Introduction
Although the incidence of bladder cancer varies according to country, it has been reported to be the 10th most frequently seen cancer type with approximately 573,000 new patients per year worldwide1. Cases of non-muscle invasive bladder cancer (NMIBC) constitute 75% of these patients. Patients with NMIBC are at risk of recurrence at the rate of 70% and progression at 30%. This causes patients to undergo repeated surgery and creates a risk of impaired bladder functions2,3. Models have been formed to evaluate various clinical and pathological markers to determine prognostic risk groups of NMIBC patients, and developments are ongoing4,5.
The distribution of cells playing a role in inflammation and the developing microenvironment is thought to have an impact on the development and proliferation of tumor cells6. Previous studies in the literature have attempted to show that the neutrophil-lymphocyte ratio (NLR), platelet-lymphocyte ratio (PLR), and systemic immune-inflammation index (SII), which are calculated according to the relative status of these cell counts to each other, and the De-Ritis ratio (DRR), which is calculated from the serum activity values of liver enzymes such as aspartate aminotransferase (AST) and alanine aminotransferase (ALT) which are thought to be a marker of tumor metabolism, could be used to determine tumor behavior in NMIBC patients7,8.
Although the calculation of these ratios is simple and low-cost, there are inconsistencies in the results between studies, and their place in clinical use remains a matter of debate. In addition, there is no study showing what the role of these ratios could be in the prognostic determination of NMIBC patients of advanced age, who are expected to have reduced immune capacity together with aging9.
The aim of this study was to evaluate the relationship of the NLR, PLR, SII, and DRR with progression, recurrence, and overall survival in an elderly patient population diagnosed with NMIBC.
Method
Patient selection
This retrospective study was approved by the Ethics Committee of Dr. Abdurrahman Yurtaslan Oncology Training and Research Hospital (Decision no: 2022-02/51). The study sample comprised 173 patients aged ≥ 70 years who were diagnosed with NMIBC following transurethral bladder tumor resection (TURBT) in our clinic between January 2015 and March 2022. The study exclusion criteria were defined as non-attendance of clinic follow-up appointments, incomplete data, a diagnosis of a muscle-invasive bladder tumor or benign pathology as a result of a pathological examination, or a history of hematological disease, a diagnosis of pneumonia within 3 months before admission, severe hepatic or renal diseases, or an active infection within 2 weeks before admission (Fig. 1).
Management and follow-up
The demographic and clinical data of each patient were recorded, including age, gender, comorbid diseases, duration of follow-up, smoking status, pre-operative laboratory examinations (hemogram, serum creatinine level, NLR, PLR, DRR, and SII values), and pathological data such as number and size of tumors, clinical T stage (cT) according to the 2017 Tumor, Node, Metastasis (TNM) classification, tumor grade according to the WHO 2016 classification, and the presence of carcinoma in situ.
Recurrence was defined as the determination of a tumor of the same pathological grade and progression as the determination of a tumor of a more advanced grade during the follow-up period. A record was made of the total duration of follow-up (months), the time from first diagnosis to progression and/or recurrence if any (months), and survival status. The NLR was calculated by dividing the neutrophil count by the lymphocyte count, the PLR by dividing the platelet count by the lymphocyte count, the SII by dividing the neutrophil by the lymphocyte count then multiplying by the platelet count, and the DRR by dividing AST by ALT.
Following the transurethral resection of bladder tumor (TURBT) procedure, patients were classified according to the EAU NMIBC 2021 scoring system. Low-risk patients were administered a single dose of intravesical treatment early after the operation, then if no tumor was determined on cystoscopy at 3 months, follow-up consisted of cystoscopy at 9 months, then annually for 5 years thereafter. Patients evaluated as high-risk or very high-risk who refused radical cystectomy were applied with thoracoabdominal computed tomography (CT) once a year, intravesical Bacillus Calmette-Guerin (BCG) treatment for up to a year together with cystoscopy and urinary cytology at 3 months, and if no tumor was determined, this was repeated once every 3 months for 2 years, then once every 6 months for up to 5 years, and annually thereafter. The follow-up protocol for moderate-risk patients was made on an individual basis combining the elements of the low-risk and high-risk patient groups2.
Statistical analysis
Statistical analyses of the study data were performed using SPSS version 22.0 software (SPSS, Chicago, IL, USA). The Shapiro-Wilk test was applied to assess the conformity of data to normal distribution. Continuous data were reported as mean ± standard deviation or median (interquartile range) values, and categorical data as number (n) and percentage (%). The Mann-Whitney U-test was applied in the comparisons of two groups of independent, non-parametric data. The cutoff values with the highest sensitivity and specificity were determined with ROC curve analysis. Survival status was examined using Kaplan-Meier analysis. The independent effect of variables on progression, recurrence, and overall survival, was determined through univariate and multivariate Cox regression analyses. Statistical significance was set at the level of p < 0.05.
Results
The evaluation was made of 173 patients comprising 86.7% males and 13.3% females with a mean age of 75.6 ± 4.57 years, and a median follow-up of 25 (36) months. Progression was observed in 30.1% of the patients at a median of 11.5 (28) months. Recurrence was observed in 46.2% of the patients at a median of 9 (13) months. The clinical and demographic data of the patients are summarized in table 1.
Table 1 Demographic and clinical characteristics of the patients
| All patients (n = 173) | |
| Age* | 75.6 ± 4.57 |
| Sex, n (%) | |
| Male | 150 (86.7) |
| Female | 23 (13.3) |
| Follow-up period (months)** | 25 (36) |
| Chronic diseases, n (%) | |
| None | 71 (35.1) |
| DM | 37 (18.3) |
| HT | 56 (27.7) |
| CAD | 24 (11.8) |
| COPD | 14 (6.9) |
| Smoking, n (%) | |
| Yes | 46 (26.6) |
| No | 79 (45.7) |
| Ex-smoker | 48 (27.7) |
| sCR (mg/dL)** | 1.01 (0.44) |
| WBC (10^9/L)* | 8.05 ± 2.46 |
| Number of tumors, n (%) | |
| Single | 102 (59,0) |
| Multiple | 71 (41.0) |
| Diameter, n (%) | |
| < 3 cm | 70 (40.5) |
| ≥ 3 cm | 103 (59.5) |
| Category, n (%) | |
| cTa | 100 (57.8) |
| cT1 | 73 (42.2) |
| Concomitant CIS, n (%) | |
| Yes | 15 (8.7) |
| No | 158 (91.3) |
| Grade (WHO, 2016), n (%) | |
| Low grade | 88 (50.9) |
| High grade | 85 (49.1) |
| Adjuvant treatment, n (%) | |
| Yes | 77 (44.5) |
| No | 96 (55.5) |
| Progression, n (%) | |
| Yes | 52 (30.1) |
| No | 121 (69.9) |
| Recurrence, n (%) | |
| Yes | 80 (46.2) |
| No | 93 (53.8) |
| Overall survival, n (%) | |
| Alive | 111 (64.2) |
| Dead | 62 (35.8) |
*(Mean ± SD);
**(Median [IQR]) DM: diabetes mellitus; HT: hypertension; CAD: coronary artery disease; CVA: cerebrovascular accident; COPD: chronic obstructive pulmonary disease; CIS: carcinoma in situ; sCR: serum creatinine level; WBC: white blood cells; cT: clinical T stage.
A statistically significant difference was determined between progression and the inflammatory parameters of NLR (p = 0.04), PLR (p = 0.009), and SII (p = 0.007). No significant difference was observed between recurrence and the inflammatory parameters (p > 0.05). A statistically significant difference was determined between overall survival and NLR (p = 0.001), PLR (p = 0.003), and SII (p < 0.001) (Table 2).
Table 2 Inflammatory parameters according to the prognosis of patients
| Variables | Progression | p† | Recurrence | p† | Overall status | p† | |||
|---|---|---|---|---|---|---|---|---|---|
| Yes ( n = 52) | No (n = 121) | Yes (n = 80) | No (n = 93) | Alive (n = 111) | Dead (n = 62) | ||||
| NLR* | 3.6 ± 1.8 | 3.34 ± 2.55 | 0.04 | 3.31 ± 2.12 | 3.51 ± 2.53 | 0.83 | 3.05 ± 2.12 | 4.07 ± 2.6 | 0.001 |
| PLR* | 181.59 ± 88.2 | 153.12 ± 99.9 | 0.009 | 156.9 ± 76.8 | 165.7 ± 112.05 | 0.8 | 149.8 ± 99.4 | 182.8 ± 89.9 | 0.003 |
| SII* | 1023.7 ± 690.3 | 881.75 ± 1239.5 | 0.007 | 903.8 ± 973.7 | 942.1 ± 1208.8 | 0.97 | 793.7 ± 1071.2 | 1158.5 ± 1129.8 | < 0.001 |
| DeRitis Ratio* | 1.34 ± 0.57 | 1.28 ± 0.47 | 0.56 | 1.28 ± 0.49 | 1.31 ± 0.51 | 0.5 | 1.29 ± 0.46 | 1.29 ± 0.57 | 0.96 |
*Mean ± standard deviation
†Mann-Whitney U test NLR: neutrophil-lymphocyte ratio; PLR: platelet-lymphocyte ratio; SII: systemic immune-inflammation index. Significant values were shown in bold (p < 0.05).
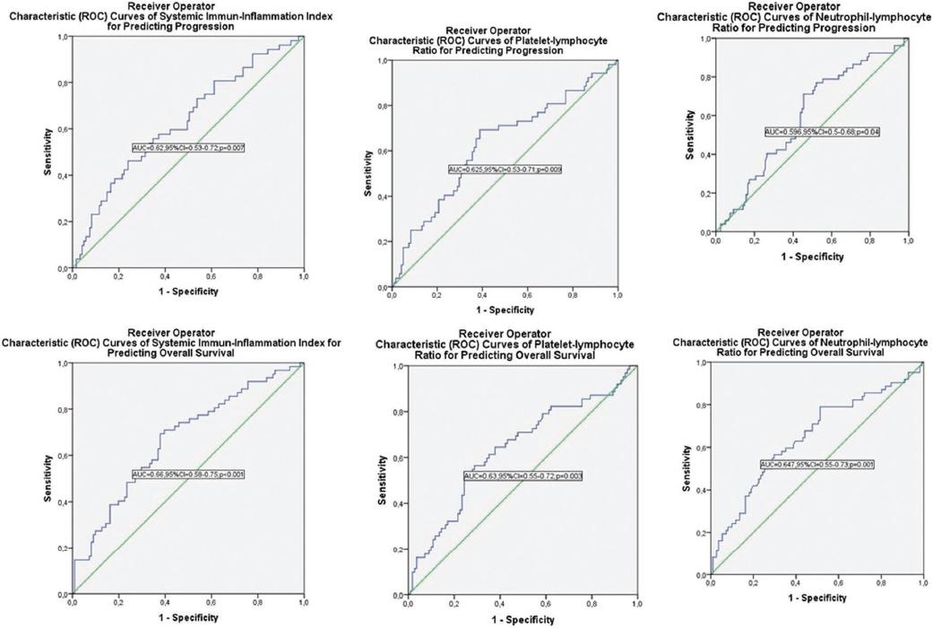
The cutoff values with the highest sensitivity and specificity were determined to be NLR: 2.8 (p = 0.04), PLR: 144.6 (p = 0.009), and SII: 697.35 (p = 0.007). For the determination of OS, the best cutoff points were determined to be NLR: 2.84 (p = 0.001), PLR: 136.05 (p = 0.003), and SII: 656.03 (p < 0.001) (Fig. 2 and Table 3).
Table 3 ROC curve analysis
| Variables | Progression | Overall survival | ||||||||
|---|---|---|---|---|---|---|---|---|---|---|
| Cut-point | AUC (95%CI) | Sensitivity | Specificity | p | Cut-point | AUC (95%CI) | Sensitivity | Specificity | p | |
| NLR | 2.8 | 0.596 (0.5-0.68) | 0.71 | 0.55 | 0.04 | 2.84 | 0.647 (0.55-0.73) | 0.67 | 0.56 | 0.001 |
| PLR | 144.6 | 0.625 (0.53-0.71) | 0.69 | 0.62 | 0.009 | 136.05 | 0.63 (0.55-0.72) | 0.67 | 0.57 | 0.003 |
| SII | 697.35 | 0.62 (0.53-0.72) | 0.59 | 0.58 | 0.007 | 656.03 | 0.66 (0.58-0.75) | 0.71 | 0.61 | < 0.001 |
AUC: area under the ROC curve; 95% CI: 95% confidence interval; NLR: neutrophil-lymphocyte ratio; PLR: platelet-lymphocyte ratio; SII: systemic immune-inflammation index. Significant values were shown in bold (p < 0.05).
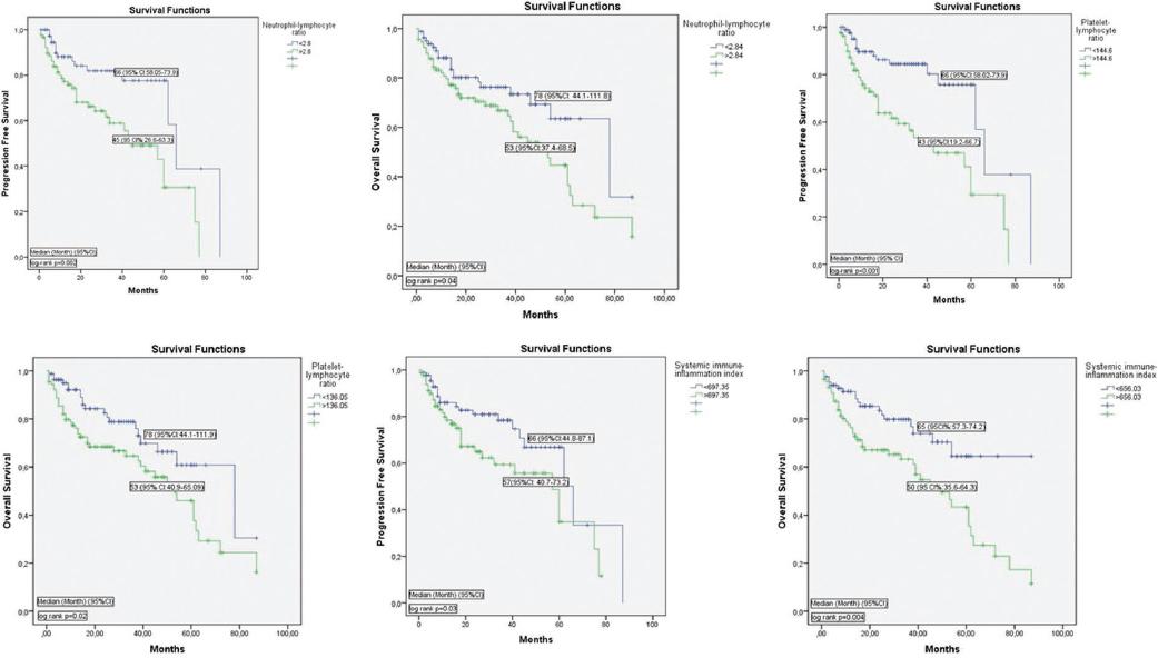
In the Kaplan-Meier analysis examining the PFS and OS curves of the low and high NLR, PLR, and SII groups according to the determined cutoff values. Significant differences were determined between the high and low groups of NLR, PLR, and SII for PFS (log-rank p = 0.002, p < 0.001, p = 0.03, respectively) and OS (log-rank p = 0.04, p = 0.02, p = 0.004, respectively) (Fig. 3).
In the univariate Cox regression analysis, tumor size (p = 0.01), tumor stage (p = 0.003), tumor grade (p = 0.01), NLR (p = 0.003), PLR (p < 0.001), and SII (p = 0.04) values were seen to be significantly associated with progression (Table 4a). Age (p = 0.006) and the number of tumors (p = 0.04) were found to be associated with recurrence (Table 4b). A significant relationship was determined between OS and the variables of age (p = 0.01), comorbidities (p = 0.03), tumor stage (p = 0.001), tumor grade (p = 0.001), PLR (p = 0.02), and SII (p = 0.005) (Table 4c).
Table 4a Cox regression analysis of progression predictors
| Variables | Univariate analysis | Multivariate analysis | ||||
|---|---|---|---|---|---|---|
| HR | 95% CI | p | HR | 95% CI | p | |
| Age (continuous variable) | 1.04 | 0.98-1.11 | 0.17 | - | - | - |
| Number of tumors (single vs. multiple) | 1.31 | 0.75-2.28 | 0.33 | - | - | - |
| Tumor size (< 3 cm vs. ≥ 3 cm) | 2.23 | 1.18-4.21 | 0.01 | 2.09 | 1.05-4.16 | 0.03 |
| Tumor stage (cTa vs. cT1) | 2.34 | 1.34-4.09 | 0.003 | 1.59 | 0.65-3.91 | 0.3 |
| Concurrent CIS (yes vs. no) | 1.09 | 0.43-2.77 | 0.84 | - | - | - |
| Tumor grade (low vs. high) | 2.02 | 1.14-3.55 | 0.01 | 1.002 | 0.41-2.42 | 0.99 |
| Adjuvant treatment (yes vs. No) | 1.26 | 0.72-2.2 | 0.4 | - | - | - |
| NLR (< 2.8 vs. ≥ 2.8) | 2.56 | 1.38-4.74 | 0.003 | 1.6 | 0.66-3.91 | 0.29 |
| PLR (< 144.6 vs. ≥ 144.6) | 2.96 | 1.62-5.42 | < 0.001 | 3.2 | 1.3-7.86 | 0.01 |
| SII (< 697.35 vs. ≥ 697.35) | 1.80 | 1.02-3.18 | 0.04 | 0.48 | 0.2-1.14 | 0.09 |
| De-Ritis ratio (continuous variable) | 1.57 | 0.85-2.88 | 0.14 | - | - | - |
CIS: carcinoma in situ; NLR: neutrophil-lymphocyte ratio; PLR: platelet-lymphocyte ratio; SII: systemic immune-inflammation index.Significant values were shown in bold (p < 0.05).
Table 4b Cox regression analysis of recurrence predictors
| Variables | Univariate analysis | Multivariate analysis | ||||
|---|---|---|---|---|---|---|
| HR | 95% CI | p | HR | 95% CI | p | |
| Age (continuous variable) | 1.06 | 1.01-1.11 | 0.006 | 1.07 | 1.02-1.12 | 0.002 |
| Number of tumors (single vs. multiple) | 1.56 | 1.006-2.42 | 0.04 | 1.73 | 1.1-2.71 | 0.01 |
| Tumor size (< 3 cm vs. ≥ 3 cm) | 0.98 | 0.62-1.53 | 0.93 | - | - | - |
| Tumor stage (cTa vs. cT1) | 1.38 | 0.89-2.16 | 0.14 | - | - | - |
| Concurrent CIS (yes vs. no) | 1.72 | 0.85-3.46 | 0.12 | - | - | - |
| Tumor grade (low vs. high) | 1.15 | 0.74-1.79 | 0.52 | - | - | - |
| Adjuvant treatment (yes vs. no) | 1.21 | 0.78-1.88 | 0.38 | - | - | - |
| NLR (continuous variable) | 1.03 | 0.93-1.14 | 0.54 | - | - | - |
| PLR (continuous variable) | 1.000 | 0.99-1.002 | 0.88 | - | - | - |
| SII (continuous variable) | 1.000 | 1.000-1.000 | 0.59 | - | - | - |
| De-Ritis ratio (continuous variable) | 0.87 | 0.55-1.39 | 0.58 | - | - | - |
CIS: carcinoma in situ; NLR: neutrophil-lymphocyte ratio; PLR: platelet-lymphocyte ratio; SII: systemic immune-inflammation index. Significant values were shown in bold (p < 0.05).
Table 4c Cox regression analysis of overall survival predictors
| Variables | Univariate analysis | Multivariate analysis | ||||
|---|---|---|---|---|---|---|
| HR | 95% CI | p | HR | 95% CI | p | |
| Age (continuous variable) | 1.06 | 1.01-1.12 | 0.01 | 1.06 | 1.004-1.128 | 0.03 |
| Comorbidity (yes vs. no) | 1.76 | 1.05-2.95 | 0.03 | 2.18 | 1.25-3.82 | 0.006 |
| Number of tumors (single vs. multiple) | 1.56 | 0.95-2.58 | 0.07 | - | - | - |
| Tumor size (< 3 cm vs. ≥ 3 cm) | 1.66 | 0.96-2.86 | 0.06 | - | - | - |
| Tumour stage (cTa vs. cT1) | 2.39 | 1.43-4.00 | 0.001 | 1.33 | 0.66-2.66 | 0.41 |
| Concurrent CIS (yes vs. no) | 0.34 | 0.08-1.42 | 0.14 | - | - | - |
| Tumor grade (low vs. high) | 2.37 | 1.40-4.01 | 0.001 | 1.5 | 0.74-3.02 | 0.25 |
| Adjuvant treatment (yes vs. no) | 0.69 | 0.41-1.16 | 0.16 | - | - | - |
| NLR (< 2.84 vs. ≥ 2.84) | 1.7 | 0.99-2.91 | 0.051 | - | - | - |
| PLR (< 136.05 vs. ≥ 136.05) | 1.82 | 1.06-3.11 | 0.02 | 0.99 | 0.43-2.28 | 0.98 |
| SII (< 656.03 vs. ≥ 656.03) | 2.19 | 1.26-3.80 | 0.005 | 1.78 | 0.75-4.19 | 0.18 |
| De-Ritis ratio (continuous variable) | 1.02 | 0.62-1.65 | 0.93 | - | - | - |
CIS: carcinoma in situ; NLR: neutrophil-lymphocyte ratio; PLR: platelet-lymphocyte ratio; SII: systemic immune-inflammation index. Significant values were shown in bold (p < 0.05).
In the multivariate analysis, predictive factors were determined to be tumor size (≥ 3 cm) and PLR (> 144.6) for progression (p = 0.03, p = 0.01, respectively, Table 4a), advanced age and the presence of multiple tumors for recurrence (p = 0.002, p = 0.01, respectively, Table 4b), and age and comorbidities for OS (p = 0.03, p = 0.006, respectively) (Table 4c).
Discussion
In previous studies in literature, NLR, PLR, SII, and DRR are among the markers usually evaluated to predict the survival of cancer patients10. The aim of this retrospective study was to examine the effect of these values on prognosis in an elderly patient population diagnosed with NMIBC following TURBT, and the results showed that with the exception of DRR, an increase in the other parameters had a negative effect on both progression and overall survival. However, the results of the multivariate analyses including other clinical and pathological data showed that only PLR was determined to be a significant marker for progression.
Inflammation and the subsequent host response formed against cancer cells play a significant role in both the development of tumors and antitumoral activity and this status affects the oncological results11,12. The determination of white blood cell distribution in the complete blood count is a frequently used method in the evaluation of inflammation13. Inflammatory markers such as NLR, PLR, and SII are examined to determine prognosis in most cancer types14-16. The effect of these parameters has become more important with the knowledge of the role played by inflammation in the development of bladder tumors17. Although development is from the same epithelial cell type, in contrast to upper urinary system tumors, there are still no recommended inflammatory parameters in routine use for NMIBC patients2.
In a study of 122 patients which examined the effect of NLR on the prognosis of NMIBC patients, a cutoff value of 2.41 for NLR was determined to be an independent predictor of disease progression and recurrence18. In another study of patients with a median age of 69.27 years (63.78-79.44), the best NLR cutoff value was determined to be 3 and this was reported to be an independent risk factor for recurrence but not progression19. In contrast to these results, there are also studies showing that there is no effect of NLR in the determination of progression or recurrence7,20. The results of a study of 1551 patients diagnosed with NMIBC showed that PLR (cutoff point:124) was correlated with overall survival but was not significant for PFS or RFS21. In another study of NMIBC patients aged ≥65 years, higher PLR values were determined in those with more advanced stage pT1 than in those with pTa stages, but there was no evaluation of the prognosis of patients and multivariate analyses were not performed22. As the studies conducted for PLR have been more with muscle-invasive bladder cancer patients, it is difficult to reach a conclusion for NMIBC patients23. The SII has started to be used in recent years to obtain more information about the host inflammatory response using both the neutrophil and platelet counts together24. In a multicenter study which examined 1117 patients, there was determined to be no significant effect of SII (cutoff point:580) on OS, and although the effect was significant on PFS and RFS, this effect was not seen in subgroup analyses16.
In addition to increasing comorbid diseases together with aging, there has also been reported to be a higher risk of autoimmune diseases and malignant diseases. This causes a deterioration in the body's homeostasis, which is important in the fight against cancer25. In particular, a decrease in the number of T lymphocytes, which are responsible for cellular immunity and antitumoral activity, contributes to this9. However, in elderly patients, the platelet cells in the blood remain relatively higher than other white blood cells26. By surrounding tumor cells circulating in the blood, platelet cells prevent apoptosis of the tumor cells, and the ongoing secretion of growth factors and cytokines increases angiogenesis, causing an increase in the tumorogenic effect27. The cutoff values determined in the current study for PLR and SII were higher than those reported in previous studies. Moreover, although it was determined that NLR, PLR, and SII could have a significant effect on progression and overall survival, PLR was seen to be more significant for PFS. In accordance with these results, it can be considered that in the evaluation of advanced-age NMIBC patients, platelet cells have an important role in survival, and this should be kept in mind in the approach to this group of patients.
With the rapid proliferation and destruction of cancer cells, the level of AST enzymes in the blood can increase, and the DRR is obtained with the thought that cancer metabolism can be determined by dividing the AST value by ALT, which is an enzyme specific to the liver28. With the use of DRR in the evaluation of prognosis in most cancer types, studies in recent years have started to show what contribution is made in NMIBC patients. In the most comprehensive study of 1117 patients, a cutoff value of 1.2 was determined for DRR and it was shown to be associated only with RFS8. Despite a statistically significant correlation determined between DRR and progression in another study, Batur et al. found no significant relationship between DRR and progression or recurrence29,30. The results of the current study were similar to those of Batur et al., and no relationship was determined between OS and DRR, therefore, no cutoff value was formed for DRR. Although patients with hepatitis and hematological diseases were not included in the current study, which could change the DRR results, there is the possibility that the results were affected by multiple drug use, which is common at advanced ages. These points must be taken note of in the clinical use of DRR.
This study had some limitations that should be considered. The study design was retrospective, the follow-up period was short, the patient number was relatively low, and other known values showing inflammation such as C-reactive protein and erythrocyte sedimentation rate, were not available from the patient records. As the patient population was aged ≥ 70 years, it was not possible to form a healthy control group to compare the parameters. As some patients could not tolerate adjuvant treatments and/or because of the stay at home regulation during the COVID-19 pandemic, some patients could not go to pharmacies, so the full effect of adjuvant therapy could not be reflected in the results31.
Conclusion
Despite following the necessary treatment and follow-up protocols, there is a risk of developing recurrence and progression for patients diagnosed with bladder cancer. In addition to age, comorbidities, and tumor characteristics in the determination of the prognosis of elderly NMIBC patients, the inflammatory parameters seem to be promising. When evaluated with other clinical and pathological variables, the inflammation parameters showed no significance for recurrence and overall survival in an elderly population diagnosed with NMIBC but PLR was determined to be an independent marker in the determination of progression-free survival.










nova página do texto(beta)





