Introducción
A pesar de todo el cúmulo de conocimientos sobre el choque séptico y la disminución del tiempo para cumplir tempranamente los bundles de la campaña «Sobreviviendo a la sepsis», todavía el choque séptico alcanza una mortalidad que varía de 18 al 35%. A nivel mundial, 14 millones de pacientes sobrevivirán al choque séptico, pero la gran mayoría presentará incapacidad a largo plazo y deterioro de la calidad de vida por la morbilidad. Sólo la mitad de los pacientes que padecieron choque séptico tendrá una recuperación completa.1,2 El tratamiento del choque séptico tiene enormes implicaciones financieras, de hecho, en Estados Unidos, la sepsis ocupa el primer lugar en gastos de hospitalización. En México, la mortalidad del choque séptico es alrededor de 30.4% y su etiología abdominal es la más frecuente con cerca de la mitad de los casos, seguida de la pulmonar con un tercio.3 El costo de un día de estancia en la Unidad de Cuidados Intensivos (UCI) es de alrededor de 34,232 pesos mexicanos,4 y si tomamos en cuenta que la principal causa de choque es la sepsis,5 este dato se ve alarmante, considerando que la tendencia de este serio problema de salud está a la alza.6
A finales de la década de los cincuenta, el concepto de exceso de base (EB) fue introducido por Siggaard-Andersen como marcador sérico de problemas estrictamente metabólicos. Hoy en día, la base (B) ha sido estandarizada con resultados más efectivos cuando utilizamos la base estándar (Becf) en la evaluación clínica.7
La escuela de Boston (a favor del uso de bicarbonato) y la de Copenhague (a favor del uso de exceso de base estándar) no «coinciden» en cuál es la mejor herramienta para valorar las alteraciones metabólicas de los problemas ácido-base.8 Lo cierto es que Peter Stewart consideró al bicarbonato (HCO3-) como una variable dependiente y demasiado simple para explicar todos estos problemas.9 En este contexto, existen diferentes sistemas amortiguadores, el más conocido pero no el único, es el HCO3-, por lo que Stewart argumentó que variables como el agua, cloro, fosfato, albumina, lactato y aniones no medidos pueden ser la explicación de las alteraciones metabólicas.10 Entonces, la base es la cantidad de mEq (ácidos o bases) que se necesitan para corregir una alteración metabólica y «normalizar» el pH. Una base más negativa (déficit de base) sugiere acidosis metabólica y una base más positiva (exceso de base) sugiere alcalosis metabólica.11
Desde 1980 se clasifica a los pacientes críticamente enfermos según su gravedad, con el fin de comparar y evaluar sus resultados, los cuales, en la UCI, dependerán de diversos factores presentes desde el día de su ingreso. Las escalas de gravedad se componen de dos partes: la primera, puntuación en sí misma (a mayor número, mayor gravedad) y la segunda, modelo de probabilidad (ecuación probabilística).12 El lactato y la base estándar medidos al ingreso a la UCI son de utilidad pronóstica en los pacientes críticamente enfermos, pues sus niveles séricos predicen mortalidad a través de la puntuación en sí misma.13 Pero la importancia real va más allá de un valor absoluto, pues es mejor medir su aclaramiento a través de un tiempo determinado.14
Desde hace 35 años, Vincent y colaboradores15 hablaron del aclaramiento de lactato en los pacientes en estado de choque. La disminución mayor a 5% en la primera hora de tratamiento se asoció con mejores resultados, aunque algunos no están de acuerdo con el concepto «aclaramiento», pues la cantidad de lactato en sangre, como de cualquier otra sustancia es dependiente del balance entre la producción y la eliminación.16
Una revisión sistemática en diferentes poblaciones de pacientes ingresados a la UCI documentó la utilidad de la medición de lactato para predecir resultados. Se concluyó que el aclaramiento del lactato a lo largo del tiempo se asocia con una menor mortalidad.17 Independientemente de si es por disminución en la producción o por incremento en la eliminación, un sello distintivo de malos resultados en el estado de choque es mantener los niveles séricos elevados de lactato o falta de aclaramiento.18,19 Por un lado, los estudios han documentado la superioridad del déficit de base estándar con respecto al lactato para predecir la mortalidad en la UCI.20 Por otro lado, su correlación al ingreso (r = 0.32) y a las 24 horas (r = 0.55) en pacientes con trauma, pancreatitis y cirugía abdominal mayor no es buena.21 Sin embargo, algunos autores han documentado que los valores de déficit de base estándar de -4 mEq/L predicen hiperlactatemia en los pacientes con sepsis de por lo menos 3.5 mEq/L con una sensibilidad de 91.1% y especificidad de 88.4%.22
No está en duda la utilidad pronóstica del lactato en los pacientes con choque séptico; lo cierto es que su disponibilidad en nuestro medio es menos frecuente que el déficit de base estándar. De esta manera, el déficit de base estándar se convierte en una excelente alternativa. Decidimos medir el aclaramiento del déficit de base estándar a las 24 horas a partir del ingreso en los pacientes con choque séptico y evaluar su utilidad pronóstica para mortalidad.
Justificación: Actualmente el choque séptico se considera un serio problema de salud con enormes implicaciones financieras, de hecho, es la principal causa de ingreso a las unidades de cuidados intensivos polivalentes. Clasificar a los pacientes según su gravedad es útil para comparar y evaluar los resultados. El lactato es una variable ampliamente estudiada, pero con poca disponibilidad en nuestro medio, por lo que el déficit de base estándar se convierte en una excelente alternativa, además de existir buena correlación entre ellas, por lo que el déficit de base podría utilizarse como sustituto y agregarse en nuestros objetivos al momento de reanimar en esta población de pacientes.
Planteamiento del problema: ¿Es útil el aclaramiento del déficit de base estándar medido a las 24 horas como pronóstico de mortalidad en choque séptico?
Objetivo: Determinar la utilidad del aclaramiento del déficit de base estándar medido a las 24 horas como pronóstico de mortalidad en choque séptico.
Material y métodos
Se autorizó por el Comité de Investigación y Ética del hospital. Estudio de riesgo mínimo de no intervención.
Tipo de estudio: Estudio de cohorte, retrospectivo, descriptivo y analítico.
Universo de trabajo y lugar de desarrollo: Pacientes con diagnóstico de choque séptico según el tercer Consenso Internacional de Sepsis y Choque Séptico (sepsis-3) ingresados en la Unidad de Cuidados Intensivos en el periodo comprendido entre mayo de 2015 a mayo de 2019.
Criterios de inclusión: Pacientes con diagnóstico de choque séptico según el tercer Consenso Internacional de Sepsis y Choque Séptico (sepsis-3) ingresados en la Unidad de Cuidados Intensivos. Pacientes con gasometría arterial al ingreso y a las 24 horas de estancia en la Unidad de Cuidados Intensivos. Pacientes mayores de 18 años.
Criterios de exclusión: Pacientes con registro de variables incompleto. Pacientes menores de 18 años.
Criterios de eliminación: Pacientes que concluyan su tratamiento médico en otra terapia intensiva. Paciente embarazada. Paciente con orden de no reanimación o de máximo alcance terapéutico.
Procedimiento: Los pacientes que cumplieron con los criterios de inclusión se asignaron al grupo < 11% o al grupo ≥ 11%, según su porcentaje (%) de aclaramiento de déficit de base estándar a las 24 horas, el cual se obtuvo de la gasometría arterial con la siguiente fórmula: (déficit de base estándar de ingreso - déficit de base estándar a las 24 horas)/déficit de base estándar de ingreso * 100. Se realizó el registro de variables en la hoja de recolección de datos. Además, se consideró al paciente como sobreviviente al ser dado de alta de la UCI o al llegar al día 30 de estancia.
Análisis estadístico: Para el análisis estadístico se inició la prueba de Shapiro-Wilk con el fin de determinar el tipo de distribución de las variables cuantitativas, ya sea normal o no normal, presentándolas como media (desviación estándar) o mediana (rango intercuartilar) respectivamente. Las variables cualitativas se expresan como frecuencia (porcentaje). Posteriormente se construyó una curva Receiver Operating Characteristic (ROC) evaluando el desempeño del aclaramiento del déficit de base estándar y del lactato en la detección de mortalidad. Se obtuvieron los valores de área bajo la curva ABC con intervalo de confianza al 95% (IC 95%) y el valor de p, para posteriormente seleccionar un punto corte y dividir la muestra con base en dicho punto. El mejor punto de corte determinado para el aclaramiento del déficit de base estándar fue de 11% y de 10% para lactato. Se compararon las ABC de déficit de base estándar y de lactato mediante la prueba de Hanley McNeil. Los subgrupos obtenidos se compararon utilizando la prueba de t de Student o U de Mann Whitney según la distribución de las variables cuantitativas, normal y no normal respectivamente. Las variables cualitativas se compararon mediante la prueba de χ2 o exacta de Fisher según corresponda. Se realizó un modelo de regresión logística bivariado con la variable de mortalidad como dependiente y con aquellas variables con diferencia significativa en las comparaciones previas como variables independientes, presentando el modelo con los valores de B, p, Exp (B) con IC 95%. La estimación de la función de supervivencia se realizó con el método de Kaplan-Meier. Se realizó un modelo de regresión logística de Cox. Se consideró significativa toda p < 0.05. El análisis estadístico se realizó con el programa SPSS TM 22.
Resultados
En el periodo considerado se incluyeron 118 pacientes, los cuales cumplieron con los criterios de inclusión. Del total, 43 pacientes se asignaron al grupo de aclaramiento de déficit de base estándar < 11% y 75 pacientes al grupo de aclaramiento de déficit de base estándar ≥ 11%. En el grupo con aclaramiento < 11%, 62.8% fue de mujeres y en el grupo con aclaramiento ≥ 11%, fue de 50.7%. La edad tuvo una mediana de 65 y 53 años con relevancia estadística, pero las variables talla y peso no tuvieron relevancia estadística.
La media de SAPS II fue de 72.79 y 60.21 con p = < 0.05 para el grupo de aclaramiento < 11% y ≥ 11%, respectivamente. La comorbilidad más frecuente fue la hipertensión arterial sistémica (HAS) seguida de la diabetes mellitus tipo 2 (DM2) sin diferencia estadística. La etiología abdominal fue la más frecuente en ambos grupos. En las variables como el índice de choque modificado y el Δp(v-a)CO2 no hubo diferencia estadísticamente significativa. La SvcO2 y la norepinefrina fueron diferentes en ambos grupos con diferencia estadística; la mediana fue de 64% y 72% y 0.70 μg/kg/min y 0.21 μg/kg/min respectivamente para el grupo de aclaramiento < 11% y ≥ 11%.
No existió diferencia significativa en las variables creatinina, urea y balance de líquidos, pero sí en la uresis. Las variables pH, HCO3 -, base, lactato y GIF reflejaron mayor severidad de la acidosis metabólica en el grupo de aclaramiento < 11% con diferencia estadísticamente significativa; esta diferencia no se presentó en la DIFa, DIFe y PaCO2. Los días de ventilación mecánica fueron menos en el grupo de aclaramiento < 11% (3 días) respecto del grupo ≥ 11% (4 días) con diferencia estadística, lo mismo para los días de estancia en UCI con tres y cinco días para el grupo de aclaramiento < 11% y ≥ 11% respectivamente. La necesidad de terapia de reemplazo renal lenta continua (TRRLC) fue la misma para ambos grupos. En el grupo con aclaramiento < 11% la mortalidad fue de 65.1% y de 36% para el grupo con aclaramiento ≥ 11% con p = < 0.05 (Tabla 1).
Tabla 1: Análisis bivariado según el porcentaje (%) de aclaramiento del déficit de base estándar.
| Variable | < 11% (n = 43) | ≥ 11% (n = 75) |
|---|---|---|
| Género femenino (%) | 62.8 | 50.7 |
| Edad, años (RI) | 65 (51-72)* | 53 (42-63)* |
| Talla, cm (DE) | 163.95 (± 8.60) | 163.63 (± 8.78) |
| Peso, kg (RI) | 70 (60-80) | 73 (63-90) |
| SAPS II, puntos (DE) | 72.79 (± 12.75)* | 60.21 (± 11.76)* |
| Comorbilidades | ||
| Diabetes (%) | 48.8 | 42.7 |
| Hipertensión (%) | 60.5 | 42.7 |
| Enfermedad renal crónica (%) | 20.9 | 18.7 |
| Cardiopatías (%) | 16.3 | 6.7 |
| Origen de la infección | ||
| Pulmonar (%) | 23.3 | 30.7 |
| Abdominal (%) | 53.5 | 44.0 |
| Urinaria (%) | 16.3 | 18.7 |
| Tejido blando (%) | 2.3 | 2.7 |
| Índice de choque modificado (DE) | 1.46 (± 0.59) | 1.12 (± 0.56) |
| SvcO2 (%) (RI) | 64 (57-75)* | 72 (66-77)* |
| Δp(v-a)CO2 mmHg/mL (DE) | 6.38 (± 3.54) | 4.62 (± 2.68) |
| Norepinefrina μg/kg/min (RI) | 0.70 (0.21-0.97)* | 0.21 (0.10-0.31)* |
| Creatinina mg/dL (RI) | 2.70 (1.70-4.50) | 2.20 (1.10-3.50) |
| Urea mg/dL (RI) | 105.00 (65.00-145.00) | 74.90 (47.00-126.00) |
| Diuresis mL/kg/h (RI) | 0.00 (0.00-0.60)* | 0.70 (0.00-1.50)* |
| Balance de líquidos mL (RI) | 3,400 (2,200-4,600) | 2,500 (1,500-4,250) |
| pH (RI) | 7.21 (7.10-7.33)* | 7.39 (7.35-7.41)* |
| PaCO2 mmHg (RI) | 35 (28-41) | 35 (30-39) |
| HCO3 - mEq/L (DE) | 14.86 (± 5.24)* | 21.26 (± 4.12)* |
| Base mEq/L (RI) | -13.70 (-21.00-7.80)* | -3.50 (-6.20-1.00)* |
| Lactato mEq/L (RI) | 3.80 (2.20-6.80)* | 2.30 (1.70-3.30)* |
| DIFa mEq/L (RI) | -4.00 (-7.00-0.00) | -2.00 (-6.00-0.00) |
| DIFe mEq/L (RI) | 9.80 (5.50-9.93) | 6.75 (4.50-9.83) |
| GIF mEq/L (RI) | -11.83 (-15.00-7.85)* | -9.93 (-12.80-4.88)* |
| Ventilación mecánica, días (RI) | 3 (1-5)* | 4 (3-6)* |
| Estancia de UCI, días (RI) | 3 (2-6)* | 5 (4-8)* |
| TRRLC (%) | 45.2 | 57.3 |
| Mortalidad (%) | 65.1* | 36.0* |
Abreviaturas: RI = rango intercuartilar; DE = desviación estándar; cm = centímetros; kg = kilogramos; SAPS II = Simplified Acute Physiology Score II; SvcO2 = saturación venosa central de oxígeno; Δp(v-a)CO2 = delta de presión venoarterial de dióxido de carbono; mmHg/mL = milímetros de mercurio/mililitro; μg/kg/min = microgramos/kilogramo/minuto; mg/dL = miligramos/decilitros; mL/kg/h = mililitros/kilogramo/hora; mEq/L = miliequivalentes/litro; pH = potencial de hidrogeniones; PaCO2 = presión arterial de dióxido de carbono; mmHg = milímetros de mercurio; HCO3 = bicarbonato; mEq/L = miliequivalentes/litro; DIFa = diferencia de iones fuertes aparente; DIFe = diferencia de iones fuertes efectiva; GIF = gap de iones fuertes; UCI = Unidad de Cuidados Intensivos; TRRLC = terapia de reemplazo renal lenta continua; * = p < 0.05.
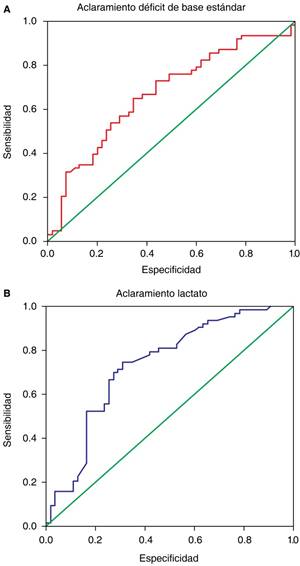
Las Figuras 1A y 1B muestran la curva ROC del porcentaje (%) de aclaramiento del déficit de base estándar y del lactato respectivamente para mortalidad. En la Tabla 2 se puede observar el ABC (0.68) del porcentaje de aclaramiento del déficit de base con 11% como mejor punto de corte, con sensibilidad de 72% y especificidad de 51% con p = 0.00; también el ABC (0.72) del porcentaje de aclaramiento del lactato con 10% como mejor punto de corte, con sensibilidad de 72% y especificidad de 71% con p = 0.00. Se compararon las ABC mediante la prueba de Hanley McNeil sin encontrar diferencia significativa (p > 0.05) en el desempeño de los puntos de corte seleccionados para mortalidad. En las Figuras 2A y 2B se muestra la estimación de la función de supervivencia mediante el método de Kaplan-Meier de las variables del porcentaje de aclaramiento del déficit de base estándar y del lactato. Se realizó un modelo de regresión logística de Cox obteniendo un log-rank < 0.05 para ambas variables.

Figura 1: Curva ROC del porcentaje (%) de aclaramiento del déficit de base estándar y del lactato para mortalidad.
Tabla 2: Análisis de la curva ROC del porcentaje (%) de aclaramiento del déficit de base estándar y del lactato para mortalidad.
| IC 95% | |||||||
|---|---|---|---|---|---|---|---|
| Variable | ABC | p | Límite inferior | Límite superior | Punto de corte | S | E |
| Aclaramiento del déficit de base estándar (%) | 0.68 | 0.00 | 0.57 | 0.77 | 11 | 72 | 51 |
| Aclaramiento del lactato (%) | 0.72 | 0.00 | 0.64 | 0.82 | 10 | 72 | 71 |
Abreviaturas: ABC = Área bajo la curva. IC = Intervalo de confianza. S = Sencibilidad. E = Especificidad. Se comparararon las ABC mediante la prueba de Hanley McNeil sin encontarar diferencia significativa (p = ≥0.05) en el desempeño de los puntos de corte seleccionados para mortalidad.
Discusión
Podemos determinar el grado o la severidad de la acidosis metabólica con el déficit de base estándar, el cual resulta más confiable que el HCO3-, debido a que este último pudiera estar influenciado por la pCO2 (presión de dióxido de carbono) o por problemas respiratorios,23 aunque en el contexto clínico probablemente no existe diferencia entre utilizar uno u otro.24 Conocemos bien las implicaciones relacionadas con la morbimortalidad dependiendo de la severidad de la acidosis metabólica, pero el problema subyacente siempre será más importante.25 Entonces, el aclaramiento del déficit de base estándar se traduce en mejoría de la acidosis metabólica a través del tiempo y probablemente sea un reflejo de la recuperación del problema infeccioso. De hecho, estudios han documentado que la variación (incremento) del déficit de base estándar en pacientes con choque séptico es un factor de riesgo independiente para la mortalidad (OR 5.68).26
En nuestro estudio los pacientes que tuvieron < 11% de aclaramiento de déficit de base estándar presentaron mayor mortalidad respecto aquellos con aclaramiento ≥ 11% con 65.1 y 36% (p < 0.05) respectivamente. Otras variables, que reflejan el grado de acidosis metabólica como son el pH, HCO3-, lactato y GIF, tuvieron diferencia estadísticamente significativa entre ambos grupos, mostrando persistencia o mayor severidad de la acidosis metabólica a las 24 horas en los pacientes con aclaramiento < 11%. Lo anterior muestra que el estado permanente de acidosis metabólica influye de manera negativa en los resultados. Hoy sabemos que la acidosis metabólica secundaria a lactato y aniones no medidos está asociada con mortalidad a diferencia de otras causas.27 La persistencia de la acidosis metabólica en el contexto de choque séptico será el reflejo del progreso de la causa subyacente, o bien la ausencia en la resolución de la misma sencillamente tiene un carácter secundario.
Según el modelo de Stewart la acidosis metabólica es consecuencia de alteraciones en la DIFa (diferencia de iones fuertes aparente) o hipercloremia e incremento del agua libre y de las alteraciones en la DIFe (diferencia de iones fuertes efectiva) o hiperfosfatemia e hiperalbuminemia. Agregado a estas cuatro razones (cloro, agua, fosforo y albumina) debemos sumar dos razones más: lactato y aniones no médicos.28,29 Estudios recientes han documentado que la causa más frecuente de acidosis metabólica en los pacientes críticamente enfermos son los aniones no medidos, pero la de mayor mortalidad es la acidosis láctica.27 Por lo que nuestro interés debería estar centrado en el aclaramiento o disminución de estas dos variables.
Se ha documentado que el aclaramiento de lactato < 19% en 24 horas en pacientes críticamente enfermos incrementa el riesgo de muerte (OR 4.11, IC 95% 3.23-5.21, p = 0.001),30 misma situación que ocurre con los aniones no medidos, los cuales son factor de riesgo independiente de mortalidad en los pacientes con choque séptico (OR 2.5, IC 95% 1.03-6.2, p = 0.0001).31 Consideramos que la ausencia de diferencia estadística en la DIFa y la DIFe a las 24 horas, es el reflejo de la poca o nula influencia sobre la mortalidad de la acidosis metabólica secundaria a hipercloremia, hiperfosfatemia, hiperalbuminemia y al exceso de agua libre. Pues, como lo mencionamos previamente, la acidosis metabólica se convierte en un factor de riesgo independiente para mortalidad cuando es secundaria a lactato o aniones no medidos.32 Entonces, las alteraciones ácido-base se presentan prácticamente en todos los pacientes ingresados a la UCI, de hecho, pueden ser la principal razón de su ingreso. Generalmente tienen un origen secundario pues ocurren como una complicación de enfermedad aguda, además, por un lado, resultan útiles para evaluar el pronóstico de los pacientes críticamente enfermos desde su ingreso y según su evolución a través del tiempo,33,34 y por otro lado, la edad per se es un factor de riesgo independiente de la mortalidad en choque séptico35 y la severidad de la enfermedad es determinante para la supervivencia. Las diferentes escalas pronósticas tienen un incremento lineal conforme la edad aumenta,36 por lo que no resulta nueva la diferencia estadística que presentan la edad (65 vs 63) y el SAPS II (72.79 vs 60.21) entre el grupo de aclaramiento de déficit de base estándar < 11% y ≥ 11% respectivamente.
Finalmente, no queda en duda la utilidad del lactato para predecir mortalidad en los pacientes con choque séptico, pero al realizar la comparación del ABC mediante la prueba de Hanley McNeil no se encontró diferencia significativa (p > 0.05) en el desempeño de los puntos de corte seleccionados para mortalidad entre el porcentaje de aclaramiento del déficit de base estándar y del porcentaje del lactato, lo que nos indica que su capacidad pronóstica es similar, pues se puede utilizar el déficit de base estándar en ausencia del lactato, ya que en nuestro medio no es infrecuente no tenerlo disponible.
Conclusiones
El aclaramiento del déficit de base estándar < 11% a las 24 horas de ingreso a la Unidad de Cuidados Intensivos incrementa el riesgo de muerte en el choque séptico. El estado permanente de acidosis metabólica influye de manera negativa en los resultados, principalmente cuando es secundario a lactato o aniones no medidos. El porcentaje de aclaramiento del lactato en choque séptico es una variable ampliamente estudiada, pero el porcentaje de aclaramiento del déficit de base estándar es una excelente alternativa, pues su desempeño para predecir mortalidad tiene una capacidad pronóstica similar.










nova página do texto(beta)



