Introduction
Until now, one of the most solid paradigms of contemporary cardiovascular (CV) medicine is that estimating risk to tailor specific prophylactic measures according to the magnitude of the calculated danger is essential in the primary prevention of CV diseases.1 Under that idea, several risk scores have been introduced in the last decades based on ample adult population cohorts comprising both sexes.2-10 Using multiple regression analysis, where the different risk factors were used as independent or explanatory and diverse fatal and non-fatal outcomes as dependent or predicted variables, multiple regression equations were generated to predict the absolute risk of those outcomes, generally over ten years. Because these seminal cohort studies are expensive, complex, and long-lasting, without exception, they were generated in developed countries. Physicians from less advanced nations are forced to use these risk scales even though their populations are strikingly different from an ethnic, nutritional, anthropometric, and cultural point of view. However, as Ueda stated, «Risk equations developed in one population cannot be applied to other populations, or even used in the same population years after they were developed because mean CVD risk and CVD risk factor levels vary across populations and over time».6
In our country, the risk scales that are more attractive to physicians are the United States American College of Cardiology/American Heart Association atherosclerotic cardiovascular disease (ASCVD) risk scale (ACC/AHA ASCVD risk scale),7 the European SCORE2 and SCORE2OP,8,9 and the international Globorisk.10
However, our group has insisted on the necessity of developing a risk scale appropriate to Mexicans, given the peculiar and distinctive features of our predominant mestizo population: high prevalence, mainly of the central type, of overweight and obesity (O/O), genetic predisposition to insulin resistance and the so-called «metabolic syndrome», atherogenic dyslipidemia, and type 2 diabetes (DM2).11-14
A clinical guide on dyslipidemia focused on the Mexican population was recently published,15 in which, among many debatable topics and conclusions, the use of the Globorisk tool for risk estimation in primary prevention was recommended. Although the guide is intended to be a product of a broad national consensus, many concepts and findings of several national research groups, such as ours, are not reflected in many of the recommendations and conclusions of the document mentioned above.
More recently, our group published a work in which we showed that since the ACC/AHA ASCVD risk scale does not consider some highly prevalent risk factors in our country, its calculation grossly underestimates the cardiovascular risk of the Mexican population.16 We compared the risk estimated by the US scale against the values of the ratio between triglycerides (TG) to the cholesterol of the high-density lipoproteins (HDL-c), the TG/HDL-c index, a simple, inexpensive, and easy-to-get risk marker, and also with the Lindavista scale, still under study, derived from anthropometric data, blood glucose, lipids, and blood pressure from the primary prevention study of the same name.13 The ACC/AHA ASCVD scale coincides with the TG/HDL-c index and the Lindavista score only at the extremes. Still, in patients with high or moderate risk, according to our markers, the US scale continues to consider them at intermediate risk. The present work is an extension of the previous one but now scrutinizes the usefulness of another risk score system, the Globorisk tool, to correctly assess the CV risk of Mexicans.
Material and methods
The Lindavista study’s methodology and results and the «Lindavista scale» proposal have been described elsewhere.13,16 A non-probabilistic sample was assembled with subjects of both sexes, aged 35 or older, without a history of atherosclerotic diseases, diabetes, or any systemic severe disease, who were invited to participate in a long-range primary prevention program on cardiovascular (CV) risk factors. The participants were randomly allocated into two groups: one, in which the follow-up was done by cardiologists trained in prevention, and another cared for by their private or institutional general physicians. Institutional ethics and research committees approved the protocol, which was conducted under the standards of Good Clinical Practices,17 and following ethical18 and legal19 standards, including the mandatory obtention of informed consent.
The following data were obtained from all participants’ clinical examinations and laboratory tests: age, sex, and smoking status were registered. From weight (in kg) and height (in cm), body mass index was calculated (BMI, kg/m2). Abdominal circumference was measured in cm. According to standard specifications, systemic systolic and diastolic blood pressures (SBP, DBP) were measured in mm Hg with mercurial sphygmomanometers.20 Fasting glycemia and lipid profile: total cholesterol (TC), TG, HDL-c were obtained in mg/dL by colorimetric assay kits following manufacturers’ instructions. Low-density lipoprotein cholesterol (LDL-c) was estimated through the Friedewald formula21 (LDL-c = TC-HDL-c/(TG/5) if concentrations of TG were below 300 mg/dL. If not, instead of LDL-c, the non-HDL cholesterol estimation was used as a substitute: non-HDL-c = TC-HDL-c.
The summation of these eleven variables yields the «Lindavista score» (LS). Each variable was assigned a value between -3 to +3, according to its amount, following established criteria and, sometimes, arbitrarily. The greater the sum, the higher the CV risk, according to the concept of «risk aggregation».22 The highest possible value of the sum would be 33. The LS was estimated in all subjects of the cohort.
The TG/HDL-c index23 was estimated from the lipid values as a CV and cardiometabolic index.
CV risk was also assessed using the Globorisk tool based on data from eight prospective cohort studies.10 The laboratory version of the score considers smoking, systolic blood pressure, diabetes, and TC to develop regression equations predicting the 10-year risk of sudden death and fatal and non-fatal episodes of ischemic heart disease and stroke.6 There are risk-colored-code charts for 182 nations, recalibrating the original risk score according to country-specific mean risk factor levels and CVD rates. According to the color code of the charts, it can be assumed that the first two categories in green (< 5, 5-9%) correspond to the lowest risk; the yellow one (10-19%) to moderate risk; the one in orange color (20-29%) to high risk and those with different tones of red (30-39, 40-50, and more than 50%) to very high risk (Table 1).24
Table 1: Lindavista risk score.
| Risk factor grading | Scoring | Risk factor grading | Scoring |
|---|---|---|---|
| Female, (years) | Systemic diastolic blood pressure, (mmHg) | ||
| < 30 | -3 | < 90 | 0 |
| 30-39 | -1 | 90-99 | 1 |
| 40-49 | 0 | 100-109 | 2 |
| 50-59 | 1 | ≥ 110 | 3 |
| > 60 | 2 | Fasting glycemia, (mg/dL) | |
| Male, (years) | < 100 | 0 | |
| < 30 | -1 | 100-126 | 1 |
| 30-39 | 0 | 127-140 | 2 |
| 40-49 | 1 | ≥ 140 | 3 |
| 50-59 | 2 | Total cholesterol, (mg/dL) | |
| > 60 | 3 | < 200 | 0 |
| Smoking, (daily consumption) | 200-239 | 1 | |
| Never smokers or former smokers (at least in the last year) | 0 | 240-279 | 2 |
| Cigarette consumption | ≥ 280 | 3 | |
| 1-5 | 1 | Triglycerides, (mg/dL) | |
| 6-10 | 2 | < 150 | 0 |
| > 10 | 3 | 150-199 | 1 |
| Body mass index, (kg/m2) | 200-499 | 2 | |
| < 25 | 0 | ≥ 500 | 3 |
| 25-29.9 | 1 | HDL-c, (mg/dL) | |
| 30-34.9 | 2 | ≥ 60 | 0 |
| ≥ 35 | 3 | 40-59 | 1 |
| Abdominal circumference in women, (cm) | 30-39 | 2 | |
| < 80 | 0 | < 30 | 3 |
| 80-84.9 | 1 | LDL-c, (mg/dL) | |
| 85-89.9 | 2 | < 100 | 0 |
| ≥ 90 | 3 | 100-129 | 1 |
| Abdominal circumference in men, (cm) | 130-159 | 2 | |
| < 90 | 0 | ≥ 160 | 3 |
| 90-94.9 | 1 | Total score | |
| 95-99.9 | 2 | ||
| ≥ 100 | 3 | ||
| Systemic systolic blood pressure (mm Hg) | |||
| < 140 | 0 | ||
| 140-159 | 1 | ||
| 160-179 | 2 | ||
| ≥180 | 3 |
The sum expresses the number and severity of risk factors. The grading of some factors was done, in some cases, taking the standard categories (BMI or BP, for example). In other cases, the different gradation was arbitrary, as in the case of abdominal obesity.
Statistical analysis. Data was analyzed using GraphPad Prism version 7.00 for Windows (GraphPad Software Inc., San Diego, CA, USA). Correlation coefficients among the Globorisk, Lindavista risk, and TG/HDL indexes were done using Pearson’s correlation coefficient formula. A p-value < 0.05 was considered statistically significant.
Results
We test the LS score in all cohort subjects, comparing its values against the TG/HDL-c index, a risk score proposed since the Framingham observations.23 To calibrate the LS, their values were divided into quartiles and compared against those of the TG/HDL-c quotient, corresponding to the quotient Figures of < 3.3, 3.3-4.6, 4.7-6, and > 6 to quartile values of the LS of Q1, 0 to 4.9; Q2, from 5 to 8.9; Q3, from 9 to 13; and Q4, greater than 13 scores.16 Arbitrarily, we named those LS intervals of low, borderline, intermediate, and high-risk categories, following the ACC/AHA ASCVD risk scale nomenclature.7,16
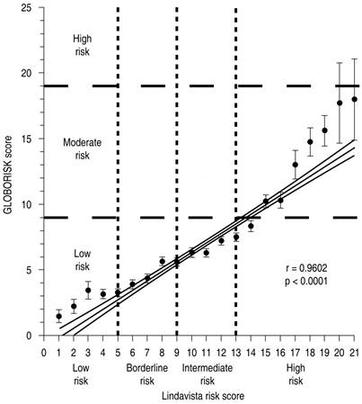
The comparison between the TG/HDL-c index and the Globorisk score is shown in Figure 1, while the relation between Globorisk and LS is shown in Figure 2.

Figure 1: TG/HDL-c index vs Lindavista score. A straight linear relation exists between TG/HDL-c quotient and Globorisk scores, with a high correlation coefficient. However, the highest values of the TG/HDL-c index correspond to the lowest Globorisk scores categories, signaling that this system significantly underestimates the cardiovascular risk of the Lindavista study population.
Discussion
Humanity, despite belonging to a single race, comprises numerous ethnic groups that have marked phenotypical differences. Although this statement is a truism, it has not been completely assimilated into the modern medical imagination. For example, not long ago, the results of the INTERHEART study indicated another truism: that a set of nine well-known risk factors is responsible for 90% of the attributable risk of coronary heart disease (CHD).25 Although this study produced some nonsense results, like considering that «psychosocial stress» is the third most important determinant of CHD, above even obesity, hypertension, and diabetes, its worst defect is to state that these results are observed «worldwide in both sexes and at all ages in all regions»,25 a way to reject the fact of the biodiversity that characterizes the human gender. To begin with, only six Latin American countries were considered (Argentina, Brazil, Colombia, Chile, Guatemala, and Mexico), leaving out most of the American nations.26 Secondly, the Mexican population studied reached a meager number of 8 cases and 17 controls from a single research center.26 What solid conclusions can be derived from this scanty number, which, in addition to making matters worse, did not constitute a paired set? Thirdly, the results of a previous, more rigorous although much less extensive, Latin America case-control study were already known (and probably inspired the INTERHEART design), assembling data from the FRICAL study (enclosing the subjects of four Latin American countries: Argentina, Cuba, Mexico, and Venezuela).27 Our country contributed with 200 cases and 200 controls, still a small number, but without doubt considerably larger than that of the Mexican contribution to the INTERHEART study. The FRICAL study showed remarkable differences among the participating nations, entirely dissimilar from the anthropometric, nutritional, and ethnic points of view. For example, hypercholesterolemia was very important in Cuba as an infartogenic risk factor while having a bordering consequence among Mexicans. On the contrary, diabetes mellitus was prominently significant in Mexico and almost negligible in Cuba. The phenotypic differences between the distinct ethnic groups and their mixtures turn Latin America just into a geographical or geopolitical term rather than a homogeneous ethnic region. So, the problem is not determining the CV risk factors but rather their relative importance, which changes from community to community and country to country. Due to the above facts, the risk scales developed for a particular population cannot be applied to another.
Considering that CV risk is substantially different across populations due to known multiple determinants from genetic, epigenetic, nutritional, environmental, psychosocial, educational, and cultural nature, plus the differences in the quality, the access, and the coverage amplitude of the health systems, the Globorisk tool recalibrates the original data replacing age-and-sex-specific average risk factor and the levels of the risk factors observed in the health surveys of several nations, and also with the CVD death rates from the World Health Organization.28 The Cohorts Consortium of Latin America and the Caribbean (CC-LAC), led by the researchers of the Harvard T.H. Chan School of Public Health, one of the leading institutions in the development of the Globorisk tool, estimated the discriminatory and calibration capacities of the system in the risk estimation using pooled data from nine prospective Latin American cohorts enclosing 21,378 subjects.29 By using Harrell’s C-statistic or concordance index, which signals the discriminatory power of a predictive system model, the researchers determined a reasonable index higher than 0.7. The data’s calibration was obtained by estimating the slopes (close to 1) of different linear regression equations. Despite the impeccable mathematical management, and focusing only on the Mexican situation, we can say that the two cohorts used in the Consortium exercise have significant limitations. The Mexican Teachers’ Cohort30 is a cancer-oriented project, enclosing mainly premenopausal female schoolteachers (just 1.8% of participants were male, from a single Federal state), relatively young. As far as we know, no biochemical or blood pressure data were collected, and except for a single sub-study on the role of sunlight in preventing the increase in carotid intima-media thickness, the study group has had no other publication directed at the cardiovascular or cardiometabolic areas.31 Although this study may be important for studying the epidemiological behavior of different tumors in women, as designed, it has no use in determining cardiovascular risk. For its part, the cohort of the Health Workers study32 comprised personnel from Mexican governmental health institutions. Just 9,267 of all participants were adults from two cities in Central Mexico (Cuernavaca, Morelos, and Toluca, State of Mexico), relatively young (mean age around 43.6 ± 14 years). The sample was biased towards women (70%). Although at baseline, BMI, waist circumference, glycemia, the whole basic lipid profile, and blood pressure were measured, and their results are concordant with other cohort and epidemiologic studies,11,13 the following assessment, done six years later, just comprised 1,855 persons, to which 1,286 new recruited subjects were added. To our knowledge, only one cardiovascular study has been published with data from this cohort, a binational comparison with US citizens of Mexican origin, which showed that the nationals of our country have a lower proportion of traditional CV risk factors than their counterparts living in the United States.33 The limited regional representativeness, the young mean age of the cohort, the fact that the participants were part of the medical and paramedical staff, the bias towards women, and the lack of follow-up to determine CV outcomes, make this study unsuitable for any adjustment of the original Globorisk equations.
On the other hand, GLOBORISK charts utilize only a reduced number of risk factors, which are insufficient to encompass the complex genetic, nutritional, and metabolic conditions of the Mexican population plagued by a dysmetabolic O/O epidemic.34-36
In the study preceding the current one, already mentioned,16 we documented the underestimation of risk provided by the ACC/AHA ASCVD risk scale. In comparison, the Globorisk tool performs even worse. As shown in Figures 1 and 2, while a high cardiovascular and cardiometabolic risk, secondary to a high frequency of dysmetabolic abdominal obesity, characterizes the Lindavista study population, the Globorisk scale grossly underrates the risk. As the more atherogenic milieu in the current Mexican population is given for the ominous consequences of the binomial insulin resistance/hyperinsulinism, essentially atherogenic dyslipidemia and systemic inflammation, any score risk system that no includes abdominal obesity and concentration of TG is improper to test in a population like ours.
The LS was only used as proof of the concept called the aggregation of risk, i.e., meaning that the more risk factors a person accumulates, and the higher or more serious they are, the more pronounced the CV risk. In this context, the LS keeps a close linear correlation with the TG/HDL-c index, a reliable and worldwide accepted CV risk marker, with prognostic and therapeutic relevance.16,23,37-41 It is surprising that despite the numerous works recently published in national and international journals from several Mexican research groups, the use of this valuable risk marker is entirely ignored by most clinicians and lipid researchers in our country.
The data shown here indicate that the Globorisk tool performs poorly in detecting CV risk in our population. The highest values of both the LS and the TG/HDL-c correspond to a low GLOBORISK score. The three tools only coincide in low-risk subjects. In a country where 40-50% of the adult population suffers from the so-called metabolic syndrome,13,34,42 whose pathophysiological basis is binomial insulin resistance/hyperinsulinism, the concentration of TG cannot be ignored.
A common argument used to disregard the value of hypertriglyceridemia as a vascular risk factor is based on the debatable relative failure of fibrates to lower the CV risk, which underpins the refusal of many of our lipid experts, in line with the US guidelines, to consider the pathogenic power of TG. This attitude was further reinforced by the results of the recent study with pemafibrate, a new selective peroxisome proliferator-activated receptor α modulator, which did not demonstrate any reduction in cardiovascular risk in patients with diabetes despite a descent of 26.2% of TG concentration.43 In comparison, twenty-five years ago, the VA-HIT study encompassing a male population on secondary prevention with low HDL-c levels and LDL-c levels < 140 mg/dL, with or without hypertriglyceridemia, tested the use of gemfibrozil (without statins) on coronary risk reduction. The active treatment reduced TC by 4%, TG by 31%, and increased HDL-c by 6% without any significant reduction of LDL-c. An absolute risk reduction of coronary events was observed of 4.4% (with an NNT [number necessary to treat] of just 22) and a 22% descent of relative risk compared to placebo.44 It was evident that the risk reduction was a consequence mainly of the descent of triglyceridemia and not because of the decrease in LDL-c. The reanalysis of several studies on different fibrates shows that these reduce CV risk in patients with hypertriglyceridemia and low HDL-c (as commonly seen in dysmetabolic O/O). This reduction is not observed in subjects without dyslipidemia, as it is entirely expected.45 Faced with all this evidence, the failed results of the pemafibrate study only disqualify this drug itself and not the entire group of fibrates. The indisputable fact is that one of the consequences of hypertriglyceridemia is the increased production of small, dense LDL particles, highly atherogenic. On the other hand, there is increasingly robust evidence worldwide that elevated TG concentrations are an important, unavoidable vascular risk factor.46-53 There is some evidence, which needs to be confirmed and expanded, that atherogenic dyslipidemia, a result of insulin resistance, is the most critical lipid mechanism of myocardial infarction in our country.54
Until a prospective study is carried out to determine the relative weight of the different determinants of CV risk in our heterogeneous population, it would be advisable to use the more straightforward and reliable TG/HDL-c index to estimate it.










text new page (beta)



