0 % |
| Egreso (n, %) | 997, 59.4 % | 1 185, 56.7 % | 1 756, 76.6 %** | 901, 76.9 % | 1 149, 77.3 % | 1 436, 87.8 %** |
| Egreso de mujeres (n, %) | 711, 61.9 % | 919, 59.4 % | 1 263, 78.6 % | 647, 78.9 % | 883, 79.4 % | 1 031, 90.1 % |
*Las entidades consideradas en esta categoría fueron las facultades de medicina, odontología, psicología y la Escuela Nacional de Enfermería y Obstetricia.
**La diferencia del egreso total de la entidad es significativa con respecto a las otras dos de acuerdo con la prueba de Tukey.
Existió una diferencia significativa del egreso en cuanto al sexo: en psicología se presentó el mayor número de ingresos de mujeres (n = 21 325) y en enfermería, el menor número (n = 4301); sin embargo, esta también fue la que presentó el mayor porcentaje de egreso y por plantel. La FES Zaragoza (plan modular) mostró los mayores porcentajes de egreso en medicina, psicología y enfermería. Independientemente de la licenciatura y entidad, en el egreso en tiempo curricular se observó un mayor porcentaje de mujeres.
Los porcentajes de egreso en tiempo reglamentario se incrementaron más de 40 %, como sucedió en odontología (Ciudad Universitaria [plan modular]), que pasó de 31.3 % a 72.5 %. Los mayores porcentajes de egreso se presentaron en psicología en Ciudad Universitaria (plan por asignatura), medicina en la FES Iztacala (plan modular) y enfermería en la FES Zaragoza (plan modular); el menor porcentaje se observó en odontología (plan modular). Por entidad, los mayores porcentajes de egreso se identificaron en odontología (plan modular) y psicología (plan por asignatura) en Ciudad Universitaria, pero la licenciatura de enfermería de la FES Zaragoza (plan modular) presentó el porcentaje más alto (87.8 %). Los menores porcentajes de egreso se observaron en enfermería (plan por asignatura) y medicina de Ciudad Universitaria (plan por asignatura), y el menor porcentaje en odontología de la FES Zaragoza (57.2 %).
Respecto a las mujeres, el egreso en tiempo reglamentario se incrementó en medicina, independientemente del plantel, ya que en los tres fue casi de 81 %. Por plantel, medicina y odontología de la FES Iztacala (planes modulares) presentaron los mayores porcentajes de egreso de mujeres respecto al egreso general.
Discusión
En las licenciaturas analizadas fue posible identificar algunas variaciones en cuanto a los indicadores, sobre todo de egreso: la FES Zaragoza, aunque presentó el menor número de ingresos en tres de las licenciaturas, en psicología y medicina se observó un mayor porcentaje de egreso en tiempo curricular; asimismo, fue la entidad que presentó menor rezago, principalmente en psicología y enfermería, lo cual pudo deberse principalmente a la estructura de los planes de estudio.13
En una investigación de la Facultad de Medicina de la UNAM, bajo el enfoque de curso de vida se observaron diferencias entre las trayectorias de los estudiantes que cursaron la licenciatura con diferentes planes de estudio, sobre todo respecto a la regularidad: se observó un mayor porcentaje de estudiantes con trayectoria regular (sin materias reprobadas) en el plan curricular más reciente. La regularidad es una métrica sencilla que permite identificar los cambios curriculares asociados.14
Respecto a la estructura de los planes de estudio, entre los hallazgos encontrados en la licenciatura de psicología de la FES Iztacala, los estudiantes manifestaron la inconformidad con la estructura del plan de estudios como una causa de discontinuidad en su trayectoria.15 Resulta interesante notar que en la FES Zaragoza, los planes de estudio de las cuatro licenciaturas analizadas son de tipo modular, los cuales, a diferencia de los planes por asignatura, tienen como finalidad eliminar la fragmentación de contenidos y habilidades a fin de lograr un aprendizaje holístico, entendido como la puesta en práctica de todos los saberes que se adquieren durante el trayecto escolar. Actualmente, numerosos planes de estudio en las licenciaturas del área de las ciencias de la salud están diseñados de esta forma.16 La perspectiva de los estudiantes durante su proceso de formación en este tipo de diseño curricular es que se trata de un plan de estudios sólido, funcional y que brinda una formación integral para dar respuesta a las necesidades sociales reales.
Las facultades de psicología, medicina y odontología de Ciudad Universitaria presentaron los menores índices de egreso, y los porcentajes de abandono y rezago fueron ligeramente más altos al compararse con de la FES Zaragoza y la FES Iztacala, lo cual pudiera atribuirse a los requisitos que se establecen durante la trayectoria escolar enmarcados en los planes de estudio de carácter modular, los cuales son más flexibles y presentan menos obstáculos para facilitar el tránsito de los estudiantes.
La licenciatura de odontología en la FES Zaragoza se inició con el mismo plan de estudios de la Facultad de Odontología, el cual estaba organizado por asignaturas, pero solo se aplicó un año y en 1977 se optó por un plan modular, en el cual también se integró un taller de apoyo para la titulación, el Taller para la Elaboración de Tesis. Es decir, desde sus inicios en esa licenciatura se propuso apoyar a los estudias para que egresen,17 visión que se comparte con la FES Iztacala y que se refleja en los resultados de esta investigación.
Una variable relevante para el análisis de trayectorias académicas es el sexo. El sexo femenino presentó mayores índices de egreso y mejores resultados en cuanto a la regularidad, lo cual disminuyó el abandono y el rezago. Cada vez es mayor el número de ingresos, permanencia y egreso de las mujeres en estudios de nivel superior, con mejores probabilidades de éxito profesional y laboral.18,19 El sexo constituyó la cuarta variable que resultó significativa respecto a la reprobación,20,21 lo que indica que ser mujer puede ser un factor para una mejor trayectoria académica. Desde hace algunas décadas, la lucha por la igualdad y la inclusión de la perspectiva de género en varios programas de estudios han favorecido la educación de las mujeres en todos los niveles. En el documento UNESCO-IESALC (2021),22 se mostró que si bien la paridad de género es diversa dependiendo de la región y la calidad educativa, cada vez existen más mujeres directoras o investigadoras. La perspectiva cultural, y no solo la biológica, con interacciones entre la trayectoria y el impacto que en ellas tienen las prácticas sociales y culturales por país,23 así como las expectativas que se tienen de ellas, provocan que se desarrolle una alta eficacia y autorregulación.
En relación con los períodos críticos en los cuales los estudiantes tienen mayor riesgo de abandono y rezago, en las cuatro licenciaturas, independientemente del campus, se observó que durante los dos primeros semestres el riesgo es mayor, resultados que concuerdan con los de otras investigaciones1,4,20 y se derivan de múltiples factores que inciden en las trayectorias, como los procesos de transición y adaptación al llegar a un nuevo y diferente ambiente escolar y contexto institucional. Además de las nuevas exigencias y contenidos, los diversos métodos de enseñanza y evaluación, relacionados estrechamente con el inicio de la formación profesional y la motivación para comenzar y concluir los estudios universitarios, determinan la permanencia y avance en la licenciatura.24,25
Una de las limitaciones de este estudio consistió en no analizar factores socioeconómicos y familiares, entre otros, que pueden complementar los resultados y plantear diferentes intervenciones. Los datos relacionados con los antecedentes académicos durante el nivel medio superior, la reprobación de asignaturas o módulos durante la carrera y los resultados obtenidos en evaluaciones de alto y bajo impacto antes, durante y después de su trayectoria, pueden ampliar el análisis de la información, así como el análisis de los procesos de gestión escolar y la orientación vocacional, el abandono escolar temprano o, por el contrario, el alto rendimiento de estudiantes que realizaron una adecuada elección vocacional, que también pueden constituir factores por considerar.26,27
Conclusiones
Es posible distinguir diferencias entre las trayectorias académicas de cuatro licenciaturas de ciencias de la salud de la UNAM, que se manifestaron por medio del comparativo de indicadores como el abandono, el rezago, la regularidad y el egreso. La estructura del plan de estudios y el sexo inciden en la trayectoria académica por medio de la formación profesional. En odontología se observaron menores índices de egreso y mayor abandono y rezago; asimismo, en enfermería, medicina y psicología de FES Zaragoza y FES Iztacala se alcanzaron los mayores porcentajes de egreso y menor riesgo de abandono y rezago. Por su parte, las mujeres presentaron mayor porcentaje de egreso y menor probabilidad de abandono y rezago en comparación con los hombres.










text new page (beta)


