Services on Demand
Journal
Article
Indicators
-
Cited by SciELO -
Access statistics
Related links
-
Similars in
SciELO
Share
Ingeniería agrícola y biosistemas
On-line version ISSN 2007-4026Print version ISSN 2007-3925
Ing. agric. biosist. vol.14 n.1 Chapingo Jan./Jun. 2022 Epub Oct 24, 2022
https://doi.org/10.5154/r.inagbi.2021.04.065
Artículo científico
Calidad del suelo en el cultivo de ajo en transición agroecológica en río Negro, Argentina
1Universidad Nacional del Comahue, Centro Universitario Regional Zona Atlántica Ayacucho y Esandi. Viedma, Río Negro, C. P. 8500, ARGENTINA.
2Centro de Recursos Naturales Renovables de la Zona Semiárida (Cerzos - Conicet). Camino La Carrindanga km 7, Bahía Blanca, Buenos Aires, C. P. 8000, ARGENTINA.
3Unidad Integrada para la Innovación del Sistema Agroalimentario de la Patagonia Norte. Camino 4, Río Negro, C. P. 8500, ARGENTINA.
Introducción:
La transición agroecológica es la adopción de diferentes prácticas que tienden a una agricultura sostenible, entre las cuales destaca la sustitución de insumos sintéticos por otros alternativos u orgánicos.
Objetivo:
Evaluar los cambios en la calidad físico-química y biológica de los suelos abonados con compostaje de residuos de cebolla y estiércol bovino en un cultivo de ajo.
Metodología:
En un cultivo de ajo con riego gravitacional se probaron tres fuentes de fertilización: 1) compostaje de residuos de cebolla con estiércol bovino, 2) fosfato monoamónico y 3) compostaje más fosfato monoamónico. Se tomaron cinco muestras suelo en fechas diferentes y se determinó la respiración edáfica, la actividad de la esterasa y la deshidrogenasa, y la fertilidad.
Resultados:
Se obtuvieron rendimientos similares de ajo con las diferentes fuentes de fertilización. En los suelos con compostaje disminuyeron la conductividad eléctrica y la relación de absorción de sodio, pero fueron aumentando hasta alcanzar valores similares al suelo que recibió fertilización mineral.
Limitaciones del estudio:
La propuesta de transición agroecológica resulta sustentable si la producción del compostaje se realiza en el mismo establecimiento.
Originalidad:
Se propone el uso de compostaje de los residuos de la producción de cebolla y estiércol bovino como alternativa para la reducción de insumos sintéticos en la producción de ajo morado.
Conclusiones:
La aplicación de compostaje de residuos de la producción de ciclos anteriores resultó una alternativa sustentable para la transición agroecológica del cultivo de ajo morado con riego gravitacional en el valle inferior del río Negro.
Palabras clave Allium sativa; salinidad; fertilidad; respiración edáfica; actividad enzimática
Introduction:
Agroecological transition is the adoption of different practices that tend towards sustainable agriculture, among which the substitution of synthetic inputs by alternative or organic ones stands out.
Objective:
To evaluate the changes in the physicochemical and biological quality of soils fertilized with onion residue compost and cattle manure in a garlic crop.
Methodology:
Three sources of fertilization were tested in a garlic crop with gravity irrigation: 1) compost of onion residues with cattle manure, 2) monoammonium phosphate and 3) compost and monoammonium phosphate. Five soil samples were taken on different dates and soil respiration, esterase and dehydrogenase activity, and fertility were determined.
Results:
Similar garlic yields were obtained with the different fertilization sources. In composted soils, electrical conductivity and sodium absorption ratio decreased, but increased until reaching similar values to the soil that received mineral fertilization.
Limitations of the study:
The agroecological transition proposal is sustainable if compost production is carried out on the same site.
Originality:
The use of compost from onion production residues and cattle manure is proposed as an alternative for the reduction of synthetic inputs in the production of morado garlic.
Conclusions:
The use of composted residues from the previous cycles production proved to be a sustainable alternative for the agroecological transition of morado garlic crops with gravity irrigation in the lower valley of Río Negro.
Keywords Allium sativa; salinity; fertility; soil respiration; enzymatic activity
Introducción
En 2019, Argentina fue el tercer país exportador de ajo en el mundo, luego de China y España (Fernández, 2019). Actualmente, en el país se producen 12 cultivares clonales de cinco tipos comerciales de Allium sativum; todos de clima templado o templado frío, destinados principalmente al mercado de productos frescos. Dichos cultivares tienen un rendimiento de 30 a 50 % mayor que sus poblaciones originales, y brindan una amplia oferta para los mercados externos, tanto en calidad como en tiempo (Burba et al., 2005). El incremento de la superficie cultivada de ajo morado resultó ser significativo en detrimento de los cultivares tradicionales, llegando a representar el 53 % de la producción en la provincia de Mendoza, con rendimientos de 11.36 y 12.38 t·ha-1 en las temporadas 2017 y 2018, respectivamente (Fernández, 2019). En 2015, se realizaron las primeras siembras comerciales de ajo morado en el valle inferior de río Negro (VIRN), con un aumento sostenido de la superficie cultivada con manejo convencional y alta carga de agroquímicos.
El manejo convencional de la producción hortícola está siendo cuestionado por los consumidores, quienes exigen a los productores prácticas amigables con el ambiente, como la disminución en el uso de agroquímicos, el uso eficiente del agua de riego, la implementación de cultivos de cobertura, entre otras. Esto obliga a plantear una producción sostenible, así como a adaptar los manejos de forma gradual a tecnologías tendientes a mejorar la calidad productiva de los suelos. La agroecología se caracteriza por aprovechar los procesos naturales de las interacciones que se producen en una huerta con el fin de reducir los insumos externos y mejorar la eficiencia biológica de los sistemas de cultivo (Sarandón & Flores, 2014). En este sentido, la aplicación de abonos orgánicos es una alternativa para la producción agrícola, y que presenta dos beneficios: mejora la fertilidad del suelo y recicla los desechos de la temporada anterior. El material orgánico compostado no sólo es una fuente de macro y micronutrientes, también mejora las características del suelo como la aireación, la capacidad de retención de agua, la densidad aparente, la agregación, la capacidad de intercambio catiónico y la actividad de la microflora (Paterlini et al., 2019).
La transición ecológica hacia una agricultura sostenible ocurre en varias fases: 1) eliminación progresiva de agroquímicos, 2) sustitución de insumos sintéticos por otros alternativos u orgánicos y 3) rediseño de los agroecosistemas con una infraestructura diversificada y funcional para generar sistemas que no requieran insumos externos. Estas fases tienden a asegurar un aumento en la biodiversidad del agroecosistema, la producción de biomasa y el contenido de materia orgánica del suelo, el establecimiento de relaciones funcionales y complementarias entre los diversos componentes del sistema productivo, y a una óptima planificación de secuencias y combinaciones de cultivos y animales; esto conlleva al aprovechamiento eficiente de recursos locales (Seba et al., 2017). Los productores del colectivo agroecológico del VIRN se encuentran en la primera fase de la transición agroecológica, para lo cual han probado diferentes fuentes de fertilización (compostaje de residuos del cultivo anterior, bocashis, lombricomposta, entre otros), han reducido las dosis de herbicidas para el control de arvenses, y han desarrollo vínculos entre consumidores y productores.
Doran y Parkin (1994) definieron la calidad del suelo como “la capacidad del suelo para funcionar dentro de los límites del ecosistema para atenuar los contaminantes ambientales y patogénicos, sostener la productividad de los animales y plantas, y asegurar la salud humana”. La calidad edáfica abarca los componentes físicos, químicos y biológicos del suelo, así como sus interacciones; por ello, es necesario evaluarlos de manera conjunta (Ghaemi et al., 2014).
La horticultura en el VIRN, Argentina, se caracteriza por la producción especializada de cebolla y zapallo, siendo el resto de las hortalizas parte de un grupo identificado como “hortalizas varias”. El conjunto de las producciones diversificadas se realiza por pequeños productores para abastecer, especialmente, mercados locales y la feria municipal. Sin embargo, en los últimos años, la producción de ajo, con la incorporación del cultivar Morado INTA, ha cobrado relevancia en cuanto a la superficie sembrada.
Debido al aumento en la superficie de ajo morado en la región y a la transición ecológica iniciada por los productores hortícolas del VIRN, el propósito de este trabajo fue evaluar los cambios en la calidad físico-química y biológica de los suelos abonados con compostaje de residuos de la producción de cebolla y estiércol bovino para la producción de ajo morado.
Materiales y métodos
Sitio experimental
El VIRN está ubicado a 40° latitud sur y 63° longitud oeste, al margen sur del río Negro en Argentina. El clima en la región es semiárido mesotermal, registrándose una precipitación media de 394 mm y temperatura media anual de 14.2 °C. Es una zona fértil, con suelos de textura fina a media, y cuenta con una red de canales para el suministro de agua de riego.
Este trabajo se realizó durante la temporada 2019 en un lote con riego gravitacional ubicado en la Chacra Experimental de la Unidad Integrada para la Innovación del Sistema Agroalimentario de la Patagonia Norte (UIISA), en el VIRN, Argentina, en donde el año anterior se cultivó cebolla. El suelo del sitio experimental es franco arcilloso, con pH de 7.9, conductividad eléctrica (CE) de 1.2 dS·m-1, 4.75 % de materia orgánica (MO) y 0.9 % de nitrógeno total (N).
Diseño experimental
En un lote de 5 000 m2 se establecieron tres bloques de 1 200 m2 (12 x 100 m), en donde se definieron tres parcelas de 12 x 25 m, una por cada tratamiento de fertilización: 1) orgánica (Co), compostaje de residuos de cebolla y estiércol bovino (8 kg·m-2) al momento de la siembra, 2) mineral (Mi), fosfato monoamónico al momento de la siembra (100 kg·ha-1) y urea cuando el cultivo presentó la tercer hoja (50 kg·ha-1) y 3) mixta (Co+Mi), compostaje + fosfato monoamónico al momento de la siembra (4 kg·m-2 + 50 kg·ha-1, respectivamente) y urea cuando el cultivo presentó la tercer hoja (25 kg·ha-1). Las dosis se determinaron de acuerdo con los requerimientos del cultivo y las contribuciones del suelo (Pellejero et al., 2021).
El 19 de marzo de 2019 se sembró ajo Morado INTA, un diente de ajo cada 10 cm a doble hilera sobre el camellón. Se efectuó un riego al momento de la siembra, y a partir de agosto se regó cada 15 días, según demanda del cultivo por el surco entre camellones. La cosecha se realizó el 18 de diciembre de 2019.
Características del compostaje
Se trabajó con residuos del procesamiento de cebolla de la empresa empacadora Quequen, ubicada en el VIRN. El manejo de las cebollas cosechadas implica la eliminación de raíces, hojas superiores y catáfilas exteriores, lo cual se utilizó para el compostaje por su alta relación C/N y como estructurante de alto contenido de nitrógeno de estiércol bovino. El compostaje maduro presentó un pH de 7.8, CE de 2.8 dS·m-1, MO de 21.6 %, N de 0.9 % y fósforo extraíble (P) de 0.23 % (Pellejero et al., 2017).
Las variables evaluadas en cada tratamiento se describen a continuación:
Rendimiento del cultivo. Al momento de la cosecha, se recogieron los ajos desarrollados en un metro lineal de camellón. A cada bulbo se le determinó el peso fresco y el diámetro ecuatorial para clasificarlos por calibre.
Muestras de suelo. A los 27, 85, 148, 237 y 274 días después la siembra (dds) se tomaron tres muestras de suelo de cada tratamiento. Cada muestra se conformó por 15 submuestras de los primeros 5 cm del suelo sobre el camellón de cultivo.
Indicadores biológicos: Sobre las muestras húmedas de suelo se determinó la respiración microbiana del suelo, la actividad de la deshidrogenasa y la actividad de la esterasa. Para la primera se incubaron 100 g de suelo húmedo, tamizado con malla de 2 mm, con 25 mL de NaOH (0.25 M) por 7 días en oscuridad a temperatura ambiente. Posteriormente, se titularon 10 mL del hidróxido con HCl (0.10 M) usando fenolftaleína como indicador. El dióxido de carbono producido se cuantificó comparándolo con un blanco sin suelo (Alef, 1995).
La actividad de la deshidrogenasa se determinó incubando 3 g de suelo húmedo con 0.5 mL de trifeniltetrazolium (TTC) a 37 °C por 24 h. El producto de la hidrólisis se extrajo con tres lavados con alcohol y se llevó a 50 mL. La concentración de trifenilformazan (TPF) se determinó por absorbancia a 480 nm (Casida et al., 1964). La actividad de la esterasa se obtuvo incubando 1 g de suelo húmedo en 7.5 mL de buffer fosfato con pH de 7.2 y 0.2 µL de fluoresceína diacetato (1 µg·mL-1 de FDA) por 30 min a 30 °C. La reacción se detuvo con 7.5 mL de acetona, y la fluoresceína liberada se cuantificó por absorbancia a 490 nm (Alef, 1995).
Indicadores químicos: Los suelos oreados se pasaron por un tamiz de 2 mm y se les determinó el pH en solución 1:2.5, la CE en pasta de saturación, la relación de absorción de sodio (RAS), el N por Kjeldahl, la MO por oxidación con dicromato de potasio (MO), el P por el método de Olsen y el potasio (K) disponible extraído con acetato de amonio por espectrometría de llama.
Análisis estadístico
Los datos obtenidos se sometieron a una análisis de varianza y una comparación de medias de Fisher (LSD, P ≤ 0.05). El coeficiente de correlación de Spearman se utilizó para explorar las correlaciones entre los parámetros microbiológicos y los físico-químicos. Todas las pruebas se realizaron con el programa estadístico InfoStat 2015 (Di Rienzo et al., 2015).
Resultados y discusión
Rendimiento del cultivo de ajo
El rendimiento total y el comercial (bulbos sanos de calibres 4 a 6) de los tres tratamientos de fertilización resultó similar (Figura 1). El rendimiento comercial (10.99, 12.29 y 10.33 t·ha-1 para Co, Mi y Co+Mi, respectivamente) fue similar al observado para el mismo cultivar de ajo en la provincia de Mendoza, Argentina, en las temporadas de 2017 y 2018 (11.36 y 12.38 t·ha-1, respectivamente) (Fernández, 2019).

Figura 1 Rendimiento del ajo producido con diferentes fuentes de fertilización. Co = compostaje de residuos de cebolla y estiércol bovino; Mi = fosfato monoamónico y urea; Co+Mi = compostaje + fosfato monoamónico y urea. Cada barra corresponde al promedio de tres muestras y los bigotes indican el error estándar.
Los rendimientos del ajo utilizando abono caprino o mineral resultaron similares en un ensayo realizado en el este de Etiopía por Tadila y Nigusie (2018) , aunque los mayores rendimientos se alcanzaron con la combinación de ambos fertilizantes en las mismas dosis. Por su parte, Ruiz et al. (2007) no encontraron diferencias en el cultivo de cebolla fertilizado con diferentes fuentes orgánicas, como estiércol bovino, caprino o gallinaza, aunque ellos no compararon los rendimientos con fertilización química, sino con un testigo sin fertilizar que rindió menos que los tratamientos con abono. Paterlini et al. (2019) tampoco observaron diferencias en el rendimiento del cultivo de lechuga al analizar diferentes dosis de compostaje de cama de pollo. Carelli y Defendente (2018) obtuvieron rendimientos similares al aplicar fertilización orgánica y mineral en el cultivo de rúcula. En el presente trabajo, obtener rendimientos similares a la fertilización química, en el primer año de uso de compostaje de cebolla y estiércol vacuno en el VIRN, es promisorio en esta primera fase de la transición agroecológica.
El 86 % del peso de los bulbos cosechados correspondió a los calibres medios (4 y 5). El tratamiento Mi presentó mayor proporción de bulbos grandes (calibre 6). En todos los tratamientos, los bulbos chicos (calibre menor a 4) representaron menos de 3 % del peso total de la cosecha (Figura 2). Además de los rendimientos, para el mercado es importante la homogeneidad en los calibres, característica que se observó en los tratamientos con aporte de compostaje.

Figura 2 Proporción en peso por calibre de bulbos de ajo producido con diferentes fuentes de fertilización. Co = compostaje de residuos de cebolla y estiércol bovino; Mi = fosfato monoamónico y urea; Co+Mi = compostaje + fosfato monoamónico y urea.
Una distribución similar a la del presente estudio se observó en la temporada 2018 en toda la provincia de Mendoza, Argentina, donde predominaron los ajos de calibre 5 (51 %), seguidos del calibre 6 (38 %) y el calibre 4 (6 %). Los tamaños medianos sumaron el 89 % del ajo morado producido en esa provincia argentina (Fernández, 2019).
Indicadores de calidad del suelo
Los indicadores de salinidad del suelo en los tratamientos Mi no se modificaron a lo largo del ensayo. Sin embargo, en los tratamientos donde se aplicó compostaje (Co y Co+Mi), el pH resultó similar al de Mi al inicio y aumentó 9 % a lo largo del ciclo del cultivo. De modo inverso, la CE resultó superior a la del suelo al comienzo del ciclo, y a lo largo del cultivo disminuyó un 53 %. Los valores de la RAS fueron bajos en todos los tratamientos, y con una dispersión elevada como para identificar variaciones a lo largo del ciclo del cultivo (Figura 3).

Figura 3 Comportamiento de los indicadores de salinidad del suelo en el cultivo de ajo con diferentes fuentes de fertilización. a) pH en relación 1:2.5, b) conductividad eléctrica (CE) en pasta de saturación y c) relación de la absorción de sodio (RAS). Co = compostaje de residuos de cebolla y estiércol bovino; Mi = fosfato monoamónico y urea; Co+Mi = compostaje + fosfato monoamónico y urea.
Benedicto-Valdés et al. (2019) observaron un aumento de 8 % en el pH al aplicar estiércol vacuno, partiendo de un pH del suelo y el estiércol similares entre sí. Por el contrario, cuando aplicaron estiércol caprino o gallinaza, no observaron cambios en el pH. Del mismo modo, pero con compostaje de cama de pollos, Paterlini et al. (2019) observaron el aumento del pH en una unidad en el cultivo de lechuga por trasplante, el cual coincide en fecha con el cultivo de ajo, pero tiene un ciclo más corto (55 días). El aumento de pH del suelo se podría deber al aporte del estiércol vacuno del compostaje utilizado en este trabajo, lo cual condicionaría su uso en zonas con suelos alcalinos como los del VIRN. No obstante, esta variable no afectó la calidad ni el rendimiento del cultivo.
La CE del suelo con estiércol bovino resultó superior a la del suelo sin abono en el ensayo de Benedicto-Valdés et al. (2019), aunque no se indica cuánto tiempo estuvo el estiércol en el campo y si se efectuaron riegos. En el presente trabajo se partió de un compostaje maduro, por lo que la CE era relativamente baja (2.8 dS·m-1) y parecía estar asociada a la contribución de iones sodio (RAS), los cuales fueron lavados con los sucesivos riegos. Por ello, en los primeros meses del cultivo, la CE se igualó en todos los tratamientos.
Al momento de la cosecha (finales de primavera), el pH de los suelos donde se incorporó abono orgánico (Co y Co+Mi) resultó superior al de los suelos con Mi. En cambio, la CE y la RAS resultaron similares en los tres tratamientos (Cuadro 1); esto debido a los múltiples riegos gravitacionales realizados (12 riegos de 30 mm), la calidad del agua del río Negro que se utiliza en el VIRN (CE 0.3 mS·cm-1) y al funcionamiento del sistema de drenaje que permite el lixiviado de las sales solubles junto al exceso de agua. Dichos resultados son contrarios a lo observado por Cebadero-Cayetano et al. (2020), quienes obtuvieron una disminución del pH con el aumento del contenido de carbono orgánico.
Cuadro 1 Valores de pH, conductividad eléctrica (CE) y relación de absorción de sodio (RAS) registrados en los primeros 5 cm del suelo al momento de la cosecha de ajo sometido a diferentes fuentes de fertilización.
| Tratamiento de fertilización | pH | CE (dS·m-1) | RAS (mEq·mEq-1/2) |
|---|---|---|---|
| Co | 8.68 ± 0.03 az | 0.97 ± 0.08 a | 2.0 ± 0.3 a |
| Mi | 8.02 ± 0.10 b | 0.93 ± 0.04 a | 1.5 ± 0.3 a |
| Co+Mi | 8.52 ± 0.03 ab | 0.95 ± 0.07 a | 1.9 ± 0.1 a |
| P | 0.029 | 0.981 | 0.296 |
Co = compostaje de residuos de cebolla y estiércol bovino; Mi = fosfato monoamónico y urea; Co+Mi = compostaje + fosfato monoamónico y urea. Cada valor corresponde al promedio de tres muestras ± error estándar. zMedias con la misma letra dentro de cada columna no difieren estadísticamente (LSD, P ≤ 0.05).
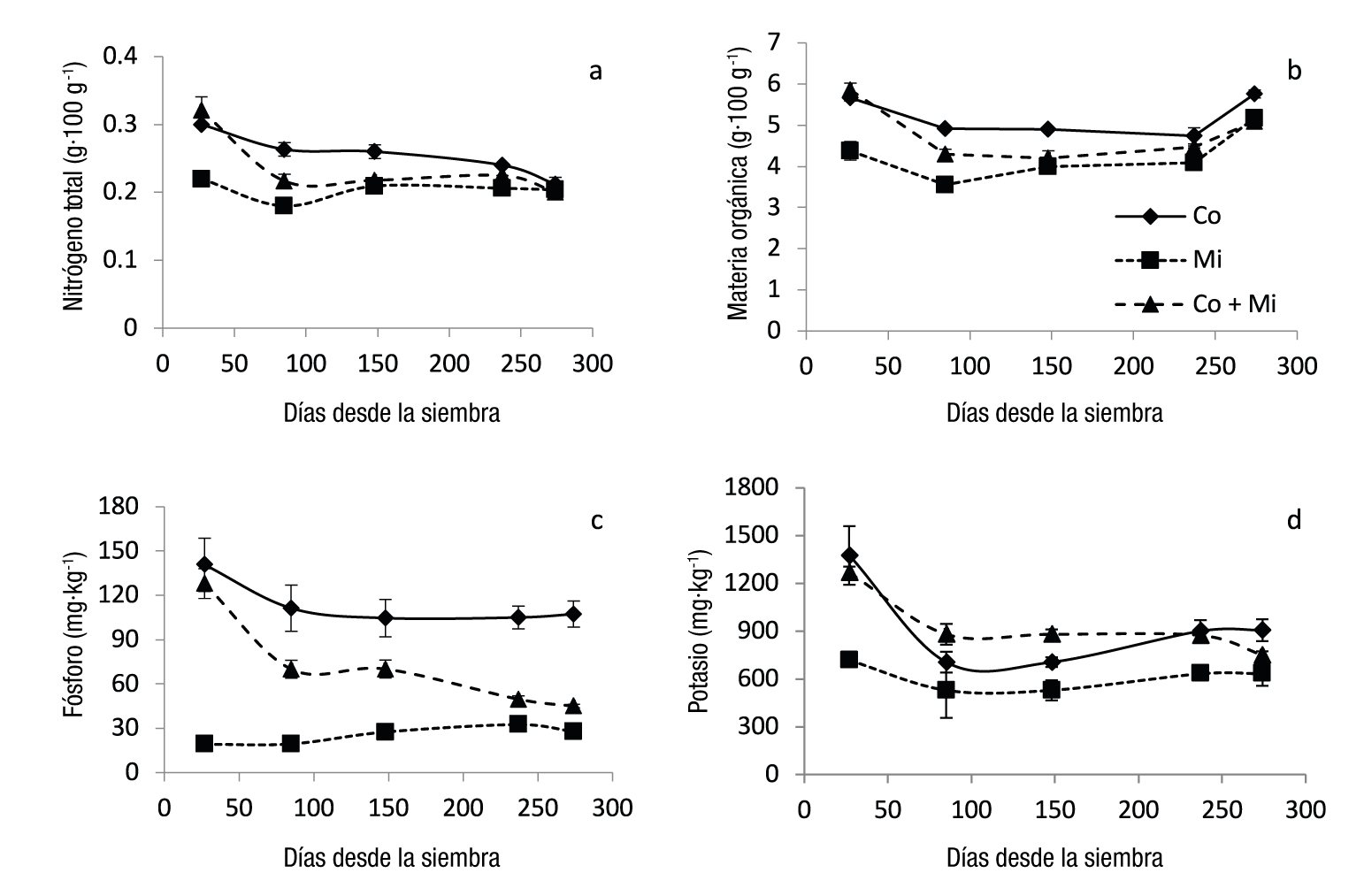
En el primer muestreo (27 dds), los cuatro indicadores de fertilidad evaluados (N, MO, P y K) resultaron superiores en los tratamientos con compostaje (Figura 4). El N total del suelo disminuyó a lo largo del ensayo, probablemente debido al lavado del amonio del estiércol vacuno, el cual habría causado la elevación del pH (Figura 4a). La MO también redujo a lo largo del ensayo, con un leve incremento en el último muestreo debido, probablemente, al aporte de residuos de hojas del propio cultivo de ajo y de las malezas (Figura 4b). El contenido de P en el suelo resultó significativamente superior (P ≤ 0.05) en los tratamientos con Co, debido a la menor movilidad de este nutriente en el suelo, especialmente a los pH alcalinos de la región (Figura 4c).

Figura 4 Cambios en los indicadores de fertilidad del suelo en el cultivo de ajo con diferentes fuentes de fertilización: a) nitrógeno, b) materia orgánica, c) fósforo y d) potasio. Co = compostaje de residuos de cebolla y estiércol bovino; Mi = fosfato monoamónico y urea; Co+Mi = compostaje + fosfato monoamónico y urea.
Las diferentes formas químicas del N en el suelo podrían justificar los mayores calibres observados en el tratamiento Mi, aunque los rendimientos totales con los tres tratamientos resultaron similares. Rodrigues et al. (2019) tampoco observaron diferencias en el contenido de N total en suelos de macetas con plantas de oliva después de 18 meses al aplicar ocho tratamientos de fertilización, los cuales incluían fertilización mineral, biochar y diferentes residuos orgánicos.
El tratamiento Co modificó significativamente (P ≤ 0.05) los indicadores de fertilidad del suelo durante el tiempo que estuvo el cultivo en campo. En dicho tratamiento, se observaron valores más altos de MO, P y K (1.2, 3.5 y 1.5 veces, respectivamente) que en los suelos con Mi o Co+Mi (Cuadro 2). Esta condición favorecerá al cultivo sucesor.
Cuadro 2 Indicadores de fertilidad registrados en los primeros 5 cm del suelo al momento de la cosecha de ajo producido con diferentes fuentes de fertilización.
| Tratamiento de fertilización | Nitrógeno total (g·100g-1) | Materia orgánica (g·100g-1) | Fósforo extraíble (mg·kg-1) | Potasio intercambiable (mg·kg-1) |
|---|---|---|---|---|
| Co | 0.21 ± 0.01 az | 3.35 ± 0.06 a | 97.6 ± 18.1 a | 906 ± 69 a |
| Mi | 0.20 ± 0.01 a | 2.90 ± 0.11 b | 27.7 ± 5.9 b | 632 ± 75 b |
| Co+Mi | 0.20 ± 0.01 a | 3.03 ± 0.02 b | 33.8 ± 3.4 b | 606 ± 22 b |
| P | 0.065 | 0.012 | 0.008 | 0.022 |
Co = compostaje de residuos de cebolla y estiércol bovino; Mi = fosfato monoamónico y urea; Co+Mi = compostaje + fosfato monoamónico y urea. Cada valor corresponde al promedio de tres muestras ± error estándar. zMedias con la misma letra dentro de cada columna no difieren estadísticamente (LSD, P ≤ 0.05).
Rodrigues et al. (2019) no observaron diferencias en el contenido de P en suelos con diferentes fuentes de residuos orgánicos, pero partieron de un suelo con mayor contenido de P y pH ácido; además, no mejoraron el contenido de MO con los tratamientos ensayados. La disponibilidad del P en el suelo está asociada a pH neutros y altos contenidos de MO (Andrades & Martínez, 2014); aunque Paladino et al. (2019) obtuvieron un mayor contenido de carbono orgánico y menor CE en suelos urbanos con tres años de producción agroecológica.
El comportamiento de las actividades biológicas resulto similar en los tres tratamientos durante el ciclo del cultivo. En general, los tres parámetros biológicos resultaron superiores con el tratamiento Co durante todo el ciclo; esto debido al aporte de microorganismos presentes en el compostaje de cebolla y el estiércol vacuno empleado (Figura 5). El incremento en la respiración de los microorganismos del suelo en el último muestreo se podría deber a la interacción de esta actividad con un evento de riego y las labores mecánicas realizadas para la remoción de malezas previo a la cosecha. Dicho efecto no se hizo evidente en las actividades de la esterasa y la deshidrogenasa porque al ser enzimas extracelulares se pudieron haber percolado con el riego.

Figura 5 Comportamiento de las actividades biológicas del suelo cultivo con ajo sometido a diferentes fuentes de fertilización: a) respiración (mgCO2·kgss -1 por 7 días), b) actividad de la esterasa (µgFDA·g-1) y c) actividad de la deshidrogenasa (mgTFF·g-1). Co = compostaje de residuos de cebolla y estiércol bovino; Mi = fosfato monoamónico y urea; Co+Mi = compostaje + fosfato monoamónico y urea.
Los parámetros biológicos al final del ciclo del cultivo resultaron significativamente superiores (P ≤ 0.05) con Co, siendo 37, 26 y 54 % superior al tratamiento con Mi para la respiración, la actividad de la esterasa y la actividad de la deshidrogenasa, respectivamente (Cuadro 3). Considerando lo anterior, resulta prometedor el aporte de abono orgánico para el ciclado de los nutrientes del suelo. Di Ciocco et al. (2014), con agricultura continua, reportaron disminución en la respiración edáfica y en la actividad de la deshidrogenasa, con lo que justificaron la necesidad de aportar microorganismos al suelo.
Cuadro 3 Actividades biológicas en los primeros 5 cm del suelo al momento de cosechar el ajo sometido a diferentes fuentes de fertilización.
| Tratamiento de fertilización | Respiración (mgCO2·kgss -1 por 7 días) | Actividad esterasa ((gFDA·g-1) | Actividad deshidrogenasa (mgTFF·g-1) |
|---|---|---|---|
| Co | 478.1 ± 46.8 az | 28.1 ± 0.5 a | 24.5 ± 0.2 a |
| Mi | 303.4 ± 27.2 b | 22.2 ± 2.1 b | 15.9 ± 1.2 b |
| Co+Mi | 343.3 ± 9.5 b | 23.7 ± 0.9 ab | 14.8 ± 1.7 b |
| P | 0.017 | 0.048 | 0.002 |
Co = compostaje de residuos de cebolla y estiércol bovino; Mi = fosfato monoamónico y urea; Co+Mi = compostaje + fosfato monoamónico y urea. Cada valor corresponde al promedio de tres muestras ± error estándar. zMedias con la misma letra dentro de cada columna no difieren estadísticamente (LSD, P ≤ 0.05).
El aporte de materia orgánica favorece la actividad microbiana, razón por la cual Cebadero-Cayetano et al. (2020) observaron un aumento en la actividad de la deshidrogenasa en lotes con aporte constante de broza, como un espartal o encinar. De manera similar, en el presente trabajo el incremento de materia orgánica estimuló las actividades biológicas presentes en el ciclado de nutrientes del suelo.
El coeficiente de correlación de Spearman muestra que la respiración edáfica se correlaciona significativa (P ≤ 0.05) y positivamente con la CE, la RAS y la MO; la actividad de la esterasa, con el N y el P, y la actividad de la deshidrogenasa, con el pH y la RAS. Esta última además se correlacionó negativamente con la CE (Cuadro 4). Di Ciocco et al. (2014) obtuvieron una correlación entre la respiración edáfica y la CE, la MO y el sodio, además de correlacionar positivamente con otras variables químicas como P, N y pH, lo cual no se observó en el presente estudio, ya que el suelo presentó mayor pH y menor contenido de N y P. Dichos autores analizaron la actividad de la nitrogenasa, y correlacionó positivamente con otras variables físico-químicas a las observadas con la respiración.
Cuadro 4 Correlación entre los parámetros microbiológicos y físico-químicos según Spearman.
| Parámetro | Respiración edáfica | Actividad de la esterasa | Actividad de la deshidrogenasa |
|---|---|---|---|
| pH | 0.228 | -0.017 | 0.620* |
| CE | 0.319* | 0.102 | -0.381* |
| RAS | 0.415* | -0.256 | 0.509* |
| N | -0.020 | 0.434* | -0.032 |
| MO | 0.573* | -0.036 | -0.057 |
| P | 0.195 | 0.480* | 0.051 |
| K | 0.243 | -0.123 | 0.206 |
*Correlaciones significativas (P ≤ 0.05). CE = conductividad eléctrica; RAS = relación de absorción de sodio; N = nitrógeno total; MO = materia orgánica; P = fósforo extraíble; K = potasio.
Conclusiones
En la primera fase de la transición agroecológica, con la eliminación progresiva de agroquímicos y la sustitución de insumos sintéticos por otros alternativos u orgánicos (compostaje), se obtuvieron rendimientos similares a los alcanzados con el manejo tradicional.
El uso del compostaje de los residuos de la producción de cebolla y el estiércol bovino en el cultivo de ajo morado aumentó los parámetros de fertilidad (MO, P y K) y biológicos (respiración microbiana, actividad de la esterasa y actividad de la deshidrogenasa) del suelo. Por otro lado, no se observaron diferencias con la fertilización mineral en la conductividad eléctrica ni en la relación de absorción de sodio al final del ciclo del cultivo, a pesar de haber presentado mayores valores al inicio. Lo anterior se pudo deber a los sucesivos riegos realizados.
La aplicación de compostaje de residuos de cultivos anteriores resultó una alternativa positiva, para ser implementada en la primera fase de la transición agroecológica en el cultivo de ajo morado con riego gravitacional en el valle inferior del río Negro.
References
Alef, K. (1995). Field methods. In: Alef, K., & Nannipieri, P. (Eds), Methods in applied soil microbiology and biochemistry (pp. 463-490). Academic Press Inc. https://doi.org/10.1016/B978-012513840-6/50025-2 [ Links ]
Andrades, M., & Martínez, M. (2014). Fertilidad del suelo y parámetros que la definen. Universidad de La Rioja. https://dialnet.unirioja.es/descarga/libro/267902.pdf [ Links ]
Benedicto-Valdés, G., Montoya-García, C., Vicente-Hernández, Z., Ramírez-Ayala, C., & Escalante-Estrada, J. (2019). Incorporación de abonos orgánicos y liberación de C-CO2 como indicador de la mineralización del carbono. Ecosistemas Recursos Agropecuarios, 6(18), 513-522. https://doi.org/10.19136/era.a6n18.2022. [ Links ]
Burba, J. L., Portela, J. A., & Lanzavechia, S. (2005). Argentine garlic I: a wide offer of clonal cultivars. Acta Horticulturae, 688, 291-296. https://doi.org/10.17660/ActaHortic.2005.688.41 [ Links ]
Carelli, G., & Defendente, L. (2018). Evaluación del efecto del abono orgánico, mulching vegetal y fertilización química en el cultivo de rúcula (Eruca sativa L.) en un invernadero con riego por goteo en Toay La Pampa. Semiárida, 28(2), 59-64. https://cerac.unlpam.edu.ar/index.php/semiarida/article/view/3728/3829 [ Links ]
Casida, L. E., Klein, D. A., & Santoro, T. (1964). Soil dehydrogenase activity. Soil Science, 98(6), 371-376. https://journals.lww.com/soilsci/Citation/1964/12000/SOIL_DEHYDROGENASE_ACTIVITY.4.aspx [ Links ]
Cebadero-Cayetano, M., Torres-Cordero, J. A., Siles-Colmenero, G., & Fernández-Ondoño, E. (2020). Cambios en el suelo por la utilización de ganado ovino en olivar ecológico. Spanish Journal of Soil Science, 10(1), 16-28. https://doi.org/10.3232/SJSS.2020.V10.N1.02 [ Links ]
Di Ciocco, C. A., Sandler, R. V., Falco, L. B., & Coviella, C. E. (2014). Actividad microbiológica de un suelo sometido a distintos usos y su relación con variables físico-químicas. Revista de la Facultad de Ciencias Agrarias, 46(1), 73-85. https://www.redalyc.org/pdf/3828/382837657006.pdf [ Links ]
Di Rienzo, J., Casanoves, F., Balzarini, M., Gonzalez, L., Tablada, M., & Robledo, C. (2015). InfoStat software estadístico ver. 2015. http://www.infostat.com.ar [ Links ]
Doran, J. W., & Parkin, B. T. (1994). Defining and assessing soil quality. In: Doran, J. W., Coleman, D. C., Bezdicek, D. F., & Stewart, B. A. (Eds), Defining soil quality for a sustainable environment (pp. 1-21). Soil Science Society of America, Inc. https://doi.org/10.2136/sssaspecpub35 [ Links ]
Fernández, V. (2019). Estimación de volúmenes y calibres de ajo: temporada 2018/2019. Instituto de Desarrollo Rural. https://www.idr.org.ar/wp-content/uploads/2019/05/estimacion_vol%C3%BAmenes_calibres_ajo_2018_2019.pdf [ Links ]
Ghaemi, M., Astaraei, A. R., Emami, H., Nassiri-Mahalati, M., & Sanaeinejad, S. H. (2014). Determining soil indicators for soil sustainability assessment using principal component analysis of Astan Quds- east of Mashhad- Iran. Journal of soil science and plant nutrition, 14(4), 1005-1020. http://dx.doi.org/10.4067/S0718-95162014005000077 [ Links ]
Paladino, I. R., Sokolowski, A. C., Wolski, J. E., Bregante, J., Visentini, J. V., Rodríguez, H., Rodriguez, E. P., Gagey, M. C., De Grazia, J., Debelis, S., & Barrios, M. B. (2019). Efecto de la horticultura agroecológica sobre propiedades químicas de suelos urbanos del gran La Plata. Reunión Argentina de Geoquímica de la Superficie, 5, 42-45. http://sedici.unlp.edu.ar/bitstream/handle/10915/77311/Documento_completo.pdf-PDFA.pdf?sequence=1&isAllowed=y [ Links ]
Paterlini, H., González, M. V., & Picone, L. (2019). Producción de lechuga en un suelo con aplicación de compost de cama de pollo. Ciencia del Suelo, 37(1), 38-50. http://www.suelos.org.ar/publicaciones/Volumen37n1/5-%20358%20WEB.pdf [ Links ]
Pellejero, G., Miglierina, A., Aschkar, G., Turcato, M., & Jiménez-Ballesta, R. (2017). Effects of the onion residue compost as an organic fertilizer in a vegetable culture in the Lower Valley of the Rio Negro. International Journal of Recycling of Organic Waste in Agriculture, 6, 159-166. https://doi.org/10.1007/s40093-017-0164-8 [ Links ]
Pellejero, G., Palacios, J., Vela, E., Gajardo, O., Albrecht, L., Aschkar, G., Chrorolque, A., García-Navarro, F. J., & Jiménez-Ballesta, R. (2021). Effect of the application of compost as an organic fertilizer on a tomato crop (Solanum lycopersicum L.) produced in the field in the lower valley of the río Negro (Argentina). International Journal of Recycling of Organic Waste in Agriculture , 10(2), 145-155. https://doi.org/10.30486/IJROWA.2021.1909797.1135 [ Links ]
Rodrigues, M. A., Garmus, T., Arrobas, M., Gonçalves, A., Silva, E., Rocha, L., Pinto, L., Brito, C., Martins, S., Vargas, T., & Correia, C.M. (2019). Combined biochar and organic waste have little effect on chemical soil properties and plant growth. Spanish Journal of Soil Science , 9(3), 199-211. https://doi.org/10.3232/SJSS.2019.V9.N3.04 [ Links ]
Ruiz, C., Russián, T., & Tua, D. (2007). Efecto de la fertilización orgánica en el cultivo de la cebolla. Agronomía Tropical, 57(1), 7-14. http://ve.scielo.org/scielo.php?script=sci_arttext&pid=S0002-192X2007000100002&lng=es&tlng=es [ Links ]
Sarandón, S., & Flores, C. (2014). La agroecología: el enfoque necesario para una agricultura sustentable. In: Sarandón, S., & Flores, C. (Eds), Agroecología: bases teóricas para el diseño y manejo de agroecosistemas sustentables. Edulp. [ Links ]
Seba, N., Doñate, M. T., Sidoti-Hartmann, B., Baffoni, P., Muzi, E., Cecchini, V., Tellería-Marloth, A., & Bezic, C. (2017). Producción hortícola diversificada en el Valle Inferior del Río Negro. Modelos socio-productivos vigentes y su potencial para la intensificación ecológica. Instituto Nacional de Tecnología Agropecuaria. https://inta.gob.ar/documentos/produccion-horticola-diversificada-en-el-valle-inferior-del-rio-negro-modelos-socio-productivos-vigentes-y-su-potencial-para-la-intensificacion-ecologica [ Links ]
Tadila, G., & Nigusie, D. (2018). Effect of manure and nitrogen rates on growth and yield of garlic (Allium sativum L.) at Haramaya, Eastern Ethiopia. Journal of Horticulture and Forestry, 10(9), 135-142. https://doi.org/10.5897/JHF2018.0543 [ Links ]
Recibido: 19 de Abril de 2021; Aprobado: 03 de Julio de 2022










text in 



