Introducción
A nivel mundial, más de 900 millones de ha de tierras arables están afectadas por sales (Meena et al. 2019, Bello et al. 2021) y reducen la productividad al 8% (Meena et al. 2019), en 2019 existían 265.09 millones de hectáreas irrigadas (FAO 2021) y cerca del 10% de esa superficie está saturada de sal; en las regiones áridas y semiáridas es cercano al 25%, lo que impacta en la seguridad alimentaria (FAO 2002), ya que la salinidad es el factor abiótico principal que afecta a los cultivos (Parada et al. 2006), incrementa la conductividad eléctrica, empobrece la estructura del suelo, baja densidad aparente y el potencial hídrico (El hasini et al. 2020, Mukhopadhyay et al. 2021), reduce la absorción de Nitrógeno, Fósforo y Potasio (Ibrahim, Osman y Mohamed 2019). El azufre elemental (S°) ha sido utilizado para disminuir el pH (Miyamoto 2020), recuperar y mejorar suelos salinos y alcalinos con problemas de estructura, aireación y permeabilidad. El S regula varios procesos bioquímicos y fisiológicos e induce la biosíntesis, el transporte y secreción de compuestos orgánicos (Bello et al. 2021), y síntesis de proteína y clorofila (Essa et al. 2019); en trigo incrementó la absorción total de Nitrógeno, Fósforo y Potasio (Ibrahim 2019). El pH alcalino influye en el crecimiento de las plantas disminuyendo la disponibilidad de nutrimentos para los cultivos como el cobre, hierro, zinc, manganeso, entre otros (Sierra et al. 2007). Además, el azufre es uno de los elementos esenciales para el crecimiento y desarrollo de las plantas (Woo et al. 2004). Para poder ser absorbido por las raíces de las plantas, el S elemental primero debe ser oxidado a sulfato por los microorganismos del suelo, como Thiobacillus spp. (Essa et al. 2019); ya que su oxidación se incrementa a temperatura alta del suelo, en suelos húmedos, a pH más alto y con alta cantidad de materia orgánica (FAO 2017, Essa et al. 2019). Con potencial de agua cercano a capacidad de campo, la oxidación del azufre es más rápida (Essa et al. 2019, Miyamoto 2020).
Los materiales orgánicos aplicados al suelo tienen varios efectos benéficos, tales como reducir el porciento de sodio intercambiable y la conductividad eléctrica, aumentar la capacidad de intercambio catiónico y la saturación de Ca2+, Mg2+ y K+ de los sitios de intercambio del suelo, amortiguar el pH, entre otros (Sundha et al. 2020). La gallinaza en dosis de 10 a 50 ton ha−1 mejora las propiedades físicas de suelos salino-sódicos (Agbede et al. 2008, Ewulo et al. 2008). Además, altas cantidades de gallinaza mejoran la disponibilidad de agua y nutrimentos, el crecimiento y rendimiento de la planta (Ewulo et al. 2008). También neutraliza los efectos nocivos del sodio en suelo y cultivos, y son una fuente de energía para los microorganismos, lo que induce la formación de agregados estables (Agbede et al. 2008). La incorporación de vermicomposta a cultivo de jitomate incrementa la absorción de N, P, K, Fe, Mn y Zn (Hafeez y Ewees 2018). El jitomate es medianamente sensible a las sales y el umbral es de 2.5 dS m−1 (Chinnusamy et al. 2005). Las sales disminuyen el crecimiento de la raíz del jitomate, por lo que se altera la absorción de agua, afectando la altura, número de hojas, área foliar y el rendimiento (Goykovic y Saavedra 2007). Con base en lo anterior, el objetivo fue evaluar el efecto del azufre y la gallinaza en los índices morfológicos y de producción de biomasa en jitomate, cultivado en un suelo suelo salino-sódico e irrigado con agua salina.
Materiales y métodos
La investigación se realizó de agosto a diciembre de 2016, en invernadero tipo malla sombra, localizado en el municipio de Moctezuma, San Luis Potosí (22o 45’ LN y 101o 05’ LO); a altitud de 1 720 msnm, con clima cálido, y temperatura media anual de 18.2 ◦C. Se utilizó semilla hibrida de jitomate saladette (Conan USATX 2112), de crecimiento determinado precoz. Los tratamientos provinieron de un factorial 2x4; dos dosis de azufre 750 (S1) y 1 500 (S2) kg ha−1 y cuatro de gallinaza (1, 2, 3 y 4 t ha−1). El arreglo de tratamientos fue en parcelas divididas, bajo un diseño experimental de bloques completos al azar, con tres repeticiones. Las parcelas grandes correspondieron a los niveles de azufre y las chicas a los de gallinaza. En total se establecieron 24 unidades experimentales, con 12 camas de cultivo cada una de 30 m de longitud y 1.6 m de ancho.
Al inicio del estudio, se realizaron análisis físicos y químicos del suelo y del agua de acuerdo con la Norma Oficial Mexicana (SEMARNAT 2002). El suelo presentó textura franca, alto contenido de materia orgánica (M.O.) (4.7%) (SEMARNAT 2002), 0.235% de N-total y 43.8 cmol (+) kg como capacidad de intercambio catiónico (CIC). El Ca++, Na+, Mg++ y K+ ocuparon el 40.4, 30.3 17.45 y 11.8%, respectivamente, del valor total de la CIC. La concentración de aniones HCO3−, SO4 2− y Cl− resultaron prácticamente iguales (42 mEq L- 1). El pH alcalino (8.4) y conductividad eléctrica (C.E.) de 4.8 dS m−1. Se estimó un valor de 5.2 en la relación de adsorción de sodio (RAS) y 30.4 cmol (+) kg como el porcentaje de sodio intercambiable (PSI) conforme a la ecuación de Richards (1954); clasificando el suelo salino-sódico Garrido (1994), Tabla 1. El agua presentó una CE de 1.6 dSm−1 (1 024 ppm de sales disueltas) considerada como de alto riesgo de salinidad (Ayers y Westcot 1985). Con base a la RAS estimada de 4.1 meq L−1 y a la CE, el agua se clasificó como clase C3-S1 de alta salinidad con bajo contenido de sodio, recomendada para utilizarse en suelos con buen drenaje y en cultivos muy tolerantes a la salinidad (Blasco y de la Rubia 1973). El agua presentó 7.8 meq L−1 de Na+ (179.4 ppm) valor alto con respecto al contenido deseable (< de 50 ppm) (Ayers y Westcot 1985), con riesgo medio de toxicidad para los cultivos de 3 a 9 meq L−1, además el problema se agrava por la presencia de carbonato o bicarbonato de sodio, lo que puede explicar el alto contenido del sodio en el suelo al inicio del experimento. Al finalizar el experimento se colectaron cuatro muestras de suelo compuestas de seis submuestras, tomadas al azar y a una profundidad de 0 a 30 cm.
Tabla 1 Análisis químicos del suelo en función del tratamiento de S° y de gallinaza
| M.O. | CE | pH | HCO3− | Cl− | SO42− | Ca++ | Mg++ | Na+ | K+ | CIC | PSI | RAS | |
| % | dSm-1 | mEq /100g | |||||||||||
| Datos iniciales del suelo | |||||||||||||
| 4.7 | 4.8 | 8.4 | 42 | 42 | 42 | 40.4 | 17.45 | 30.3 | 11.8 | 43.8 | 5.2 | 30.4 | |
| t ha-1 | Después del tratamiento con gallinaza | ||||||||||||
| 1 | 4.0 | 0.8 | 7.7 | 2.3 | 1.9 | 4.8 | 5.6 | 9.6 | 1 | 1.1 | 17.3 | 5.7 | 0.51 |
| 2 | 4.2 | 1.4 | 7.6 | 3.1 | 1.7 | 15.6 | 8.6 | 15.2 | 1.2 | 1.2 | 26.3 | 4.5 | 0.49 |
| 3 | 5.3 | 1.3 | 7.6 | 3.4 | 2.9 | 17.7 | 13.1 | 21.6 | 1.5 | 1.1 | 37.3 | 4 | 0.5 |
| 4 | 6.0 | 1.0 | 7.8 | 4.6 | 2.7 | 9.7 | 24.8 | 34.2 | 1.4 | 1.2 | 61.7 | 2.3 | 0.37 |
| kg ha-1 | Después del tratamiento con azufre (S) | ||||||||||||
| 750 | 4.9 | 0.67 | 7.7 | 2.2 | 1.35 | 3.5 | 2.9 | 5.1 | 1.1 | 0.94 | 10.1 | 10.9 | 0.82 |
| 1500 | 4.8 | 1.6 | 7.5 | 4.5 | 3.2 | 20.4 | 23.2 | 35.1 | 1.4 | 1.40 | 61.2 | 2.2 | 0.36 |
Previo al trasplante, se realizó una fertilización mineral de fondo (40 N - 80 P2O5 - 50 - K2O kg ha−1) utilizando Sulfato de amonio, Superfosfato de calcio simple y Cloruro de potasio, respectivamente. Al mismo tiempo se aplicaron los tratamientos de azufre y de gallinaza. El trasplante se realizó el tres de agosto de 2016, utilizándose plántulas de 34 días de emergidas, con altura de 12 a 14 cm y vigor uniforme, las cuales, previamente fueron desinfectadas por inmersión en una solución de Previcur, Derosal y Manzate (1 g o mL L−1). Se estableció una hilera de plantas por cama de cultivo, con distancia entre plantas de 20 cm, estableciéndose una densidad de 3 plantas por m2. El riego y la fertilización fue por goteo con distancia entre goteros de 20 cm. El tallo de las plantas fue sostenido verticalmente con rafia y se mantuvo a una altura de 2.3 m. La cosecha inició a 63 y 83 días después del trasplante (DDT). La información incluida en el estudio sólo comprende lo correspondiente hasta 83 días después del trasplante (DDT).
La irrigación y fertilización, se realizó por cintilla, la cual se distribuyó en cuatro etapas fenológicas: a) Trasplante-Desarrollo vegetativo, b) Inicio de floración, c) Cuajado de fruto y d) Maduración (cosecha). La cantidad de agua total aplicada fue de 3 780 m3, distribuida: 157.5 m3 en desarrollo vegetativo, 1 102.5 m3 floración, 630 m3 cuajado de fruto, 787.5 m3 maduración de fruto y 1 102.5 m3 en cosecha; se aplicaron tres riegos diarios en las etapas a y b y dos en las etapas c y d; en todos los casos la duración del riego fue de 60 minutos. Desde el trasplante hasta la cosecha se aplicaron 350 N - 130 P2O5 - 450 K2O kg ha−1 mediante el riego, distribuida: el N en las etapas a y b 26.1, 55.2 en c y 18.4% en d; el P 38.9 en las etapas a y b, 41.3 en c y 17.7% en d; el K 17.1 en a y b, 52.0 en c y 29.18% en d.
En la planta de jitomate, se realizaron cinco muestreos no destructivos a los 14, 24, 30, 45, 69 DDT, en 12 plantas por tratamiento con tres repeticiones. A cada planta se le midió la altura (cm), diámetro del tallo (cm), número de hojas, largo y ancho de hoja para calcular el área foliar mediante el método del triángulo (Escalante-Estrada 1999). Mientras que a los 54, 63 y 83 DDT, correspondientes a las etapas de inicio de floración, cuajado de fruto e inicio de cosecha, respectivamente, se realizaron muestreos destructivos; en tres plantas por tratamiento. El material vegetativo se fraccionó en tallo, hojas y frutos, y se determinó peso en fresco y seco, para lo cual las muestras se colocando en bolsas de papel de estraza y se secaron en estufa de circulación de aire forzado a 80 oC hasta peso constante. El índice y duración del área foliar se estimaron con la misma frecuencia de las medidas directas, utilizando las fórmulas indicadas por Escalante y Kohashi (2015), basadas en masa seca, área foliar y tiempo.
El rendimiento se evaluó a los 63 y 83 DDT, se le determinó el peso total y por fruto. Con los resultados de las variables medidas y los índices estimados se realizó un análisis de varianza y comparaciones de medias mediante la prueba de Tukey a un nivel de significancia de p = 0.05. Todos los análisis se realizaron con el programa estadístico SAS (9.0) (SAS 2003). Mientras que las curvas de crecimiento se elaboraron con el programa de Excel y Curve Expert 1.4 y se ajustaron con base a una ecuación de regresión cuadrática específica para cada variable medida.
Resultados
Características del suelo
Las características químicas evaluadas en el suelo previo al establecimiento del experimento no fueron modificadas significativamente con las dosis de gallinaza estudiados, ni tampoco en la interacción azufre-gallinaza (Tabla 1). Respecto al pH inicial, de 8.4, el azufre incorporado lo disminuyó, proceso. De igual manera, la conductividad eléctrica disminuyó a 0.66 dS m−1 para S1 y 1.6 dS m−1 para S2 a comparación de la CE de 4.8 dS m−1 al inicio del experimento, se explican por la disminución en las cantidades totales de sales solubles por abatimiento en aniones y cationes en solución del suelo, en respuesta a la aplicación de azufre En este estudio, la CE disminuyó con la adicionarse de S y gallinaza como mejoradores del suelo. Los valores más altos para aniones y cationes se presentaron en S2. En cuanto a los cationes, el Ca++ en S1 presenta valores bajos, con relación a S2. El Mg++ tanto en S1 como en S2 es alto. Los valores de los aniones para ambas dosis de azufre se interpretan como valores altos.
La aplicación de una tonelada de gallinaza, con excepción del pH (7.7) y Cl (1.9 mEq 100 g−1), generó valores más bajos de MO (4%), CE (0.83 dS m−1), aniones (mEq 100 g−1) HCO3− (2.30), SO42− (4.8), de cationes (mEq 100 g−1), Mg++ (9.6), Na+ (1.0) K+ (1.1) y CIC (17.3) y de PSI más alto (5.7). La cantidad de MO, HCO3−, Ca , Mg++ y CIC se incrementó al aumentar la dosis de gallinaza, lo inverso ocurrió con el PSI. Por otro lado, los valores más altos de Cl−, SO42− y Na+ se alcanzaron con tres t ha−1 de gallinaza. Con base al análisis de varianza realizado no se encontraron diferencias significativas de las dosis de gallinaza, ni para la interacción azufre-gallinaza.
Índices morfológicos
Las características evaluadas en la planta presentaron diferencias por efecto de las dosis de gallinaza estudiados, sin embargo, estas diferencias y las presentadas por efecto de la interacción S y gallinaza no fueron significativas (p ≤0.05). La altura de la planta de jitomate tuvo cambios significativos durante su desarrollo. La altura significativa más alta se tuvo desde los 30 días después del trasplante (DDT) (50.9 cm) hasta los 83 DDT (136.2 cm) para el tratamiento S1, en contraste con el tratamiento S2 durante el mismo periodo fue de 45.5 hasta 117.5 cm de altura en las mismas etapas, respectivamente (Tablas 2 y 3, Figura 1 a y b). La tasa diaria de crecimiento, en términos de altura, fue de 1.74 cm en el tratamiento S1 y de 1.45 cm en el tratamiento S2 por DDT. Con respecto al diámetro de tallo no se observan diferencias significativas en la planta por efecto del azufre. El diámetro final del tallo fluctuó entre 1.97 y 2.075 cm. El número de hojas presentó diferencias significativas entre los tratamientos de azufre a los 45 y 83 DDT, las plantas desarrolladas en S1 presentaron 35.75 y 36.2 hojas por planta, respectivamente, y superaron el número de hojas de las plantas desarrolladas en S2 (27.4 y 17.5). En la Figura 1 e y f, se muestran los valores de coeficiente de regresión (R2) de 0.98 para S1 y 0.96 para S2.
Tabla 2 Cuadrados medios del análisis factorial completo para los índices morfológicos evaluados por tratamiento de azufre.
| DDT | 14 | 24 | 30 | 45 | 54 | 63 | 69 | 83 |
| Altura (cm) | ||||||||
| S1 | 19.83 | 42.25 | 50.92 | 77.00 | 47.50 | 65.92 | 118.58 | 136.25 |
| S2 | 20.17 | 35.83 | 45.50 | 62.92 | 43.33 | 77.42 | 100.58 | 117.50 |
| Promedio | 20.00 | 39.04 | 48.21 | 69.96 | 45.42 | 71.67 | 109.58 | 126.88 |
| Área foliar (cm2) | ||||||||
| S1 | 113.25 | 510.5 | 755.19 | 1173.54 | 1005.74 | 674.26 | 659.33 | 759.30 |
| S2 | 116.53 | 485.80 | 874.50 | 604.78 | 960.11 | 526.08 | 538.16 | 874.0 |
| Promedio | 114.89 | 620.50 | 1024.02 | 607.77 | 982.92 | 600.17 | 598.75 | 698.70 |
| Diámetro de tallo (cm) | ||||||||
| S1 | 0.50 | 0.75 | 0.96 | 1.30 | 0.73 | 1.43 | 1.49 | 1.97 |
| S2 | 0.60 | 0.68 | 1.02 | 1.25 | 0.75 | 1.27 | 1.38 | 2.07 |
| Promedio | 0.55 | 0.72 | 0.99 | 1.28 | 0.74 | 1.35 | 1.43 | 1.87 |
| Número de hojas por planta pl−1 | ||||||||
| S1 | 6.50 | 18.25 | 22.00 | 35.75 | 16.00 | 23.25 | 32.58 | 36.2 |
| S2 | 6.25 | 15.08 | 19.25 | 27.42 | 14.42 | 23.42 | 29.25 | 17.5 |
| Promedio | 6.38 | 16.67 | 20.63 | 31.58 | 15.21 | 23.33 | 30.92 | 40.40 |
| Índice de área foliar | ||||||||
| S1 | 0.34 | 1.2 | 2.26 | 3.52 | 2.81 | |||
| S2 | 0.33 | 0.98 | 1.45 | 2.62 | 3.11 | |||
| Promedio | 0.34 | 1.09 | 1.86 | 3.07 | 2.96 | |||
| Duración de área foliar | ||||||||
| S1 | 130.27 | 173.59 | 401.47 | 218.23 | 226.80 | 120.02 | 218 | |
| S2 | 90.35 | 122.43 | 332.84 | 211.26 | 200.64 | 95.78 | 211 | |
| Promedio | 110.31 | 148.01 | 367.15 214.74 | 213.72 | 107.90 | 214.5 | ||
Tabla 3 Diferencias significativas de los índices morfológicos evaluados por tratamiento de azufre.
| Dosis de azufre | Altura final (cm) | Diámetro de tallo | No de hojas | Área foliar (cm2) | Índice de área foliar | Duración de área foliar |
| S1 | 136.2 a | 2.1 a | 45 a | 759.30 a | 73.71 a | 218 a |
| S2 | 117 b | 1.6 a | 35 b | 638.10 b | 71.08 b | 211 b |
| Prob. de F | 0.53 | 0.059 | 0.5 | 0.58 | 0.054 | 0.052 |
Valores con la misma letra no son significativamente diferentes

Figura 1 Altura de planta (cm) y área foliar (cm2) en respuesta a los tratamientos de azufre: 750 (S1) y 1500 (S2) kg ha−1
Los valores de área foliar (AF, cm2) presentaron diferencias significativas (p ≤ 0.05) a los 30 (755.1) y 45 (1173.5) DDT en S1, posteriormente disminuyó, manteniéndose hasta los 83 DDT (759.3 cm2 hoja−1). Lo anterior significó un crecimiento vigoroso durante los primeros 45 DDT para después reducirse ligeramente y sostenerse conforme se incrementa la formación y producción de frutos. Los valores de AF en el tratamiento S2, a los 30 y 45 DDT, fue de 485.8 y 874 g cm2, respectivamente; este último valor de AF, se mantiene en floración y cuajado del fruto (Figura 1a y b). Durante los siguientes 40 días, el área se mantuvo próxima a los 1 450 cm2 hoja−1 para después descender a los 750 cm2 hoja−1 y sostenerse hasta los 83 DDT.
Con el ANOVA del IAF se muestran diferencias significativas a los 30 y 45 DDT entre el tratamiento S1 (2.26 y 3.52) en contraste con S2 (1.45 y 2.62), respectivamente (Tablas 2 y 3, Figura 1 e y f). Los valores de índice de área foliar (IAF) y duración de área foliar (DAF) corresponden con los valores de AF anteriormente expuestos, desde los 14 hasta los 45 DDT, lo que coincide con la floración que ocurrió a los 40 DDT. El IAF fue significativo y coincide con el valor más alto en AF determinado durante el ciclo del cultivo. La DAF en jitomate correspondiente al tratamiento S1 fue significativamente superior a 14 (130.2 días), 30 (173.5 días) y 45 DDT (401.4) con respecto a los encontrados en el tratamiento S2 (90.3, 122.4 y 332.8 días; respectivamente).
Peso seco total y su distribución en hoja, tallo y fruto
Los valores de masa seca (MS) de la planta que recibió 750 kg ha−1 de S (S1) fueron significativos (p ≤ 0.05) y superiores a los registrados a los del tratamiento S2. A la etapa de floración (54 DDT) y al inicio de cosecha (83 DDT) la MS producida en la planta desarrollada en S1 superó 2.13 y 1.8 veces el valor de la MS registrada con 1500 kg ha−1 (S2), respectivamente. La tendencia (p 0.05) antes mencionada, se observó también en la MS de hojas y tallos. Las plantas desarrolladas con el tratamiento S1 presentaron mayor peso seco total por planta (PSTo) con respecto a S2, tendencia registrada en el peso seco de todos los órganos de la planta. El peso seco de hojas (PSH) y PSTo alcanzaron su máximo valor a los 83 DDT. A estos DDT, el PSTo obtenido con el tratamiento S1 (75.6 g pt−1) superó significativamente al PSTo del tratamiento S2 (31.2 g pt−1). El PSH presentó el mismo comportamiento y resultó significativamente menor en S2 (38.04 g pt−1) que en S1 (68.28 g pt−1), a los 83 DDT, algo similar resultó a las 54 DDT. No hubo diferencias significativas en peso seco del fruto (PSFr). El PSTo por planta a los 83 DDT, en el tratamiento S1 fue significativamente mayor (177.42 g pt−1) al del S2 (98.64 g pt−1). A los 54 DDT, el PSH con respecto al total en ambos tratamientos de azufre, fue similar, dado que sus valores oscilaron entre 50.83 y 56.9%. El porcentaje de PSH disminuyó a los 63 y 83 DDT en ambos tratamientos de azufre S1 (35.28 y 38.57%) y S2 (37.9 y 38.5%), respectivamente. Comportamiento similar se tuvo a los 83 DDT, donde el PSH tanto en S1 como en S2 resultó igual (38.5%). Con respecto al porcentaje de PSFr en S1 (18.94%) fue menor al del tratamiento S2 (29.8%). Para ambos tratamientos, los porcentajes en PST y PSH disminuyeron a medida que desarrolló el fruto de jitomate. Para la materia seca, el mayor porcentaje de biomasa seca por fruto y plantas más desarrolladas se obtuvo a los 83 DDT en el tratamiento S1, lo que significa que los frutos del primer tratamiento tuvieron hidratación y peso mayores por unidad (Tabla 4).
Tabla 4 Peso seco de las distintas estructuras de la planta jitomate en respuesta a los tratamientos de azufre: 750 kg ha−1 (S1) y 1500 (S2) kg ha-1.
| Tratamiento | Días después del trasplante | ||
| 54 | 63 | 83 | |
| Peso seco hojas (g pt-1) | |||
| S1 | 67.2a | 52.44a | 68.28a |
| S2 | 31.5b | 49.56a | 38.04b |
| Pr > F | 0.045 | 0.851 | 0.006 |
| Peso seco tallo (g pt-1) | |||
| S1 | 65ª | 45.98ª | 75.6ª |
| S2 | 23.8b | 37.884a | 31.2b |
| Pr > F | 0.008 | 0.623 | 0.053 |
| Peso seco frutos (g pt-1) | |||
| S1 | 21.54a | 33.54a | |
| S2 | 18.74a | 29.4a | |
| Pr > F | 0.792 | 0.816 | |
| Peso seco total (g pt-1) | |||
| S1 | 132.2a | 119.96a | 177.42a |
| S2 | 55.3b | 106.184a | 98.64b |
| Pr > F | 0.0069 | 0.846 | 0.0359 |
Valores con la misma letra no son significativamente diferentes
Componentes de rendimiento de fruto fresco
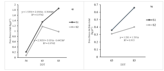
Los valores de la biomasa fresca total (BFt) fueron siempre superiores y estadísticamente diferentes a los registrados en las plantas desarrolladas en S1; el peso de fruto fresco (PFrF) mostró la misma tendencia, sólo que las diferencias significativas se tuvieron a los 83 DDT (Tabla 5). Esta diferencia se asocia al mayor peso por fruto (PF) obtenido con el tratamiento S1 (93.16 g pt−1) con respecto a S2 (69.7 g pt−1). El peso de fruto en los tratamientos S1 y S2 resultó significativamente diferente, 177 y 124 (g pt−1), lo cual representa un peso total acumulado de 6.3 y 5.1 kg pt−1, respectivamente. No hubo diferencias en el número de fruto por planta entre ambos tratamientos (6 y 7; respectivamente). La tendencia de estas variables cuantificadas mediante muestreo destructivo, se ajustaron a una ecuación de regresión cuadrática específica para cada variable medida (Figura 2a y b). En relación con el peso fresco del fruto (PFF), a los 83 DDT con el ANOVA se encontró diferencia en esta variable entre los tratamientos de azufre (S1 y S2,) de 0.559 y 0.490 kg pt−1, respectivamente. Los valores obtenidos en esta variable se ajustan a una ecuación lineal.
Tabla 5 Peso fresco de frutos y de la planta jitomate en respuesta a los tratamientos de azufre: 750 (S1) y 1500 (S2) kg ha−1.
| Tratamiento | DDT | ||
| 54 | 63 | 83 | |
| Peso total de frutos (kg pt-1) | |||
| S1 | 0.359a | 0.559a | |
| S2 | 0.309a | 0.490b | |
| Pr > F | 0.5752 | 0.0591 | |
| Peso total de la planta en fresco (kg pt-1) | |||
| S1 | 0.213a | 1.345a | 1.759a |
| S2 | 0.079b | 1.174b | 1.068b |
| Pr > F | 0.0593 | 0.0328 | 0.0277 |
Valores con la misma letra no son significativamente diferentes
Discusión
Características del suelo
La salinidad reduce la calidad del suelo y afecta la producción de la gran mayoría de las especies agrícolas (Ruiz et al. 2014, Ibrahim et al. 2019). La disminución de la CE se explica por la diminución de las sales solubles por el abatimiento de aniones y cationes en solución del suelo, en respuesta a la aplicación de azufre y gallinaza, estos mejoradores posiblemente indujeron la conversión de CaCO3 a CaSO4 y a Ca(HCO3)2. Con altos niveles de un solo catión, puede ocurrir deficiencias en la planta de otros cationes por competencia de absorción o intercambio catiónico de la planta, por ejemplo, el ion sodio afecta el metabolismo de la planta y reduce la eficiencia fotosintética (El hasini et al. 2020). El K+ para S1 y S2 presentó valores de 0.6 a 2 mEq 100 g−1 suelo. Con base en los valores medios finales obtenidos y en respuesta a la cantidad de gallinaza aplicada, independientemente de la cantidad de azufre elemental, S◦, el pH, la CE, el HCO3, Na y el PSI (2.3), el suelo al final del experimento no presentó problemas por salinidad ni por sodio, lo cual concuerda con lo mencionado por Garrido (1993), contrario a la clasificación del suelo salino-sódico al inicio del experimento. Para su recuperación es indispensable caracterizar el problema, entender las causas de la acumulación de sales, evaluar la calidad del agua para riego y predecir su posible participación en la causa de salinidad o sodicidad. Para corregir deficiencias nutricionales, en suelos alcalinos, se recomienda disminuir el pH mediante la adición de azufre elemental (S◦) (Cifuentes y Lindemann 1993, Miyamoto 2020, Bello et al. 2021), ya que también reduce la CE y el SAR y se incrementa la solubilidad de los nutrientes para la planta (Ibrahim et al. 2019). Al respecto, existió mayor eficiencia con el tratamiento S1 (750 kg ha−1) que con S2 (1 500 kg ha−1). Lo cual coincide con García y Castillo (1993) quienes reportan mayor eficiencia relativa de oxidación con dosis inferiores a 1 000 kg ha−1, dosis mayores ralentizan el proceso de oxidación. Las altas cantidades de SO4 2− del tratamiento S2, puede atribuirse a alta población o actividad y eficiencia de las bacterias oxidantes del S◦ (Thiobacillus spp.) y, probablemente, también a un desequilibrio químico en el medio bajo esta condición (García y Castillo 1993). Nuestros resultados también coinciden con lo mencionado por Ibrahim et al. (2019) quienes reportan mayor absorción de NPK en trigo con la aplicación de azufre. Para que ocurra la oxidación del S◦ es indispensable equilibrio en la distribución de los poros por tamaño y humedad a capacidad de campo (Miyamoto 2020). También es importante que el tamaño de partícula del S◦ permita una mayor superficie de contacto y reactividad con el suelo, y un tiempo razonable para que la reacción avance hasta el estado final de la forma SO4 -2 (García y Castillo 1993, Essa et al. 2019).
El efecto benéfico de la materia orgánica sobre la oxidación del S◦, observado en este estudio, coincide con lo reportado por Cifuentes y Lindemann (1993) quienes encontraron mayores tasas de oxidación de S◦ en suelos ricos en materia orgánica. Lawrence y Germida (1988) encontraron que a mayor disponibilidad de fósforo se favorece la oxidación de azufre. Lo anterior coincide con nuestros resultados ya que se hicieron aplicaciones de ácido fosfórico con fines de acidulación, por lo que este P favoreció la oxidación del S◦, la reducción del contenido de Na soluble y la consecuente disminución del PSI. Con base en los valores medios obtenidos en respuesta a la cantidad de gallinaza aplicada, independiente mente de la cantidad de S◦, el pH, CE, HCO, Na, RAS y PSI, determinados al final del ciclo, se observó disminución en los problemas por salinidad y por sodio (Garrido, 1994); contrario a la clasificación del suelo salino-sódico al inicio del experimento.
El azufre aplicado al suelo estuvo sujeto a oxidación a SO4 -S por autótrofos como especies de Thiobacillus spp. (Essa et al. 2019), especialmente por T. thiooxidans (Chapman 1990, Miyamoto 2020), lo que transforma el azufre a sulfato en condiciones aeróbicas, disminuyendo el pH del suelo (Deng y Dick 1990, Miyamoto 2020). Además de los microorganismos del suelo, existen factores físicos que influyen en la tasa de oxidación del azufre, los más importantes son: humedad, temperatura, tipo de suelo y tamaño de la partícula de azufre (Deng y Dick 1990, Essa et al. 2019). La tasa de oxidación del azufre mineral se incrementa con la disminución del diámetro de la partícula e incremento de la temperatura (Essa et al. 2019), siendo recomendable un tamaño menor a 0.14 mm (Sierra et al. 2007). La humedad alta limita la oxidación, posiblemente por reducción de la aireación del suelo, siendo más eficiente a capacidad de campo (Essa et al. 2019). La saturación de un suelo favorece la reducción de sulfatos y puede contribuir a la formación de suelos sódicos debido a la formación de carbonato de sodio (Na2CO3). Se ha encontrado que una concentración de NaCl mayor a 9% reduce la tasa de oxidación del azufre, inhibiéndola en 11% (Miyamoto 2020). En suelos moderadamente sódicos, los microorganismos oxidantes de azufre, que toleran altos niveles de sales libres y sodio intercambiable, son un factor importante que influye en la oxidación del S◦. Para el crecimiento y desarrollo del jitomate en este estudio, el haber mantenido el suelo a capacidad de campo, no tuvo disminución del grado de oxidación del S◦, sino lo contrario. El efecto benéfico de la materia orgánica sobre el proceso de oxidación del S◦ observado, también ha sido reportado por Cifuentes y Lindemann (1993) quienes encontraron mayores tasas de oxidación de S◦ en suelos ricos en materia orgánica. Mientras que Lawrence y Germida (1988) encontraron que a mayor disponibilidad de fósforo mayor oxidación de azufre. Nuestros resultados se pueden explicar por el hecho de que los abonos orgánicos además, mejoran la densidad aparente del suelo, la estabilidad de agregados, la conductividad hidráulica y reducen el pH, la CE y la ESP de los suelos afectados por sales (Mukhopadhyay et al. 2021), así como la capacidad de retención de agua, porosidad, capacidad de infiltración, conductividad hidráulica, entre otros beneficios (Hafeez y Ewees 2018, Meena et al. 2019, Sundha et al. 2020), reflejándose en el crecimiento, en la cantidad y rendimiento del jitomate en presencia de azufre (Essa et al. 2019). Nuestros resultados también coinciden con lo encontrado por Hafeez y Ewees (2018) quienes, para jitomate, también reportan aumento en la absorción de N, P, K, Fe, Mn y Zn.
Índices morfológicos
Los cambios significativos de la altura de la planta se manifestaron en una curva sigmoidea, comportamiento similar al reportado por Barraza (2004) para jitomate con crecimiento indeterminado. Por otro lado, respecto a las diferencias significativas del número de hojas impacta favorablemente en el desarrollo del cultivo; en este sentido, Aguilar-García et al. (2005), para girasol, encontraron alta relación del rendimiento de semilla, biomasa, área foliar y duración de la misma. El área foliar mayor en el tratamiento S1 se debe al tamaño de las hojas y no a su número. Al respecto se sabe que las plantas con mayor área foliar y ambiente favorable, son más eficientes en la captación de energía solar y en la fotosíntesis, que conlleva a un mejor rendimiento de fruto por planta, tal como sucedió en este estudio (Figura 1a y b). Como resultado se tuvo mayor IAF con S1 (2.26 y 3.52) que con S2 (1.45 a 2.62), lo cual es mayor a lo reportado (0.5 a 4.5) por Barraza et al. (2004), quienes, para jitomate, reportan IAF mayor durante los primeros 40 DDT, y agregan que dependió del número de hojas, de la velocidad de crecimiento y del tamaño final. En ese mismo sentido, Ponce et al. (2013) mencionan que a mayor IAF la planta intercepta mayor porcentaje de luz, por lo tanto, el IAF óptimo varía con la radiación solar. Aunque valores altos de este índice, en algunas ocasiones, no están siempre se relacionan con una mayor fotosíntesis, ya que el IAF es promedio de los estratos de follaje expandidos, y varían con la morfología de las especies y las condiciones ambientales (Barraza 2004). El comportamiento de la DAF, mayor en S1 que en S2 (Figura 1e y f), creciente desde el trasplante, coincide con lo mencionado por Cayón (1992) respecto a que la fotosíntesis aumenta hasta la madurez, disminuyendo con la edad; con los mayores valores al comienzo del ciclo del cultivo en la etapa fenológica de desarrollo de hojas (Santos et al. 2010), y con el máximo número de hojas (Barraza et al. 2004). Lo cual tal vez se deba a que el contenido de nutrimentos de torna limitante y las hojas jóvenes y frutos se convierten en depósito preferencial, a donde serán exportados estos nutrimentos (Cayón 1992).
Peso seco total y su distribución en hoja, tallo y fruto
Los mejores rendimientos de jitomate y frutos con mayor peso e hidratación en el tratamiento S1, se puede deber al mayor desarrollo de las plantas. Al respecto, Ho y Grimbly (1990) afirman que la fotosíntesis sólo es responsable de menos de 10% de la acumulación de materia seca de la fruta; ya que la mayor cantidad proviene de los fotoasimilados producidos en las hojas y transportados a los frutos (Casierra-Posada et al. 2009). A diferencia de los resultados a los 83 DDT, Heuvelink et al. (2005) reportan que la mayor cantidad de materia seca fue destinada hacia los frutos y en menor proporción a los tejidos foliares. En referencia a la influencia de la salinidad, Andriolo et al. (2003) para jitomate cultivado en invernadero a varios niveles de salinidad, reportan desarrollo y crecimiento diferente entre estaciones, con mayor acumulación de biomasa en primavera que en otoño.
La aplicación de S◦ mantiene la productividad del suelo y se obtienen los mejores atributos de rendimiento del cultivo (Hafeez et al. 2018). La disminución de la CE y del pH se debió a la adición del S◦ y de gallinaza, lo cual coincide con lo mencionado por Sundha et al. (2020) respecto a que los abonos orgánicos reducen el PSI, la CE, aumentan la CIC y la saturación de Ca2+, Mg2+ y K+ de los sitios de intercambio. Lo anterior se reflejó en el mayor rendimiento con S1, y coincide con lo reportado por Essa et al. (2019) respecto a que la adición de vermicomposta junto con azufre mejoró la productividad y crecimiento de jitomate. No se observó relación entre el contenido original de sulfatos en el suelo y la eficiencia de oxidación de S◦, lo cual hace suponer que el exceso de sulfatos en el medio restringe el proceso de oxidación. Los altos contenidos de SO4 2− encontrados en las muestras de suelo al inicio del experimento pudieron provenir de altas aplicaciones históricas de sulfato de potasio como fertilizante. La influencia probable de los iones SO4 2− en el intercambio catiónico en suelos sódicos no ha recibido mucha atención probablemente a causa de que los SO4 de Ca y Mg son más solubles que los CO3. Con base en lo anterior, se asume que el posible desbalance nutricional esperado para el jitomate, se vio superado por la adición de S◦ y de gallinaza, los cuales disminuyeron significativamente el pH, CE, Na, PSI y RAS, conjuntamente con abastecimiento nutrimental adecuado. No obstante, se observó que el tratamiento S2 causó un retraso en las etapas iniciales de crecimiento de la planta, recuperándose en la etapa final del experimento, por lo que las características morfológicas y sus componentes de rendimientos fueron afectados de manera negativa y significativa al crearse condiciones no favorables para un desarrollo normal del jitomate.
Conclusiones
El azufre y la gallinaza mejoraron el suelo al disminuir el contenido de sodio y la salinidad. No obstante, los índices morfológicos y los componentes de rendimiento solamente se vieron favorecidos significativamente por el azufre. La cantidad de SO4 disminuyó un 91.4% con la adición de 750 kg ha−1 y 51.4% con 1 500 kg ha−1. La adición de 750 kg de S ha−1 benefició los componentes morfológicos: altura de planta, NH, AF, IAF y DF. Con esa misma dosis de azufre, a los 83 DDT, la planta en el fruto acumuló 177.4 g pt−1 (35%) de materia seca, y con 15 00 solamente un 18%, la mayor cantidad de MS se relacionó con mayor rendimiento de fruto fresco obtenido con 750 kg ha−1 de S (550 g pt−1) en comparación con 1 500 kg ha−1 (490 g pt−1). Así mismo, los frutos tuvieron mayor peso 98.6 y 69.7 g p−1 con la dosis de S más baja y alta, respectivamente










nova página do texto(beta)




