1. INTRODUCCIÓN
En esta investigación se analiza cómo es la comprensión de superficies cuadráticas (SC) por parte de estudiantes universitarios que desarrollan actividades de exploración del concepto con el uso del software GeoGebra. Las SC son gráficas de ecuaciones de segundo grado, consideradas como los análogos tridimensionales de las secciones cónicas (Larson & Edwards, 2016; Thomas, 2015) en geometría analítica del plano.
Hasta ahora, la mayoría de las investigaciones sobre el aprendizaje de la geometría analítica del espacio se enfocan en las funciones de dos variables y, por el contrario, la documentación sobre el razonamiento de los estudiantes respecto a las SC, prerrequisito curricular de dichas funciones, es limitada. No obstante, la comprensión de conceptos de la geometría tridimensional como planos, cilindros y superficies resulta fundamental para dar sentido a las ideas involucradas en el cálculo multivariado, en particular derivadas e integrales de funciones de varias variables, que a su vez se aplican en la solución de problemas del área de ciencias exactas e ingeniería.
Investigaciones realizadas en varios países, concuerdan en que la comprensión de objetos matemáticos representados en el espacio no es sencilla, ni puede abstraerse de forma directa o inmediata a partir de la generalización de las estructuras relacionadas con el plano bidimensional (Kashefi, Ismail & Yusof, 2013; Martínez-Planell & Trigueros, 2021; Şefik & Dost, 2020; Weber & Thompson, 2014), sino que precisa de trabajo intenso en casos particulares, que la presente investigación explora.
Martínez-Planell y Trigueros (2007, 2010, 2013 y 2019), por ejemplo, realizan varios estudios desde el marco teórico APOE y la teoría de las representaciones semióticas, para indagar sobre las construcciones mentales y dificultades que los estudiantes enfrentan en el aprendizaje de funciones de dos variables; llegando a establecer que las dificultades más comunes en dichas funciones ocurren por deficiencias en el discernimiento del esquema del espacio
Por otra parte, Weber y Thompson (2014), con fundamento en los modelos del razonamiento covariacional y el razonamiento cuantitativo, analizan las respuestas a las tareas asignadas a dos estudiantes universitarios inscritos en un curso de cálculo, y verifican que mediante la aplicación de una trayectoria hipotética de aprendizaje propuesta se promueve la generalización de funciones de una a dos variables, al pensar o imaginar un gráfico obtenido al barrer un punto en el plano para generar una curva y luego, barrer esa curva para gene-rar una superficie en el espacio.
Y en relación con la comprensión de las SC, López-Vega (2018) describe el análisis a priori y a posteriori de las respuestas a las actividades de un estudian-te de Arquitectura de una Universidad en Lima, en las que se explora el proceso de génesis instrumental del hiperboloide, cuando se desarrolla una secuencia didáctica mediada por el software GeoGebra. En ese estudio, se establece que el uso del GeoGebra posibilita el reconocimiento de propiedades del hiperboloide, como reconocer la relación entre la ecuación y la orientación de la superficie, la identificación de cómo afectan los parámetros de su ecuación a la superficie y determinar las características del hiperboloide a partir de los cortes en secciones transversales.
En la presente investigación, se asume que la comprensión de objetos en tres dimensiones que se representan en objetos figurales de dos dimensiones requiere de un razonamiento sintético (objeto figural que la representa) y analítico (ecuación que la describe) para transitar entre diferentes elementos mate-máticos implicados en su abstracción. Con base en esto último, se tiene como objetivo de investigación: describir los modos de pensar las SC que estudiantes universitarios usan en situaciones matemáticas propuestas y determinar los tránsitos que ellos logran entre diferentes interpretaciones de las SC, poniendo de relieve los elementos matemáticos que involucran en ese proceso.
2. LOS MODOS DE PENSAMIENTO
Para Sierpinska (2000), los modos de pensamiento son formas de ver y entender los objetos matemáticos que al interactuar producen su comprensión. Cada modo de pensar conduce a diferentes significados de un objeto matemático, porque cada modo implica diferentes interpretaciones de dicho objeto -teóricas y prácticas- y sus conexiones con otros sistemas de hechos e ideas. Por otro lado, la complejidad epistemológica inherente al pensamiento teórico justifica las dificultades que los estudiantes muestran para aprender la matemática en todos los niveles, mientras que los argumentos geométricos y sintéticos son, a la vez, un apoyo visual y un desafío (Sierpinska, 2000); de ahí la necesidad de estudios científicos que expliciten el rol de estas formas de pensar involucradas en la interpretación de conceptos matemáticos.
En el modo Sintético-Geométrico (SG) la visualización matemática toma un rol fundamental en el entendimiento de un objeto matemático, es decir, se perciben las características geométricas de funciones, coordenadas, vectores, etc., representados por medio de imágenes donde se “utiliza el lenguaje de las figuras geométricas, planos, líneas, intersecciones, así como sus representaciones gráficas convencionales” (Sierpinska, 2000, p. 234-235). Por ejemplo, en este modo SG, un elipsoide es identificado por su representación gráfica y la descripción figural de esta superficie cuadrática, sin definirla a través de su ecuación.
Y en el modo Analítico-Aritmético (AA) los objetos matemáticos se construyen por la definición de sus elementos. Las figuras se entienden como conjuntos de n-tuplas de números que satisfacen ciertas condiciones y en general, los objetos matemáticos se dan por relaciones, operaciones y procedimientos con números y variables (Sierpinska, 2000). Por ejemplo, en el modo AA una esfera es entendida a través de la ecuación
Mientras que el modo Analítico-Estructural (AE), sintetiza los elementos algebraicos de las representaciones analíticas dentro de conjuntos estructurales. Los objetos matemáticos se explican a partir de propiedades, características, axiomas o definiciones más generales que se agrupan en estructuras (Sierpinska, 2000). Por ejemplo, en el modo AE las SC son construidas como un lugar geométrico conformado por familias de curvas donde se diferencian los rasgos que las caracterizan.
La diferencia entre el modo sintético y analítico (aritmético y estructural) es que en el modo sintético los objetos son dados directamente por la mente cuando se trata de describirlos; mientras que, en el modo analítico se dan indirectamente y solo son construidos a través de la definición de las propiedades de sus elementos. Una manera de coadyuvar en la comprensión de un objeto o concepto matemático es mediante la promoción de transiciones e interacciones entre estos tres tipos de pensamiento (Sierpinska, 2000). Parraguez (2012) indica que “para esta teoría comprender un objeto matemático es poder abordarlo articuladamente desde los modos SG, AA y AE” (p. 76); y en este sentido, es importante diseñar situaciones o actividades de aprendizaje que contemplan la interacción entre los modos de pensar un objeto matemático, para luego explicitar y evocar los elementos matemáticos que actúan como articuladores, que son precisamente los que permiten a los estudiantes transitar exitosamente entre los tres modos de pensar ese objeto.
Aunque un estudiante puede utilizar cada uno de los tres modos de pensamiento, se tiene tendencia a usar algunos que son más significativos y, por lo tanto, parecen más convenientes y fáciles de entender (Sierpinska, 2000).
2.1. Modos de Pensar las Superficies Cuadráticas
En la tabla 1 se caracterizan los modos de pensar las SC: mientras en el modo de pensamiento SG-SC se reconocen formas o figuras en el espacio tridimensional, en el modo AA-SC se identifica una ecuación que relaciona diferentes variables y parámetros; y en el modo AE-SC, se identifican familias de curvas que conforman una SC y se ponen de relieve los rasgos que caracterizan a las diferentes SC.
Esta clasificación, surge de las distintas perspectivas de las SC que se advierten en el desarrollo del concepto: (1) en un primer momento, en la Grecia antigua, alrededor del año 200 a.C., Arquímedes estudia las características geométricas de sólidos de revolución (figuras generadas al girar elipses y parábolas sobre su eje de simetría, y por hipérbolas que giran alrededor de un eje transversal) (Lowell, 1968); (2) posteriormente, durante los siglos XVII y XVIII, a partir de la introducción del uso de coordenadas cartesianas en los escritos de Descartes, se produjo un segundo momento cuando Van Shooten, Fermat y Euler analizan las SC en el espacio tridimensional en relación con las ecuaciones de segundo grado en tres variables que las definen (Boyer, 1968; Kline, 1972); (3) y finalmente, se contempla un tercer momento a principios del siglo XIX con la aportación del trabajo de Monge y Hachette al estudio de las propiedades que definen a las SC (Lowell, 1968).
3. MÉTODO
Este estudio es de corte cualitativo, bajo la aproximación específica del método hermenéutico-interpretativo (Weiss, 2017) y se desarrolla en tres etapas.
3.1. Primera etapa
Se realiza una revisión bibliográfica de antecedentes y el análisis epistemológico de las SC por medio del cual se caracterizan los modos de pensar SG-SC, AA-SC y AE-SC (tabla 1). Asimismo, se diseñan actividades de exploración del concepto que incluyen el uso del software educativo GeoGebra.
Se plantea el uso del GeoGebra por su potencial expresivo para ilustrar las características del concepto en los modos SG-SC, AA-SC y AE-SC. Por ejemplo, en la actividad de exploración llamada “Trazas de Superficies Cuadráticas en GeoGebra” (figura 1), se incluye el uso de applets para apoyar a los estudiantes en el análisis de la relación entre ecuaciones cuadráticas y las gráficas que reflejan las condiciones de conjuntos de puntos y curvas en el espacio que configura a las SC.
Las indicaciones en la actividad de exploración consideran centrar la atención sobre elementos matemáticos específicos, como el conjunto de curvas en el espacio que se configuran por puntos
3.2. Segunda etapa
En la segunda etapa del estudio, una vez que los estudiantes revisaron los conceptos de gráficas de ecuaciones generales de segundo grado en dos variables en
Después de dar a conocer las intenciones de la investigación, los estudiantes manifestaron su disposición para participar en el estudio mediante un consentimiento informado. El tipo de muestreo que se lleva a cabo es de muestras diversas (Hernández et al., 2010), dado que se pretende evaluar los elementos matemáticos que estudiantes con diferentes respuestas involucraron al transitar entre los distintos modos de pensar las SC.
Las técnicas utilizadas para recopilar información, en concordancia con el diseño hermenéutico-interpretativo, fueron el análisis de documentos y la entrevista. El instrumento de recolección de datos se conforma de cinco preguntas y tiene la finalidad de evidenciar el trabajo de los estudiantes en los diferentes modos de pensar las SC (tabla 2).
Tabla 2 Preguntas en las actividades de análisis
| Actividad | Pregunta | Modos de pensar y tránsitos a observar |
|---|---|---|
| A1 | A continuación, se da la gráfica de la superficie cuadrática identifica y marca los puntos donde ésta interseca con los planos y marca los puntos donde ésta interseca con los planos
|
SG-SC |
| A2 | Escribe debajo de cada una de las siguientes figuras la ecuación que les corresponde. Elige entre Describe con detalle el motivo de tus elecciones. Describe con detalle el motivo de tus respuestas anteriores. Imagina que quieres explicar tus resultados a un compañero que apenas inicia el aprendizaje del tema. |
SG-SC - AA-SC → AE-SC |
| A3 | Considera la superficie cuadrática de la siguiente figura: Dibuja y describe verbalmente lo más detalladamente posible, la curva de intersección de la superficie cuadrática con el plano |
SG-SC → AE-SC |
| A4 | Representa en el espacio tridimensional la superficie cuadrática la curva de intersección de la superficie con el plano
|
AA-SC → AE-SC |
| A5 | Transforma la ecuación general a la forma estándar correspondiente y luego identifica la superficie cuadrática. Dibuja su gráfica y descríbela mediante algunas de sus trazas.
|
AA-SC → SG-SC → AE-SC |
Complementario a las cinco preguntas anteriores, se conducen seis entrevistas semiestructuradas (Kvale, 2011), a estudiantes que realizaron las actividades didácticas y que involucraron distintas tendencias al responder las preguntas de la tabla 2. De manera específica, se propone la técnica de entrevista semiestructurada debido a que, aunque se cuenta con un guion para orientar las preguntas del entrevistador, se tiene libertad para realizar cuestionamientos adicionales con el fin de clarificar o ampliar las declaraciones de los informantes. El guion de las entrevistas incluye: (1) las descripciones que los estudiantes refieren sobre las gráficas y las ecuaciones de las superficies cuadráticas con las que se les propuso trabajar, (2) si las ideas representadas son utilizadas en un modo aislado o si se conectan diferentes modos de pensamiento, y (3) la manera en que se transita entre diferentes modos de pensar las SC mediante distintos elementos matemáticos como: trazas, simetrías, sustitución de valores de variables, parámetros, proyecciones, entre otros.
3.3. Tercera etapa
En esta etapa se realizó el análisis de los elementos matemáticos involucrados en los tránsitos entre los diferentes modos de pensar las SC, que se identifican en las respuestas de los estudiantes a las actividades de la tabla 2 y en los extractos de las transcripciones de las entrevistas. En la tabla 3 se especifican los elementos matemáticos considerados como evidencia observable del trabajo de los participantes en los distintos modos de pensar las SC.
Tabla 3 Elementos matemáticos observables en los modos de pensar las SC
| Modos de pensamiento | Elementos matemáticos |
|---|---|
| SG-SC |
Puntos, líneas y /o curvas que forman una figura o forma determinada en el espacio tridimensional Referir simetría o proporciones, es decir, describir qué tanto abre hacia arriba o hacia abajo, a la izquierda o hacia la derecha a partir de un eje o el vértice una figura en el espacio, o de su proyección en un plano bidimensional. |
| AA-SC |
Ecuación general. Ecuación estándar. Parámetros, signos, coeficientes y/o exponentes de las expresiones que componen las ecuaciones. Operaciones con valores de variables |
| AE-SC |
Superficie generada por trazas (parábolas, circunferencias, elipses e hipérbolas) análogamente situadas en el espacio tridimensional, donde cada una de estas secciones cónicas se configuran por puntos satisfacen una ecuación de segundo grado. |
4. ANÁLISIS Y RESULTADOS
Con base en el modelo teórico que fundamenta esta investigación, se postula que la comprensión de un concepto se logra al transitar articuladamente por los tres modos de pensamiento SG, AA y AE. En los resultados que a continuación se reportan, obtenidos al analizar las respuestas de los estudiantes en las actividades y las transcripciones de las entrevistas, se describe explícitamente la manera en que se logra la articulación entre los diferentes modos de pensar las SC, mediante distintas rutas cognitivas y los elementos matemáticos involucrados en esos tránsitos.
La tabla 4 muestra las diferentes rutas cognitivas interpretadas a través de los modos de pensar las SC, obtenidas como resultado de la evaluación y valoración de los argumentos de E1, E2, E3, E4, E5 y E6 al responder las cinco actividades de análisis y la entrevista.
Tabla 4 Tránsitos entre los Modos de Pensar las SC en las Actividades
| Actividad | A1 | A2 | A3 | A4 | A5 | |
|---|---|---|---|---|---|---|
| Estudiante | ||||||
| E1 | SG → AA → AE |
SG → AA → AE |
SG → AA Insuficiente → AE Falso |
AA → SG → AE |
AA → SG → AE Insuficiente |
|
| E2 | No responde | SG → AA Falso |
SG → AA Insuficiente → AE Falso |
SG → AA Insuficiente → AE Falso |
AA → SG | |
| E3 | SG → AA → AE |
AA → SG → AE |
SG → AA → AE | AA → SG → AE |
AA → SG → AE |
|
| E4 | SG Insuficiente → AA → AE Falso |
SG → AA → AE |
SG → AA → AE |
AA → SG → AE |
AA → SG → AE |
|
| E5 | SG → AA → AE |
SG → AA Falso |
SG → AA Falso | AA → SG Insuficiente |
AA → SG → AE Falso |
|
| E6 | SG → AA → AE |
SG → AA → AE |
SG → AA → AE | AA → SG → AE |
AA → SG → AE |
|
A continuación, se describen las respuestas en las cinco actividades marcadas en color en la tabla 4, debido a que son representativas de los tránsitos entre los modos de pensar las SC que mostraron los estudiantes en sus diferentes respuestas.
4.1. Tránsitos desde AA-SC → SG-SC → AE-SC y de SG-SC → AA-SC → AE-SC
Los estudiantes que alcanzan el modo de pensar AE-SC, inician desde cualquier otro modo mediante las rutas cognitivas AA-SC → SG-SC → AE-SC y SG-SC → AA-SC → AE-SC, lo que se verifica al considerar y comparar los argumentos que los estudiantes exponen al desarrollar las actividades y participar en las entrevistas. Por ejemplo, el estudiante E3 sigue la ruta cognitiva AA-SC → SG-SC → AE-SC en la actividad A2. E3 comienza de la ecuación general de segundo grado de la SC
Con esto, E3 señala las simetrías que percibe de manera intuitiva en el paraboloide elíptico respecto a los ejes X y Z, como se muestra en la figura 4.
Luego, el estudiante E3 sustituye
Posteriormente, en la intersección de la superficie con un plano en el espacio, E3 ubica el conjunto de puntos que configuran una traza (variabilidad de puntos), y reconoce que “depende del valor que tome Y” se podrían generar diferentes trazas situadas análogamente en el espacio (variabilidad de trazas) con las cuales se configura la SC (modo AE-SC), como se muestra en el siguiente extracto de la entrevista:
| Entrevistador: | Entonces, ¿Cómo pudiste ver que efectivamente esas elipses corresponden con la ecuación de ese paraboloide? |
| E3: | Mjum. |
| Entrevistador: | ¿Cómo se vería eso gráficamente? |
| E3: | ¿En el plano o…? |
| Entrevistador: | O en la gráfica de la superficie. |
| E3: | Sí… ehhh. Dependería del valor que tome 𝑌… |
| Entrevistador: | Y en la superficie ¿Cómo podría verse? |
| E3: | Ajá. Estaría como 𝑌 es igual a 2, pues los tendríamos más o menos a esta altura, y serían los puntos que van alrededor. Así. (Dibuja la traza sobre el paraboloide de la izquierda, figura 6) |
| Entrevistador: | Ajá. |
| E3: | Sí… si 𝑌 fuera cero, pues en el plano se vería nada más un punto. |
| Entrevistador: | Mjum. |
| E3: | Sí. Si 𝑌 pues fuera un valor más… |
| Entrevistador: | Por ejemplo, dos. |
| E3: | Ajá. Si fuera dos…. |
| Entrevistador: | ¿Cómo sería? |
| … | |
| E3: | Entonces nos quedaría en ese punto, en 𝑌 igual a 2, una elipse que abre raíz de dos, o sea, el semieje de… de 𝑋, es raíz de dos y en 𝑍 la raíz de un medio (1/2). |
Por otra parte, los tránsitos que muestra el estudiante E6 en la actividad A3 son SG-SC → AA-SC → AE-SC. En esta actividad se solicita que el estudiante dibuje y describa verbalmente, la curva de intersección de un paraboloide elíptico con el plano fundamental
Para esto, E6 señala en la entrevista que con el fin de verificar que la ecuación estándar que había identificado correspondía la del paraboloide, sustituye
| E6: | […] Ok, primeramente, esta es mi fórmula general de la circunferencia ¿no? Cuando 𝑍 es igual a cero, esa tendría que ser cuatro. Porque al sacar la raíz cuadrada te da dos y ese sí es el radio. (figura 8) |
| Entrevistador: | Ah, muy bien. |
| E6: | Y entonces, ahora sí, ahora ya que tengo esta, ese es cuando 𝑍 vale cero… Ok. Y entonces, ahora, entonces [murmura procedimiento] entonces esta tendría que ser mi fórmula para el paraboloide elíptico. |
Después, E6 sustituye
El hecho de realizar esa sustitución, le permite a E6 ubicar un plano en el espacio a través del conjunto de puntos que configuran a la traza (variabilidad de puntos), según se verifica en las respuestas de E6 en la entrevista:
| E6: | […] Entonces, si va a ser igual a uno entonces me va a quedar una traza en el plano. |
| Entrevistador: | ¿Cuál sería esa traza? |
| E6: | Bueno, aquí, ah, ésta es cuatro ¿no? |
| Entrevistador: | Ajá. |
| E6: | Pues más o menos sería dividirlo como en cuatro partes, ahí más o menos, pues este sería el uno. Z igual a uno, entonces se cree… Haría más o menos un círculo como por aquí. |
| … | |
| E6: | Pues sería todo lo del conjunto de puntos que se encuentran en esta traza, donde el radio, cuando, bueno en la coordenada, en este caso sería para cuando 𝑍 vale uno, esto sería cuando 𝑍 vale uno, y serían todos los conjuntos de puntos que estén en la circunferencia. |
En suma, se identifica que en el tránsito desde AA-SC hacia SG-SC se incorporan los elementos matemáticos articuladores: ecuación general - transformación algebraica - ecuación estándar - parámetros - simetrías - sustitución - ecuación de dos variables - parámetros - simetrías - curva de intersección; mientras que desde SG-SC hacia AA-SC los articuladores que se reconocen son: forma de la superficie - transformaciones gráficas - fórmula de la ecuación estándar - parámetros - sustitución - ecuación de dos variables - parámetros - ecuación estándar. Estos elementos matemáticos en las aproximaciones iniciales al comparar las gráficas y ecuaciones con las que se les propone trabajar incluyen articuladores tanto del modo SG-SC como del modo AA-SC (tabla 3), que interactúan para interpretar la información que se percibe en los primeros acercamientos a la comprensión del concepto de SC.
Por otra parte, desde el modo SG-SC hacia AE-SC los elementos articuladores que se registran son: proyección - plano en el espacio - variabilidad de puntos en el espacio - traza - variabilidad de trazas, y desde el modo AA-SC hacia AE-SC se identifican los articuladores: sustitución - ecuación de dos variables - parámetros - proyección - plano en el espacio - variabilidad de puntos en el espacio - traza; de donde se advierte que en los tránsitos hacia AE-SC los articuladores comunes que se involucran son: proyección, plano en el espacio y variabilidad.
4.2. Dificultades en el modo de pensamiento AA-SC o SG-SC y su implicación para el modo AE-SC
Respecto a los estudiantes que presentan dificultades para trabajar en los elementos que describen el modo de pensar SG-SC o AA-SC, se reconoce que no abordan el modo de pensar AE-SC, al evidenciar las siguientes rutas cognitivas: SG-SC → AA-SC Insuficiente → AE-SC Falso y SG-SC Insuficiente → AA-SC → AE-SC Falso.
Como se señala en la tabla 2, la intención de la actividad A4 es verificar los posibles tránsitos desde el modo AA-SC hacia el modo AE-SC. En esa actividad se solicita representar en el espacio tridimensional la superficie cuadrática con ecuación
| E2: | [Anota en el GeoGebra la ecuación para obtener la gráfica] Pues ese es un elipsoide. Entonces en un elipsoide con un plano en 𝑌, es igual a 𝑌, igual a uno [dibuja en GeoGebra el plano 𝑦 = 1]... (figura 10) |
| Ok. La curva… intersección… entonces ahí sí creo que tenemos que describir esta figura que está aquí. Es una elipse. Aquí ya podemos identificar que es un elipsoide, así que la ecuación estándar sería 𝑋 al cuadrado más 𝑌 cuadrada, más 𝑍 al cuadrado igual a cuatro, digo, igual a uno, sobre A, sobre [ininteligible], sobre 𝐶 cuadrada. Ok. Esto igualada a uno. Este es igual a cuatro, significa que esta ecuación estándar fue multiplicada por cuatro para que diera esto. Entonces todo esto se multiplicó por cuatro y para sacar los valores de a, b, y c […]. Más bien como estos son dos, se debió de haber sido dividido por cuatro porque ese es el único que no tiene un coeficiente aquí al lado, que sería el dos, por lo tanto, 𝑍… 𝐶 es el que debe de valer dos y el cuadrado sería cuatro. Entonces, para eliminar este cuatro se multiplicó todo por cuatro y también este, entonces… esa es la figura que hice, ¿edá? aquí. [Murmura, ininteligible] |
De esta manera, E2 identifica únicamente uno de los parámetros de la ecuación estándar, por lo que que transita a un modo AA-SC Insuficiente. Luego, sustituye que
Asimismo, a partir de las simetrías que percibe, E2 dibuja un cilindro elíptico y señala que a lo largo del cilindro “
Y
vale uno” porque es constante, es decir, no identifica que la traza se ubica en la intersección de la superficie con el plano
| E2: | Esta es la superficie cuadrática, esta es la intersección del plano 𝑌 igual a uno con esta superficie, nada más que yo la estoy proyectando en toda esta parte, pero pues es lo mismo porque 𝑌 vale uno en toda esta parte. 𝑌 es constante, por lo tanto, pues es una proyección de todo esto y aquí sería el plano… Bueno es que no sé cómo hacer el plano… ese sería el plano [traza en la figura el plano |
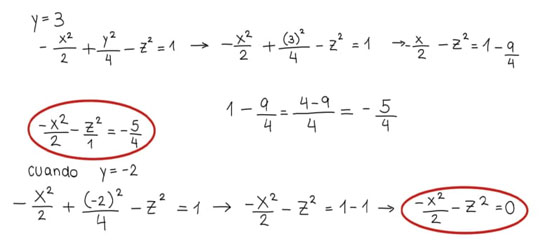
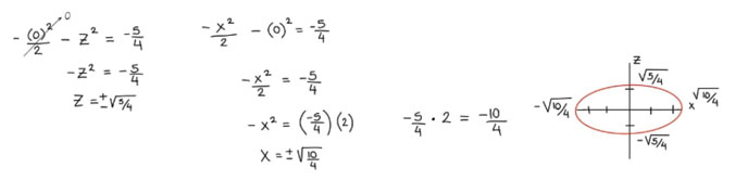
Por otra parte, en la actividad A1 se presentan dos gráficas de un mismo hiperboloide de dos hojas junto con su ecuación estándar
Posteriormente, durante la entrevista a E4, dibuja de nuevo sin dificultad la elipse y el punto que representan las intersecciones en el hiperboloide de la izquierda de A1 y no logra ubicar las hipérbolas correspondientes en la gráfica de la derecha de A1, por lo que se solicita argumentar sus respuestas. El estudiante utiliza la ecuación estándar que se presenta en la instrucción de la actividad para señalar que si se sustituye primero
Así mismo, E4 sustituye en la ecuación de dos variables de la elipse
Respecto a la intersección de los planos
| Entrevistador: | ¿Y cuál es el plano 𝑍 igual cero? |
| E4: | O sea, simplemente no habría nada. Ah, no, pérame. Si… es que no me acuerdo cómo lo hice… Ah, ya, ya perdón. Eh, pues simplemente quedaría en el plano, este, 𝑋𝑌, serían estos… ¿cómo se dice? Todos los puntos que pasa en esta intersección ¿sí? (dibuja el plano |
| Entrevistador: | ¿Cómo sería la curva de intersección? |
| E4: | Ahm… ¿Cómo? |
| Entrevistador: | Tú dices que este es el plano |
| E4: | ¿Qué figura da? |
| Entrevistador: | Ajá. |
| E4: | Creo que era una parábola. |
| Entrevistador: | Entonces ¿esa es la forma tendría ese conjunto de puntos donde el hiperboloide de dos hojas, intercepta a Z igual a cero y a Z igual a dos? |
| E4: | Ok. Entonces ¿lo dibujo o cómo? |
| Entrevistador: | Sí, puedes dibujarlo. |
| E4: | Es que no te entiendo. |
| Entrevistador: | Tú dices que la curva es un ¿qué? |
| E4: | Es una elipse. Bueno, es… Bueno es, es que como son dos, es una hipérbole. |
| Entrevistador: | ¿Una hipérbole? |
| E4: | Ajá. |
| Entrevistador: | Si así se ve el plano Z igual a cero, ¿cómo se ve aquí la figura que se forma?… |
| E4: | Aquí intercectan los puntos que vienen en esta área. |
| Entrevistador: | Exactamente. Entonces ¿cómo puedes expresar esa intersección de manera gráfica? |
| E4: | Sería todos estos… como un plano, sería así, interceptan esto y todo este es la, la intersección, ajá. |
| Entrevistador: | Y entonces esa intersección en particular con el hiperboloide de dos hojas ¿cuál es exactamente esa intersección del plano con el hiperboloide de dos hojas? |
| E4: | ¿Cuál es el plano? |
| Entrevistador: | Ya dibujaste el plano, tienes el hiperboloide de dos hojas ¿cuál es la intersección entre ambos? |
| E4: | ¿La elipse? No, la hipérbole, perdón |
| Entrevistador: | Ajá |
| E4: | Dependiendo, sería cuando… Es la parte más abierta de las… ¿cómo se llama? Del hiperboloide de dos hojas. (remarca en la figura los extremos del plano dibujado |
| Entrevistador: | Ok. |
| E4: | Es que me pongo nervioso. |
| Entrevistador: | No, no te preocupes, está bien, tú tranquilo. |
| E4: | Y cuando 𝑍 vale igual a dos, simplemente sería más chica la, la hipérbola, sería en este caso aquí, entonces interceptarían en todos estos planos, o sea esto es como iría, en todos estos valores. Bueno sería más en la parte más arriba, sería más chica la hipérbole. (dibuja el plano |
Por lo tanto, en el contexto del análisis anterior, se advierte que si se privilegia el modo de pensamiento SG-SC y no se presentan los elementos matemáticos articuladores: sustitución - ecuación de dos variables - parámetros en el tránsito hacia el modo AA-SC, entonces el modo de pensar AE-SC no se alcanza y así mismo, si se restringe el modo de pensamiento SG-SC, posiblemente a ciertas formas, entonces el tránsito hacia el modo AA-SC no es posible, como se verifica en el caso del estudiante E4, quien incorpora los articuladores: sustitución - ecuación de dos variables - valores de variable - simetrías - parámetros únicamente en caso de haber percibido inicialmente la forma de las curvas de intersección. Por lo tanto, aunque el pensamiento sintético resulta necesario para establecer una aproximación intuitiva a la noción de SC, este no es suficiente para lograr transitar al reconocimiento estructural de las propiedades del concepto de SC.
4.3. Tránsitos desde AA-SC → SG-SC y dificultades para alcanzar el modo AE-SC
La ruta cognitiva AA → SG → AE Insuficiente se presenta cuando el estudiante E1 responde la actividad A5, en la que se solicita transformar la ecuación
Luego, E1 en la figura 18 propone cuatro diferentes puntos en el espacio y verifica mediante una sustitución que sus coordenadas satisfacen a la ecuación estándar del hiperboloide (puntos que pertenecen al hiperboloide pero que no están graficados y tampoco se explica de qué forma se obtienen). Después E1 considera los valores correspondientes a la coordenada de estos puntos y los sustituye en la ecuación estándar para establecer ecuaciones de dos variables, con las que dibuja algunas trazas del hiperboloide, aunque no representa en la gráfica las cuatro ecuaciones propuestas, sino que ubica dos de ellas y no obtiene la ecuación de una de las trazas que grafica correspondiente al plano
En consecuencia, a diferencia de los estudiantes E2 y E4 que presentan restricciones respecto a los modos de pensar SG-SC o AA-SC, el estudiante E1 articula ambos modos de pensamiento, y en particular involucra los elementos matemáticos: sustitución - ecuación de dos variables - parámetros, no obstante, en el tránsito hacia el modo de pensar AE-SC se advierte que los argumentos que expone no presentan en todos los casos una correspondencia entre lo sintético y lo analítico, y no se incorpora el elemento articulador variabilidad, lo cual restringe el paso para llegar al modo de pensar AE-SC.
5. CONCLUSIONES
Aunque en general los reportes que anteceden a este trabajo explican la construcción de las funciones de dos variables (Kashefi et al., 2013; Martínez-Planell & Trigueros, 2013, 2019, 2021; Şefik & Dost, 2020; Weber & Thompson, 2014), este estudio se distingue por profundizar en los tránsitos entre los modos de pensar las SC -prerrequisito curricular de dichas funciones- por parte de estudiantes que resuelven situaciones matemáticas propuestas, poniendo de relieve los elementos matemáticos que ellos evocan en su resolución.
Los hallazgos del estudio indicaron que el tránsito entre los modos SG-SC ↔ AA-SC resulta indispensable en los primeros acercamientos en la comprensión del concepto en estudio, y se logra al identificar los elementos matemáticos: transformaciones gráficas/algebraicas, ecuación estándar, parámetros, sustitución, ecuación de dos variables, simetrías y curva de intersección, como se muestra en la figura 19; mientras que la transición a la interpretación estructural del concepto requiere un pensamiento variacional mediante el cual, conjuntos de puntos ubicados en el espacio tridimensional se proyectan en un plano para configurar las trazas que constituyen a las superficies cuadráticas, es decir, la comprensión de estos elementos matemáticos representados en el espacio (modo AE-SC), se favorece cuando intervienen de manera conjunta los elementos articuladores: proyección - plano en el espacio - variabilidad.
De manera específica, la evidencia mostró que la variabilidad es un elemento matemático indispensable para alcanzar el modo AE-SC, para lo cual el GeoGebra mostró un rol importante en su reconocimiento. Lo anterior, debido a que la interacción con el entorno gráfico-algebraico del software permitió a los estudiantes percibir la variabilidad relacionada con el concepto, lo cual es difícil comunicar a través de un argumento observable si solo se trabaja con lápiz y papel. Así mismo, en concordancia con los resultados reportados en el trabajo de López-Vega (2018), el uso del GeoGebra favoreció el tránsito entre los modos SG-SC y AA-SC, para relacionar la ecuación de las superficies con las orientaciones de sus gráficas (transformaciones gráficas - fórmula de la ecuación estándar) y para reconocer cómo afectan los parámetros de la ecuación a la superficie (ecuación estándar - parámetros - simetrías).
Por otra parte, los estudiantes que privilegiaron exclusivamente alguno de los modos de pensamiento SG-SC o AA-SC, no llegaron al modo de pensar AE-SC.
Por ejemplo, de manera análoga a los resultados reportados por Trigueros y Martínez-Planell (2010), los datos de esta investigación mostraron que una tendencia al modo SG-SC produce un obstáculo para poder articular los modos SG-SC y AA-SC, debido a que si se enfoca la atención exclusivamente en las formas y simetrías de las superficies cuadráticas y de las curvas de intersección, solo es posible realizar una aproximación intuitiva a la noción; por lo que se debe de prever que los estudiantes que privilegian este modo podrían limitarse a un reconocimiento visual y no estructural del concepto de superficies cuadráticas.
Aunque también, los resultados mostraron que el modo de pensar SG-SC resulta imprescindible en la comprensión de las superficies cuadráticas; y es que si se restringe este modo, posiblemente a ciertas formas, entonces el tránsito hacia el modo AE-SC tampoco se alcanza, debido a que no se perciben las formas gráficas. Como consecuencia de esto último, no es posible incorporar los elementos matemáticos: sustitución - ecuación de dos variables - parámetros, necesarios para articular al modo AA-SC en el proceso de comprensión del concepto. Al respecto, se sugiere que en las actividades didácticas, creadas para explorar en el GeoGebra las características de las superficies cuadráticas, se incluya el análisis de trazas de diferentes curvas cónicas y no solo con formas elípticas.
Desde un punto de vista metodológico y práctico, la descripción de la comprensión de las SC por parte de estudiantes universitarios, a través de la relación entre elementos matemáticos articuladores de diferentes formas de ver el concepto, ofrece una referencia útil para los profesores de matemáticas con el fin de aclarar el diseño y orientación de los esfuerzos de enseñanza y evaluación del tema.
Futuras investigaciones podrían focalizarse en confirmar los hallazgos que surgen en este trabajo, a través de un estudio de corte cuantitativo en el que los resultados que aquí se presentan se utilicen como hipótesis para contrastar un grupo control con instrucción tradicional y uno experimental, que sea expuesto a una experiencia de aprendizaje que involucre la exploración de los elementos matemáticos articuladores de los modos de pensar las SC antes descritos.










nova página do texto(beta)































