Introduction
More than 75 % of bat species feed on arthropods, making them crucial for arthropod pest control (Wilson 1973; Hutson and Mickleburgh 2001; Kunz et al. 2011; Williams-Guillén 2016). This ecosystem service holds greater significance when it directly impacts the economy by preying on arthropods that are either crop pests or vectors of diseases affecting the health of humans and domestic animals, as is the case of mosquitoes of the family Culicidae (Dobson 2005; Fenton et al. 2006; Kunz et al. 2011).
The family Culicidae includes hematophagous female mosquitoes, mostly belonging to the genera Culex, Aedes, and Anopheles. Culicidae comprises around 3,583 species in 110 recognized genera (Mosquito Taxonomic Inventory 2020); some species of the genus Culex are vectors of West Nile Virus, filariasis, equine encephalitis, and avian malaria (Bolling et al. 2009; Farajollahi et al. 2011); Aedes includes vectors of Yellow Fever Virus, Dengue Virus, Zika Virus, and canine dirofilariasis (Gubler 2002); and Anopheles, mainly of malaria (Manguin et al. 2008).
Arthropodophagous bats have been considered active predators of culicid mosquitoes. This assumption has been explored empirically considering them as biocontrol mosquitos’ species (Kunz et al. 2011; Williams-Guillén 2016). Campbell (1925) reported mosquito remains in the stomach content of bats, suggesting a potential role of bats in controlling the spread of malaria. His findings have been questioned on the basis that identification of digested exoskeleton remnants of mosquitoes is impossible at taxonomic levels below the rank of family (Storer 1926; Whitaker et al. 2009). It has been reported that Myotis lucifugus consumes culicid mosquitoes (Whitaker and Lawehead 1992), with foraging activities in areas where mosquitoes are abundant (Rydell et al. 2002) and has been estimated that a single bat can consume up to 1,300 mosquitoes in one to two hours (Wetzler and Boyles 2017). The predation on mosquitoes is critical for vector-borne diseases, mainly in tropical regions (Githeko et al. 2000). Mosquito species such as C. quinquefasciatus and A. aegypti are vectors that thrive in warm, humid climates (Rueda et al. 1990; Couret et al. 2014), where they are more abundant (Turell 1989). Given this scenario, the confirmation of mosquito predation by bats may play a key role in the promotion of bat species as biological control agents for mosquitoes of public health importance and the importance of the bat’s conservation plans. We use the definition of biological control agents as Natural enemies of insects playing an important role in limiting the densities of potential pests (Flint and Dreistadt 1998).
Accurate reports about the consumption of culicid species that are vectors of diseases are scarce. Under controlled conditions, it has been found that Northern long-eared bats (Myotis septentrionalis) prey on mosquitoes of the genus Culex (Reiskind and Wund 2009). To date, however, evidence about the suppression of mosquitoes by bats under natural conditions is scarce and restricted to southern Oceania, northern Europe, and North America (e. g.,Clare et al. 2014; Vesterinen et al. 2013; Vesterinen et al. 2018; Wray et al. 2018). Molecular techniques have been applied successfully to determine that various bat species feed on Culicidae (Table 1).
The mitochondrial gene cytochrome c oxidase subunit I (COI) has been used for improving taxonomic identification of culicid species (Laurito et al. 2013; Batovska et al. 2016; Yssouf et al. 2016), being useful for detection of mosquito species in bat feces (Vesterinen et al. 2013; Clare et al. 2014; Vesterinen et al. 2018; Wray et al. 2018). For the genus Aedes, taxonomic studies reported a 100 % species-level identification success, and Culicidae genera are accurately identifiable with COI due to genetic distance between genera greater than 12 % (Chan et al. 2014; Talaga et al. 2017). For the genera Culex and Anopheles, COI is not considered successful in species-level identification (69 % success; Laurito et al. 2013; Batovska et al. 2016; Yssouf et al. 2016). However, greater genetic differentiation is reported with COI than with 16S markers for species of these genera (Talaga et al. 2017; Vadivalagan et al. 2017). For example, it is possible to identify C. tarsalis and C. pipiens complex using COI gene (Pfeiler et al. 2013; Shaikevich et al. 2016; Shahhosseini et al. 2018). More than 36,131 culicid COI sequences are available through GenBank, including those belonging to the genera Aedes with 16 species (9,795 sequences), Anopheles with 19 species (10,633 sequences), and Culex with five species (6,136 sequences; Sayers et al. 2024).
Table 1 Bats species and culicid species were reported in their diet by metabarcoding studies.
| Bat Sapecies | Location | Culicid species reposted in diet | Source |
|---|---|---|---|
| Vespadelus pumilus and Vespadelus vulturnus | Australia | Aedes vigilax | Gonsalves et al., 2013 |
| Myotis daubentonii | Finland | Anopheles cinereus, Anopheles messeae, Coquillettidia richiardii, Culex pipiens, and Ochlerotatus communis | Vesterinen et al., 2013;Vesterinen et al., 2018 |
| Eptesicus nilssonii | Finland | Aedes vexans, Anopheles cinereus, Anopheles messeae, and Culex pipiens | Vesterinen et al., 2018 |
| Myotis brandtii | Finland | Anopheles cinereus, Anopheles claviger, Anopheles messeae, and Culex pipiens | Vesterinen et al., 2018 |
| Myotis mystacinus | Finland | Anopheles messeae and Culex pipiens | Vesterinen et al., 2018 |
| Pipistrellus pygmaeus | Iberian Peninsula | Culex pipiens and Culex spp. | Puig-Montserrat et al., 2020 |
| Plecotus auritus | Finland | Aedes vexans and Culex pipiens | Vesterinen et al., 2018 |
| Eptesicus fuscus | Canada/ United States | Aedes vexans, Culex pipiens, and Culex restuans | Clare et al., 2014;Wray et al., 2018 |
| Myotis lucifugus | United States | Aedes vexans, Culex restuans, and Culex territans | Wray et al., 2018 |
| Myotis sodalis | United States | Culex erraticus, and Culex territans | O'Rourke, et al. 2021 |
The purpose of this study is to use genetic data to confirm that, in rural areas, all the arthropodophagous bats show some predation activity on mosquitoes of the family Culicidae, which are vectors of several diseases, and that these arthropodophagous bats are active biological control agents that have positive effects in the human population. This study aims to evaluate the presence of culicids in the diet of neotropical bats of different families, environments, foraging guilds, and foraging strata.
Materials and methods
Three hundred and twenty (320) bat fecal samples were collected throughout the Neotropical region of México (Supplementary Material 1) during the rainy season from June to September 2015. Methodology followed Segura-Trujillo et al. (2022). Samples were collected from 19 different bat species with varying foraging habits, strategies, and habitats, as detailed in Table 2. For molecular analysis, 32 samples were pooled (each sample composed of 2 fecal pellets of 10 specimens); each sample pool consisting of 0.08 to 0.2 g of feces from 10 individuals of the same species and location (two fecal pellets from each bat). We followed the guidelines and procedures of the American Society of Mammalogists to capture bats and collect the samples (Sikes et al. 2016). All collected fecal samples were stored in 90 % ethanol, placed in ice coolers while conducting fieldwork, and promptly placed in a -20 freezer upon return to the lab.
Table 2 Foraging guild type, species of bats, and vegetation type of each set of samples analyzed with Folmer and Zbj primers. Percentage reads of culicid in proportion of reads of all arthropod’s genus identified in each pooled sample. Foraging guilds: Aus = aerial in uncluttered space; Abcs = aerial background-cluttered space; Ahcs = aerial highly cluttered space, and Ghcs = gleaning highly cluttered space. Type of vegetation: Gf = gallery forest; df = deciduous forest; Ddf=dry deciduous forests; Ms-df = medium semi-deciduous forests; Hef = high evergreen forest; Xs = xeric scrublands; and Msf = medium subdeciduous forests.
| Folmer | Zbj | |||||||||||||
|---|---|---|---|---|---|---|---|---|---|---|---|---|---|---|
| Foraging guild | Species | Type of vegetation | Aedes aegypti | Anopheles sp. | Culex sp. | % Reads culicid | Aedes aegypti | Aedes sp. | Anopheles sp. | Culex tarsalis | Culex pipiens complex | Culex sp. | % Reads culicid | |
| Emballonuridae | ||||||||||||||
| ABcs | Peropteryx macrotis | Ms-df | 1 | 1 | 1 | 1 | 1 | 0.39 | ||||||
| AUs | Balantiopteryx plicata | Xs | 1 | 2.12 | 1 | 1 | 8.46 | |||||||
| AHcs | Rhynchonycteris naso | Gf | - | 1 | 1 | 9.83 | ||||||||
| AHcs | Saccopteryx bilineata | Ms-df | - | 1 | 1 | 9.22 | ||||||||
| Mormoopidae | ||||||||||||||
| AHcs | Pteronotus parnellii | Gf | 0 | 1 | 1 | 1.25 | ||||||||
| Df | 1 | 1 | 1 | 0.17 | 1 | 1 | 0.31 | |||||||
| Ms-df | 1 | 5.05 | 1 | 1 | 0.48 | |||||||||
| Hef | 0 | 1 | 1 | 2.18 | ||||||||||
| ABcs | Pteronotus fulvus | Gf | 0 | 1 | 1 | 1.23 | ||||||||
| Ms-df | 1 | 1.92 | 1 | 0.07 | ||||||||||
| Hef | 1 | 8.07 | - | |||||||||||
| ABcs | Mormoops megalophylla | Ms-df | 0 | 0.02* | ||||||||||
| Hef | 0 | 1 | 1 | 0.84 | ||||||||||
| Ddf | 0 | 1 | 0.07 | |||||||||||
| Gf | 0 | 1 | 1 | 0.3 | ||||||||||
| Molossidae | ||||||||||||||
| AUs | Molossus rufus | Msf | 1 | 2.4 | 1 | 1 | 3.71 | |||||||
| Ms-df | - | 1 | 1 | 1 | 0.1 | |||||||||
| AUs | Nyctinomops laticaudatus | Hef | - | 1 | 1 | 1 | 4.31 | |||||||
| Natalidae | ||||||||||||||
| AHcs | Natalus mexicanus | Ddf | 1 | 1 | 0.08 | 0 | ||||||||
| Hef | 1 | 0.91 | - | |||||||||||
| Msf | 1 | 7.33 | - | |||||||||||
| Xs | 0 | 0.08* | ||||||||||||
| Phyllostomidae | ||||||||||||||
| GHcs | Macrotus californicus | Df | 0 | 0 | ||||||||||
| GHcs | Macrotus waterhousii | Xs | 0 | 0 | ||||||||||
| Vespertilionidae | ||||||||||||||
| ABcs | Myotis velifer | Ddf | 1 | 1 | 4.4 | 1 | 1 | 0.64 | ||||||
| ABcs | Myotis melanorhinus | Xs | 1 | 0.29 | 1 | 1 | 1 | 1 | 8.91 | |||||
| ABcs | Myotis pilosatibialis | Msf | 1 | 1 | 4.08 | 1 | 0.1 | |||||||
| Ms-df | 1 | 0.22 | 1 | 1 | 1 | 1 | ||||||||
| ABcs | Rhogeessa parvula | Xs | 1 | 0.23 | 1 | 1 | 1 | 1.78 | ||||||
| ABcs | Rhogeessa aeneus | Ms-df | 1 | 11.5 | 1 | 0.05 | ||||||||
| ABcs | Rhogeessa tumida | Ms-df | 0 | 1 | 1 | 14.4 | ||||||||
| ABcs | Neoeptesicus furinalis | Ms-df | 1 | 0.41 | - |
1 = indicates that the taxon was found in the diet of that species; 0 = not sequenced for this primer set, and * sequences identified to the family level but not identified to the genus or species level of culicid mosquitoes.
DNA was extracted from feces using the QIAamp DNA Stool Kit (Qiagen Inc., Valencia, CA, USA). DNA was PCR amplified using two sets of primers for the DNA barcoding region of the Cytochrome Oxidase Subunit 1. The first set (Zbj) is specific to arthropods, yielding a 150 base-pair fragment (Zbj-ArtF1c-AGATATTGGAACWTTATATTTTATTTTTGG and Zbj-ArtR2c-WACTAATCAATTWCCAAATCCTCC; Zeale et al. 2011). The second set (Folmer) included universal primers, yielding a 710 bp product (LCO1490-5´- GGTCAACAAATCATAAAGATATTGG-3´ and HCO2198:5´- TAAACTTCAGGGTGACCAAAAAATCA-3´; Folmer et al. 1994). Standard conditions were used for each set of primers according to Zeale et al. (2011) and Herbert et al. (2004), respectively.
Positive amplicons were sent to the Center for Conservation Genomics at the Smithsonian Conservation Biology Institute. Each PCR reaction (50 µl - irrespective of the starting concentration) was prepared as a dual-indexed library using the Agilent SureSelectXT Target Enrichment System for Illumina Paired-End Sequencing following the manufacturer's protocol (Version C1, July 2017). Dual indexing PCR was performed with Nextera-style indices using Kapa HiFi with an initial denaturation of 98 °C for 2 minutes followed by 14 cycles of 98 °C for 30 seconds, 65 °C for 30 seconds, 72 °C for 60 seconds, and a final extension of 72 °C for 10 minutes. The resulting indexed libraries were purified using 1.6x magnetic beads and visualized on a 1.5% agarose gel. The fragment size and quality of the libraries were evaluated using a Bioanalyzer High Sensitivity DNA Kit (Agilent). Library concentration was measured using a Qubit 2.0 fluorometer (Life Technologies) with a dsDNA high-sensitivity kit. Indexed amplicons using the Folmer primers were pooled in an equimolar ratio, and the indexed amplicons prepared with Zbj primers were pooled. The quantity and quality of each end pool were evaluated using a Bioanalyzer 2100 (Agilent Technologies) and Qubit fluorometer (Life Technologies) before sequencing. The Folmer library pool was sequenced on an Illumina MiSeq with a 600-cycle Reagent Kit v3 (2x300 bp), and the Zbj library pool was sequenced independently on an Illumina MiSeq with a 300-cycle Reagent Kit v2 (2x150 bp). We used negative controls to avoid biases during lab work, and we sequenced them to control and characterize contamination. Base calling and demultiplexing were generated per standard protocols on the Illumina MiSeq platform, producing paired FASTQ files for each sample.
After sequencing, we first assessed the quality of the resulting Illumina paired-end reads using FastQC v0.11.5 (Andrews 2010, www.bioinformatics.babraham.ac.uk/projects/fastqc). We used Trimmomatic v0.36 (Bolger et al. 2014) to remove adapter sequences and low-quality reads. The trimmed DNA sequencing reads were then analyzed by PrintSeq-lite v0.20.4 (Schmieder and Edwards 2011) to remove exact duplicates (-derep1,4). We used high-quality forward reads to perform a BLAST analysis on the Smithsonian Institution High Performance Cluster (SI/HPC). We converted FASTQ files to FASTA format using seqtk version 1.2 (Li 2013; https://github.com/lh3/seqtk). For a taxonomic assignment, we follow the bioinformatics analyses described by Segura-Trujillo et al. (2024). The bioinformatics files of the sequences obtained from Culicidae in bat feces are available upon request to the corresponding author.
We calculated the incidence rate of the genera of Culicidae identified with each set of primers by type of vegetation and foraging habit, by dividing the number of records by the total number of samples of each type of vegetation and foraging habit (Schnitzler and Kalko 2001). Also, we analyzed taxonomic richness (number of taxa identified to genus and/or species) recorded with each primer set by vegetation foraging habit and taxonomic family.
Results
The 32 sample pools that we analyzed included 19 species of Arthropodophagous bats belonging to families Emballonuridae, Mormoopidae, Molossidae, Phyllostomidae, and Vespertilionidae, from seven different habitats and four foraging guilds (aerial in uncluttered space; aerial background-cluttered space; aerial highly cluttered space; and gleaning highly cluttered space Table 2).
Only 29 of the 32 pooled samples were amplified and sequenced with Zbj primers, yielding an average of 166,738 (3,589 sd) sequence reads for arthropods and an average of 59,952 (6,215 sd) reads for culicid mosquitoes. Culicids were detected in 25 (86.2 %) of the samples analyzed with the Zbj primers. In addition, 28 of the 32 pooled samples were also amplified and sequenced with the Folmer primers, yielding an average of 7,416 (18,492 sd) sequence reads for arthropods and an average of 69 (198 sd) reads for Culicidae. Folmer primers detected culicids in only 18 samples (60.7 % of the samples with positive sequencing). Both sets of primers showed, for the same samples, different amplification in species recorded and their frequency (Table 2, Figure 1). Assays using the Zbj primers detected Aedes aegypti in 20 samples, Aedes sp. in 9, Anopheles sp. in 1, Culex tarsalis in 6, Culex pipiens complex in 3, and Culex sp. in 9 (Table 2; Figure 1). Folmer primers detected Aedes aegypti in one sample, Anopheles sp. in 5, and Culex sp. in 17 (Figure 1). The sequences obtained matched 3,968 GenBank sequences of mosquitoes (Aedes aegypti with 2,698, Aedes sp. with 43, Anopheles sp. with 10; Culex tarsalis with 132, C. pipiens complex with 10, and Culex sp. with 1075).

Figure 1 Frequency of each genus of Culicidae identified in the fecal samples of 19 neotropical bat species overall by each set of primers.
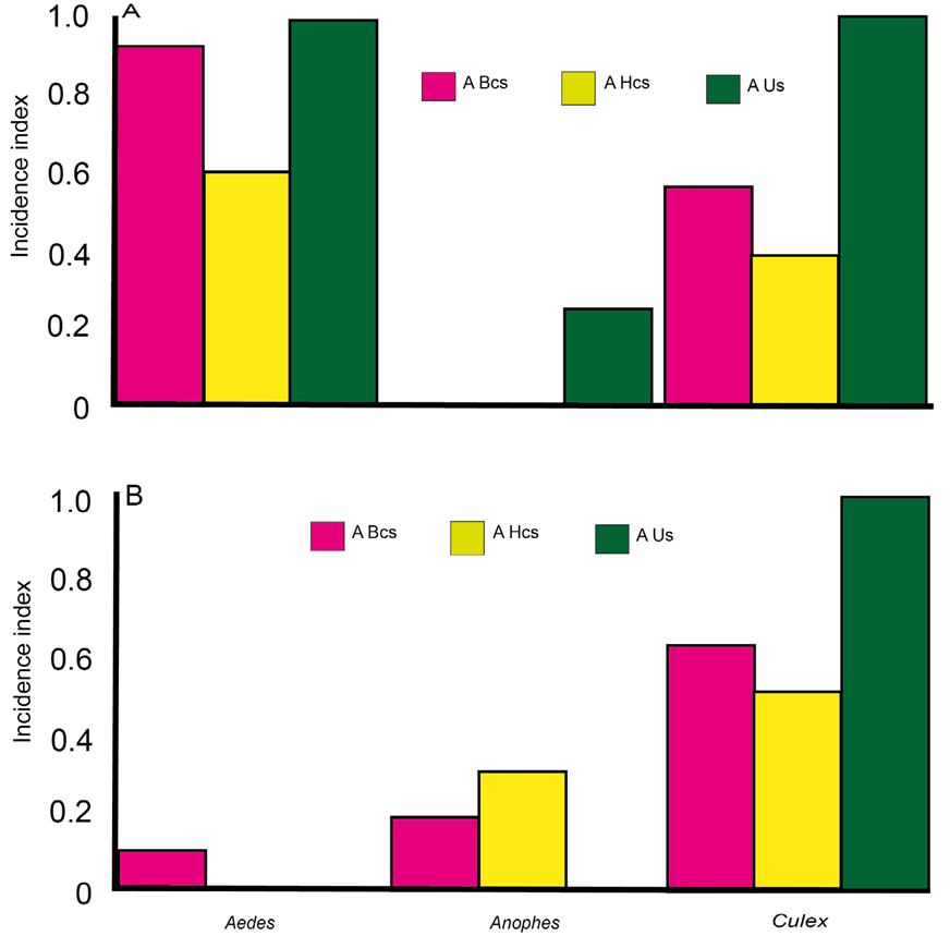
In the seven different habitat types we registered at least one species of culicid, with Anopheles and Aedes as the least and most frequently detected, respectively. In general, the gallery forest and mid-height sub-deciduous forest were the habitats with the lowest incidence of culicids in bat diets, while low- or mid-height deciduous tropical forests showed the highest values (Figure 2). The only foraging guild type for which culicid mosquitoes were not identified with any of the two primer sets (i. e., Folmer and Zbj) was that of gleaners in highly cluttered space (GHcs). Three genera of mosquitoes were found in samples of aerial guild bats that fed in open spaces, at the edge of vegetation, and among vegetation. The incidence differences in Anopheles and Aedes were observed when using the two sets of primers (Figure 3). Culicid mosquitoes were not detected in either of the two species of the phyllostomid genus Macrotus that glean among vegetation and are associated with arid areas.

Figure 2 Incidence of Culicidae detected bat diet samples by vegetation type. A) incidence with Zbj primers; B) incidence with Folmer primers.

Figure 3 Incidence of Culicidae in the samples by foraging habit of bats. A) incidence registered with Zbj primers. B) incidence with Folmer primers. Categories of aerial foraging bats, bat gleaners were not recorded. Foraging guilds: Us = Aerial uncluttered space; Bcs = Aerial background-cluttered space; Hcs = Aerial highly cluttered space.
Culicid richness recorded (number of genera or species) varied across the types of vegetation; the average number of genera and species identified per vegetation type between primers were different. For example, the determined sequences with Folmer primers were around one, while the average number of sequences with Zbj primers ranged between one and two (Figure 4A). On the other hand, regarding the foraging guild, Folmer primers recorded an incidence index lower than one, whereas the value for Zbj primers up to 2.5. The Zbj primers recorded a higher number of taxa (average 2.5) for bats in the aerial-open space foraging guild (AUs; Figure 4B)
Sequence detection was different between bat families, using Zbj primers in Vespertilionidae and Molossidae yielded a higher average richness of Culicidae (2.3 and 2.6, respectively, Figure 4C), but no Culicidae was recorded for Phyllostomidae. Instead, Folmer primers recorded values less than 1.5, but for each of the three families.

Figure 4 Number of taxa of Culicidae (at the level of genus and species) identified with each set of primers. It represents the minimum and maximum (whiskers), the first quartile, median (horizontal line) and third quartile, X represents the arithmetic mean. A) type of habitat, B) foraging stratum, and C) family of bats. Foraging guilds: A = aerial, G = gleaning, foraging stratum: Us = uncluttered space, BCS = background-cluttered space, Hcs = highly cluttered space. Type of vegetation: Gf = gallery forest; df = deciduous forest; Ddf = dry deciduous forests; Ms-df = medium semi-deciduous forests; Hef = high evergreen forest; Xs = Xeric scrublands; and Msf = medium sub-deciduous forests.
Discussion
The results of the study can be categorized into two main groups: the methodological findings, that indicate that the two sets of primers yield different results and therefore should be used in conjunction, and the biological data, which highlights the importance of arthropod-eating bats from various families and ecological groups in controlling Culicidae mosquitoes. Below, we break down the discussion regarding these two main topics.
Methodological analyses. The results obtained from using both Zbj (general for insects) and Folmer (general, broad-spectrum) primer sets confirmed that 17 out of the 19 arthropodophagous bat species analyzed in this study consume insects belonging to the Culicidae family (Table 2). Mosquitoes from the Culicidae family are blood-feeding insects known to transmit various diseases, posing a significant public health concern.
The low detection of mosquitoes in previous molecular diet analyses of bats has been attributed to the use of standard, low-specificity primers (Wray et al. 2018; Jusino et al. 2017). In past studies, the selection of COI primers for metabarcoding has been mostly based on their ability to provide high taxonomic diversity coverage and fine taxonomic resolution (Clarke et al. 2014; Brandon-Mong et al. 2015; Piñol et al. 2015). The Zbj primers have been widely used in metabarcoding bat diet studies, but they have been shown to yield distinct percentages of amplification efficiency for different arthropod orders (Clarke et al. 2014; Rubbmark et al. 2018; Jusino et al. 2017). Nevertheless, these primers do show an adequate percentage of taxonomic assignment to species level (Clarke et al. 2014; Alberdi et al. 2018). Specifically, empirical studies have demonstrated a success rate of around 50 % for the order Diptera (Clarke et al. 2014; Rubbmark et al. 2018; Jucino et al. 2019). Despite this low efficiency, several bat diet studies have specifically demonstrated the utility of Zbj primers for the detection of culicids (Vesterinen et al. 2013; Clarke et al. 2014; Vesterinen et al. 2018; Wray et al. 2018). More recently, studies that have used Zbj primers have reported the detection of sequences of many arthropod orders (Vesterinen et al. 2018; Eitzinger et al. 2019; Koskinen et al. 2019). On the other hand, the use of primers that amplify longer fragments, such as the Folmer primers, is uncommon in metabarcoding studies because they are not easy or cost-efficient to amplify. However, the longer sequence fragments produced by Folmer primers reduce the probability of an erroneous taxonomic assignment (Alberdi et al. 2018). For example, Jusino et al. (2019) reported Dipteran sequence detection in 50 to 63 % of samples with Zbj primers and 88 % of samples with Folmer primers. Therefore, in this study, we also used the Folmer primers to complement the Zbj data to have greater power for identification at the lowest possible taxonomic level and both primer sets were found to be valuable for the detection of culicids in our bat fecal samples.
Since data from both primer sets were obtained from the same fecal DNA extracts, the difference in the detection results cannot be attributed to habitat type, latitude, or seasonality that may affect the abundance of culicids. As discussed above, differences in the number of culicid taxa and frequency among samples analyzed with different primers can be the result of differences in the size of fragments and amplification efficiency in the number of different taxa between these primers (Herbert et al. 2004). The Folmer primers are broad-spectrum primers and of greater length of bases than the Zbj; hence, a large proportion of reads corresponded to species other than culicid mosquitoes, such as those from bats from which the fecal samples were collected. In contrast, Zbj primers amplify a shorter COI length than Folmer primers and yielded mostly sequences corresponding to arthropods. However, Jusino et al. (2019), in their study of simulated samples (artificial mixture of arthropods) with Folmer primers, were able to detect two species of Aedes (Aedes albopictus and A. vexans) that were not detected with Zbj primers. Nevertheless, in this study, we detected a greater number of taxa with the Zbj primers than with the Folmer primers. For this reason, the use of both primers is recommended herein for the evaluation of the impact of arthropodophagous bats on the control of mosquitoes of medical importance in different regions. In addition, these primer sets have a broad spectrum and can also detect the different types of arthropods that bats feed on.
Biological interaction analyses. The culicid taxa identified in feces from bats in this analysis (i. e., Aedes sp., A. aegypti, Anopheles sp., Culex tarsalis, C. pipiens complex, and six different Culex sp.) transmit diseases including the West Nile virus, filariasis, equine encephalitis, avian malaria, yellow fever, dengue, zika, and canine dirofilariasis (Gubler 2002; Bolling et al. 2009; Farajollahi et al. 2011). The genera and species identified as bats' prey in this study belong to taxa of medical importance for North America, where samples were collected. This implies that arthropodophagous bats could be contributing to the control of vectors associated with the following diseases of medical importance: yellow fever, dengue, zika, canine dirofilariasis, lymphatic filariasis, and other pathogens (Aedes; Gubler 2002; Kraemer et al. 2015; Sarwar 2015; Bonds et al. 2022); the different types of malaria, transmission of filarial worms, and around 20 different viruses (Anopheles; Manguin et al. 2008; Simonsen and Mwakitalu 2013), and West Nile virus, filariasis, equine encephalitis, and avian malaria (Culex; Bolling et al. 2009; Farajollahi et al. 2011). Therefore, the potential positive impact of bats on public health may be higher than previously thought. The spread of viruses transmitted by culicid mosquitoes depends almost exclusively on controlling these vectors (Achee et al. 2015), mainly using chemicals agents, while bats serve as biological control agents.
The detection success of Culicidae in our study may be attributed to the fact that the samples analyzed were collected in the Neotropics in México during the summer, a season when moisture and temperature boost the abundance of mosquitoes (Rueda et al. 1990; Couret et al. 2014). Our results also indicate that the largest number of records of mosquito consumption and the highest number of genera and species are associated with bats foraging on the edge of vegetation and open spaces and, to a lesser extent, with bats that forage among vegetation. Species belonging to various foraging guilds were analyzed in all localities; hence, if culicids were detected in one pooled sample of bat feces, this indicates that culicids were present in that study area. The difference in the incidence rate could be due to three leading causes: 1) bats that forage among the vegetation were the least represented in terms of the number of species analyzed; 2) the small size of mosquitoes makes them hard to capture in closed environments, hence leading to a lower incidence; and, 3) aerial guild bats can forage in urbanized environments, in addition to being attracted to lights where mosquitoes congregate and are easy to capture. The data currently available are insufficient to discern among these hypotheses. Mosquito-borne disease control is a complex task that requires different efforts and strategies for pest management. This includes maintaining natural biocontrol (such as bats as predators of mosquitoes), intra-domiciliary eradication, staying away from water containers where mosquitoes can breed, employment of genetically modified mosquitoes, etc. (Medlock et al. 2012; Baldacchino et al. 2015; Carvalho et al. 2024).
The consumption of culicid mosquitoes determined through molecular techniques had been previously recorded only for bat species of the family Vespertilionidae (Gonsalves et al. 2013; Clare et al. 2014; Vesterinen et al. 2018; Wray et al. 2018). However, this is the first time that culicid mosquitoes have been found in the feces of bats from the Emballonuridae, Molossidae, and Mormoopidae families in the Neotropics. In addition, more culicid genera and species were documented in the Vespertilionidae and Molossidae families. The family Phyllostomidae was the only group for which we did not detect culicid mosquitoes. This diversity of predators of mosquitoes may be related to the fact that soft arthropods such as mosquitoes can be predated by different feeding guilds (Segura-Trujillo et al. 2016, 2022), because of its soft texture that can be eaten by different bat species (Rabinowitz and Tuttle 1982).
Notably, the samples analyzed from the Phyllostomidae belonged to bat species that gleaned among highly cluttered vegetation (such as Macrotus californicus and M. waterhousii) that feed on hard apterans such as arachnids (Segura-Trujillo et al. 2016) but, according to our study, not on culicid mosquitoes. This can be because gleaning bats catch mainly hard and non-flying prey items, preferably those located on a substrate (Segura-Trujillo et al. 2016). These traits contrast with those of mosquitoes, which are soft-bodied flying prey. This is reflected in the high incidence of culicid mosquitoes across all vegetation types and in the other three bat foraging guilds analyzed. All species of culicid mosquitoes share similar textures and flight speeds, which have been identified as critical factors for prey selection by arthropodophagous bats (Segura-Trujillo et al. 2016). Unsurprisingly, bats prey on all species of mosquitoes in tropical areas worldwide. The samples analyzed confirm the widespread consumption of Culicidae by bats in neotropical areas during the rainy season, from low tropical deciduous forests to high evergreen forests. Bats' consumption of A. aegypti predominates in rainforests, such as the mid-height sub-deciduous forest, gallery forest, and high evergreen forest.
The presence of mosquitoes as preys of bats of different species, foraging guilds, and type of vegetation demonstrate that culicids can be found in practically all microenvironments and are preyed upon by bats. The different species of bats, foraging guilds, vegetation types, and primers functioned as statistical replicates to evaluate mosquito consumption. Which in summary leads to the fact that, except for the species of the guilds gleaning highly cluttered space, which are very specific, bats consume some of the mosquito species. Therefore, we could expect that other arthropodophagous species in these same guilds, which are most of the guilds present, would consume mosquitoes as well.
The result of this study shows that metabarcoding of samples using Zbj and Folmer COI primers, combined with high-throughput DNA sequencing, is a rapid and effective method for detecting Culicidae in bat feces. Although both the Zbj and Folmer primers provide sufficient resolution at the genus level, they are recommended as complementary methods. The large number of sequences obtained for culicid mosquitoes in fecal samples also suggests that the different aerial guilds of arthropodophagous bats, regardless of their taxonomic groups, are effective predators of culicid mosquitoes in various environments and foraging strata. The detection of culicid mosquitoes in different taxa and foraging guilds supports the hypothesis that all species of arthropodophagous bats in aerial guilds likely participate as biological control of mosquitoes,
Our study suggests that the role of arthropod-eating bats in controlling mosquito populations needs to be thoroughly evaluated, given the high prevalence of mosquitoes that are vectors for diseases in neotropical regions (Turell 1989; Rueda et al. 1990; Couret et al. 2014). It also establishes and confirms that different species of bats from various families and different guilds actively consume mosquito species that are considered vectors of diseases that affect human populations. This confirms the importance of bats as biological control agents and their positive effect on human populations.









text new page (beta)


