Introducción
Fusarium oxysporum f. sp. lycopersici (Fol) causa la marchitez del tomate (Solanum lycoper- sicum), que disminuye el rendimiento y provoca la muerte de la planta (Holguín-Peña 2005). La principal estrategia de control es la aplicación de fungicidas, pero este método ofrece una efectividad parcial, ya que no controla el daño totalmente (McGovern 2015). Por esta razón se han buscado alternativas, una de ellas es el control biológico de patógenos mediante la aplicación de microorganismos benéficos en consorcios, los cuales tienen la característica de potenciar o complementar el efecto benéfico de las diferentes cepas compatibles (Bradácˇová et al. 2019). Los consorcios microbianos pueden estar formados por rizobacterias promotoras de crecimiento en plantas (PGPR), las cuales son bacterias que colonizan la rizósfera de la planta, por lo que tienen interacción sinérgica o antagónica con otros microorganismos; dicha interacción se ha reportado que promueve el crecimiento de las plantas al disolver minerales y la defiende de diversos ataques de patógenos, al inducir la resistencia sistémica de la planta (Basu et al.2021). Se han reportado varias especies de PGPR, entre ellas Bacillus spp. (Toffano et al. 2017), Pseudomonas spp. (Bubici et al. 2019), Enterobacter cloacae (Pattnaik et al. 2020), y Acinetobacter sp. (Piatetska et al. 2019). La levadura Saccharomyces cerevisiae se ha reportado como agente de biocontrol de hongos por la producción de compuestos volátiles (Toffano et al. 2017). Algunos consorcios contienen cepas del género Glomus, hongos micorrízicos que no tienen un efecto antifúngico como tal, pero actúan en simbiosis con la planta incrementando la superficie de absorción de agua y nutrientes, participan en la disolución de minerales, así como en la activación de genes de resistencia (Nair et al. 2015). El objetivo del presente trabajo fue evaluar el antagonismo in vitro de los consorcios microbianos, compuestos por Pseudomonas spp., E. cloacae, Acinetobacter calcoaceticus, S. cerevisiae, Bacillus spp. y Glomus spp. sobre Fol, y su efecto en plántulas de tomate con síntomas de marchitez, bajo condiciones de invernadero.
Materiales y métodos
Ubicación del experimento
La investigación fue realizada en el laboratorio de Parasitología Molecular y en un invernadero de la Universidad Autónoma Agraria Antonio Narro, en Saltillo, Coahuila, México.
Cepas de Fol
La determinación del antagonismo in vitro de los consorcios microbianos sobre Fol se llevó a cabo con las cepas Fol18, Fol19 y FolUA; pertenecientes al cepario del laboratorio de Parasitología Molecular, de la Universidad Autónoma Agraria Antonio Narro.
Consorcios microbianos
Se utilizaron tres consorcios microbianos Soil Pro: Pseudomonas fluorescens 3.5 x 108 UFC mL−1, Pseudomonas putida 3.5 x 108 UFC mL−1, Pseudomonas aeruginosa 2.0 x 106 UFC mL−1, Acinetobacter calcoaceticus 1.0 x 106 UFC mL−1, Enterobacter cloacae 0.5 x 106 UFC mL−1; SOS®: P. fluorescens 3.5 x 106 UFC mL−1, P. putida 1.5 x 106 UFC mL−1, P. aeruginosa 2.0 x 106 UFC mL−1, A. calcoaceticus 1.0 x 106 UFC mL−1, E. cloacae 0.5 x 106 UFC mL−1, Bacillus subtilis 2.0 x 106 UFC mL−1, Bacillus licheniformis 1.5 x 106 UFC mL−1, Bacillus thuringiensis 1.0 x 106 UFC mL−1, Saccha- romyces cerevisiae 0.5 x 106 UFC mL−1; y SSB®: P. fluorescens 5.0 x 106 UFC mL−1, P. putida 3.0 x 106 UFC mL−1, P. aeruginosa 4.0 x 106 UFC mL−1, A. calcoaceticus 2.0 x 106 UFC mL−1, E. cloacae 1.0 x 106 UFC mL−1, B. subtilis 4.0 x 106 UFC mL−1, B. licheniformis 3.0 x 106 UFC mL−1, B. thuringiensis 2.0 x 106 UFC mL−1, S. cerevisiae 1.0 x 106 UFC mL−1, Glomus aggregatum 0.3 propágulos mL−1, Glomus etunicatum 0.3 propágulos mL−1, Glomus intraradices 0.3 propágulos mL−1, Glomus mosseae 0.3 propágulos mL−1. Para el cultivo de los microorganismos presentes en los consorcios se utilizó caldo Luria Bertani (LB) (extracto de levadura 5 g L−1, NaCl 5 g L−1, peptona de caseína 10 g L−1) (Jangir et al. 2018) y caldo papa dextrosa (infusión de papa 200 g L−1, dextrosa 20 g L−1) (Toffano et al. 2017). Se utilizaron tubos con 10 mL de caldo LB para el crecimiento de bacterias del consorcio SP a tres dosis: 3.57 mL L−1 (D1, 50% por debajo de la dosis recomendada por el fabricante), 7.14 mL L−1 (D2, dosis recomendada por el fabricante), 10.71 mL L−1 (D3, 50% por encima de la dosis recomendada por el fabricante) y tubos con 5 mL de caldo LB y 5 mL de caldo dextrosa papa para el crecimiento de bacterias y levaduras de SOS y SSB. Las dosis utilizadas para SOS fueron: 3.97 mL L−1 (D1), 7.94 mL L−1 (D2) y 11.90 mL L−1 (D3), en el caso de SSB se usaron:1.56 mL L−1 (D1), 3.12 mL L−1 (D2) y 4.68 mL L−1 (D3). Los medios inoculados con los consorcios se incubaron a 30 °C durante 5 días para el desarrollo de bacterias (Jangir et al, 2018) y 7 días para el crecimiento de levaduras.
Prueba de antagonismo in vitro
La preparación del medio envenenado con los consorcios microbianos consistió en la incubación de SP, SOS y SSB en los caldos LB y papa dextrosa a 30 °C durante 5 y 7 días, respectivamente. Después se colocaron en frascos que contenían 62 mL de medio PDA estéril, antes de ser vaciado a cuatro placas de Petri de 80 mm de diámetro. El medio se dejó solidificar y se incubó a 18 °C durante 7 días. Lo anterior se realizó para cada dosis del consorcio evaluado. Posteriormente, se colocó un disco de micelio de 10 mm de diámetro en el centro de cada placa de PDA correspondiente a cada una de las cuatro repeticiones. Las placas de PDA inoculadas se incubaron a 25 °C hasta que el micelio del control cubriera el total de la placa (Xu et al. 2020). Las pruebas se realizaron por duplicado tomando en cuenta el crecimiento radial de los hongos cada 24 h y el porcentaje de inhibición se calculó mediante la siguiente fórmula (modificada de Khalil et al. 2021):
Material vegetal
Se sembraron semillas de tomate variedad Floradade (Fax de Occidente), tipo bola, en charolas de poliestireno de 200 cavidades. El trasplante se realizó a los 21 días después de la siembra (dds), con una mezcla estéril de peat moss y perlita en proporción 3:1 (v/v) usando macetas de 1 L, para la evaluación de parámetros de crecimiento y de 3 L, para la prueba de incidencia y severidad. Las plantas se mantuvieron en invernadero a 28 ± 2 °C, la fertilización se realizó con solución Steiner (25 a 50%) (Cervantes-Vázquez et al. 2021).
Parámetros de crecimiento en plántulas
Se realizaron ocho tratamientos con 10 réplicas, en un diseño completamente al azar. Se utilizaron plántulas variedad Floradade de 21 ddt, a las cuales se les aplicaron los siguientes tratamientos (T): T1 = SP 1.5 L ha−1, T2 = SOS 1.5 L ha−1 y T3= SSB 1.5 L ha−1, con seis aplicaciones radiculares cada 7 días; T4 = SP 1.5 L ha−1 + Fol, T5 = SOS 1.5 L ha−1 + Fol y T6 = SSB 1.5 L ha−1 + Fol. Los consorcios microbianos se aplicaron 7 días antes de la inoculación con Fol, posteriormente se aplicaron de manera semanal (seis aplicaciones); T7 = plántulas inoculadas con Fol y T8 = plántulas control (sin inocular). La inoculación de las plántulas con el patógeno se realizó a los 15 días después del trasplante (ddt), con ayuda de una aguja estéril se hizo una herida a nivel de la corona, posteriormente se colocaron 20 mL de una suspensión de Fol de 1x106 conidios mL−1 (Aimé et al. 2008). A los 43 días posteriores a la inoculación (dpi) se midieron los siguientes parámetros: altura de la planta, a partir de la base y hasta el ápice de crecimiento; diámetro del tallo, entre la primera y segunda hoja a partir de la base; contenido de clorofila en tres diferentes hojas (10 a 20 cm, 21 a 30 cm y 31 a 40 cm a partir de la base de la planta) con ayuda de un SPAD 502 Plus Minolta; peso seco de la biomasa aérea y peso seco de la raíz. Para determinar el peso seco se deshidrataron las muestras en un horno a 60°C hasta peso constante. El parámetro de longitud se midió en cm con una cinta métrica (Truper®), el diámetro en mm con un vernier electrónico (Ultratech), y los pesos se registraron en g utilizando una balanza analítica (Ohaus®).
Incidencia y severidad de la marchitez
Se analizaron seis tratamientos con seis repeticiones, en un diseño completamente al azar. Se utilizaron plántulas variedad Floradade de 21 ddt. Los inductores de resistencia sistémica fueron cuatro: SP 1.5 L ha−1, SOS 1.5 L ha−1 y SSB 1.5 L ha−1 con aplicación radicular y como inductor químico se utilizó Isotianil (Iso) 1.429 kg ha−1 de manera foliar. En T1, T2, T3 y T4 se aplicaron los inductores 7 días antes de cada inoculación con Fol (posteriormente se aplicaron seis veces de manera semanal), el T5 fueron las plántulas inoculadas con Fol y el T6 las plántulas control. La inoculación de las plántulas se realizó a los 15 y 22 ddt, con ayuda de una aguja estéril se hizo una herida a nivel de la corona, posteriormente se colocaron 10 mL de una suspensión de Fol de 1x106 conidios mL−1 (Aimé et al. 2008). La incidencia y severidad se evaluaron tomando en cuenta la fecha de la primera inoculación: 15, 22, 29, 36 y 43 dpi. El porcentaje de incidencia se calculó contando el número de plántulas enfermas entre el total de plántulas evaluadas por 100. El nivel de severidad fue estimado de acuerdo a la escala de Diener y Ausubel (2005) donde: 0 = planta muerta (100%), 1= hojas viejas muertas y hojas jóvenes severamente atrofiadas (80%), 2 = hojas viejas cloróticas o muertas y hojas jóvenes atrofiadas (60%), 3 = hojas viejas con clorosis vascular y hojas jóvenes con crecimiento detenido (40%), 4 = peciolos de las hojas atrofiados (20%), 5 = plantas sin síntomas (0%) (Rivera-Solís et al. 2021).
Análisis estadístico
Con los datos del antagonismo in vitro y parámetros de crecimiento se realizó un análisis de varianza y comparación de medias de Tukey (P <0.05). A los datos de incidencia y severidad se les realizaron análisis no paramétricos de Kruskal-Wallis y Mann-Witney con el software estadístico Minitab 19.
Resultados y discusión
Prueba de antagonismo in vitro
Los controles de Fol18, Fol19 y FolUA cubrieron la superficie total de la placa de PDA 10 días después de incubación. Sin embargo, en los tratamientos, el crecimiento radial registró un rango de 0 a 56.13 mm en SSB D3 con Fol19 y en SP D1 con FolUA, respectivamente. Los tres consorcios microbianos en las tres dosis evaluadas mostraron un porcentaje de inhibición con diferencia estadística- mente significativa respecto al control. No obstante, el consorcio microbiano SSB D3 presentó el porcentaje de inhibición más alto sobre las tres cepas de Fol evaluadas, el cual fue de 59.22 al 100% (Figura1).

Figura 1 porcentaje de inhibición de SP, SOS y SSB a tres dosis diferentes (D1, D2 y D3), sobre Fol18, Fol19 y FolUA. Las medias con la misma letra no son estadísticamente diferentes según la prueba de Tukey (p <0.05). La línea encima de las barras representa la desviación estándar.
Es fundamental evaluar el nivel de antagonismo de microorganismos benéficos en ambientes controlados, lo cual es un indicador de potencial uso de estos microorganismos en condiciones de campo. El consorcio SSB obtuvo el mayor porcentaje de inhibición para las tres cepas de Fol evaluadas, lo cual podría deberse a su formulación, ya que está conformado por bacterias y levaduras cultivables como Bacillus spp., Pseudomonas spp., E. cloa cae, A. calcoaceticus y S. cerevisiae; mientras SP, que obtuvo el menor porcentaje de inhibición, solo contiene: Pseudomonas spp., E. cloacae y A. cal- coaceticus. Por lo tanto, un mayor resultado inhibito- rio sobre Fol podría relacionarse a un efecto conjunto de enzimas como la β-1,3-glucanasa (Bubici et al.2019) y compuestos antifúngicos como surfactina, iturina y fengycin (Cao et al. 2018) producidos por Bacillus spp. y los compuestos volátiles como 3- metil-1-butanol y el 2-metil-1-butanol (Toffano et al.2017) liberados por S. cerevisiae. De igual manera se ha reportado un mayor nivel de antagonismo de Bacillus spp. y S. cerevisiae comparado con Pseudomonas spp. y Enterobacter spp. (Palmieri et al.2017), debido a que los principales efectos benéficos de estos dos últimos géneros son la producción de ácido indolacético (Mellidou et al. 2021) y disolución de minerales (Basu et al. 2021), lo cual promueve el crecimiento de las plantas. Aunado a esto, la concentración de microorganismos benéficos es mayor en SSB con respecto a SP y SOS. Debido a que los consorcios microbianos son formulaciones no es posible evaluar el efecto individual de cada especie, pero se infiere que, en el antagonismo in vitro de los consorcios microbianos sobre Fol, los principales mecanismos de biocontrol son la competencia por nutrientes, la producción de compuestos volátiles que inhiben el crecimiento de Fol y la antibiosis, por la producción de enzimas que degradan la pared fúngica.
Parámetros de crecimiento en plántulas
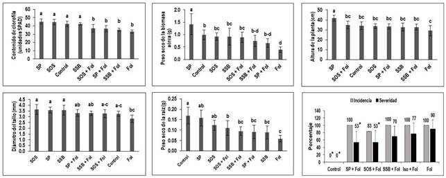
La altura de planta fue estadísticamente mayor en el tratamiento SP (41.72 cm) con respecto, al con trol, mientras que para el resto de los tratamientos no se encontraron diferencias. Aunque el diámetro del tallo mostró un mayor valor en los tratamientos SOS, SP, y SSB, con 3.63, 3.58 y 3.58 mm, respectivamente, estos no fueron estadísticamente diferentes al control. Para nivel de clorofila se observaron dos grupos estadísticamente diferentes, el primero integrado por SP, SOS, control y SSB; y el segundo por el resto de tratamientos. El peso seco de la biomasa aérea registró que el tratamiento SP con 1.42 g, mostró diferencia estadística con respecto al control, mientras que el resto de tratamientos fueron iguales al control, excepto Fol con 0.40 g. El peso seco de la raíz mostró un valor mayor para el control con 0.17g, sin embargo, no fue estadísticamente diferente a SP y SOS con 0.16 0.12 g, respectivamente; mientras que el resto de tratamientos fueron diferentes al control (Figura 2).

Figura 2 Parámetros de crecimiento, incidencia y severidad de marchitez en plántulas tratadas con SP, SOS, SSB, SP + Fol, SOS + Fol, SSB + Fol, Iso + Fol y Fol. Las medias con la misma letra no son estadísticamente diferentes según la prueba de Tukey (p < 0.05). *Existe diferencia estadísticamente significativa en los tratamientos con respecto a Fol, de acuerdo a las pruebas de Kruskal-Wallis y Mann-Witney (p < 0.05). La línea encima de las barras representa la desviación estándar.
El mejor tratamiento para altura de la planta, contenido de clorofila y peso seco de la biomasa aérea, fue el de P. Estos datos son similares a lo reportado para Pseudomonas spp. que incrementó la altura de la planta, el peso seco de los brotes, el número de frutosy el rendimiento de plantas de tomate (Almaghrabi et al. 2013); debido probablemente a la producción de ácido indolacético, el cual promueve la elongación, división y diferenciación celular (Muñoz et al. 2021). De igual manera Pseudomonas sp. produce sideróforos y disuelve fosfatos, lo que promueve el crecimiento de plantas de tomate (Mellidou et al. 2021). También se ha reportado que E. cloacae incrementó el porcentaje de germinación de semillas y el crecimiento de plantas de tomate bajo estrés hídrico, gracias a la disolución de fosfatos (Eke et al. 2019) además, en alfalfa mejora la altura de la planta y el peso seco, debido no solo a la disolución de dichos minerales, sino también a la producción de acetoína (Khalifa et al. 2016). Por su parte los metabolitos producidos por A. calcoaceticus incrementaron entre 11.3 y 145% el rendimiento de plantas de tomate (Piatetska et al. 2019). A su vez, SOS y SSB, mostraron algunos parámetros mayores al control, aunque las diferencias no fueron estadísticamente significativas en la mayoría de parámetros, excepto SSB que obtuvo valores estadísticamente menores al control. De acuerdo a lo anterior, la mejor formulación para un consorcio microbiano promotor de crecimiento es SP. Esto demuestra que no siempre se potencia el efecto conjunto de las especies de las que está compuesto un consorcio microbiano y varía su efecto en los distintos modelos biológicos en los que son aplicados (Sarma et al. 2015, Samaras et al. 2021).
Incidencia y severidad de la marchitez
La incidencia de marchitez fue del 100% en todos los tratamientos, excepto en SOS, donde fue del 3%. El mayor nivel de severidad fue para el tratamiento Fol (90%), mientras que el nivel de daño disminuyó en Iso (77%), SSB (70%), SP (53%) y SOS (53%). El análisis estadístico mostró diferencias en- tre las plántulas solo inoculadas con Fol con respecto de las plántulas que fueron tratadas con SP y SOS y posteriormente inoculadas con Fol (Figura 2).
Los resultados en invernadero mostraron disminución de la incidencia de la marchitez vascular en plantas de tomate tratadas con SOS y disminución de la severidad en los tratamientos con SP y SOS. Lo anterior debido probablemente a las concentraciones de las PGPR y S. cerevisiae de estos consorcios con respecto a SSB (Sarma et al. 2015), ya que la formulación de cada consorcio es diferente y por lo tanto podría haber mejor adaptación de algunas cepas a un determinado modelo biológico (Bradácˇová et al.2019). Los microorganismos de los que están compuestos SP y SOS, a los que se les atribuye el control sobre Fol, son Bacillus spp., Pseudomonas spp., E. cloacae, A. calcoaceticus y S. cerevisiae. Existen diversas investigaciones sobre el control que ejercen estos microrganismos benéficos por producción de enzimas como β-1,3-glucanasa, proteasa y quitinasa, que degradan la pared fúngica (Jangir et al. 2018, Bubici et al. 2019), compuestos volátiles y antifúngicos que inhiben el crecimiento del hogo (Toffano et al.2017, Cao et al. 2018, Jangir et al. 2018, Pattnaik et al. 2020). De la misma manera, estos microorganismos benéficos inducen la resistencia sistémica de la planta al estimular la expresión de genes de resistencia (Basu et al. 2021), como lo reportan Samaras et al. (2021), donde Bacillussubtilis indujo la expresión de los genes LOXD, CHI3 y PAL activados por la vía del ácido jasmónico, así como PR-1A y GluA activados por la vía del ácido salicílico, lo cual disminuye la marchitez del tomate ocasionada por Fusarium oxys- porum f. sp. radicislycopersici. Se ha informado el control que ejercen diversos consorcios microbianos sobre F. oxysporum en diferentes cultivos, Palmieri et al. (2017) reportaron que el consorcio microbiano conformado por Serratia marcescens, Pseudomonas fluorescens, Rahnella aquatilis y Bacillus amylolique- faciens incrementó en 90% la supervivencia de plan- tas de garbanzo inoculadas con Fusarium oxyspo-rum f. sp. ciceris con respecto al control inoculado. A su vez, Srivastava et al. (2010) analizaron el consorcio compuesto por Pseudomonas, Tricho-derma harzianum y Glomus intraradices para el control de Fol, como resultado estos microorganismos redujeron la incidencia y la severidad de la marchitez vascular del tomate entre 77 y 67% en los ensayos en invernadero y campo, respectivamente; también incrementaron el rendimiento un 20% con respecto al control.
Los consorcios microbianos evaluados presentan un efecto antagónico sobre Fol, destacando SSB D3 como el que se desempeñó mejor en las pruebas de antagonismo in vitro con un porcentaje de inhibición mayor. De manera similar, los consorcios microbianos promueven el crecimiento de las plántulas de tomate y reducen el daño por Fol, siendo SP y SOS los que mostraron los mejores resultados. Por lo anterior, SP, SOS y SSB muestran un uso potencial para producción de plántulas de tomate y la aplicación en cultivos comerciales, como parte de un manejo integrado de plagas y enfermedades.










nova página do texto(beta)



