1. INTRODUCCIÓN
Los talleres de optimización, concebidos desde una perspectiva lúdica, han demostrado ser herramientas efectivas en la didáctica de las matemáticas para una variedad de audiencias. Su aplicación en entornos virtuales cobró relevancia, especialmente a partir de la pandemia de COVID-19, tal como señala Malaspina Jurado (2021) al implementar talleres virtuales de optimización para resolver problemas de geometría. Investigaciones previas han explorado la creación de recursos didácticos digitales para aprender matemáticas, así como el uso de la tecnología digital para fomentar la visualización y resolver problemas matemáticos por parte de los profesores (Costa et al., 2010; Villamizar Araque et al., 2018). En un estudio reciente sobre el futuro de la investigación en educación matemática antes y después de la pandemia por COVID-19, realizado a partir de una encuesta a nivel internacional, Bakker et al. (2023) establecen el interés por “rediseñar los enfoques de enseñanza, usar la tecnología, trabajar en una evaluación más justa y ayudar a los estudiantes a obtener acceso, confianza, desarrollar interés o incluso amor por las matemáticas” (p. 15).
Este artículo estudia cómo los adolescentes que participan en talleres de resolución de problemas lúdicos, aplicando la optimización, perciben esta experiencia de aprendizaje informal en modalidad virtual durante la pandemia por COVID-19. Estas instancias suelen recibir evaluaciones positivas y son altamente solicitadas por la comunidad escolar (Devia y Weber, 2012). La experiencia aquí estudiada se ha desarrollado en Chile desde el año 2009 de forma presencial en un centro universitario de investigación en ingeniería. Cada año participan aproximadamente 800 estudiantes de secundaria en una jornada de trabajo que dura de seis a ocho horas y sus profesores de matemáticas asisten a capacitaciones. Hasta el año 2022, más de 10 mil adolescentes de diversas regiones de Chile participaron en estos talleres, organizados en diferentes universidades. Los objetivos fundamentales de los talleres son fomentar el aprendizaje de las matemáticas de una manera atractiva y efectiva para los adolescentes. Todo ello, buscando promover la comprensión y aplicación de conceptos matemáticos a través de la resolución de problemas prácticos y, así, estimular el pensamiento crítico y creativo. Este enfoque busca lograr una conexión entre la teoría matemática en el aula y su relevancia en la vida cotidiana de los estudiantes.
La pandemia COVID-19 obligó a reformular drásticamente la actividad, pasando de ser presencial en un formato de jornada completa por un día, a una modalidad remota - mixta (sincrónica y asincrónica) con 2 a 3 horas de duración por Classroom y Zoom durante el año 2020. Ello debido a la suspensión de clases presenciales y al estado de cuarentena decretado en el país, a partir de marzo de 2020 y que en Chile se extendió por casi 2 años.
Frente al ajuste de formato y tiempo, además, se debieron adecuar algunos materiales y actividades. Sin embargo, con la finalidad de mantener el uso de material tangible, que siempre fue bien evaluado en las encuestas de los talleres presenciales, se envió el material (impreso sencillo) a las casas de los estudiantes y/o al colegio.
2. FUNDAMENTACIÓN TEÓRICA
En los últimos años, las investigaciones sobre el impacto de los talleres de ciencias dirigidos a los adolescentes han tendido a dar un mayor espacio a su participación activa, a considerar sus voces y a emplear distintas estrategias didácticas que no se restringen necesariamente al ámbito formal de los procesos de enseñanza-aprendizaje (Ballard et al., 2017; Bonney et al., 2015; De Hosson et al., 2019; Kompella et al., 2020). Si bien lo anterior puede considerarse un avance, el alumnado enfrenta variadas dificultades para aprender matemáticas. Una de las problemáticas de la educación matemática, en particular en el ámbito de la optimización, es que “en una gran mayoría de casos el profesor de matemáticas no ha sido formado de manera adecuada para orientar las sesiones de resolución de problemas con sus alumnos” (Malaspina Jurado, 2004, p. 931).
Gil- Quintana y Malvasi (2022) afirman que en el caso de los adolescentes en el contexto italiano se suman: una actitud negativa hacia las matemáticas, el problema de la calidad general de la oferta educativa de las instituciones de educación y la formación profesional de los y las docentes. Otros estudios sostienen que los estudiantes no se sienten interesados por la matemática, “o, incluso, muestran una cierta antipatía hacia su aprendizaje, teniendo en cuenta que las matemáticas son útiles y necesarias para la vida, por ello deben estar pensadas para todos, y no sólo para aquellos a los que más les gustan o sienten más atracción por ellas” (García-Mejía y García-Vera, 2020, p.165). En esta línea Aguilera y Perales (2018), definen que la enseñanza de las ciencias requiere que los docentes empleen herramientas atractivas y bien utilizadas para lograr una motivación en el aula.
El sesgo cultural de género es otra variable relevante a considerar en los estudios sobre el aprendizaje de la matemática y las ciencias exactas entre los adolescentes, al igual que en el diseño de las intervenciones didácticas. Dicho sesgo se erige como una barrera social, familiar y educativa, en particular para las estudiantes (Vernal-Vilicic, et al., 2019) y se deriva “de las creencias estereotipadas de género mantenidas y transmitidas, entre otras, en las instituciones escolares, y asumidas por el alumnado adolescente” (Colás Bravo y Villaciervos Moreno, 2007, p. 39). Numerosos estudios profundizan el sesgo de género, de la raza y de la etnia en el aprendizaje de las matemáticas, como la investigación de Riegle-Clum y Humphries (2012), Carlana (2019) y Leder (2019) en el caso de las percepciones de los profesores sobre sus alumnos, a las que se suman las creencias de los padres (Gundeerson et al., 2012) y de los mismos adolescentes en torno a su autoconcepto y capacidad de logro (Vicent et al., 2015; Heider et al., 2021).
2.1 Necesidad de adaptar la didáctica de la matemática durante la pandemia de COVID-19
La pandemia de la COVID-19 obligó a los docentes a adaptarse a nuevos modelos y prácticas educativas. Esta necesidad puede considerarse una oportunidad de innovación relevante en el ámbito del uso de las tecnologías (Carrascal et al., 2020), aunque se debe tener en cuenta las brechas de acceso digital relacionadas, que afectan las oportunidades de aprendizaje (Parker et al., 2020; Fitzpatrick Bishai, 2022). Según Barlovits et al. (2021), “los maestros de matemáticas tuvieron que establecer reglas, implementar procedimientos y tomar decisiones didáctico-metodológicas sobre cómo manejar esta nueva situación” (p. 1). En cuanto al uso de la tecnología para enseñar matemáticas, según Sánchez (2020), este debe ayudar a su propia naturaleza y proceso, que se caracteriza por ser “concreto, gráfico y abstracto. Las herramientas digitales deben ayudar a seguir ese proceso a fin que el estudiante pueda interiorizar y comprender el porqué de los temas en el área” (p. 54).
Desde la perspectiva de la didáctica de las matemáticas, Llinares (2021) repasa veinte casos y dos reflexiones en torno a adaptaciones de la enseñanza de las matemáticas en catorce países de las Américas acaecidas en este con-texto de emergencia sanitaria global. Los agrupa en cuatro categorías: generación y uso de recursos, formación de profesores, relación familia-escuela y adaptación de las actividades extracurriculares. Infiere tres implicaciones de esta dinámica social y tecnológica imprevista: 1) Usar tecnologías digitales para mantener la comunicación genera nuevas formas de pensar y representar las matemáticas y, sobre los contextos de su aprendizaje; 2) Se generan nuevas iniciativas en la formación inicial de profesores como respuesta a su necesidad de capacitación tecnológica y 3) La necesidad de tener en cuenta cuestiones de equidad y de justicia social en hacer llegar la educación matemática a todos. El paso a las actividades formativas en modalidad remota hizo posible desterritorializar la educación matemática de la escuela y pensar nuevas formas de crear y de implementar su didáctica, con las complicaciones y negociaciones a las que profesores, padres y familias se vieron enfrentados, en un contexto de cambio imprevisto y forzado (Tamayo Osorio y Tuchapesk da Silva, 2020). La revisión sobre distintos estudios en torno a actividades de aprendiza-je activo de las matemáticas realizada por Soto-Meza et al. (2022) sugiere que los talleres de resolución de problemas en los que los niños y niñas son más activos y se sienten motivados, tienen mejores resultados.
Al respecto, Malaspina Jurado (2004) sostiene que trabajar con problemas de optimización “es una excelente oportunidad para estimular el desarrollo del pensamiento matemático - examinar diversos casos, considerar situaciones particulares, hacer representaciones gráficas, abstraer, formalizar, conjeturar y demostrar, buscar contraejemplos, pensar en la existencia de soluciones, plantearse generalizaciones, prever nuevas dificultades, etc.” (p. 931).
3. CONTEXTO DE LOS TALLERES
Dentro de los objetivos del taller se esperaba que las y los estudiantes pudieran, a través de esta actividad, desarrollar habilidades de comunicación, resolución de un problema de optimización y reconocer la construcción de un algoritmo computacional en planilla de cálculo, mediante un problema basado en el diseño de dos planas de un diario.
3.1 Descripción del Taller Optimización en el diseño de un diario
Este taller buscó que las y los participantes comprendieran la utilidad del modelamiento matemático y de las herramientas computacionales para resolver problemas reales, optimizando a través de actividades de programación lineal.
El taller tuvo 2 etapas, durante mayo y octubre del año 2020: 1) Asincrónica, a través de la aplicación Classroom, y otra 2) Sincrónica, mediante una sesión de 2 horas, vía Zoom.
1) Sesión asincrónica: indagación “Actividad del diario”
Las personas participantes recibieron una semana antes de la actividad sincrónica, por correo físico, un set con los materiales necesarios para la actividad de indagación (cartulina y hojas impresas con noticias y publicidades para recortar); mientras que en la plataforma podían ver las instrucciones de esta primera actividad en un video.
Con los materiales tenían que doblar la hoja de cartulina por la mitad, simulando 2 planas de un diario (figura 1) y pegar las noticias y publicidades que debían recortar del material impreso enviado. Cada artículo contenía un valor asociado y un espacio definido para poner los recortes. Este último no era suficiente, por lo que los estudiantes debían decidir qué poner y qué no, con el objetivo de optimizar la ganancia. Al terminar de pegar los artículos, en su diario, tenían que sumar los valores y así conocer su ganancia exacta obtenida (Devia y Wever, 2012).
Además, se les pidió dibujar una portada y darle un nombre creativo a su diario, en una de las hojas exteriores de la cartulina (figura 1). Aunque es evidente que una de ellas obtiene una puntuación más alta, el objetivo principal no es resaltar los resultados, sino fomentar la diversidad de respuestas y la variedad de puntajes que los estudiantes pueden encontrar.

Fuente: Elaborados por participantes de talleres en octubre de 2020.
Figura 1 Ejemplos de las páginas diseñadas por los participantes de 16 años de edad. A la izquierda, propuesta del interior del diario con los recortes seleccionados y pegados; a la derecha, dos ejemplos del exterior del diario con sus portadas creativas.
El resultado del diario tuvo que ser presentado a los demás participantes por medio de la plataforma Classroom, los cuales fueron mostrados en la sesión sincrónica. Así, los y las estudiantes, descubrieron la complejidad que puede tener diagramar una pequeña sección de un diario y lo que implica realizarlo manualmente. Además de comenzar a experimentar con el concepto de optimización, a través de una actividad de indagación.
2) Sesión sincrónica por plataforma Zoom. Construcción de patrones
Los y las participantes se conectaron a una sesión, vía Zoom. Esta instancia fue dirigida por monitores (estudiantes de ingeniería que han sido previamente entrenados) y contó con la presencia del profesor de matemáticas que les inscribió en el taller.
Para iniciar, se realizaron algunas preguntas de introducción al tema de la optimización y se conversó respecto de lo fácil/difícil que resultó hacer calzar los artículos en las dos planas del diario. Además, se dieron a conocer los diarios subidos a Classroom y se reconocieron los que obtuvieron la más alta ganancia, es decir, los que sumaron mayor puntaje total. También se realizó una votación (donde todos participaron, a través de un formulario en línea) para reconocer a la portada más creativa.
En esta sesión, los adolescentes desarrollaron una segunda indagación, un poco más concreta. Se les presentaron 3 tipos de artículos (figura 2), con valor y forma, con los que debían construir los 5 óptimos patrones (figura 3), tomando en cuenta la ganancia.
Luego se le asignó el valor asociado a la suma de los artículos y pudieron trabajar con estos, dependiendo de la cantidad de artículos disponibles.

Fuente: Elaborado por el equipo ejecutor del taller.
Figuras 2 y 3 Modelo visual de 3 tipos de artículos y sus valores.
Posteriormente, se les presentó un nuevo problema. En este tuvieron que realizar, basándose en una cantidad limitada de artículos, los 5 óptimos patrones que generaban la mayor ganancia. Las variables fueron cambiando hasta el punto en que fuera imposible calcular los valores, dibujando patrones o números que los representaban.
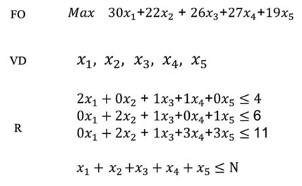
3.2 Formalización del modelo
Durante esta etapa del taller, los participantes fueron divididos en grupos con un rango de 10 a 20 personas y distribuidos en salas privadas de Zoom. El objetivo principal de esta instancia fue guiarlos hacia la comprensión y la construcción de las restricciones, que son esenciales en un problema de programación lineal.
El proceso comenzó con el análisis de las restricciones asociadas a los artículos y patrones del problema. Para lograr esto, se les proporcionó a los participantes una tabla que representa la cantidad de artículos requeridos para cada tipo de patrón, tal como se muestra en la figura 4.

Fuente: Elaborado por el equipo ejecutor del taller
Figura 4 Cuantificación de artículos por patrón armado y ejemplo de cálculo, al construir un patrón por tipo
Para asegurar la comprensión de este concepto, se proporcionó un ejemplo ilustrativo. De esta manera, al construir un patrón de cada tipo, los participantes se dieron cuenta de que necesitaban 4 artículos del tipo 1. Este cálculo se realizó sumando los productos de las cantidades requeridas y los valores en la tabla, tal como se muestra a continuación:
La figura 4 ayudó a visualizar cómo se cuantificaban los artículos por patrón y proporcionaba un ejemplo concreto de cómo llevar a cabo este cálculo. A medida que avanzaba el taller, entonces, los participantes comenzaron a conectar los puntos entre la tabla y la formulación de restricciones en un problema de programación lineal. Se les alentó a asignar variables (Xn) a cada patrón y a sumar las filas para determinar si se excedían de las restricciones establecidas o no. Por ejemplo:
Este proceso de construcción de restricciones fue fundamental para derivar los elementos claves de un problema de programación lineal, que incluyen la función objetivo, las variables de decisión y las restricciones, tal como se ilustra en la figura 5. Esta secuencia de actividades permitió a los participantes desglosar y comprender cómo llegaron a formular las restricciones, un paso crucial en el proceso de resolución de problemas de programación lineal.
3.3 Extensión computacional
Se les muestra a los y las estudiantes las potencialidades de la planilla de cálculo en conjunto con el complemento Solver, el que sirve para resolver problemas de optimización; en este caso, resolver el problema de los patrones.
Las y los monitores construyen, en una planilla de cálculo, los distintos elementos del problema (figura 6) y calculan mediante Solver, los resultados de la función objetivo sin necesidad de volver a calcular los valores. Simplemente, cambian los parámetros y hacen “correr” el algoritmo de Solver para obtener la solución, sin importar lo grande de los valores.

Fuente: Elaborado por el equipo ejecutor del taller
Figura 6 Planilla de cálculo que se le entrega al participante con fórmulas ingresadas para calcular solución, a través de complemento Solver
Ya terminada la extensión computacional, los monitores realizaron preguntas respecto a ¿Qué entienden, ahora, por optimización? y ¿Para qué sirven estos modelos?
Luego, llevaron a cabo un repaso de los distintos momentos del taller (indagación, modelamiento y extensión computacional) y cómo fueron desarrollados a lo largo de este, complejizando el problema inicial.
Por último, al finalizar la sesión se generó una instancia de reflexión para que las y los estudiantes pudieran comentar sobre sus apreciaciones y aprendizaje en relación a la optimización.
4. METODOLOGÍA
En dicho contexto, el taller de optimización matemática impartido en una universidad chilena a adolescentes de manera presencial se vio enfrentado a la necesidad de repensar su aproximación didáctica, para responder a las condiciones de confinamiento de los profesores y de los estudiantes y de un proceso de aprendizaje en línea. Ello implicó una aproximación innovadora hacia la actividad, así como su adaptación a una modalidad B-learning, en la que los adolescentes participantes debieron aplicar aprendizajes de optimización matemática al diseño de un periódico. Se consideró relevante y necesario conducir una investigación con enfoque mixto con ejecución secuencial para conocer las apreciaciones de los y las estudiantes que participaron en esta actividad. Para ello se buscó analizar cuál es la percepción que tienen los niños y las niñas participantes del taller sobre el aprendizaje recibido. Asimismo, se quiso conocer qué entienden por el concepto de optimización, una vez desarrollada la actividad.
4.1 Instrumentos de recolección de datos
En primer lugar, se aplicó una encuesta a 102 participantes, diseñada especial-mente por el equipo de investigación considerando el nuevo contexto de crisis sanitaria en el que se realizó el taller de optimización en modalidad B-Learning. Una vez analizada la encuesta de 26 preguntas, se procedió a conducir un grupo focal vía Zoom (Hernández, et al., 2010; Hernández, et al., 2022). De acuerdo con Martínez- Sierra y Olea- Uribe (2021), los grupos focales a través de las plataformas virtuales conducidos durante la pandemia con adolescentes, permitieron posicionar sus voces y es una técnica que hace posible “recuperar ideas, informaciones y conocimientos” (p. 78) expresadas por ellos.
Para la recogida de datos inicial se utilizó una encuesta de satisfacción, más detallada en comparación a la realizada en años anteriores, junto a sus respectivos consentimientos y asentimientos según las normas éticas de la institución que imparte el taller. Dicho instrumento, aplicado en noviembre de 2020, estuvo compuesto por 26 preguntas divididas en 5 ítems donde se abordaron:
I) Antecedentes sociodemográficos de cada estudiante, II) Motivaciones sobre la realización de un taller online, III) Facilidades y complejidades de la actividad asincrónica, IV) Facilidades y complejidades de la actividad sincrónica y, finalmente, V) Apreciaciones en relación al concepto de optimización, contenidos y aprendizaje del taller realizado.
Para las preguntas sobre percepción y motivación se utilizaron la escala de Likert y alternativas, donde se obtuvieron porcentajes según el total de participantes. En cuanto a la variable de género, los resultados también fueron calculados en relación a la cantidad de hombres y mujeres. En el caso de las preguntas sobre la apreciación del concepto de optimización, se utilizó una pregunta abierta con la finalidad de decodificar y analizar las percepciones de los participantes (Gibbs, 2012).
En una segunda etapa, a partir del análisis de los resultados de la encuesta se elaboró la pauta de preguntas para el focus group en modalidad online, con el objetivo de profundizar en la comprensión de las apreciaciones de los y las participantes jóvenes, quienes se apoyaron con ideas durante la discusión (Horner, 2000; Krueger y Casey, 2009). Dicha pauta estuvo compuesta por 21 preguntas abiertas, divididas en 4 ítems donde se abordaron: I) Futuro profesional y concepto de optimización; II) Percepción sobre las actividades sincrónicas y sus contenidos; III) Percepción sobre actividades asincrónicas y sus contenidos; IV) Información complementaria.
El focus group, aplicado en noviembre de 2020, realizado a través de una plataforma en línea, tuvo una duración aproximada de 60 minutos, donde se priorizó la interacción de los y las adolescentes desde la conversación que se fue generando durante la aplicación de la pauta (Onwuegbuzie et al., 2009).
Las respuestas fueron analizadas y codificadas, en la medida que se fue resol-viendo el consenso de los y las participantes (Salinas y Cárdenas, 2008).
4.2 PARTICIPANTES
Participantes de la encuesta
Respondieron a la encuesta, vía online, un total de 102 adolescentes que corresponden al 71% de todos los participantes del taller de optimización. En cuanto al género, la muestra se dividió en 52 hombres, 48 mujeres y 2 sin definir. La edad promedio de los/as encuestados/as estuvo entre los 13 y 19 años de edad, lo que considera a estudiantes de la educación media chilena, a excepción de un participante de educación básica.
En cuanto al lugar geográfico de residencia de los y las encuestados/as este se centró, principalmente en las zonas centro y sur de Chile.
Participantes del grupo focal en línea
En el focus group, participaron 10 adolescentes que asistieron al taller de optimización y que fueron invitados por sus respectivos profesores. La asistencia (online) fue bajo un asentimiento y un consentimiento informado. Dada la voluntariedad para participar en el estudio y a que no se incluyó como criterio igual distribución por género, participaron 8 mujeres y 2 hombres entre los 14 y 18 años de edad. A pesar de que el focus group tuvo una participación mayor de mujeres, esto no incidió en los resultados. Todo ello considerando que la encuesta analizada, primeramente, no presentó notorias diferencias por género en sus respuestas.
En relación al lugar geográfico de residencia, correspondió a diversas localidades de la zona centro de Chile entre ellas la Región Metropolitana y Región de Valparaíso.
5. RESULTADOS
5.1 Actividad asincrónica. La posibilidad de trabajar desde casa y manejar los tiempos
Las y los participantes de la encuesta consideraron que la actividad asincrónica, vía Classroom y sin monitores en vivo, habría tenido como aspectos positivos principalmente la posibilidad de realizar trabajo manual (cortar, seleccionar y pegar) (18%), manejar sus tiempos para desarrollar la actividad (17%) y recibir materiales en casa (17%). Estos elementos se consideraron como promotores del pensamiento matemático y fueron apreciados tanto por hombres como por mujeres, aunque las preferencias varían ligeramente según el género, tal como se aprecia en la figura 7.

Fuente: Elaboración propia
Figura 7 Gráfico de preferencias de la actividad asincrónica, según género
Sin embargo, algunas opciones como usar la plataforma Classroom (4%), trabajar en solitario (6%) y compartir la foto del producto finalizado (7%), fueron las menos preferidas para la actividad asincrónica.
Al profundizar en el grupo focal sobre el efecto positivo percibido por los participantes de recibir materiales en casa junto con realizar trabajo manual (cortar, seleccionar y pegar), seleccionadas como opciones preferenciales en la encuesta, reconocen que la importancia se debe a que lograron obtener algo tangible, después de tantas actividades online. Asimismo, este habría sido un factor motivacional importante para ser parte del taller de optimización.
Me emocionó mucho recibir material en casa. Saber qué era, recortar y todo el tema: me encantó. (E3)
La profe me había dicho que recibiría el material y que me lo iban a dejar a casa. Yo dije ‘oh, qué bacán"1 y eso me incentivó a estar en el taller. (E9)
Me encantó, porque no tengo impresora en casa, o sea tinta. He estado haciendo casi todos mis trabajos en el computador y paso todo el día en el ‘compu’ haciendo trabajos y cosas. Por eso había dejado un poco de lado las cosas manuales, porque nos han pedido pocos trabajos manuales. Entonces fue súper grato que llegaran las fotocopias. (E8)
Manejar los tiempos, también fue considerado como un efecto positivo de la actividad asincrónica, tanto en la encuesta (ver figura 7) como en el grupo focal, porque durante el desarrollo de los talleres se habrían tomado descansos y solucionado los errores con tranquilidad. No obstante, durante el focus group, se manifestó de forma consensuada el efecto complejo de trabajar en casa, producto de elementos distractores presentes en los espacios del hogar como, por ejemplo: presencia de integrantes de la familia, juegos o redes sociales, entre otros.
Dentro de las situaciones complejas de la etapa asincrónica, según la en-cuesta, lo que más habría dificultado el desarrollo de las actividades sería el proceso académico. En este sentido comprender las instrucciones de la actividad (15%) y no tener un monitor presencial (17%) estarían dentro de las opciones mayormente seleccionadas y que definen las dificultades de los y las participantes, existiendo una inclinación hacia las mujeres por esta alternativa. Esto se explicaría en el consenso del focus group, dado que las instrucciones del ejercicio práctico de la Actividad del diario no se habrían comprendido completamente en modalidad asincrónica y, por lo tanto, requerían un monitor guía in situ y ejemplos visualmente didácticos. Los y las estudiantes que participaron en la instancia cualitativa, coincidieron a modo de propuesta que una clase explicativa de la actividad habría sido la mejor opción para comprender fácilmente este ejercicio.
Por lo tanto, la implementación del taller de optimización promueve el pensamiento matemático al ofrecer a los estudiantes una oportunidad de trabajar en actividades prácticas, recibir materiales en casa y gestionar su tiempo. Sin embargo, también, les enfrentaría a desafíos relacionados con la comprensión de instrucciones en una modalidad asincrónica.
5.2 Actividad sincrónica. Motivación desde los guías y timidez en la virtualidad
En relación a la actividad sincrónica desarrollada, vía Zoom, la encuesta definió que tanto hombres como mujeres coinciden equitativamente en que el entusiasmo de los monitores fue lo que más les gustó (16%). Asimismo, el material didáctico presentado por las y los monitores (14%) y trabajar en grupo durante los talleres (14%) fue fundamental para llevar el proceso de forma positiva. La figura 8 expone, según género, las preferencias de los y las participantes durante la actividad sincrónica.

Fuente: Elaboración propia
Figura 8 Gráfico de preferencias de la actividad sincrónica, según género.
Para las mujeres, en tanto, el material didáctico presentado por los y las monitores del taller habría sido uno de los aspectos más importantes del mismo. Estos resultados se condicen con lo planteado en el focus group, donde se destacó la participación, entusiasmo y técnica de enseñanza de quienes guiaron el taller. Identificándose como uno de los efectos más atractivos del mismo.
La monitora que estaba hacía participar, como que motivaba y daba ejemplos. A mí me encanta eso, que den ejemplos para cuando uno quiere hacer algo. Con ejemplos yo entiendo. (E10)
Me gustó el ánimo a mí, que tenían los monitores. (E1)
Fue bastante entretenido, bastante didáctico, bastante como movido el taller. Las personas eran súper simpáticas, se daban el tiempo de preguntarnos, de hacernos partícipe, de informarnos también no solamente de qué era el taller, sino comentar-nos de su vida, lo que han hecho, lo que han estudiado. (E9)
Dentro de las mayores dificultades de las actividades sincrónicas indicadas por los y las participantes, tanto en la encuesta como en el grupo focal, fue participar y hablar en público frente a otros compañeros donde la tendencia estuvo hacia las mujeres. Esto se debió principalmente a la vergüenza, temor a equivocarse en sus respuestas, sensación de intimidación y a ser escuchadas por un gran grupo. No obstante, a ello, algunas integrantes del focus group reconocieron que fueron venciendo ese temor a medida que se adaptaban a la virtualidad.
A todos les da vergüenza prender las cámaras, con los micrófonos. O sea, yo en lo personal puedo tener todas las respuestas, pero me demoro como media hora en pensar si le digo o no a la profe. (E5)
Pero fue muy rara la sensación que tenía, como que me daba mucha vergüenza que me escucharan y en presencial como que tengo más confianza. (E10)
Siento que si estoy todo el rato respondiendo, como que va a incomodar a mis compañeros o van a empezar a decir cosas y me iba a intimidar demasiado, entonces prefiero mantenerme calladita. (E1)
5.3 Concepto de Optimización. Resolver, aprovechar, ganancia y eficiencia
Las y los participantes en el ítem final de la encuesta, respondieron una pregunta abierta orientada a la comprensión del concepto optimización según sus experiencias en el taller. Se pidió que dieran ejemplos y evitaran la búsqueda en Internet o libros sobre la definición del contenido. Fue así como, según la tabla 1, en relación a las frases de los y las estudiantes se definieron cuatro categorías emergentes que bajo un consenso identificaron la optimización principalmente como: Resolver, aprovechar, ganancia y eficiencia.
Tabla 1 Categorías emergentes para definir la interpretación de optimización a partir de definiciones elaboradas por los y las adolescentes
| Dimensión | Categoría | Definición |
|---|---|---|
| Optimización | Resolver |
Solución a problemáticas de manera eficiente y adecuada. |
| Aprovechar |
Utilizar los recursos eficazmente, sacando el mejor provecho posible. |
|
| Ganancia | Obtener recursos a bajo costo. | |
| Eficiencia | Desarrollar algo de manera fácil. |
Fuente. Elaboración propia.
Se definió la categoría Resolver como una “solución a problemáticas de manera eficiente y adecuada”, puesto que las respuestas de los y las estudiantes se centraron principalmente en reconocer la optimización como la solución rápida y práctica de problemas. Asimismo, en varias ocasiones, se relaciona esta categoría con la acción de resolver mediante las matemáticas, las estadísticas, las variables y la tecnología, como herramientas de organización, mejoramiento y solución.
La categoría aprovechar se definió como, “utilizar los recursos eficazmente, sacando el mejor provecho posible”. Esto, de acuerdo al consenso logrado en respuestas orientadas a la distribución eficaz, al uso óptimo de recursos y del tiempo. Incluso se presentaron ejemplos alusivos a la vida cotidiana, tales como ahorrar, optimizar y organizar el tiempo para estudios u horarios. Esta categoría se relaciona directamente con la ganancia, que fue interpretada como “obtener recursos a bajo costo”. Todo ello se manifestó en respuestas referidas a Actividad del diario, mencionada reiteradamente como una acción práctica que habría facilitado comprender la relación entre alta ganancia y menor uso de espacio, sin perder recursos. Es aquí donde los y las participantes abordaron concretamente con la monetización, la economía y los valores.
Fue la categoría eficiencia, en tanto, definida como “desarrollar algo de manera fácil”, debido a la interpretación de respuestas centradas en la definición de optimización como el uso óptimo del espacio para obtener un resultado más rápido y, además, maximizar la productividad. El concepto se describió, también, como la opción más sencilla o conveniente para ejecutar ciertas acciones o evitar problemas, mencionándose incluso frases como “tomar el camino más corto” y “simplificar la vida”.
La experiencia del taller de optimización realizado por adolescentes de Chile durante el confinamiento por COVID-19 puso de manifiesto que las actividades científicas en modalidad remota pueden ser atractivas. No obstante, desde la percepción de sus participantes, estas deberían ser siempre dinámicas y bien guiadas. Reflexión que coincide con lo planteado por Aguilera y Perales (2018), quienes consideran que la motivación, en el aula en un contexto presencial, dependerá de cuán atractivas sean las herramientas empleadas.
En esta misma línea, la posibilidad de recibir materiales tangibles en casa y realizar un trabajo didáctico, serían considerados efectos positivos de una actividad remota en formato asincrónico. Sin embargo, dentro de las necesidades, se habría hecho indispensable la presencia de un monitor para aclarar dudas o comprender mejor las actividades. El entusiasmo de las y los monitores, su acompañamiento activo y la realización de ejercicios dinámicos se revelaron como factores cruciales en la virtualidad, respaldando la idea de Soto-Meza et al. (2022), quienes sostienen que los talleres prácticos que involucran la resolución de problemas suelen obtener mejores resultados.
Desde la perspectiva de expresar su opinión, según las apreciaciones obtenidas en este estudio, hablar en público puede ser más intimidante a la hora participar en modalidad online. Esto debido a la vergüenza o miedo a equivocarse, principalmente desde las niñas. Situación que en línea con estudios anteriores puede tener directa relación con las brechas de género, donde las niñas históricamente se han sentido menos capaces en comparación a los niños en el campo científico (Bian et al., 2017).
En cuanto al concepto de optimización, a través de ejercicios prácticos, se logró cumplir de manera positiva con los objetivos del taller remoto. Los estudiantes pudieron comprender y aplicar conceptos de optimización, restricciones, función objetivo y variables de decisión, vinculándolos no solo con los contenidos teóricos, sino también con situaciones de la vida cotidiana. Asimismo, al finalizar la experiencia, relacionaron la optimización con resolver, aprovechar, ganancia y eficiencia, demostrando el desarrollo de habilidades en la resolución de problemas reales, lo que contribuyó significativamente a su aprendizaje (Malaspina Jurado, 2004).
El taller de optimización durante el confinamiento por COVID-19 proporcionó valiosos logros de aprendizaje para los estudiantes. Estos logros, consistieron en la capacidad de aplicar conceptos matemáticos en situaciones prácticas, mejorar sus habilidades de expresión y participación en línea, y comprender la importancia de un enfoque educativo dinámico y bien guiado en modalidad remota. Dichos resultados subrayan la necesidad de involucrar, activamente, a los estudiantes en experiencias educativas durante un confinamiento y de adaptar las metodologías de enseñanza a las circunstancias cambiantes.
De esta manera surge la necesidad de abrir una participación efectiva de los niños y las niñas en todas las experiencias creadas durante la COVID-19. Esto como una forma de contribuir a responder al llamado del Comité de Derechos del Niño de Naciones Unidas realizado en abril de 2020 de incluir sus opiniones y participación en las medidas adoptadas (Condeza, 2022). Fue así como en concordancia a lo planteado por Tamayo Osorio y Tuchapesk da Silva (2020), la educación de las matemáticas en un contexto de incertidumbre se vio obligada a pensar e implementar nuevas formas de enseñanza, teniendo que adaptarse a las vicisitudes del hogar. Sin embargo, a pesar de ello, fue posible asumir el desafío desde la creación de actividades didácticas y el diseño de formas de participación más reflexivas para los y las adolescentes.










nova página do texto(beta)




