1. INTRODUCCIÓN
Los procesos de enseñanza y aprendizaje del cálculo diferencial e integral tienen gran importancia dentro de la investigación en la Educación Matemática (Jacques y Viol, 2020). Particularmente, el concepto matemático de límite ha sido objeto de investigación en educación matemática desde los trabajos pioneros de David Tall y Solomon Vinner (Tall, 1980; Tall y Vinner, 1981) y continúa en la actualidad (González-Flores et al., 2021). Uno de los motivos de este interés es que se trata de un elemento central dentro del análisis matemático, concretamente es el fundamento de la teoría de la aproximación, de la continuidad y del cálculo diferencial e integral (Cornu, 2002; Kidron, 2014). El interés también puede ser debido a que se trata de un elemento incluido en muchos currículos escolares (p.e. MECD, 2014). Pero sin duda, la razón principal de este interés en investigar sobre límites se debe a la complejidad del concepto de límite y las dificultades para su enseñanza y aprendizaje (Cornu, 2002), que provoca que autores como Kidron y Tall (2014), Swinyard (2011), o Tall y Katz (2014) realicen investigaciones para profundizar en los diferentes aspectos vinculados a su comprensión. Debido a la estrecha relación entre comprensión y significado (Thompson, 2016), uno de los aspectos en los que se centran algunas investigaciones es en los significados que expresan estudiantes de secundaria y universidad.
En efecto, autores como Blázquez (1999), Blázquez (2000), Fernández-Plaza et al. (2013), Monaghan (1991) o Williams (1991) han determinado que estos estudiantes poseen una noción intuitiva del límite y lo describen con términos tales como tender, aproximar, alcanzar, rebasar y límite… Asimismo, señalan que algunos docentes de matemáticas emplean estos términos en sus clases y, por tanto, sus estudiantes los usan con un sentido cotidiano que dista del significa-do matemático. No obstante, otros autores como Sierra et al. (2000) plantean que algunas concepciones y términos que emplean los estudiantes pueden relacionarse con concepciones epistemológicas que en su momento fueron planteadas por matemáticos como D’Alembert, que afirmaba que el límite no se puede alcanzar, y Cauchy, para quien es alcanzable.
Este trabajo pretende analizar y sintetizar los significados que atribuyen estudiantes de primer curso en titulaciones científicas de la Universidad Nacional en Costa Rica (UNA), al concepto de límite en un punto de una función real de variable real, durante la enseñanza de este concepto.
Para lograr dicho objetivo utilizamos un cuestionario semántico (Matthewson, 2004) que nos permitió recoger información sobre las ideas básicas que tienen los estudiantes sobre el concepto. Los datos se organizaron usando un sistema de categorías adaptado de investigaciones previas (Fernández-Plaza et al., 2013; González-Flores et al., 2021) que, a su vez, utilizan referentes clásicos (p.e., Blázquez y Ortega, 1998; Cornu, 2002; Cottrill et al., 1996; Monaghan, 1991; Sfard, 1991). Este sistema nos permite describir los significados del concepto de límite que expresan los estudiantes de forma ágil y precisa. Posteriormente, un análisis de conglomerados nos permitió establecer cuatro perfiles de significado que sintetizan los resultados.
Destacamos que los elementos clásicos límite como objeto o proceso, alcanzabilidad y rebasabilidad, junto con algunas propiedades, usos y las representaciones son suficientes para determinar los significados de límite que expresan los estudiantes. Aunque se obtiene bastante información de las respuestas a la pregunta de definición, la riqueza de detalles que proporcionan las respuestas a las preguntas sobre cómo se representa y para qué sirve el límite, nos permiten hacer descripciones muy detalladas y completas. Finalmente, de los perfiles se deduce que los estudiantes encuestados basan sus respuestas principalmente en aspectos intuitivos más que en las propiedades matemáticas.
2. ANTECEDENTES TEÓRICOS
El fundamento teórico de nuestra investigación corresponde al concepto de significado de un contenido matemático escolar, el cual ha sido ampliamente estudiado y desarrollado en educación matemática por autores como Steinbring (1997, 2006), Vergnaud (2009, 2013), Kilpatrick et al. (2005), Thompson (2013, 2016), Thompson y Milner (2019), o Byerley y Thompson (2017). Concretamente para nuestro estudio empleamos la noción de significado desde una perspectiva semántica planteada por Rico (2012; 2013; 2016a; 2016b). Esta consideración de significado corresponde a una doble fundamentación. Por un lado, filosófica, que se basa en la consideración de significado introducida por Frege (1998) a finales del siglo XIX que establece la diferencia entre signo y significado y que, asimismo, en el significado diferencia entre referencia y sentido. Por otro lado, hay una fundamentación cognitiva, atendiendo a los desarrollos en psicología cognitiva de finales del siglo pasado (Bell et al., 1983; Hiebert y Lefevre, 1986).
Con respecto al fundamento filosófico, Rico (2012; 2013; 2016a; 2016b) y Rico y Ruiz-Hidalgo (2018) presentan la idea de triángulo semántico a través de tres componentes: su referencia o concepto propiamente y la estructura lógica en la que se inserta; los signos o términos con el que se expresa, gráficos y notaciones que lo representan; y su sentido o modo en que vienen dados los objetos que encajan en el concepto, o modos de uso con que puede ser entendido, aplicado e interpretado. Estas ideas a su vez han sido desarrolladas y adaptadas para el estudio de conceptos y contenidos de las matemáticas escolares mediante el uso de tres componentes para el análisis: estructura conceptual, sistemas de representación y los sentidos y modos de uso.
Para efectos de nuestra investigación, consideramos relevante la consideración de este doble fundamento del significado y por tanto creemos que conocer el significado de un concepto matemático implica saber “su definición, representarlo, mostrar sus operaciones, relaciones y propiedades y sus modos de uso, interpretación y aplicación a la resolución de problemas” (Rico, 2016a, p. 94).
Nuestro estudio se basa en las tres componentes del significado que detallan Rico (1997) y Fernández-Plaza (2016): (1) la estructura conceptual, que engloba los conceptos, las propiedades, los procedimientos, las proposiciones y los argumentos que se elaboran junto con sus criterios de veracidad, asociados a un contenido matemático. La estructura conceptual a su vez se divide en el campo conceptual, correspondiente al conjunto de conceptos y sus relaciones, y en el campo procedimental, que a su vez atañe a los procedimientos y sus relaciones (Rico, 2012); (2) los sistemas de representación, que refieren a los signos, a las notaciones gráficas o simbólicas de las nociones matemáticas que manifiestan los conceptos y los procedimientos al igual que sus propiedades, características y relaciones (Castro y Castro, 1997; Kaput 1987); y (3) sentido y modos de uso, que aluden a las distintas situaciones a las que da respuesta un concepto matemático, a los fenómenos que organiza, a los contextos a los que responde y a los términos y modos de uso, lo que posibilita mejorar el significado del concepto (Ruiz-Hidalgo, 2016).
3. METODOLOGÍA
Presentamos un estudio de naturaleza mixta cualitativa-cuantitativa y descriptiva (Cohen et al., 2018) que pretende conocer y sintetizar los significados de límite que manifiestan estudiantes universitarios.
3.1. Cuestionario
Para obtener información acerca del significado que tienen los estudiantes del concepto de límite, elaboramos un cuestionario semántico de elicitación directa (Matthewson, 2004) con preguntas de respuesta abierta que se administró durante la enseñanza del tema de límites. Con este cuestionario pretendemos indagar en la forma que tienen los estudiantes de entender la noción de límite, cómo lo representan, y qué términos y aplicaciones usan para evidenciar su sentido. Los cuestionarios semánticos permiten recoger “palabras, términos, símbolos, gráficas, descripciones, explicaciones y otras notas que expresan y representan un modo de apropiación por cada sujeto del concepto considerado” (Martín et al., 2016, p. 56).
El cuestionario se compone de 4 tareas y se construyó con base en las tres componentes del significado: estructura conceptual, sistemas de representación y sentido. La primera pregunta, diseñada considerando elementos de la estructura conceptual, pedía a los estudiantes que explicaran con sus propias palabras qué significa la definición de límite de una función en un punto. La segunda, centrada en los sistemas de representación, solicitaba a los estudiantes que utilizaran uno o varios dibujos, esquemas o figuras o lo que consideraran necesario para representar la definición de límite. La tercera y cuarta se hicieron con base en los elementos del sentido, y más concretamente, atendiendo a las situaciones y en los términos y modos de uso, respectivamente. Para ello, en la tercera pregunta se les pedía que nombraran aplicaciones que pueden tener los límites y en la cuarta otros significados de la palabra límite fuera de la matemática. Se les indicaba que podían utilizar ejemplos, dibujos, definiciones o lo que consideraran necesario.
Como cada una de las tareas fue diseñada pensando en cada una de las componentes de nuestra terna semántica de significado (estructura conceptual, sistemas de representación, sentido y modos de uso), esperábamos que las respuestas a cada tarea atendieran a cada componente. Sin embargo, la riqueza de las respuestas a las tareas es tal que, no solo informan de la componente con la que está relacionada, sino que también enriquece la información sobre el resto de componentes. Por ejemplo, las respuestas a la tarea 2, centrada en los sistemas de representación, aportó considerable información acerca de aspectos estructurales y relativos a los modos de uso del límite, es decir, había estudiantes que, en una representación gráfica, por ejemplo, evidenciaban aspectos estructurales, como las categorías: Límite como Objeto (LO), Límite como Proceso (LP), Vinculación entre Límite e Imagen (LI), Condiciones de lateralidad y doble convergencia (CLDC) entre otras. Esto ocurrió con todas las tareas, que informaban de cualquiera de las tres componentes del significado.
3.2. Sujetos
Los documentos analizados corresponden a producciones escritas proporciona-das por 38 estudiantes de la asignatura Cálculo I de las titulaciones de Biología e Ingeniería Química Industrial de la Universidad Nacional de Costa Rica. Se trata de estudiantes que tienen su primer contacto con la noción de límite. Durante las clases, los profesores dan más importancia a la comprensión del concepto que a aspectos más técnicos como las definiciones o las demostraciones. El cuestionario lo administramos después de que el profesor había explica-do el concepto de límite.
El examen de los datos recogidos se realizó mediante un análisis de contenido (Krippendorf, 2004) que es una técnica de investigación que permite hacer inferencias válidas y replicables de producciones escritas. Para realizar este análisis, se tomó un sistema de categorías previo desarrollado en González-Flores et al. (2021), codificando los datos de manera dicotómica como ausencia o presencia de cada una de las categorías en las producciones de los estudiantes.
El sistema de categorías está basado en características clásicas que se han venido utilizando en investigaciones sobre límite (p.e. Blázquez y Ortega, 1998; Cornu, 2002; Cottrill et al., 1996; Monaghan, 1991; Sfard, 1991) adaptado por Fernández-Plaza et al. (2013) para caracterizar aspectos estructurales y que González-Flores et al. (2021)) han sistematizado al estudiar las definiciones proporcionadas por estudiantes. El sistema final de categorías está formado por 13, tomadas y adaptadas de González-Flores et al. (2021), excepto las categorías Otra Representación (OR) y Situaciones (ST) que surgieron de manera inductiva del análisis de las respuestas (en la tabla 1 se presenta la descripción de las categorías).
Tabla 1 Sistema de categorías de nuestro estudio y su respectiva descripción
| Categoría | Descripción |
|---|---|
| Límite como objeto (LO) |
Los sujetos establecen distintas referencias para el objeto límite (Cottrill et al., 1996; Fernández-Plaza et al., 2013, Sfard, 1991; Tall, 1980). Se entiende límite como una noción estática. Algunas palabras claves para identificar esta categoría son: número, valor, lugar, frontera, restricción, extremo, fin, fecha límite, etc. Si un sujeto dice que un límite se aproxima a un número, pero no dice que el límite sea el número, entonces no hay evidencia de LO. |
| Límite como proceso (LP) |
Los sujetos refieren al límite de manera procesual (aproximación) (Cottrill et al., 1996; Fernández-Plaza et al., 2013, Sfard, 1991; Tall, 1980). Es una noción dinámica. Los sujetos hacen referencia a un proceso de obtención o procedimiento. Algunas palabras claves para identificar esta categoría son: aproximarse, tiende, acercar, etc. Si el sujeto usa un verbo de procedimiento, y no dice nada sobre el objeto límite, asumimos que evidencia LP, como por ejemplo “estudia lo que ocurre alrededor de los puntos”, “análisis de un punto”. Las categorías límite como objeto y límite como proceso no son mutuamente excluyentes. |
| Vinculación entre límite e imagen (LI) |
Los sujetos atribuyen al límite un valor de imagen de la función (Fernández-Plaza et al., 2013). La alusión a la imagen puede hacerse de manera implícita, por ejemplo, en la afirmación “es el valor máximo o más próximo al punto que pertenece a una función” dice que pertenece a una función, por ende, ese valor debe ser imagen, “el número al que tiende una función cuando sustituyo valores en una variable específica” pues al sustituir los valores se entiende que son las imágenes. Cuando los sujetos vinculan el límite con un valor de la imagen, en particular, están evidenciando el límite como objeto, es decir, si se da LI entonces se da LO. |
| Coordinación entre las variables 𝑥 y 𝑦 (CV) |
Los sujetos indican que es un proceso en el que están implicadas las dos variables (𝑥 y 𝑦), una depende de la otra. Los sujetos evidenci an convergencia de y en relación con la de 𝑥, es la aproximación de las imáge nes a un número, cuando 𝑥 se aproxima al punto. |
| Referencia a las variables 𝑥 y 𝑦 (RV) |
Los sujetos usan palabras específicas para aludir a las variables independiente y dependiente de la función. Algunas palabras claves para identificar esta categoría son: preimagen, imagen, punto en 𝑥, punto en 𝑦, etc. |
| Condiciones de lateralidad y doble convergencia (CLDC) |
Los sujetos expresan que los procesos de cálculo del límite, por la izquierda y por la derecha, deben dar el mismo resultado (Fernández-Plaza et al., 2013). |
| Propiedades matemáticas (PM) |
Los sujetos hacen referencia a propiedades o nociones que son verdaderas en la matemática no contempladas en el resto de las categorías de análisis. |
| Representación gráfica (RG) |
Los sujetos realizan una representación gráfica (en el plano cartesiano) para el límite. |
| Otra Representación (OR) |
Los sujetos realizan una representación diferente a la representación gráfica para el límite. |
| Aspectos de no alcanzabilidad (NA) |
Los sujetos expresan la imposibilidad de alcanzar el límite. (Cornu, 1991; Fernández-Plaza et al., 2013; Monaghan, 1991). Algunas frases claves para identificar esta categoría son: sin nunca tocar dicho valor, siguiendo la regla de que, y no va a ser el resultado, nunca lo llega a pasar o tocar, fin, etc. |
| Aspectos de alcanzabilidad y no rebasabilidad (ANR) |
Los sujetos expresan la posibilidad de alcanzar el límite, pero no de rebasarlo o sobrepasarlo. Usan palabras como no pasar (Cornu, 2002; Fernández-Plaza et al., 2013; Monaghan, 1991). Algunas frases claves para identificar esta categoría son: punto final, valor máximo, hasta donde llega la función, frontera, extremo, fecha límite, etc. |
| Términos de posición relativa (PR) |
Los sujetos usan palabras o frases para el límite que denotan una posición relativa, es decir, aluden a dónde está ubicada una noción matemática con respecto a una noción fija (objeto) de manera explícita o implícita. Algunas palabras claves para identificar esta categoría son: cercano, a la derecha, encima de, mayor que, próximo, por encima, es una proximidad. Esta categoría no necesariamente está relacionada con el LO. Además, si los sujetos evidencian la categoría CLDC entonces señalan la categoría PR, y puede haber PR sin que haya CLDC. |
| Situaciones (ST) | Los sujetos refieren a situaciones en las que se aplica el límite. |
Las respuestas de los estudiantes a la pregunta 4, que correspondían a los términos y modos de uso que brindaban para el límite, las relacionamos con las categorías LO, NA y ANR basándonos en la descripción que brinda la Real Academia Española (RAE) para el límite, quien indica que el límite puede ser una frontera, un fin, un valor extremo o una fecha límite.
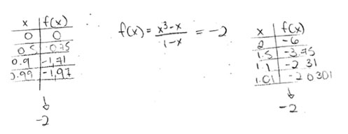
A continuación, para ejemplificar la codificación, mostramos las respuestas del estudiante EBM1313 a las preguntas que le hemos realizado en el cuestionario. Al responder a la primera pregunta (figura 1), el estudiante evidencia la categoría Límite como Objeto (LO), ya que indica que el límite es el punto. No obstante, es en la pregunta 2, cuando observamos las categorías: Límite como Proceso (LP) debido que se observa un proceso de aproximación; Coordinación entre las Variables y (CV) ya que hay relación de la variable independiente con la variable dependiente a través de procesos de aproximación; Condiciones de Lateralidad y Doble convergencia (CLDC), pues evidencia que por derecha e izquierda el límite debe ser -2; Términos de Posición Relativa (PR) debido a que muestra diferentes preimágenes tanto a la izquierda como a la derecha de 1; y finalmente evidencia la categoría Otra Representación (OR), ya que utiliza una representación tabular (figura 2).
Además, anota dos situaciones generales para el límite (figura 3), por lo que evidencia la categoría Situaciones (ST). Por último, asocia el límite con un extremo (figura 4), por lo que evidencia las categorías Límite como Objeto (LO) y Aspectos de alcanzabilidad y no rebasabilidad (ANR).
También presentamos las respuestas del estudiante EBM0309 a las preguntas que le hemos realizado en el cuestionario, para ejemplificar las categorías RV, LI, NA, PM, y RG que no se evidencian en las respuestas del estudiante EBM1313.
Al dar la definición de límite (figura 5), el estudiante EBM0309 evidencia la categoría Referencia a las Variables y (RV), pues usa los términos preimagen e imagen, y la categoría Vinculación entre límite e imagen (LI), ya que indica que, esta imagen es el límite. Además, el estudiante habla de una función real de variable real, por lo que evidencia la categoría Propiedades matemáticas (PM). En la figura 6 observamos cómo el estudiante EBM0309 usa el plano cartesiano para representar el límite, por lo que exhibe la categoría Representación gráfica (RG). Finalmente, en la figura 7 vemos que el estudiante dice que se puede usar el límite para definir cuál es el punto al que no se llegará, es decir, nos da evidencias de fin, por lo que entendemos que evidencia las categorías Límite como Objeto (LO) y Aspectos de no alcanzabilidad (NA).
3.4. Análisis clúster
Por último, nos servimos de un análisis clúster para obtener una vista sintetizada de las concepciones sobre el límite de los participantes mediante la formación de grupos. El análisis clúster o análisis de conglomerados permite organizar los datos en grupos homogéneos basados en conjuntos de variables clasificadas (Härdle y Simar, 2015). En nuestro caso, el análisis de contenido nos dejaba ver algunas similitudes entre las respuestas dadas a cada uno de los sujetos; sin embargo, también nos interesaba determinar similitudes por participante según las respuestas que daban al instrumento de forma conjunta, y así poder identificar perfiles de significado dados al límite.
El análisis de conglomerados se realizó con el software R, versión 4.1.2. (https://www.r-project.org/), un lenguaje de programación multiplataforma basa-do en software libre diseñado para el análisis estadístico. Aunque nuestro trabajo es cualitativo, este análisis nos permitió agrupar a los participantes por similitudes en las respuestas que no son fáciles de detectar observando los datos.
Así que el software resultó ser una herramienta muy útil para este propósito.
El análisis de conglomerados fue jerárquico aglomerativo que se realizó usando una medida de similitud debido a la naturaleza dicotómica de los datos, tomando la de Rogers-Tanimoto, la cual mide la probabilidad de coincidencia entre dos variables, duplicando la ponderación en las no coincidencias. Combinamos esta medida con el método de Ward, que minimiza la suma de los cuadrados de las diferencias entre cada individuo y su centroide dentro de cada grupo (Rencher, 2002).
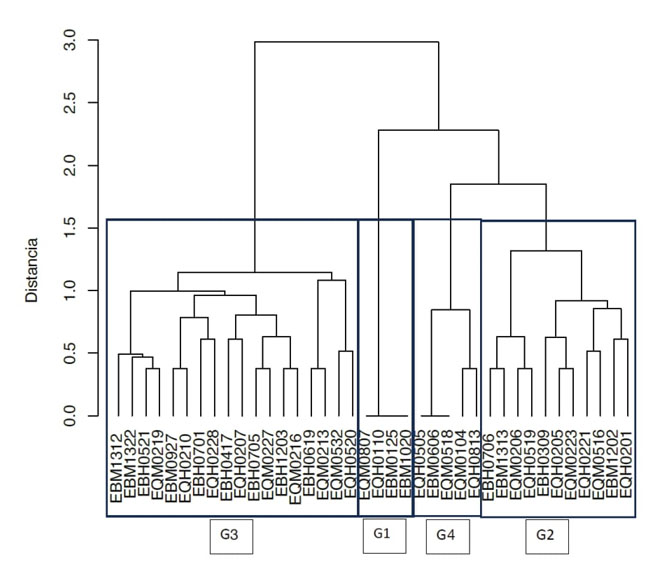
Para poder interpretar de manera apropiada y organizada los grupos, se realizó un corte a una distancia en la que se forman cuatro grupos: G1 corresponde al primer perfil, G2 al segundo perfil, G3 al tercer perfil y G4 corresponde al cuarto perfil. Como investigadores utilizamos un criterio observacional para elegir los 4 grupos, pues consideramos que podían explicar mejor los conglomerados. No hubo un criterio métrico. Como se puede apreciar en la figura 8, en el dendrograma se observa la jerarquía de los grupos. Y se aprecia también qué estudiantes pertenecen a cada grupo o perfil.
4. RESULTADOS Y ANÁLISIS
Un primer análisis de los datos manifiesta que las respuestas que los estudiantes proporcionan informan sobre todas las categorías. Por ejemplo, se podría pensar a priori que cuando se pregunta por representaciones esperamos que las respuestas se refieran a representaciones (RG, OR); sin embargo, en las respuestas a la pregunta 2 (representar) proporcionan información en casi todas las categorías, salvo la de referencias a las variables (RV) y las situaciones (ST). En la tabla 2 se puede ver las categorías a las que proporcionan información las diferentes preguntas del cuestionario.
Tabla 2 Asociación empírica de las categorías de análisis en las respuestas a las preguntas
| Sistema de categorías | Preguntas del cuestionario | |||
|---|---|---|---|---|
| 1 | 2 | 3 | 4 | |
| Límite como objeto (LO) | X | X | … | X |
| Límite como proceso (LP) | X | X | … | … |
| Vinculación entre límite e imagen (LI) | X | X | … | … |
| Coordinación entre las variables x e y (CV) | X | X | … | … |
| Referencia a las variables x e y (RV) | X | … | … | … |
| Condiciones de lateralidad y doble convergencia (CLDC) | X | X | … | … |
| Propiedades matemáticas (PM) | X | X | … | … |
| Representación gráfica (RG) | … | X | … | … |
| Otras representaciones (OR) | … | X | … | X |
| Aspectos de no alcanzabilidad (NA) | X | X | … | X |
| Aspectos de alcanzabilidad y no rebasabilidad (ANR) | X | X | … | X |
| Términos de posición relativa (PR) | X | X | … | … |
| Situaciones (ST) | … | … | X | … |
Revisando cada una de las categorías, observamos que para la categoría Límite como objeto (LO), tenemos que la totalidad de los estudiantes manifiestan esta categoría puesto que todas las acepciones recogidas de la pregunta 4 de límite que aparecen en el diccionario de la Real Academia Española (RAE) (frontera, extremo, fin y fecha límite) se interpretaron como LO. No obstante, si eliminamos las respuestas a esta pregunta, sigue manifestándose en 79% de las respuestas. En la pregunta 1, los estudiantes refieren al límite como: número, valor, valores, punto, cero, imagen, el fin, huecos, lugar, etc.; y en la pregunta 2 lo identifican con puntos, huecos, saltos, números en la representación.
La categoría Límite como proceso (LP) se observa en el 95% de las respuestas de los estudiantes. En la pregunta 1, refieren al límite como: aproximarse, tendencia, acercamiento, analizar lo que hay alrededor de un punto, se estudia el alrededor de los puntos, etc.; y en la pregunta 2 lo identifican con flechas, puntos de aproximación, o líneas alrededor de la variable independiente o dependiente tanto de modo general, como en casos particulares en la representación.
La categoría Vinculación entre límite e imagen (LI) se aprecia en 26% de las respuestas de los estudiantes. En la pregunta 1, usan frases como: esta imagen es el límite, las imágenes de a en y tienden a L, es un punto al cual se acerca ubicado en
La categoría Coordinación entre las variables x y y (CV) se observa en 39% de las respuestas de los estudiantes. En la pregunta 1, refieren al límite como procesos de aproximación entre la variable independiente y la dependiente, y los relacionan; y en la pregunta 2 lo explicitan en la representación.
Como puede observarse en la figura 9, el estudiante EBM0125 hace una representación para el límite. Podemos ver que hace procesos de aproximación por la izquierda y derecha de a, usa flechas alrededor de L, por lo que evidencia la categoría LP, asocia las preimágenes 1, a y 2 con sus respectivas imágenes, por lo que evidencia la categoría CV, también dibuja un punto lo que evidencia la categoría LO, con este punto que dibuja se deprende que la imagen de a es L, lo que evidencia la categoría LI.
La categoría Referencia a las variables x y y (RV) se aprecia en el 37% de las respuestas de los estudiantes. En la pregunta 1, refieren al límite como: preimagen, imagen, imágenes, punto en x, punto en y, etc.
La categoría Condiciones de lateralidad y doble convergencia (CLDC) se observa en el 53% de las respuestas de los estudiantes. En la pregunta 1, usan frases como: si al aproximarse a a por derecha y por izquierda se obtiene el resultado, es el límite si es la misma cuando se acerca tanto por derecha como por izquierda de la preimagen etc.; y en la pregunta 2 realizan en la representación gráfica, flechas o procesos de aproximación alrededor de un mismo número para indicar que por izquierda y derecha el límite debe ser lo mismo. Y en la tabular, se hacen asignaciones de valores cercanos a un mismo número por izquierda y derecha, para verificar que sus imágenes tienden al mismo resultado.
Observamos en la figura 10, como el estudiante EBM0125 menciona las imágenes de a, por lo que evidencia la categoría RV, también, por su explicación de la definición del límite detectamos que evidencia la categoría CLDC.

Figura 10 Explicación de la definición del límite (pregunta 1) que manifiesta el estudiante EBM0125.
La categoría Propiedades matemáticas (PM) se observa en el 18% de las res-puestas de los estudiantes. En la pregunta 1, los estudiantes usan frases como: función real de variable real, hay límites infinitos, sucesiones, límite de sucesiones, etc.; y en la pregunta 2 evidencian asíntotas o límites infinitos en la representación. En la figura 11 vemos como el estudiante EQH0207 evidencia esta categoría.

Figura 11 Explicación de la definición del límite (pregunta 1) que manifiesta el estudiante EQH0207.
La categoría Representación gráfica (RG) se aprecia en 87% de las respuestas de los estudiantes. En la pregunta 2 lo explicitan a través de una representación gráfica. Y en el caso de la categoría Otras representaciones (OR) se observa en el 50% de las respuestas de los estudiantes. En la pregunta 2 y en la pregunta 4, lo identifican con representaciones diferentes a las gráficas, como por ejemplo tabulares, verbales, simbólicas y pictóricas. Las figuras 12 y 13 muestran ejemplos de ilustraciones del concepto de límite utilizando una representación gráfica y pictórica, respectivamente.
La categoría Aspectos de no alcanzabilidad (NA) se aprecia en un 42% de las respuestas de los estudiantes. De las acepciones recogidas de la pregunta 4 de límite que aparecen en el diccionario de la RAE (frontera, extremo, fin y fecha límite) hemos interpretado el fin como NA. No obstante, si eliminamos las res-puestas a esta pregunta, sigue manifestándose NA en un 18% de las respuestas. En la pregunta 1, los estudiantes refieren al límite como: el lugar por donde esta no pasa (en la gráfica), se acerca a un punto, pero nunca lo toca, sin que este esté incluido, pero siguiendo la regla de que no va a ser el resultado, etc., y en la pregunta 2 lo identifican con asíntotas o límites infinitos en la representación. En la figura 15 observamos cómo el estudiante EBM0927 evidencia esta categoría, pues dibuja un límite infinito en la representación gráfica.
La categoría Aspectos de alcanzabilidad y no rebasabilidad (ANR) se aprecia en el 87% de las respuestas. De las acepciones recogidas de la pregunta 4 de límite que aparecen en el diccionario de la RAE (frontera, extremo, fin y fecha límite) hemos interpretado frontera, extremo, y fecha límite como ANR. No obstante, si eliminamos las respuestas a esta pregunta, sigue manifestándose ANR en el 11% de las respuestas. En la pregunta 1, refieren al límite como: valor máximo, el límite una función es hasta dónde llega la función, solo se le permite acercarse a cierto valor, no pasarse de él y en la pregunta 2 lo identifican con una acotación en la representación. En la figura 14 observamos cómo el estudiante EQM0518 evidencia esta categoría.
La categoría Términos de posición relativa (PR) se observa en el 71% de las respuestas de los estudiantes. En la pregunta 1, destacan frases como: izquierda, derecha, arriba, abajo, cerca de un valor, valor aproximado al punto, por ambos lados se acerca a un valor en el eje x, es una proximidad, etc.; y en la pregunta 2 usan flechas alrededor de un número o símbolo, hacen aproximaciones por izquierda o derecha de un número en la representación. En la figura 15 observamos cómo el estudiante EBM0927 evidencia esta categoría, pues se da varios valores por la izquierda de cero en la representación tabular.
La categoría Situaciones (ST) se aprecia en el 34% de las respuestas de los estudiantes. En la pregunta 3, usan frases como: en la industria, en la medicina, en la economía, en gráficas matemáticas, en la convergencia de una función, en el concepto de derivada, en la estadística, en la arquitectura, en la ingeniería, en la astronomía y en la física. En la figura 16 observamos cómo el estudiante EQM0213 evidencia esta categoría, pues indica que el límite se puede usar en estadísticas.
En la tabla 3 mostramos a modo de resumen los porcentajes de respuesta de los estudiantes para cada una de las 13 categorías.
Tabla 3 Porcentaje de evidencia de cada categoría con base en las 38 respuestas de los estudiantes
| LO | LP | LI | CV | RV | CLDC | PM | RG | OR | NA | ANR | PR | ST |
| 100 | 95 | 26 | 39 | 37 | 53 | 18 | 87 | 50 | 42 | 87 | 71 | 34 |
Se observa el predominio de los elementos Objeto-Proceso, el primero enfatizado por los aspectos de uso, ya que, en el diccionario de la RAE, todas las acepciones identifican límite como un objeto. Además, se impone la representación gráfica sobre otras representaciones, aunque llama la atención que la mitad de los estudiantes usan imágenes que no tienen coordenadas cartesianas para referirse a límite. Con respecto a la manera de referirse a límite, los estudiantes subrayan los aspectos de la no rebasabilidad y usan términos de posición relativa.
4.1. Análisis de conglomerados
El análisis clúster permitió identificar cuatro grupos. En el primer perfil (figura 17), que solo agrupa al 11% (4 estudiantes), se caracteriza porque los estudian-tes manifiestan que el límite es tanto un objeto (LO) como un proceso (LP), relacionan límite con imagen (LI), coordinando las variables (CV), haciendo referencia a ambas (RV) y mencionando condiciones de lateralidad y doble convergencia (CDLC). Para representar el límite usan tanto representaciones gráficas (RG) como otras representaciones (OR). Para estos estudiantes el límite es no rebasable (ANR) y proporcionan expresiones que manifiestan la posicionalidad relativa (PR). Es decir, expresan un significado de límite rico en elementos de estructura conceptual, representación y sentido. Llamaremos a este perfil “Significado Completo”.
El segundo perfil (figura 18) agrupa al 29% de los estudiantes (11) que manifiestan que el límite es objeto (LO) y proceso (LP), coordinan las variables (CV) y mencionando lateralidad y doble convergencia (CDLC). La representación más usual es la gráfica (RG) y suelen proporcionar expresiones que manifiestan la posicionalidad relativa (PR). El significado que se manifiesta tiene bastantes características, pero le faltan muchas otras. Sobresale con respecto a los otros perfiles el uso de situaciones, por lo que lo denominamos “Significado por ejemplos”.
El tercer grupo (figura 19), en el que están casi la mitad de los estudiantes (47%, 18 estudiantes), caracteriza el límite con cuatro elementos: es un objeto (LO) y un proceso (LP), que se representa gráficamente (RG) y con la característica de que no es rebasable (ANR). Expresan un significado de límite con poca riqueza de elementos que caracterizan el significado, así que el grupo lo nombramos como “Significado ingenuo”.
Finalmente, cinco estudiantes (13%) conforman el cuarto grupo (figura 20), muy parecido al anterior (LO, LP, RG y ANR), pero al que se le añaden condiciones de lateralidad y doble convergencia (CDLC) y de posición relativa (PR). El significado que se manifiesta está basado en el modo de uso del límite y en la representación gráfica, por lo que se denomina “Significado interpretado”.
5. DISCUSIÓN Y CONCLUSIONES
El objetivo del trabajo consistía en analizar y sintetizar los significados manifestados por estudiantes de primer curso universitario sobre el concepto de límite en un punto de una función real de variable real.
Para ello, utilizamos un cuestionario semántico que diseñamos para obtener información sobre aspectos presentes en la definición del límite (pregunta 1), las representaciones (pregunta 2) y los sentidos y modos de uso (preguntas 3 y 4). Además, adaptamos un sistema de categorías basado en resultados clásicos sobre concepciones del límite.
Con respecto a las categorías de organización de respuestas, sabíamos que las 15 categorías mencionadas en González-Flores et al. (2021) eran suficientes para analizar las definiciones del concepto de límite, sin embargo, en este trabajo nos basamos en ese sistema de categorías y agregamos las categorías Otra Representación (OR) y Situaciones (ST) para establecer un nuevo sistema de 13 categorías que nos permitiera estudiar el significado del concepto del límite, y no solo las definiciones como lo habíamos hecho antes en González-Flores et al. (2021). Este nuevo sistema de 13 categorías, que presentamos, es suficiente para realizar el estudio del significado del concepto de límite, ya que nos permitió organizar la información proporcionada por los estudiantes a través de las preguntas del cuestionario, ya que no hubo información que dichas categorías no pudiesen abarcar.
Se observa en la tabla 3 que las categorías “clásicas”, esto es, las categorías que proceden de los estudios clásicos sobre el límite LO, LP y ANR (Cottrill et al., 1996; Sfard, 1991; Tall, 1980; Cornu, 2002; Monaghan, 1991) son las que con más frecuencia se detectan en las respuestas de los estudiantes. En el caso de LO y ANR las evidencian más en la respuesta a la pregunta 4. Junto a estas, las representaciones gráficas (RG) ya que se preguntaba específicamente por las representaciones. Además, la categoría OR la evidencian la mitad de los estudiantes en sus respuestas. Y una minoría de estudiantes evidencian las categorías NA, CV, LI, PM, RV y ST en sus respuestas a las preguntas del cuestionario.
Queremos resaltar que la categoría Límite como Objeto (LO) es una categoría que evidencian de forma frecuente los estudiantes en las respuestas a las preguntas sobre la definición (pregunta 1), la representación (pregunta 2) y sobre los términos y modos de uso (pregunta 4), ya que la mayoría de estos, 29 de 38, la evidencian de forma simultánea en al menos dos de las tres respuestas a estas preguntas.
Es peculiar que la categoría Límite como Proceso (LP) no aparece dentro de las definiciones del límite en la RAE y, como era esperable, los estudiantes no la incorporaron como una interpretación. Sin embargo, es la característica que más se detecta en las respuestas a las definiciones de límite y a las representaciones. En cierto sentido, se puede decir que cuando los estudiantes responden a preguntas de matemáticas, el límite casi siempre es considerado un proceso, pero que cuando responden a usos de límite, se ven obligados por el uso del lengua-je a identificarlo como un objeto.
Preguntar por definiciones y representaciones proporciona variedad de categorías de respuestas y, por tanto, son básicas para determinar los significados. Preguntar sobre modos de uso no proporciona tanta variedad de categorías, pero ayuda a completar los significados. Los modos de uso suelen proceder de prácticas cotidianas o conocidas fuera de la matemática, por lo que las características del concepto matemático que expresan son limitadas.
Con respecto a los perfiles de significado, hemos detectado que los significados más completos (perfil 1) los manifiestan pocos estudiantes. En este perfil, además de las necesarias menciones al carácter dual Objeto-Proceso, los estudiantes manifiestan que el límite tiene elementos matemáticos (LI, CV, RV, CLDC), pero sin olvidar que las representaciones pueden ser tanto gráficas como de otros tipos y que se interpreta como algo no rebasable (ANR) y siempre con referencia a posiciones relativas (PR).
El resto de los perfiles expresan significados menos completos (perfiles 2, 3 y 4) bastantes más. Es muy probable que sea debido a que están iniciándose en el estudio del límite y es de esperar que, al terminar su formación, estos significados sean más ricos. Los tres perfiles tienen una base intuitiva o cotidiana que está en línea con los trabajos mencionados en la introducción y que, en muchos casos, es la transmitida por los docentes (Blázquez, 1999, 2000; Fernández-Plaza et al., 2013; Monaghan, 1991; o Williams, 1991). La justificación pue-de estar en que el límite es un concepto matemático, pero a su vez es una palabra que suele usarse en la semántica cotidiana, con una connotación más de objeto que de proceso o procedimiento, entonces puede ser que lo anterior se esté manifestando en el sentido del límite que manifiestan los estudiantes. Esto concuerda con la idea de Planas et al. (2018), que indica que el lenguaje adquiere un significado central en la construcción del pensamiento y conocimiento matemático.
El estudio, que se ha realizado de manera inicial con pocos estudiantes, se va a ampliar a casi 300 estudiantes de la Universidad Nacional de Costa Rica, donde esperamos establecer unos perfiles que confirmen nuestras conclusiones y que nos permitan superar la limitación del escaso número de sujetos estudiados.
5.1. Recomendaciones metodológicas
Planteamos algunas sugerencias metodológicas que pueden contribuir a que los estudiantes enriquezcan sus significados sobre el concepto de límite. Partimos de la premisa de que el proceso de aprendizaje es una construcción socialmente mediada (Ausubel et al., 1976), y que el proceso de enseñanza-aprendizaje parte desde el conocimiento previo (Bruner, 1990; Piaget y García, 1991).
En primer lugar, recomendamos detectar las ideas, concepciones y conocimientos previos que tienen los estudiantes. Una vez detectadas estas ideas, ya sea en los perfiles mostrados o en otros, debemos complementar o enriquecer el significado que tienen los estudiantes. En términos de Tall y Vinner (1981), el docente debe generar oportunidades para que el estudiante evolucione desde el concepto imagen al concepto definición.
En general, podemos decir que cuando haya que enriquecer significados en términos conceptuales (variables Límite como objeto, Límite como proceso, Vinculación entre límite e imagen, Coordinación entre las variables x y y, Referencia a las variables x y y, Condiciones de lateralidad y doble convergencia, Propiedades matemáticas) se pueden proponer tareas de índole conceptual y procedimental que promuevan la reflexión mediante la interpretación del límite en situaciones apropiadas: tareas de continuidad usando límites laterales.
Para enriquecer los aspectos de representación (variables Representación gráfica y Otra representación), proponemos plantear tanto tareas donde se necesite interpretar y manipular en un solo sistema de representación como tareas en las que los estudiantes deban realizar una conversión entre distintos sistemas de representación (Janvier, 1987).
Cuando se pretenda enriquecer el significado del límite desde la naturaleza del modo de uso o sentido (variables Aspectos de no alcanzabilidad, Aspectos de alcanzabilidad y no rebasabilidad, Términos de posición relativa y Situaciones), sugerimos tareas donde se requiera interpretar el límite en un contexto en particular, así como tareas que incluyan problemas de modelización.
En general, el uso de la visualización y de múltiples sistemas de representación favorecen el aprendizaje del concepto de límite (Tall y Vinner 1981) y se debe conseguir una buena manipulación procedimental que permita consolidar conocimiento conceptual (Sfard, 1991). Además, no debemos olvidar que la competencia matemática no puede prescindir de la contextualización, por lo que se requieren situaciones contextualizadas para ser matematizadas e interpretadas.










nova página do texto(beta)





















