Servicios Personalizados
Revista
Articulo
Indicadores
-
Citado por SciELO -
Accesos
Links relacionados
-
Similares en
SciELO
Compartir
Revista Chapingo serie ciencias forestales y del ambiente
versión On-line ISSN 2007-4018versión impresa ISSN 2007-3828
Rev. Chapingo ser. cienc. for. ambient vol.21 no.1 Chapingo ene./abr. 2015
https://doi.org/10.5154/r.rchscfa.2014.05.024
Bioprospecting arsenite oxidizing bacteria in the soil of the Comarca Lagunera
Bioprospección de bacterias oxidantes de arsenito de suelo de la Comarca Lagunera
Edelweiss A. Rangel-Montoya; Nagamani Balagurusamy*
Escuela de Ciencias Biológicas, Universidad Autónoma de Coahuila, Unidad Torreón. Ciudad Universitaria, carretera Torreón-Matamoros, km 7.5. C. P. 27000. Torreón, Coahuila, MÉXICO. Correo-e: bnagamani@uadec.edu.mx, tel.: (871) 757 1785 (*Autor para correspondencia).
Received: May 29, 2014.
Accepted: January 30, 2015.
ABSTRACT
Arsenic is one of the most toxic metalloids present in the environment and prolonged exposure to this metal causes chronic health effects. Therefore, the search for environmentally-friendly alternatives for the treatment of arsenic-contaminated water and soil is important. In this study, bacterial strains were isolated from arsenic-containing soils in the Lagunera region to analyze those with arsenite-oxidizing abiliity. Strains 04-SP1qa and 14-SP1qh with chemolithoautotrophic and chemoheterotrophic metabolism, respectively, had greater activity of the arsenite oxidase enzyme. The optimum growth conditions and enzymatic activity of these strains were investigated. Strain 04-SP1qa had specific enzymatic activity of 0.162 μmol·min-1·mg-1, Michaelis-Menten constant (Km) of 3.37 μM and maximum velocity (Vmax) of 5.20 μM·min-1·mg-1 under optimum growth conditions of pH 8.0 at 40 °C. Strain 14-SP1qh showed specific enzymatic activity of 0.16 μmol·min-1·mg1, Km of 3.70 μM and Vmax of 14.39 μM·min-1·mg-1 at pH 7.0 and 40 °C. Results of this study demonstrated the presence of arsenite- oxidizing bacteria with enzymatic activity in the soils of the Lagunera region. Thus, the potential exists to develop new bioremediation technologies for treatment of arsenic-contaminated water and soils in the region using native bacterial strains.
Keywords: Arsenite oxidase, chemolithoautotrophic, chemoheterotrophic, bioremediation.
RESUMEN
El arsénico es uno de los metaloides más tóxicos presente en el ambiente y la exposición prolongada a este metal causa efectos crónicos en la salud. Por ello, la búsqueda de alternativas amigables con el medio ambiente, para el tratamiento de agua y suelos contaminados con arsénico es importante. En este trabajo se aislaron cepas bacterianas de suelos con presencia de arsénico en la Comarca Lagunera, para analizar aquellas con capacidad oxidante de arsenito. Las cepas 04-SP1qa y 14-SP1qh de metabolismo quimiolitoautotrófico y quimioheterotrófico, respectivamente, tuvieron mayor actividad de la enzima arsenito oxidasa. Las condiciones óptimas de crecimiento y la actividad enzimática de dichas cepas se investigaron. La cepa 04-SP1qa presentó actividad enzimática específica de 0.162 μmol·min-1·mg-1, constante de Michaelis-Menten (Km) de 3.37 μM y velocidad máxima (Vmax) de 5.20 μM·min-1·mg-1 en condiciones óptimas de pH 8.0 y 40 °C. La cepa 14-SP1qh presentó actividad enzimática específica de 0.16 μmol·min-1·mg-1, Km de 3.70 μM y Vmax de 14.39 μM·min-1mg-1a pH 7.0 y 40 °C. Los resultados demostraron la presencia de bacterias oxidantes de arsenito con actividad enzimática en suelos de la Comarca Lagunera, identificando potencial para desarrollar nuevas tecnologías de biorremediación de aguas y suelos contaminados con arsénico en la región.
Palabras clave: Arsenito oxidasa, quimiolitoautotrófico, quimioheterotrófico, biorremediación.
INTRODUCTION
Arsenic (As) is present in the atmosphere, soil, rocks, water bodies, minerals and organisms. The element is found naturally in the environment and is unevenly distributed throughout the world depending on geographical region, geochemical soil characteristics and industrial activity. This metalloid occurs in different oxidation states: arsenate As (V), arsenite As (III), elemental As (0) and arsenide As (-III) (Tsai, Singh, & Chen, 2009). Arsenite is more toxic than arsenate, which is poorly soluble in water and is therefore less bioavailable (Valenzuela, Campos, Yañez, Zarror, & Mondaca, 2009). When there is a greater natural geological presence of arsenic, it is possible to find high levels of the element in groundwater, as is the case with Bangladesh, India, China, Taiwan, Mongolia, Chile, Argentina, Mexico and many places in the United States (Anawar et al., 2003; Campos, Valenzuela, Alcorta, Escalante, & Mondaca, 2007).
In Mexico, the highest arsenic concentrations are found in the Lagunera region in the states of Coahuila and Durango, where concentrations of 0.007-0.740 mg·liter-1 in agricultural wells and up to 30 μg·g-1 in soil have been reported (Rosas, Belmont, Armienta, & Baez, 1999). As is mainly held in silt and clay fractions; the soil of the Comarca Lagunera mainly consists of clay with low organic matter content and alkaline pH (> 8.0) (Cebrián, Albores, García-Vargas, & Del Razo, 1994; Del Razo et al., 1994; Rosas et al., 1999). The presence of As in the Comarca Lagunera is mainly due to the geological characteristics of the area. It has been reported that the mobilization of As and high values of this element in groundwater are a product of the dissolution reactions of Fe oxides and desorption due to high pH values (SICYGSA, 2000).
The presence of As causes adverse health effects. The problem of chronic endemic regional hydroarsenicism (CERHA), a disease caused by drinking water contaminated with As, is present in the region. In 1958 the first As poisoning was reported and since then there have been reports of cases due to endemic pollution (Cebrián et al., 1994; Del Razo et al., 1994). There are various treatments for removal of As from water, based on chemical methods that generally require a prior oxidation step to transform the As (III) to As (V), which is usually done using oxygen, ozone, hypochlorite, chlorine, permanganate, hydrogen peroxide and UV radiation. However, these chemical processes can lead to the formation of harmful by-products that are difficult to remove from water. Alternatively, this step can be replaced by biological oxidation using microorganisms due to their high resistance and tolerance to inorganic forms of As and the ability they may have to transform it (Ghurye & Clifford, 2001). Microorganisms transform As (V) to As (III) through three enzyme systems: arsenite oxidase, arsenate reductase and cytoplasmic arsenate reductase (Silver & Phung, 2005). In 1918, Green first described the oxidation of arsenite by bacteria, which are largely heterotrophic organisms; however, some chemolithoautotrophic bacteria can also use As (III) as an electron donor and obtain energy from oxidizing it (Green, 1918; Santini, Sly, Schnagl, & Macy, 2000). The mechanism of oxidation of As involves genes aioA and aioB (Lett, Muller, Lièvremont, Silver, & Santini, 2012) encoding for the large catalytic molybdopterin subunit and the small Rieske subunit of the arsenite oxidase AioAB, which has a molecular mass of about 100 kDa (Ellis, Conrads, Hille, & Kuhn, 2001; Van Lis et al., 2012).
In 1992 an enzyme capable of oxidizing arsenite was purified from the β proteobacteria Alcaligenes faecalis. The expression of this enzyme called arsenite oxidase was induced by the presence of As (III) in the growth medium (Anderson, Williams, & Hille, 1992; Lebrun et al., 2003). In this context, and because the presence of As in water has a negative impact on human health, the aim of this work was to study the ability of the bacteria isolated from the region to transform As (III) to As (V). The use of microorganisms, as an alternative in the remediation of As in soil and water, can be developed as a treatment technology that does not lead to secondary pollution.
MATERIALS AND METHODS
Isolation and selection of arsenite-oxidizing bacteria
Soil samples from the Lagunera region were collected at sites previously reported by Rosas et al. (1999) to have high As concentrations: Ejido San Rafael el de Arriba (SR1), Carretera San Pedro-Torreón, Mirador neighborhood (SP1), San Pedro de las Colonias (SP2), located at coordinates 25° 45' 32" N - 102° 59' 04" W; and in the Obrera Francisco I. Madero neighborhood (FM1), located at 25° 46' 31'' N - 103° 16' 23'' W. Sampling was done randomly at a soil depth of 5-10 cm. Each sample was diluted from 10-1 to 10-4 in 0.85 % saline solution. Bacteria were isolated by the spread-plate seeding technique in agar plates with minimal salts (MS) medium supplemented with sodium arsenite (NaAsO2; 5 mM). The plates were incubated at 35 ± 2 °C for 48-72 h. MS medium supplemented with 5 mM arsenite (As-MS) was used for isolation of chemolithoautotrophic bacteria, according to Santini et al. (2000). Chemolithoautotrophic bacteria were isolated with MS-As medium supplemented with 0.1 % glucose.
Arsenic-tolerant bacteria and their ability to oxidize As (III) to As (V) or reduce As (V) to As (III) were verified using the AgNO3 method described by Simeonova et al. (2004). Isolated strains grew in 50 mL of MS medium without arsenite in the dark for 72 h at 30 ± 2 °C and 200 rpm. Subsequently, the cultures were centrifuged at 10,000 rpm for 15 min and washed three times with sterile distilled water. The pellet obtained was suspended in 1.5 mL of sterile distilled water. Then 20 uL of the cell suspension were added to the bottom of a well in a MS-As agar plate with 80 μL of Tris-HCl 0.2 M buffer (pH 7.4). The inoculated plates were incubated at 30 ± 2 °C for 48-72 h. Finally, the color reaction was performed by adding 100 μL of AgNO3 (0.1 M) in each of the wells. This test involves the reaction of AgNO3 with the As (III) or As (V) present in the medium with Tris-HCl. This reaction forms a brown precipitate which indicates the presence of As (V), whereas a yellow precipitate indicates the presence of As (III).
Growth kinetics of arsenite-oxidizing strains
The growth of the strains was measured by optical density at 600 nm in a Thermo Scientific™ GENESYS 10S UV-Vis spectrophotometer (USA) to determine the exponential phase of each strain. Growth was also measured through quantification of cellular protein using the Coomassie Blue method (Bradford, 1976).
Determination of the enzymatic activity of the arsenite oxidase enzyme
Cell-free extract. Extraction of the arsenite oxidase enzyme was performed according to the method described by Anderson et al. (1992). Selected strains grew in 50 mL of MS medium with NaAsO2 (5 mM) for 24 h at 30 ± 2 °C and 200 rpm. Subsequently, the cultures were centrifuged at 10,000 rpm for 20 min at 4 °C. The formed pellet was washed three times with Tris-HCl buffer (20 mM), EDTA (ethylenediaminetetraacetic acid, 0.6 mM), PMSF (phenylmethylsulfonyl fluoride, 0.1 mM) and NaCl (0.9 %) at pH 8.4, centrifuged after each wash at 10,000 rpm for 10 min at 4 °C. The final pellet was suspended in 100 μL of buffer containing Tri-HCl (20 mM), EDTA (0.6 mM) and PMSF (0.1 mM), adding MgSO4 (20 mM) and Mg (CH3COO)2 (100 mM). The cell suspension was sonicated with a Vibra-Cell™ VCX-130 ultrasonic processor (USA). Sonication conditions were previously evaluated for each strain to determine the best: five 2.5-min cycles with 5-min cooling intervals between each cycle for chemoheterotrophic strains; and two 2.5-min cycles with 5-min cooling intervals for the chemolithoautotrophic strains. The broken cell suspension was centrifuged at 10,000 rpm for 10 min at 4 °C. The cytosolic fraction was collected in a fresh tube and the membrane fraction was resuspended in 500 µL of suspension buffer. Enzymatic activity was measured in the whole-cell and membrane fraction suspensions.
Enzymatic assay. The assay was based on the reduction of DCPIP (2,6-dichlorophenol indophenol), an artificial electron acceptor, in Tris-HCl buffer at pH 7.0. The kinetics of the crude extract was determined by adding the arsenite oxidase enzyme to 1 mL of reaction buffer at pH 7.0 reaction, which contained DCPIP (60 μΜ), NaAsO2 (200 μM) and Tris-HCl (50 mM). Changes in absorbance were monitored at 600 nm in a Thermo Scientific™ GENESYS 10S UV-Vis spectrophotometer (USA) every minute for 5 min (Anderson et al., 1992). One unit of enzymatic activity of arsenite oxidase was defined as the amount of enzyme necessary to reduce 1 μmol of DCPIP·min-1.
Determination of optimum growth and enzymatic activity conditions
Growth and enzymatic activity of the selected strains were evaluated in various concentrations of As (5, 10, 20 and 30 mM), temperatures (25, 30, 40 and 55 °C) and pH conditions (6.0, 7.0, 8.0, 9.0). The effect of temperature was evaluated by incubating the enzyme extract at different temperatures for 1 h; the extract was added to the reaction buffer, which was also previously incubated for 5 min. The enzymatic activity of the arsenite oxidase was measured by adding different concentrations (100, 150 and 200 μL) of the enzyme (crude extract and whole-cell) in the reaction buffer. Each parameter was evaluated separately.
Determination of kinetic parameters (Vmax and Km) of the arsenite oxidase enzyme
The kinetic parameters of maximum velocity (Vmax) and the Michaelis-Menten constant (Km) were determined using the Hanes-Woolf equation since it is the most advisable linearization for data obtained at equidistant substrate increases:

Where:
[S] = Substrate concentration (μM)
Vo = Reaction velocity (μmol-min1)
Km = Michaelis-Menten constant (μM)
Vmax = Maximum velocity (μmol-min-1)
The initial velocity of the enzyme was determined under different concentrations of arsenite (25, 50, 100, 150 and 200 μM). From the Hanes-Woolf equation, Vmax was calculated with the inverse of the slope and the Km of the intercept to the origin multiplied by the Vmax obtained.
Statistical analysis
The experiments in this study were performed in duplicate. The results of the enzymatic activity of the bacterial strains and the difference in the activity of whole cells and cell-free extract (membrane fraction) were analyzed by ANOVA and Duncan's multiple range test (P < 0.05) using Statgraphics Plus, version 5.1 (1992).
RESULTS AND DISCUSSION
Isolation and selection of arsenite-oxidizing bacteria
Twenty-five strains, of which 13 were chemolithoauto-trophic bacteria and 12 chemoheterotrophic bacteria, were isolated. Of the isolated strains, those capable of transforming arsenic ions by the AgNO3 test were selected (Simeonova et al., 2004). Of the 13 chemolitho-autotrophic strains, only three were positive to the oxidation of As (III) to As (V), whereas 12 chemoheterotrophic strains were positive. Table 1 shows the 15 strains selected for their ability to transform arsenic ions.
Growth kinetics of arsenite-oxidizing strains
According to the growth kinetics, the growth rate of the chemolithoautotrophic strain SP1qa-04 was 0.016 g·h-1, presenting more stable growth than strains 05-SP2qa and 12-SR1qa. Figure 1 shows the growth rate and protein quantification of strain 04-SP1qa. The generation time was 18.29 h, so that the protein was quantified for seven days; the greatest amount of cellular protein was generated on day three.
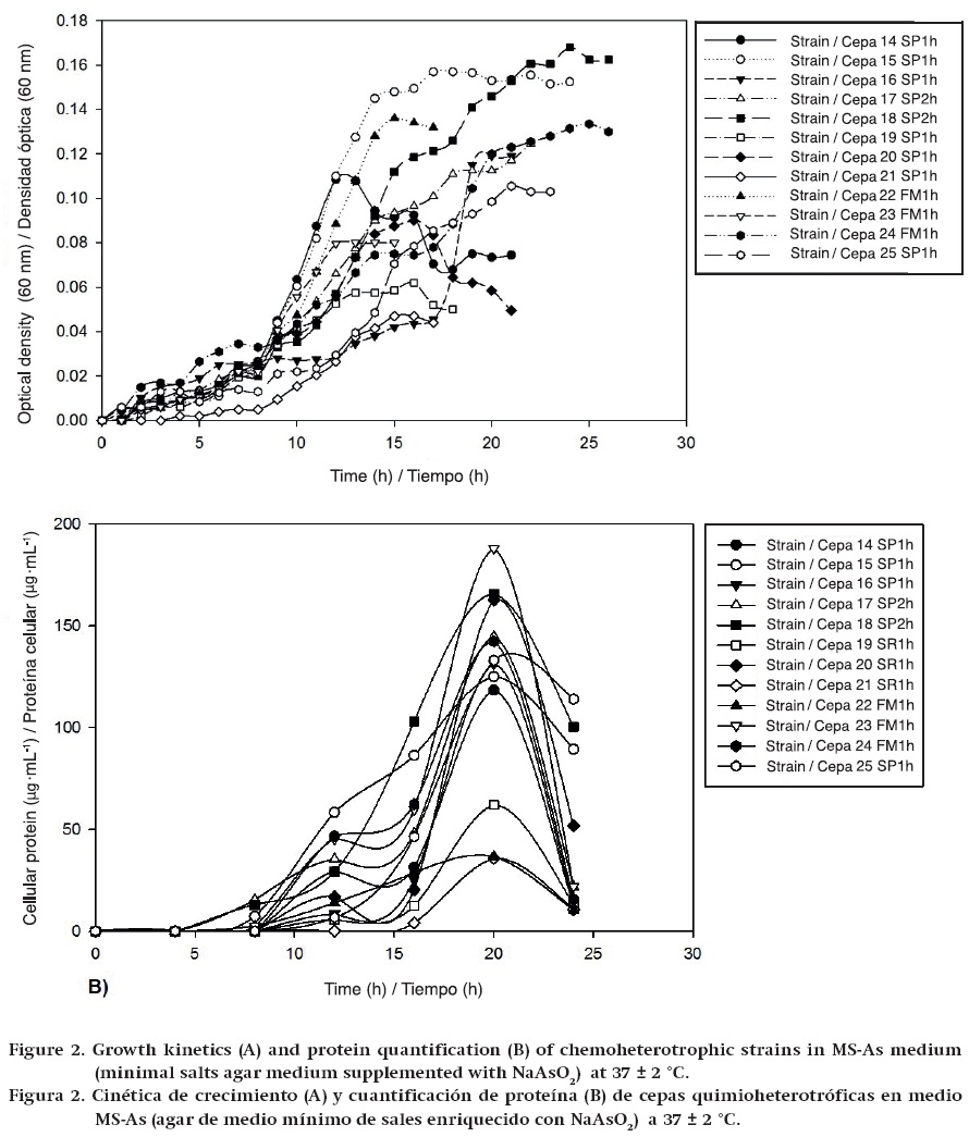
Figure 2 shows the growth kinetics and protein quantification of the 12 chemoheterotrophic strains. Strain 21-SR1qh had the lowest generation time (2.16 h) with a growth rate of 0.139 g·h-1, while strain 24-FM1qh had the highest generation time (6 h) with a rate of 0.115 g·h-1 (Figure 2A). Regarding cellular protein quantification, the maximum amount of protein was recorded around hour 20 of growth in the 12 strains (Figure 2B).
Arsenite oxidase: Enzymatic activity and location
The enzymatic activity of the 12 strains with chemoheterotrophic metabolism and the strain with chemolithoautotrophic metabolism was measured in the membrane fraction and whole cell under conditions of pH 7.0, at 30 °C in MS-As medium, in order to select the highest specific enzymatic activity.
The selected strains were 04-SP1qa and 14-SP1qh; strain 04 SP1qa had enzymatic activity of 0.088 μM·min-1·mg-1 in the membrane fraction and 0.078 μM·min-1·mg-1 in the whole cell, while strain 14-SP1qh had activity of 0.06 μM·min-1·mg-1 and 0.035 μM·min-1·mg-1 in the membrane fraction and whole cell respectively. Based on the above, the enzyme is bound to the membrane since it was in this fraction where it showed greater activity; however, no significant difference (P < 0.05) between whole cells and the membrane fraction was observed. Table 2 reports the specific enzymatic activity of the 13 strains evaluated.
Optimum conditions for growth of bacterial strains and enzymatic activity of arsenite oxidase
Effect of temperature and arsenite on growth. The growth of selected strains 04-SP1qa and 14-SP1qh 04 was evaluated under different arsenite concentrations and temperatures. Optimum growth conditions for strain 04-SP1qa were 30 °C at 10 mM arsenite, adding 0.04 % yeast extract to stimulate the growth rate according to Santini et al. (2000). On the other hand, strain 14-SP1qh required a temperature of 40 °C at 10 mM arsenite. In both strains, growth was inhibited at 30 mM arsenite.
Effect of arsenite, enzyme, pH and temperature on enzymatic activity of arsenite oxidase
Strains 04-SP1qa and 14-SP1qh were cultured at two arsenite concentrations (5 mM and 10 mM) in order to determine the concentration which results in greater enzymatic activity, which was 10 mM in both strains. The enzymatic activity of arsenite oxidase was also measured by adding different concentrations of the enzyme (crude extract and whole cell) in the reaction buffer. The greatest arsenite oxidase activity was recorded at the concentration of 100 μL in the two strains evaluated. Regarding the effect of pH on the enzymatic activity of arsenite oxidase, it was determined that the optimum pH for strain 04-SP1qa was 8.0 (Figure 3A). and for strain 14-SP1qh it was 7.0 (Figure 3B). Previously, Anderson et al. (1992) evaluated A. faecalis and reported optimum pH of 6.0, as did Prasad, Subramanian, and Paul (2009) for a species of Arthrobacter. On the other hand, Santini et al. (2000) found that the chemolithoautotrophic strain NT-26, isolated from a gold mine in Australia, had optimum pH of 5.5. The optimum pH levels obtained for the two strains isolated in the present study may be due to the alkaline pH (approximately 8.0) present in the soil of the Lagunera region, as has been pointed out by Rosas et al. (1999).
The effect of temperature on enzymatic activity was also evaluated. The optimum temperature for both 04-SP1qa and 14-SP1qh was 40 °C (Figure 4). This temperature is higher than that reported by Anderson et al. (1992) of 25 °C, probably due to the arid climate of the Lagunera region, which leads to the strains having greater resistance to high temperatures.
Enzymatic activity of arsenite oxidase under optimum conditions
The specific enzymatic activity of strains 04-SP1qa and 14-SP1qh was evaluated according to the optimum pH, temperature and enzyme and arsenite concentration parameters for arsenite oxidase enzyme activity. Strain 04-SP1qa cultured in MS-As medium at a concentration of 10 mM arsenite, 0.04 % yeast extract, pH 8.0, at 30 °C for 24 h, had enzymatic activity of 0.162 μM·min-1·mg-1 in the membrane fraction. The specific enzymatic activity of 04-SP1qa is greater than that reported by Santini et al. (2000), who evaluated the crude extract of the chemolithoautotrophic strain Rhizobium sp. NT-26. The authors reported that the specific enzymatic activity of this strain was 0.06 μM·min-1·mg-1, using 0.04 % yeast extract in the MS culture medium supplemented with 5 mM arsenite. Santini et al. (2000) found the arsenite oxidase of strain STNT-26 in the periplasmic space.
On the other hand, strain 14-SP1qh was cultured in MS-As medium at a concentration of 10 mM arsenite, pH 8.0 and incubation at 30 °C for 24 h, after which the enzymatic activity was measured, obtaining 0.16 μM·min-1·mg-1 in the membrane fraction. The specific enzymatic activity of strain 14-SP1qh was higher than levels reported in chemoheterotrophic strains. Anderson et al. (1992) evaluated crude extract of A. faecalis, adding 0.04 % yeast extract to the culture medium supplemented with 5 mM arsenite and finding the enzyme linked to the membrane. These authors reported specific enzymatic activity of 0.023 μM·min-1·mg-1. vanden Hoven and Santini (2004) reported activity of 0.09 μM·min-1·mg-1 in crude extract of Hydrogenophaga sp. using MS culture medium supplemented with 5 mM arsenite, and found the enzyme in the periplasmic space. For their part, Prasad et al. (2009) evaluated Arthrobacter sp., finding the arsenite oxidase enzyme bound to the membrane, and reported specific enzymatic activity of the crude extract of 0.01 μM·min-1·mg-1. Table 3 shows a comparison of the enzymatic activities in different microorganisms.
Kinetic parameters (Vmax and Km) of the arsenite oxidase enzyme
Figure 5 shows the Hanes-Woolf plot of arsenite oxidase activity. Strain 04-SP1qa had Vmax of 3.37 μM·min-1 and Km of 5.2 μM, while strain 14-SP1qh presented Vmax of 3.7 μM·min-1 and Km of 14.39 μM.
Anderson et al. (1992) analized A. faecalis and reported that the arsenite oxidase enzyme had Vmax and Km values of 2.88 μM·min-1 and 8 μM, respectively. Santini et al. (2000) evaluated Rhizobium sp. str. NT-26 with chemolithoautotrophic metabolism and reported Vmax of 2.4 μM·min-1 and Km of 61 μM, while Vanden Hoven y Santini (2004) evaluated Hydrogenophaga sp. str. NT-14 and reported Vmax and Km values of 6.1 μM·min-1 and 35 μM, respectively. For their part, Prasad et al. (2009) analyzed Arthrobacter sp., reporting Vmax and Km values of 2.45 μM·min-1 and 26 μM, respectively (Table 3). Comparing the values described above it can be seen that strains 04-SP1qa and 14-SP1qh, isolated from soil in the Comarca Lagunera, had a higher Vmax value than the other microorganisms, except Hydrogenophaga sp. str. NT-14. Regarding Km values, strain 04 SP1qa had higher substrate specificity than the previously reported strains, whereas strain 14 SP1qh showed substrate specificity only lower than that of strain A. faecalis.
CONCLUSIONS
In this paper we describe for the first time bacteria able to transform arsenite to arsenate in the Comarca Lagunera. Of the 25 isolated strains, strains 04-SP1qa and 14-SP1qh with chemolithoautotrophic and chemoheterotrophic metabolism, respectively, showed higher activity of the arsenite oxidase enzyme, which is bound to the membrane. The two strains had similar Km values, being 3.37 μM for strain 04-SP1qa and 3.7 μM for strain 14-SP1qh. On the other hand, the chemoheterotrophic strain 14-SP1qh showed higher Vmax than chemolithoautotrophic strain 04-SP1qa with values of 5.2 μM·min-1·mg-1 and 14.39 μM·min-1·mg-1, respectively. The study of the arsenite oxidase enzyme is of great importance because it will generate more knowledge about the mechanisms used by bacteria to overcome the toxic effects of arsenite. Thus, new bioremediation technologies for treating arsenic-contaminated water and soil, which contribute to environmental conservation, can be developed.
REFERENCES
Anawar, H., Akai, J., Komaki, K., Terao, H., Yosioka, T., Ishizuka, T., Safiullah, S., & Kikuo, K. (2003). Geochemical occurrence of arsenic in the groundwater of Bangladesh sources and mobilization processes. Journal of Geochemical Exploration, 77(2-3), 109-131. doi: 10.1016/S0375-6742(02)00273-X. [ Links ]
Anderson, G., Williams, J., & Hille, R. (1992). The purification and characterization of arsenite oxidase from Alcaligenes faecalis, a molybdenum-containing hydroxylase. Journal of Biological Chemistry, 267(33), 23674-23682. Obtenido de http://www.jbc.org/content/267/33/23674.full.pdf+html. [ Links ]
Braford, M. M. (1976). A rapid and sensitive method for the quantitation of microgram quantities of protein utilizing the principle of protein-dye binding. Analytical Biochemistry, 72(1), 248-254. doi:10.1016/0003-2697(76)90527-3. [ Links ]
Campos, V., Valenzuela, C., Alcorta, M., Escalante, G., & Mondaca, M. (2007). Isolation of arsenic resistance bacteria from volcanic rocks of Quebrada Camarones, Parina Region, Chile. Gayana, 71(2), 150-155. doi: 10.4067/S0717-65382007000200003. [ Links ]
Cebrián, M. E., Albores, A., García-Vargas, G., & Del Razo, L. M. (1994). Chronic arsenic poisoning in humans: The case of Mexico. In J. O. Nriagu (Ed.), Arsenic in the environment, Part II: Human health and ecosystem effects (pp. 93-107). USA: John Wiley & Sons, Inc. [ Links ]
Del Razo, L., Hernández, J., García-Vargas, G., Ostrosky-Wegman, P., Cortinas de Nava, C., & Cebrián, M. (1994). Urinary excretion of arsenic species in a human population chronically exposed to arsenic via drinking water. A pilot study. In C. O. Abernathy, W. R. Chappell, & C. R. Cothern (Eds.), Arsenic. Exposure and health (pp. 91-100). Norwood, UK: Science and Technology Letters. [ Links ]
Ellis, P., Conrads, T., Hille, R., & Kuhn, P. (2001). Crystal structure of the 100 kDa Arsenite Oxidase from Alcaligenes faecalis in two crystal forms at 1.64 Å and 2.03 Å. Structure, 9(2), 125-132. doi: 10.1016/S0969-2126(01)00566-4. [ Links ]
Ghurye, G. & Clifford, D. (2001). Laboratory study on the oxidation of As (III) to As (V). Houston, TX: U. S Environmental Protection Agency. [ Links ]
Green, H. H. (1918). Description of a bacterium which oxidizes arsenite to arsenate, and of one which reduces arsenate to arsenite, isolated from a cattle-dipping tank. South African Journal of Science, 14, 465-467. [ Links ]
Lebrun, E., Brunga, M., Baymann, F., Muller, D., Lievremont, D., Lett M-C., & Nitschke, W. (2003). Arsenite Oxidase, an ancient bioenergetic enzyme. Molecular Biology and Evolution, 20(5), 686-693. doi: 10.1093/molbev/msg071. [ Links ]
Lett, M-C., Muller, D., Lièvremont, D., Silver, S., & Santini, J. (2012). Unified nomenclature for genes involved in Prokaryotic aerobic arsenite oxidation. Journal of Bacteriology, 194(2), 207-208. doi: 10.1128/JB.06391-11. [ Links ]
Prasad, K., Subramanian, V., & Paul, J. (2009). Purification and characterization of arsenite oxidase from Arthrobacter sp. Biometals, 22(5), 711-721. doi: 10.1007/ s10534-009-9215-6. [ Links ]
Rosas, I., Belmont, R., Armienta, A., & Baez, A. (1999). Arsenic concentrations in water, soil, milk and forage in Comarca Lagunera, Mexico. Water, Air, and Soil Pollution, 112(2), 133-149. doi: 10.1023/A:1005095900193. [ Links ]
Santini, J., Sly, L., Schnagl, R., & Macy, J. (2000). A new chemolithoautotrophic arsenite-oxidizing bacterium isolated from a gold mine: Phylogenetic, physiological, and preliminary biochemical studies. Applied and Environmental Microbiology, 66(1), 92-97. doi: 10.1128/AEM.66.1.92-97.2000. [ Links ]
SICYGSA. (2000). Estudio de la contaminación difusa del acuífero de la Comarca Lagunera, Coahuila. México, D. F.: Subdirección General Técnica, Gerencia de Aguas Subterráneas, CONAGUA. [ Links ]
Silver, S., & Phung, L. (2005). Genes and enzymes involved in bacterial oxidation reduction of inorganic arsenic. Applied and Environmental Microbiology, 71(2), 599-608. doi: 10.1128/AEM.71.2.599-608.2005. [ Links ]
Simeonova, D., Liévremont, D., Lagarde, F., Muller, D., Groudeva, V., & Lett, M-C. (2004). Microplate screening assay for the detection of arsenite-oxidizing and arsenate-reducing bacteria. FEMS Microbiology Letters, 237, 249-253. doi: 10.1111/j.1574-6968.2004.tb09703.x. [ Links ]
Statgraphics (1992). Statgraphics Plus, version 5.1. Reference Manual, Manugistics. Rockville, MD: Statpoint Technologies, Inc. Obtenido de http://www.statgraphics.com/statgraphics_plus.htm. [ Links ]
Tsai, S., Singh, S., & Chen, W. (2009). Arsenic metabolism by microbes in nature and the impact on arsenic remediation. Chemical Biotechnology, 20(6), 659-667. doi: 10.1016/j.copbio.2009.09.013. [ Links ]
Valenzuela, C., Campos, V., Yañez, E., Zarror, C., & Mondaca, M. (2009). Isolation of arsenite-oxidizing bacteria from arsenic-enriched sediments from Camarones River, Northern Chile. Bulletin of Environmental Contamination and Toxicology, 82(5), 593-596. doi: 10.1007/s00128-009-9659-y. [ Links ]
Van Lis, R., Nitschke, W., Warelow, T., Capowiez, L., Santini, J., & Schoepp-Cothenet, B. (2012). Heterologously expressed arsenite oxidase: A system to study biogenesis and structure/function relationships of the enzyme family. Biochimica et Biophysica Acta (BBA)-Bioenergetics, 1817(9), 1701-1708. doi: 10.1016/j.bbabio.2012.06.001. [ Links ]
Vanden Hoven, R. & Santini J. (2004). Arsenite oxidation by the heterotrophy Hydrogenophaga sp. str. NT-14: The arsenite oxidase and its physiological electron acceptor. Biochimica et Biophysica Acta (BBA)-Bioenergetics, 1656(2), 148-155. doi: 10.1016/j.bbabio.2004.03.001. [ Links ]













