Services on Demand
Journal
Article
Indicators
-
Cited by SciELO -
Access statistics
Related links
-
Similars in
SciELO
Share
Revista Chapingo serie ciencias forestales y del ambiente
On-line version ISSN 2007-4018Print version ISSN 2007-3828
Rev. Chapingo ser. cienc. for. ambient vol.30 n.2 Chapingo May./Aug. 2024 Epub Oct 29, 2024
https://doi.org/10.5154/r.rchscfa.2023.04.021
Artículos científicos
Estimación de la energía de uso final consumida durante la extracción y aserrado de la madera
1Tecnológico Nacional de México-Instituto Tecnológico de El Salto (TecNM-ITES), Programa de Ingeniería Forestal. Tecnológico 101, La Forestal. C. P. 34942. El Salto, Durango, México.
Introducción
La actividad forestal enfrenta desafíos energéticos que implican la determinación precisa del uso final de energía para lograr mejoras en su rendimiento.
Objetivo
Estimar la cantidad de energía de uso final consumida durante el procesamiento de los recursos forestales maderables.
Materiales y métodos
El consumo final total de energía (CFT) se determinó en seis empresas (unidades estadísticas) de transformación primaria de la madera en Pueblo Nuevo, Durango. Los datos de actividad y los usos significativos de la energía (USEn), correspondientes a dos años, se obtuvieron mediante una auditoría energética. Los datos se desagregaron por unidad estadística, actividad, forma y aplicación de la energía y se expresaron en toneladas equivalentes de petróleo (tep).
Resultados y discusión
El consumo de energía por unidad estadística se estimó en 71.19 tep·año-1, liberando 260.14 tCO2e·año-1. El USEn se identificó en vehículos con motor de diésel (75 %). El uso de gasolina y energía eléctrica en máquinas correspondió al 14.2 % y 10.7 %, respectivamente. Los motores utilizaron hasta 98 % de la energía eléctrica. La extracción de madera ocupó 69 % del CFT, más del doble que el aserrado de madera. El consumo de energía fue significativamente diferente entre unidades estadísticas (Tukey, P < 0.05) durante el aserrado, pero no en la extracción de madera.
Conclusiones
El consumo de energía en la actividad de extracción de madera fue similar entre las unidades estudiadas, pero no en la etapa de aserrado. Un programa efectivo de gestión de la energía y la integración de la dendroenergía podría optimizar el modelo de consumo.
Palabras clave aserradero; consumo de energía; diésel; gases de efecto invernadero; producción maderable
Introduction
The forestry sector faces energy challenges that involve the precise determination of the final energy consumption to achieve improvements.
Materials and methods
The Total Final Consumption (TFC) was determined in six companies (statistical units) engaged in primary timber processing in Pueblo Nuevo, Durango. Activity data and significant energy uses (SEUs) for two years were obtained through an energy audit. The data were disaggregated by statistical unit, activity, form and application of energy, and expressed in tons of oil equivalent (toe).
Results and discussion
The energy consumption per statistical unit was estimated at 71.19 toe·yr-1, releasing 260.14 tCO2e·yr-1. SEU was identified in vehicles with diesel engines (75 %). The use of gasoline and electrical energy in machines accounted for 14.2 % and 10.7 %, respectively. Electric motors used up to 98 % of the electrical energy. Logging represented 69 % of the Total Final Consumption (TFC), more than twice compared to sawing. Energy consumption was significantly different between statistical units (Tukey, P < 0.05) for sawing, but not for logging.
Conclusions
Energy consumption for logging was similar among the units studied but was not similar for sawing. An effective energy management program and the integration of wood energy could optimize the consumption pattern.
Keywords Sawmill; energy consumption; diesel; greenhouse gases; timber production
Introducción
La energía es un insumo esencial en la mayoría de las actividades económicas y es un pilar importante en el desarrollo de la economía (Xing et al., 2023). La amenaza climática creciente y la volatilidad de los precios de los energéticos, causadas principalmente por el conflicto en Ucrania y la pandemia del virus SARS-CoV-2, han ocasionado que los dirigentes de actividades económicas apuesten por la optimización de sus modelos de uso de energía (Hamit-Haggar, 2012; Lee & Birol, 2020; McKinsey & Company, 2022).
Uno de los desafíos más recurrentes para la optimización de los modelos energéticos es la determinación precisa del uso final de la energía y, aún más complejo, demostrar mejoras en el rendimiento energético (Navarrete & Labelle, 2023). El término ‘uso final de la energía’ se refiere a la forma y aplicación de la energía consumida directamente en un punto de uso (International Energy Agency [IEA], 2016; International Organization for Standardization [ISO], 2018). La precisión del uso final de la energía está influenciada por la calidad y disponibilidad de los datos de actividad (IEA, 2016).
La producción forestal maderable en México alcanzó los 8.3 millones de metros cúbicos rollo (m3r) en 2018, siendo Durango y Chihuahua los principales productores con 30.2 % y 19.9 %, respectivamente (Secretaría de Medio Ambiente y Recursos Naturales [SEMARNAT], 2021). Por otro lado, el consumo final total de energía (CFT) del sector fue de 4 442 772.53 toneladas equivalentes de petróleo (tep), de las cuales, el diésel representó 68.46 % seguido por la energía eléctrica con 28.38 % (Secretaría de Energía [SENER], 2021).
Para alcanzar niveles deseables de producción forestal maderable es imprescindible movilizar una gama amplia de maquinaria y equipo en operaciones de extracción y procesamiento mecánico de la madera. La ejecución de estas operaciones implica el uso de algún tipo de fuente de energía y con frecuencia representa un costo significativo no solo en términos financieros, sino también medioambientales (Food and Agriculture Organization [FAO], 1991).
El consumo de energía en empresas forestales representa hasta 50 % de los costos de operación en actividades de abastecimiento forestal (Reyes et al., 2022), mientras que la huella de carbono en los centros de transformación primaria de la madera se ubica en 710.62 tCO2e·año-1 (toneladas de dióxido de carbono equivalente al año) (Meza et al., 2022). Por esta razón, la situación energética actual de la actividad forestal demanda un conjunto de acciones orientadas a la gestión de datos precisos sobre el uso y consumo final de la energía. Tal información permitirá identificar oportunidades de mejora en el desempeño energético, para afrontar los retos climáticos y económicos. Por tanto, el objetivo de este estudio fue estimar la cantidad de energía de uso final consumida en el aprovechamiento de los recursos forestales maderables durante las operaciones de abastecimiento forestal y el proceso de aserrío de la madera.
Materiales y métodos
Características de las empresas forestales
En el estudio participaron seis empresas forestales dedicadas a la transformación primaria de la madera, de las cuales cinco fueron de carácter comunitario y una particular. Las empresas están distribuidas en el municipio de Pueblo Nuevo, Durango, a un radio de 60 km aproximadamente de la zona centro de la ciudad de El Salto. La participación de las empresas fue voluntaria y se preserva su identidad, manteniendo la confidencialidad de la información.
Los aserraderos de carácter comunitario operan con una línea de producción, mientras que la empresa particular cuenta con dos líneas; cada empresa tiene una fábrica de recuperación. La capacidad media instalada de los aserraderos es de 70 m3 por semana que equivalen a 29 664 pies-tabla (pt) y en las fábricas de recuperación es de 20 m3 (8 476 pt). El principal recurso forestal es madera en rollo del género Pinus spp., cuyas dimensiones se encuentran entre 0.30 y 0.65 m de diámetro y 4.88 a 6.10 m de largo.
Las actividades de extracción de madera en las áreas de corta consisten en el derribo y transporte de la madera en rollo hasta los aserraderos, mientras que la configuración de las líneas de producción en los aserraderos consiste en seis operaciones mecanizadas y desarrolladas secuencialmente. El proceso comienza con el almacenamiento y manejo de madera en rollo en patio; posteriormente, se realizan las actividades de asierre, saneamiento y dimensionado; luego, la madera aserrada se clasifica y se hace el manejo y almacenamiento correspondiente en patio.
Los productos maderables con niveles más altos de producción son tablas de diversas clases con dimensiones comerciales de 4 a 12 pulgadas (in) de ancho por 7/8 in de espesor por 8 a 20 pies (ft) de largo y tablones de 4 a 12 in por 5/4 in por 8 a 20 ft. Los productos con menor producción son vigas (6-10 in * 3-4 in * 8-20 ft), barrotes (3-4 in * 5/4 in * 8-20 ft), durmientes (7 in * 8 in * 8 ft), polines (3-4 in * 3-4 in * 8 20 ft) y waldras. Las dimensiones de estas últimas dependen de la demanda. Asimismo, se manufacturan subproductos como habilitado para tarima, material para caja de empaque, cuadrado para mango de escoba, capote, leña y aserrín. En ocasiones, estos dos últimos son considerados como residuos.
Cobertura del uso final de la energía
Los límites de cobertura del uso final de la energía se establecieron mediante los criterios de homogeneidad predefinidos por la IEA (2015 y 2016): determinación de la actividad económica principal, ubicación geográfica, definición de una serie temporal y desglose del tipo de energía utilizada.
La actividad económica principal de las empresas forestales se determinó en función del mayor valor añadido o aportación en la cadena productiva (>50 %), de acuerdo con el método descendente como lo sugiere la clasificación industrial internacional uniforme (CIIU) de todas las actividades económicas revisión 4 (Organización de las Naciones Unidas [ONU], 2009). El valor añadido se ajustó a partir de la información de Pro Floresta (2008), para lograr que la actividad económica principal se encontrara referida a los mismos límites en términos de uso final de la energía.
El Cuadro 1 muestra la actividad económica principal de las empresas forestales y un resumen de la aplicación del método descendente. Este sigue un principio jerárquico donde las actividades económicas se subdividen en categorías integradas por cuatro niveles mutuamente excluyentes (sección, división, grupo y clase). La sección es el nivel más alto mientras que la clase es el nivel más bajo o más detallado. Las secciones A y C fueron el sector en el que las empresas participaron.
Cuadro 1 Actividad económica principal de las empresas forestales estudiadas aplicando el método descendente.
| Sección | División | Grupo | Clase | Descripción | Valor añadido (%) |
|---|---|---|---|---|---|
| A | Agricultura, ganadería, silvicultura y pesca | ||||
| 02 | Silvicultura y extracción de madera | ||||
| 021 | 0210 | Silvicultura y otras actividades forestales | 4 | ||
| 022 | 0220 | Extracción de madera* | 13 | ||
| 024 | 0240 | Servicios de apoyo a la silvicultura | 7 | ||
| C | Industrias manufactureras | ||||
| 16 | Producción de madera y fabricación de productos de madera, excepto muebles | ||||
| 161 | 1610 | Aserrado de madera | 67 |
*Las fases de extracción se realizan sucesivamente en la misma unidad y cuando el producto de un proceso sirve como insumo del siguiente. Tal es el caso de la combinación de la silvicultura y explotación de madera en pie con el subsiguiente transporte de madera en rollo en el bosque.
La división 02 comprendió la producción de madera en rollo para industrias que utilizan productos forestales. Las clases 0210 y 0220 se refieren a las actividades de extracción de madera en pie y producción de productos forestales que requieren poca transformación como madera en rollo, leña, astillas de madera, así como madera en rollo para su uso en bruto (entibos). La clase 0240 incluyó actividades de servicios de consultoría de gestión forestal, evaluación de existencias maderables y transporte de madera en rollo en el bosque a cambio de una retribución.
La división 16 se refiere a la fabricación de productos de madera como escuadría, tableros contrachapados, hojas de madera para enchapado y otros derivados. La clase 1610 comprende actividades de aserrado, tableado y descortezado de madera. El mayor valor añadido correspondió a esta clase. En esta también se encuentran el secado, la impregnación y el tratamiento químico de la madera.
Revisión energética
Con la finalidad de identificar los usos significativos de la energía (USEn) en los aserraderos, se hizo un diagnóstico o auditoría energética de nivel 1 como lo establece la ASHRAE (American Society of Heating Refrigerating and Air Conditioning Engineers, 2011). La auditoría consistió en hacer recorridos en planta y en áreas de corta, así como analizar los datos de actividad o registros de las empresas de dos años calendario. La auditoría no incluyó algún tipo de medición directa de variables energéticas en campo.
Las operaciones de extracción de madera (clase 0220) consideradas en la auditoría fueron: recorrido de monte, construcción o rehabilitación de caminos forestales de saca, derribo de árbol, troceo, arrastre, carga, transporte a planta y transporte libre a bordo en brecha. Por otro lado, las operaciones del proceso de aserrado de madera (clase 1610) fueron: manejo de madera en rollo en patio, descortezado de la madera, asierre, saneamiento y dimensionado, clasificación de la madera aserrada, habilitado de subproductos y manejo de madera aserrada en patio. Las actividades de oficina también se consideraron parte de este proceso.
Recolección de datos
Debido a la relevancia de la precisión de los datos se hizo un censo de actividad; es decir, registros físicos y digitales de dos años calendario que sirvieran como fuente de información primaria para determinar el consumo de energía en las empresas forestales (ASHRAE, 2011).
El número de registros varió y dependió en gran medida de las políticas de acceso a la información de cada empresa. El análisis minucioso de estos registros (reportes contables, facturas, recibos, notas de compra, informes de rendición de cuentas y módulos del sistema administrativo digital MicroSIP®) permitió la recopilación de datos asociados al consumo de energía eléctrica comprada (pesos mexicanos, MXN) en kilowatt hora (kWh) y uso de combustibles fósiles expresado en unidades de volumen (L), incluyendo combustóleo número dos (diésel), gasolina y lubricantes aditivos. Algunos registros también permitieron conocer el uso de biomasa forestal leñosa (kg).
Dado que los datos de actividad presentaron unidades diversas de medida de energía fue necesario homogeneizarlas mediante una serie de factores de conversión propuestos por Capehart et al. (2012). Los precios promedio diarios (MXN) reportados por los permisionarios de estaciones de servicio de expendio al público también se consultaron para conocer el volumen (L) de combustible fósil utilizado (Comisión Reguladora de Energía [CRE], 2022).
El consumo final total de energía o CFT es la suma de toda la energía de uso final contabilizada en los datos de actividad del conjunto de empresas durante la serie temporal. Por conveniencia, las unidades del CFT se expresaron en toneladas equivalentes de petróleo crudo (tep), ya que es la forma en la que se expresan los balances de energía nacionales (SENER, 2021). El consumo de energía se expresó en porcentaje (%) y en terajoules (TJ); un TJ (billón de Joules) equivale a 23.88 tep.
Las emisiones de gases de efecto invernadero (GEI) derivadas del consumo de energía en las empresas forestales se expresó en tCO2e y se estimó mediante el método factores de emisión documentados nivel 1 (Intergovernmental Panel on Climate Change [IPCC], 2006; World Business Council for Sustainable Development & World Resource Institute, 2005). Los potenciales del calentamiento global se tomaron del quinto reporte de evaluación (AR5) del IPCC (2015). Asimismo, se requirieron los factores de emisión del sistema eléctrico nacional difundidos y estimados anualmente por la CRE (2018 y 2019) para los años 2017 y 2018 correspondientes a la serie temporal de este estudio.
Análisis estadístico
Las empresas y sus establecimientos se definieron como unidad estadística E1, E2, E3, E4, E5 y UD en concordancia con la CIIU (ONU, 2009). La unidad estadística facilitó la coherencia y análisis del uso y consumo de energía de forma estandarizada.
El conjunto de datos se trató por niveles de desagregación que consistió en la separación y jerarquización de los datos de actividad de forma piramidal, y con ello se determinó el nivel máximo y mínimo de desagregación (IEA, 2016), la cual estuvo condicionada por la disponibilidad y calidad de los datos de actividad. El nivel con la mayor desagregación de datos fue la forma y aplicación de la energía, seguido por la actividad (clase de la CIIU) y el nivel más agregado fue la unidad estadística. El nivel máximo de desagregación requirió mayor cantidad de datos de actividad. El CFT se presenta también por nivel de desagregación.
El teorema de Chebyshev se utilizó para determinar la fracción o proporción de observaciones (al menos 75 % y más probablemente 95 % de las observaciones) que se encontraban a un intervalo k = 2 desviaciones estándar de la media aritmética de los datos (Mendenhall et al., 2010).
En cada nivel de desagregación de consumo de energía se realizó un análisis de varianza para determinar diferencias entre unidades estadísticas. Cuando hubo evidencia de diferencias significativas se aplicó la prueba de comparación de medias de Tukey para muestras iguales (P = 0.05). El análisis de los datos se ejecutó en el programa InfoStat versión 2019 (Di Rienzo et al., 2019).
Resultados y discusión
Forma y aplicaciones de la energía
El aprovechamiento de los recursos forestales maderables en las seis unidades estadísticas requirió energía en forma de combustible fósil, eléctrica y térmica. El uso de energías renovables fue nulo. El Cuadro 2 muestra con detalle las formas y tipos de energía por actividad (clase de la CIIU).
Cuadro 2 Detalle del uso de energía en seis aserraderos de Pueblo Nuevo, Durango, México.
| Actividad (clase de la CIIU) |
Diésel en VPSPTT |
Gasolina en VPSLyMCIP |
Lubricantes aditivos en MCIP |
Eléctrica en ME |
Térmica en ESA |
|---|---|---|---|---|---|
| Extracción de madera (0220) |
Grúas Camiones Arrastradores Excavadoras Retroexcavadoras |
Camionetas con caja abierta Desbrozadoras Motosierras |
Desbrozadoras Motosierras |
No identificada |
No identificada |
| Aserrado de madera (1610) |
Cargadores con pluma articulada Cargadores frontales Montacargas |
Motosierras | Motosierras | Motores eléctricos Equipo de iluminación Equipo informático y telecomunicación Herramienta eléctrica |
Calderas a leña |
CIIU: clasificación industrial internacional uniforme, VPSPTT: vehículos para servicios pesado todo terreno, VPSLyMCIP: vehículos para servicio ligero y máquinas de combustión interna portátiles, MCIP: máquinas de combustión interna portátiles, ME: máquinas eléctricas, ESA: estufas de secado artificial.
La maquinaria forestal consumió combustibles fósiles. El combustóleo número dos (diésel) se empleó en todos los tipos de vehículos para servicio pesado todo terreno (VPSPTT). La gasolina se utilizó en vehículos para servicio ligero y máquinas de combustión interna portátiles (VPSLyMCIP). Los lubricantes aditivos (aceites sintéticos con una proporción de 250 mL de aceite por cada 12.5 L de gasolina) se usaron en máquinas de combustión interna portátiles (MCIP) con motor de cuatro y dos tiempos. El uso de gas licuado de petróleo, gas natural y propano no se observó en los procesos de las unidades estadísticas.
La energía eléctrica comprada se utilizó en todas las clases de máquinas eléctricas y la energía térmica en estufas de secado artificial (ESA). La aplicación de energía térmica para generar vapor se identificó en instalaciones para el secado artificial de madera; sin embargo, no hubo evidencia de que las instalaciones estuvieran en operación.
La generación de energía en el sitio a partir de recursos energéticos renovables autóctonos (solar, eólica, hidráulica o biomasa forestal) tampoco se observó en las actividades forestales.
En la extracción de madera se observó el empleo de motosierras con motor de gasolina para el derribo y troceo del árbol. Este tipo de maquinaria también se utilizó en actividades de servicio de apoyo a la silvicultura (poda y trituración de ramas y puntas del árbol en el área de corta). Las camionetas de caja abierta con motor de gasolina se emplearon en recorridos de monte y actividades de gestión forestal. Por otra parte, el combustóleo número dos (diésel) se requirió en excavadoras y retroexcavadoras para las operaciones de construcción o rehabilitación de caminos forestales de saca; arrastradores y grúas para las operaciones de arrastre y carga; y en camiones para el transporte a planta y transporte libre a bordo en brecha.
En el aserrado de madera se requirió de cargadores con pluma articulada, cargadores frontales y montacargas para apilar, mover y cargar la madera en rollo y madera aserrada en el patio de los aserraderos. Este tipo de vehículos consumió diésel, mientras que las motosierras con motor de gasolina se utilizaron para recortar madera en rollo en patio.
Los motores eléctricos de inducción tipo jaula de ardilla acoplados mecánicamente a sierras cintas y sierras circulares dentadas asistieron operaciones de descortezado, aserrado, saneamiento, dimensionado y tableado de madera.
Uso significativo de la energía
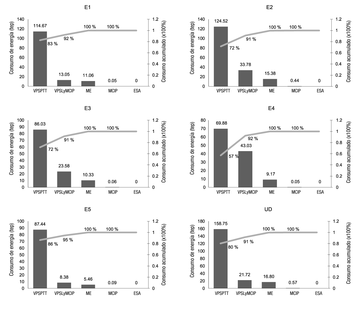
El uso de las fuentes de energía en las seis unidades estadísticas provocó un consumo final total (CFT) de 854.30 tep (35.77 TJ) durante dos años. La Figura 1 muestra los USEn de cada unidad estadística.

Figura 1 Consumo de energía (tep: toneladas equivalentes de petróleo) por tipo de maquinaria y vehículos en seis aserraderos de Pueblo Nuevo, Durango. VPSPTT: vehículos para servicios pesado todo terreno, VPSLyMCIP: vehículos para servicio ligero y máquinas de combustión interna portátiles, MCIP: máquinas de combustión interna portátiles, ME: máquinas eléctricas, ESA: estufas de secado artificial.
La fuente de energía predominante en las seis unidades estadísticas fue el diésel. El consumo de este combustible en VPSPTT fue sustancial al compararlo con los otros usos de energía, ya que representó alrededor de tres cuartos (74.9 %) del CFT. El uso de gasolina en VPSLyMCIP y energía eléctrica en máquinas correspondió al 14.2 % y 10.7 %, respectivamente, mientras que menos del 1 % de la energía provino de lubricantes aditivos empleados en MCIP con motor de gasolina de dos tiempos.
De forma análoga, Donahue et al. (2021) demostraron que el uso de diésel también registró el mayor consumo de energía en aserraderos del estado de Oregón. El diésel y el gas natural representaron en conjunto 93.9 % de los combustibles fósiles utilizados. En la industria del aserrío de Arizona, Colorado y Nuevo México, Loeffler et al. (2016) encontraron que 61 % de la energía empleada provino del diésel, 35 % de la electricidad y 3 % de la gasolina. El resto procedió del propano y residuos de madera.
Los estudios muestran diversos resultados. Berg y Lindholm (2005) indicaron que el diésel fue la mayor fuente de energía utilizada en operaciones forestales en Suecia, aunque la gasolina y la electricidad también se utilizaron de manera sustancial. Por otra parte, en Malasia, Ratnasingam et al. (2017) señalan que 63 % de energía eléctrica se utilizó para el aserrado y corte de la madera, mientras que el diésel (36 %) se usó en el transporte de madera en rollo.
En aserraderos de Canadá, Meil et al. (2009) señalaron que el diésel dominó en actividades de extracción y transporte con 30 % del CFT, mientras que, en el proceso de aserrado, el uso de bioenergía representó 51 % seguido por la electricidad comprada (24 %) y gas natural (17 %). La gasolina y gas propano líquido representaron menos del 1 % del CFT.
En ocho aserraderos en California, Morgan et al. (2019) utilizaron residuos de madera y corteza para la producción de energía, los cuales representaron 87.6 % del CFT, mientras que 1.2 % de la energía eléctrica provino de fuentes renovables; en aserraderos de Montana, 77.3 % del CFT correspondió a bioenergía y los combustibles fósiles como el diésel, la gasolina y el gas natural participaron únicamente con 3.8 %, 0.1 % y 5.6 %, respectivamente. En aserraderos de Noruega, Olsson (2020) encontró que 5 % del CFT correspondió a diésel, 16 % a electricidad y 79 % a biomasa.
De acuerdo con Wan et al. (2012), algunos aserraderos finlandeses han invertido en la producción de bioenergía para la diversificación de su negocio y aumento del valor añadido a nivel de empresa. El uso de bioenergía en las empresas estudiadas podría representar una oportunidad para utilizar fuentes de energía limpias y renovables y al mismo tiempo contribuir con la mitigación de emisiones de GEI. Los residuos de aserradero podrían utilizarse en plantas de microgeneración de bioenergía y cogeneración, principalmente en forma de astillas (Dudziec et al., 2023).
El presente estudio reveló que la mayoría de los VPSPTT, VPSL y MCIP se utilizaron en la etapa de extracción de madera. Por tanto, la extracción puede ser categorizada como un USEn del proceso productivo forestal maderable. En la etapa de aserrado de madera, las máquinas clasificadas como motores eléctricos de inducción tipo jaula de ardilla utilizaron hasta 98 % de la energía eléctrica por lo que también pueden ser considerados como un USEn de dicha etapa del proceso.
Dado que los motores eléctricos consumieron una gran fracción de la energía eléctrica, las estrategias de conservación de energía y eficiencia energética tendrían que ser destinadas a esos USEn para lograr una mejora en el desempeño energético. Saidur et al. (2009) reportaron que el uso de motores eléctricos eficientes puede reducir el costo de operación y mantenimiento. Asimismo, una gran cantidad de emisiones pueden reducirse mediante el reemplazo de motores de alta eficiencia.
Entre los factores observados que podrían impedir la ejecución de estrategias de ahorro y uso eficiente de energía, se encuentran tendencias muy arraigadas al uso continuo de tecnológicas obsoletas o con eficiencia estándar; falta de conocimiento sobre tecnologías eficientes; ausencia de esquemas regulatorios y obligaciones gubernamentales, así como costos elevados de tecnologías de eficiencia alta.
Niveles de desagregación del consumo final total de energía
En términos de la aplicación de la energía (nivel más desagregado), el mayor consumo de diésel en VPSPTT ocurrió en la unidad UD con alrededor de 6.6 TJ (Cuadro 3), aproximadamente el doble del consumo que en E3 y E5, mientras que el menor consumo de diésel se observó en E4 (2.93 TJ). Tanto E4 como E2 tuvieron los consumos más altos de gasolina en VPSLyMCIP con alrededor de 1.8 y 1.4 TJ, respectivamente. Estos valores fueron similares al consumo conjunto de gasolina en los VPSLyMCIP de E1, E3, E5 y UD e incluso mayores a la energía eléctrica consumida en máquinas eléctricas de dichas unidades estadísticas. E3 y UD tuvieron el mayor consumo de energía eléctrica en máquinas eléctricas con alrededor de 1 TJ cada una. Las unidades estadísticas restantes consumieron entre 0.35 y 0.65 TJ. El uso de lubricantes aditivos en MCIP fue menor de 0.025 TJ en todas las unidades estadísticas.
Cuadro 3 Desagregación del consumo final total (CFT) de energía en seis aserraderos de Pueblo Nuevo, Durango.
| Unidad estadística |
VPSPTT (TJ) |
VPSLyMCIP (TJ) |
MCIP (TJ) |
ME (TJ) |
ESA (TJ) |
Extracción de madera (TJ) |
Aserrado de madera (TJ) |
CFT*
(TJ) |
|---|---|---|---|---|---|---|---|---|
| E1 | 4.8011 | 0.4631 | 0.0019 | 0.5464 | ND | 4.30 | 1.52 | 5.81 |
| E2 | 5.2136 | 1.4144 | 0.0184 | 0.6441 | ND | 5.74 | 1.55 | 7.29 |
| E3 | 3.6017 | 0.4325 | 0.0027 | 0.9872 | ND | 3.57 | 1.46 | 5.02 |
| E4 | 2.9255 | 1.8014 | 0.0020 | 0.3841 | ND | 4.03 | 1.08 | 5.11 |
| E5 | 3.6609 | 0.2287 | 0.0036 | 0.3509 | ND | 3.33 | 0.91 | 4.24 |
| UD | 6.6464 | 0.7034 | 0.0241 | 0.9093 | ND | 3.84 | 4.44 | 8.28 |
| CFT | 26.85 | 5.04 | 0.05 | 3.82 | 24.81 | 10.95 | 35.77 |
*Los CFT podrían no coincidir debido al redondeo de cifras. VPSPTT: vehículos para servicios pesado todo terreno, VPSLyMCIP: vehículos para servicio ligero y máquinas de combustión interna portátiles, MCIP: máquinas de combustión interna portátiles, ME = máquinas eléctricas, ESA = estufas de secado artificial. ND: no disponible, UD: único dueño.
Con respecto a la actividad (clase de la CIIU), la extracción de madera requirió 24.81 TJ (592.67 tep), aproximadamente dos tercios de la energía de uso final (69 % del CFT). Esta actividad consumió un poco más del doble de la energía que en el aserrado de madera (10.95 TJ = 261.63 tep). La unidad que consumió más energía en la extracción fue E2 con 5.74 TJ, la cual consumió alrededor de 2 TJ más que E3, E5 y UD. La mayoría de las unidades requirieron entre 1 y 1.5 TJ para el aserrado. En todas las unidades, el consumo de energía en la extracción fue mayor que en el de aserrado, con excepción de UD que registró el CFT más alto con 8.28 TJ, mientras que en E5 se observó el menor CFT con 4.24 TJ. El CFT agregado fue del orden de 35.77 TJ.
La variabilidad y distribución de los datos desagregados se encontró en el intervalo 0.08 a 0.57 TJ y la media en 0.25 TJ. El intervalo k > 2 desviaciones estándar en valor absoluto, comprendió aproximadamente el 95 % de las observaciones. La aplicación del teorema de Chebyshev fue una estimación conservadora.
El CFT fue significativamente diferente entre unidades estadísticas (P = 0.0018); en UD fue significativamente mayor que en el resto de las unidades (0.35 ± 0.19 TJ), mientras que el CFT en E1 (0.24 ± 0.14 TJ), E2 (0.30 ± 0.16 TJ), E3 (0.21 ± 0.12 TJ), E4 (0.21 ± 0.20 TJ) y E5 (0.18 ± 0.09 TJ) fue estadísticamente similar entre ellas.
No obstante, el comportamiento de los datos en niveles más desagregados fue distinto. La comparación de los niveles de desagregación del CFT se muestra en el Cuadro 4. El consumo de energía en VPSPTT, VPSL, MCIP y ME presentó diferencias significativas entre aserraderos (P < 0.05). En contraste, durante la extracción de madera, el consumo energético no mostró diferencia significativa entre unidades, pero sí en el aserrado, donde el consumo fue mayor en UD.
Cuadro 4 Contraste de los niveles de desagregación del consumo final total (CFT) de energía en seis aserraderos de Pueblo Nuevo, Durango.
| Unidad estadística | Media (TJ) | Desviación estándar (±TJ) | Mediana (TJ) | F | P |
|---|---|---|---|---|---|
| VPSPTT | |||||
| E1 | 0.2001 ab | 0.1242 | 0.2405 | 4.25 | 0.0013 |
| E2 | 0.2172 ab | 0.1281 | 0.2636 | ||
| E3 | 0.1501 a | 0.1169 | 0.2260 | ||
| E4 | 0.1219 a | 0.1379 | 0.0509 | ||
| E5 | 0.1525 a | 0.0847 | 0.2045 | ||
| UD | 0.2769 b | 0.1908 | 0.3323 | ||
| VPSLyMCIP | |||||
| E1 | 0.0193 a | 0.0079 | 0.0201 | 10.66 | 0.0001 |
| E2 | 0.0589 bc | 0.0344 | 0.0541 | ||
| E3 | 0.0180 a | 0.0062 | 0.0184 | ||
| E4 | 0.0751 c | 0.0868 | 0.0280 | ||
| E5 | 0.0095 a | 0.0050 | 0.0121 | ||
| UD | 0.0293 ab | 0.0182 | 0.0255 | ||
| MCIP | |||||
| E1 | 0.0001 a | 0.00004 | 0.0001 | 41.14 | 0.0001 |
| E2 | 0.0008 bc | 0.0004 | 0.0010 | ||
| E3 | 0.0001 a | 0.0001 | 0.0002 | ||
| E4 | 0.0001 c | 0.0001 | 0.0001 | ||
| E5 | 0.0001 a | 0.0001 | 0.0002 | ||
| UD | 0.0010 ab | 0.0006 | 0.0008 | ||
| ME | |||||
| E1 | 0.0228 a | 0.0136 | 0.0216 | 27.46 | 0.0001 |
| E2 | 0.0268 b | 0.0091 | 0.0295 | ||
| E3 | 0.0411 c | 0.0136 | 0.0399 | ||
| E4 | 0.0160 a | 0.0099 | 0.0177 | ||
| E5 | 0.0146 a | 0.0074 | 0.0166 | ||
| UD | 0.0379 c | 0.0057 | 0.0386 | ||
| Extracción de madera | |||||
| E1 | 0.1790 a | 0.1111 | 0.2103 | 1.82 | 0.1133 |
| E2 | 0.2393 a | 0.1361 | 0.2914 | ||
| E3 | 0.1486 a | 0.1213 | 0.2288 | ||
| E4 | 0.1681 a | 0.1722 | 0.1261 | ||
| E5 | 0.1389 a | 0.0819 | 0.1852 | ||
| UD | 0.1600 a | 0.1382 | 0.2743 | ||
| Aserrado de madera | |||||
| E1 | 0.0632 a | 0.0320 | 0.0686 | 43.98 | 0.0001 |
| E2 | 0.0645 a | 0.0258 | 0.0663 | ||
| E3 | 0.0607 a | 0.0136 | 0.0594 | ||
| E4 | 0.0450 a | 0.0335 | 0.0335 | ||
| E5 | 0.0380 a | 0.0179 | 0.0460 | ||
| UD | 0.1851 b | 0.0800 | 0.1632 | ||
VPSPTT: vehículos para servicios pesado todo terreno, VPSLyMCIP: vehículos para servicio ligero y máquinas de combustión interna portátiles, MCIP: máquinas de combustión interna portátiles, ESA = estufas de secado artificial, ME = máquinas eléctricas. Medias con letra distinta son significativamente diferentes de acuerdo con la prueba de Tukey (P < 0.05)
Debe enfatizarse que el consumo energético en cada unidad estadística depende de varios factores como el número de equipamientos, el tiempo efectivo de operación y la diversidad en características eléctricas y mecánicas (potencia, rendimiento y eficiencia). Aunado a estos factores, Lijewski et al. (2017) afirmaron que el tipo de madera (tamaño del tronco, diámetro y longitud), las condiciones del terreno, las habilidades del operador de la máquina, las condiciones ambientales, así como el tipo de máquina utilizada y su condición técnica también son elementos de influencia en el consumo de energía.
Adicionalmente, es posible que el proceso de toma de decisiones en empresas sociales (E1, E2, E3, E4 y E5) influya en el CFT al compararlo con la empresa con único dueño (UD). Esto podría atribuirse a diferencias en las estructuras jurídicas, institucionales y operacionales que existen entre empresas forestales comunitarias y propietarios particulares.
Algunos factores de influencia en la etapa de extracción pueden ser la distribución superficial de las áreas de corta o la variación en las distancias recorridas en el transporte de madera en rollo a planta o libre a bordo en brecha. En el caso del aserrado, es posible que la diferencia se deba a que en la unidad UD existen dos líneas de producción, lo que implicaría una demanda adicional significativa de combustibles fósiles y energía eléctrica en la maquinaria correspondiente.
La diferencia en el consumo de combustibles fósiles en VPSPTT, VPSL y MCIP podría estar también influenciada por los grados de mantenimiento preventivo y las buenas o malas prácticas en la operación del equipamiento. Es probable que el rendimiento del combustible dependa en gran medida de que se obedezcan las recomendaciones de operación y mantenimiento proporcionadas por el fabricante. Las placas de datos de las máquinas eléctricas revelaron que la eficiencia de los motores se ubicaba entre una eficiencia eléctrica estándar y alta. Además, un gran número de motores habían sido rebobinados al menos una vez a lo largo de su vida útil. Asimismo, los niveles de ruidos y vibraciones en los motores, así como el desalineamiento de cargas podrían ser también una causa de la diferencia en el consumo de energía.
Thollander et al. (2007) demostraron que, mediante la implementación de programas de eficiencia energética, se puede lograr la mejora del rendimiento energético entre 16 % y 40 % en pequeñas y medianas empresas, respectivamente. La mejora del rendimiento energético reduce las emisiones de GEI y promueve el desarrollo sostenible (Cai et al., 2022).
Consumo de energía anual y emisiones de gases de efecto invernadero
El consumo de energía por unidad estadística se estimó en 2.98 TJ·año-1 (71.19 tep·año-1), de los cuales 2.07 TJ·año-1 (49.39 tep·año-1) correspondieron a la extracción de madera y 0.91 TJ·año-1 (21.80 tep·año-1) al aserrado. El consumo medio anual de diésel, gasolina, lubricantes aditivos y electricidad se estimó en 2.24 TJ·año-1 (53.44 tep), 0.42 TJ·año-1 (10.04 tep), 0.004 TJ·año-1 (0.10 tep) y 0.32 TJ·año-1 (7.61 tep), respectivamente. El CFT de las seis empresas en conjunto fue del orden de 35.77 TJ (854.30 tep).
La masa de emisiones de GEI, derivada del consumo de energía por unidad estadística, corresponde a 260.14 tCO2e·año-1. La extracción de madera fue la actividad responsable de la liberación de la mayor cantidad de emisiones con 164.21 tCO2e·año-1. El aserrado de madera liberó 95.94 tCO2e·año-1. La principal fuente de emisión directa fue el uso de combustóleo número dos (diésel) en fuentes móviles; es decir, el USEn en VPSPTT. El CFT de las empresas en conjunto liberó 3 121.71 tCO2e durante la serie temporal.
Conclusiones
En este estudio se estimó el consumo final de energía derivado de las actividades de extracción y aserrado de madera en seis empresas forestales. La desagregación de datos facilitó la identificación de los usos significativos de la energía; solo en la actividad de extracción de madera fue posible aceptar la hipótesis de que el consumo de energía no fue significativamente diferente. El estudio demostró que es apremiante un programa de gestión efectiva de la energía que posibilite el ahorro y uso eficiente de combustibles fósiles y energía eléctrica y, por consiguiente, la reducción en los costos y en las emisiones de GEI. El uso de dendroenergía podría representar una alternativa viable para la optimización del consumo de energía en los aserraderos.
Agradecimientos
Los autores agradecen a los editores y revisores anónimos por la lectura cuidadosa de nuestro manuscrito y sus valiosos comentarios y sugerencias. Al Consejo de Ciencia y Tecnología del estado de Durango y al Tecnológico Nacional de México.
REFERENCIAS
American Society of Heating, Refrigerating and Air Conditioning Engineers (ASHRAE). (2011). Procedures for commercial building energy audits. Author. [ Links ]
Berg, S., & Lindholm, L. (2005). Energy use and environmental impacts of forests operations in Sweden. Journal of Cleaner Production, 13(1), 33‒42. https://doi.org/10.1016/j.jclepro.2003.09.015 [ Links ]
Cai, W., Wang, L., Li, L., Xie, J., Jia, S., Zhang, X., Jiang, Z., & Lai, H. (2022). A review on methods of energy performance improvement towards sustainable manufacturing from perspectives of energy monitoring, evaluation, optimization and benchmarking. Renewable and Sustainable Energy Reviews, 159, 112227. https://doi.org/10.1016/j.rser.2022.112227 [ Links ]
Capehart, L., Turner, C., & Kennedy, J. (2012). Guide to energy management. The Fairmont Press. [ Links ]
Comisión Reguladora de Energía (CRE). . (June 2, 2022). Precios de gasolinas y diésel reportados por los permisionarios. https://www.cre.gob.mx/ConsultaPrecios/GasolinasyDiesel/GasolinasyDiesel.html [ Links ]
Comisión Reguladora de Energía (CRE). (2019). Factor de emisión del sistema eléctrico nacional 2018. http://www.gob.mx/cms/uploads/attachment/file/442910/Aviso_Factor_de_Emisiones_2018.pdf [ Links ]
Comisión Reguladora de Energía (CRE). (2018). Factor de emisión del sistema eléctrico nacional 2017. http://www.gob.mx/cms/uploads/attachment/file/304573/Factor_de_Emisi_n_del_Sector_El_ctrico_Nacional_1.pdf [ Links ]
Di Rienzo, A., Casanoves, F., Balzarini, G., Gonzalez, L., Tablada, M., & Robledo, W. (2019). InfoStat versión 2019. Universidad Nacional de Córdoba. http://www.infostat.com.ar [ Links ]
Donahue, T., Morgan, T., & Dillon, T. (2021). Oregon sawmill energy consumption and associated emissions, 2017. https://www.oregon.gov/odf/forestbenefits/Documents/or-sawmill-energy-consumption-associated-emissions-2017.pdf [ Links ]
Dudziec, P., Stachowicz, P., & Stolarski, J. (2023). Diversity of properties of sawmill residues used as feedstock for energy generation. Renewable Energy, 202, 822‒833. https://doi.org/1016/j.renene.2022.12.002 [ Links ]
Food and Agriculture Organization (FAO). (1991). Conservación de energía en las industrias mecánicas forestales. Author. https://www.fao.org/3/t0269s/T0269S00.htm [ Links ]
Hamit-Haggar, M. (2012). Greenhouse gas emissions, energy consumption and economic growth: A panel cointegration analysis from Canadian industrial sector perspective. Energy Economics, 34(1), 358‒364. https://doi.org/10.1016/j.eneco.2011.06.005 [ Links ]
International Energy Agency (IEA) (2015). Energy efficiency indicators: essentials for policy making. https://www.iea.org/reports/energy-efficiency-indicators-essentials-for-policy-making [ Links ]
International Energy Agency (IEA). (2016). Energy efficiency indicators: Fundamental on statistics. https://www.iea.org/reports/energy-efficiency-indicators-fundamentals-on-statistics [ Links ]
International Organization for Standardization (ISO). (2018). Energy management system - requirements with guidance for use. ISO 50001. https://www.iso.org/standard/69426.html [ Links ]
Intergovernmental Panel on Climate Change (IPCC). (2006). 2006 IPCC guidelines for national greenhouse gas inventories. In H. S. Eggleston, L. Buendia, K. Miwa, T. Ngara, & K. Tanabe (Eds.). IGES. https://www.ipcc-nggip.iges.or.jp/public/2006gl/ [ Links ]
Intergovernmental Panel on Climate Change (IPCC). (2015). Climate change 2014: Synthesis report. Contribution of working groups I, II and III to the Fifth Assessment Report of the Intergovernmental Panel on Climate Change. In Core Writing Team, R. K. Pachauri, & L. A. Meyer (Eds.). Author. https://www.ipcc.ch/report/ar5/syr/ [ Links ]
Lee, H., & Birol, F. (2020). Energy is at the heart of the solution to the climate change. https://www.ipcc.ch/2020/07/31/energy-climatechallenge/ [ Links ]
Lijewski, P., Merkisz, J., Fuć, P., Ziółkowski, A., Rymaniak, Ł., & Kusiak, W. (2017). Fuel consumption and exhaust emissions in the process of mechanized timber extraction and transport. European Journal of Forest Research, 136(1), 153‒160. https://doi.org/10.1007/s10342-016-1015-2 [ Links ]
Loeffler, D., Anderson, N., Morgan, T. D., & Sorenson, C. B. (2016). On-site energy consumption and selected emissions at softwood sawmills in the Southwestern United States. Forest Products Society, 66(5/6), 326‒337. https://doi.org/10.13073/FPJ-D-15-00060 [ Links ]
McKinsey & Company. (2002). Global energy perspective 2022 report. https://www.mckinsey.com/~/media/McKinsey/Industries/Oil%20and%20Gas/Our%20Insights/Global%20Energy%20Perspective%202022/Global-Energy-Perspective-2022-Executive-Summary.pdf [ Links ]
Meil, J., Bushi, L., Garrahan, P., Aston, R., Gingras, A., & Elustondo, D. (2009). Status of energy use in the Canadian wood products sector. Canadian Industry Program for Energy Conservation (CIPEC). https://library.fpinnovations.ca/en/viewer?file=%2fmedia%2fWP%2f2780.pdf#phrase=false&pagemode=bookmarks [ Links ]
Mendenhall, W., Beaver, R., & Beaver, B. (2010). Introducción a la probabilidad y estadística. Cenage Learning. [ Links ]
Meza, P., Trujillo, M., Burciaga, A., De la Cruz, R., & Nájera, J. (2021). Carbon footprint estimate in the primary wood processing industry in El Salto, Durango. Revista Chapingo Serie Ciencias Forestales y del Ambiente, 27(1), 127‒142. https://doi.org/10.5154/r.rchscfa.2019.07.060 [ Links ]
Morgan, T, Donahue, T., Rosenberg, M., & Christensen, G. (2019). Energy use and emissions by the California Sawmill Sector, 2016. https://bof.fire.ca.gov/media/9689/ca-sawmill-energy-report_final_20_9-16-19_v1_ada.pdf [ Links ]
Organización de las Naciones Unidas (ONU). (2009). Clasificación industrial internacional uniforme de todas las actividades económicas (CIIU) revisión 4. https://unstats.un.org/unsd/publication/seriesm/seriesm_4rev4s.pdf [ Links ]
Navarrete, F., & Labelle, F. (2023). Gestión energética y desarrollo organizacional sostenible en las pequeñas medianas empresas de Jalisco. Trascender, Contabilidad y Gestión, 8(22), 2‒18. https://doi.org/10.36791/tcg.v8i22.194 [ Links ]
Olsson, M. (2020). Energy management in the Norwegian sawmill industry. https://www.eceee.org/library/conference_proceedings/eceee_Industrial_Summer_Study/2020/3-energy-management/energy-management-in-the-norwegian-sawmill-industry/ [ Links ]
Pro Floresta S. C. (2008). Estudio regional forestal UMAFOR 1008 Pueblo Nuevo Durango. http://www.conafor.gob.mx:8080/documentos/docs/9/1134ERF_UMAFOR1008.pdf [ Links ]
Ratnasingam, J., Ramasamy, G., Ioras, F., & Parasuraman, N. (2017). Assessment of the carbon footprint of rubberwood sawmilling in peninsular Malaysia: Challenging the green label of the material. BioResources, 12(2), 3490‒3503. https://doi.org/10.15376/biores.12.2.3490-3503 [ Links ]
Reyes, A., Quiñones, P., Meza, P., Nájera, J., & Díaz, B. (2022). Aplicación de la función de la producción como indicador de desempeño energético en una empresa forestal. Academia Journals, 14(4), 414‒419. https://www.academiajournals.com/puboaxaca2022 [ Links ]
Saidur, R., Rahim, N. A., Masjuki, H. H., Mekhilef, S., Ping, H. W., & Jamaluddin, M. F. (2009). End-use energy analysis in the Malaysian industrial sector. Energy, 34(2), 153‒158. https://doi.org/10.1016/j.energy.2008.11.004 [ Links ]
Secretaría de Medio Ambiente y Recursos Naturales (SEMARNAT). (2021). Anuario estadístico de la producción forestal 2018. https://dsiappsdev.semarnat.gob.mx/datos/portal/publicaciones/2021/2018.pdf [ Links ]
Secretaría de Energía (SENER). (2021). Balance nacional de energía 2020. https://www.gob.mx/cms/uploads/attachment/file/707654/BALANCE_NACIONAL_ENERGIA_0403.pdf [ Links ]
Thollander, P., Danestig, M., & Rohdin, P. (2007). Energy policies for increased industrial energy efficiency: Evaluation of a local energy programme for manufacturing SMEs. Energy Policy, 35(11), 5774‒5783. https://doi.org/10.1016/J.ENPOL.2007.06.013 [ Links ]
Wan, M., Lähtinen, K., Toppinen, A., & Toivio, M. (2012). Opportunities and challenges in the emerging bioenergy business: The case of the Finnish sawmill industry. International Journal of Forest Engineering, 23(2), 89‒101. https://doi.org/10.1080/14942119.2012.10739965 [ Links ]
World Business Council Sustainable Development & World Resources Institute (2005). A corporate accounting and reporting standard. https://ghgprotocol.org/corporate-standard [ Links ]
Xing, X., Cong, Y., Wang, Y., & Wang, X. (2023). The impact of COVID-19 and war in Ukraine on energy prices of oil and natural gas. Sustainability, 15(19), 14208. https://doi.org/10.3390/su151914208 [ Links ]
Recibido: 26 de Abril de 2023; Aprobado: 07 de Marzo de 2024










text in 



