Introduction
One of the main concerns of conservation managers is to understand the ability of the ecosystems to support and maintain their ecological capacities in response to anthropogenic disturbances (Andreasen et al. 2001; Parrish et al. 2003). One way to evaluate how anthropogenic disturbances have impacted an ecosystem is through functional diversity which incorporates the role of species in ecosystem processes (Hooper et al. 2002; Blaum et al. 2011; Roche and Campagne 2017). Functional diversity quantifies the distribution and range of species functional traits (morphological, physiological, or behavioral) that influence ecosystem processes (Tilman 2001; Petchey and Gaston 2006). This approach is useful to understand the effects of biodiversity loss on ecosystem dynamics and to prioritize the conservation of vulnerable functional groups (i. e., a group of species with similar functional traits that play a similar role in ecosystem processes) to avoid the loss of their ecological functions (Chapin III et al. 2000; Tilman 2001; Flynn et al. 2009; Park and Razafindratsima 2019).
Rainforest mammals perform key functions in ecosystem dynamics, such as seed dispersal, herbivory, and predation (Terborgh 1992; Terborgh et al. 2001; Stoner et al. 2007), and they are linked with other ecosystem processes, such as carbon storage and nutrient cycling (Bello et al. 2015; Ripple et al. 2015; Sobral et al. 2017). Therefore, they are crucial for maintaining the ecological integrity of rainforests in the long term.
Unfortunately, mammals remain one of the most vulnerable groups in tropical rainforests, mainly due to habitat loss and poaching (Carrillo et al. 2000; Cuarón 2000). The local extinction or severe widespread population decrease of medium and large-sized mammals has important consequences on ecosystem dynamics and resilience (Redford 1992: Wright et al. 2000; Redford and Feinsinger 2001; Dirzo et al. 2014), and the most vulnerable are those with large body size, specialized diets, and low population densities (Laurance 1991; Purvis et al. 2000; Cardillo et al. 2005; Stork et al. 2009). For instance, the decrease or extirpation of large herbivores has cascading effects on the structure of small mammal communities, plant recruitment, seed dispersal, and the carbon storage capacity of tropical rainforests (Galetti and Dirzo 2013; Bello et al. 2015; Bovendorp et al. 2019).
A large effort has been invested in understanding the effects of human activity on the diversity of rainforest mammals (Sampaio et al. 2010; Garmendia et al. 2013; Brodie et al. 2014: Beca et al. 2017; Hegerl et al. 2017; Boron et al. 2019), but less attention has been paid on how this activity affects functional diversity. Flynn et al. (2009) reported that the functional diversity of mammals decreased with land use intensification, and the species with unique functional traits were the first to disappear with landscape conversion. Other studies have shown a decrease in the functional diversity of mammals in fragmented landscapes (Ahumada et al. 2011; Magioli et al. 2015), however, landscape connectivity contributed to maintaining high functional diversity (Magioli et al. 2016).
Understanding the relationship between the functional diversity of mammals and anthropogenic activity is useful to assess the effectiveness of tools for conservation managers and prevent the loss of ecological functions of mammals (Chapin III et al. 2000; Hooper et al. 2002; Flynn et al. 2009). To date, Natural Protected Areas (NPA) are the most widely used conservation tool, and large protected areas are critical to safeguard populations of large mammals (Bruhl et al. 2003; Sampaio et al. 2010). Yet, NPA do not operate in isolation and are part of a complex landscape that affects the natural ecological processes within them (Defries et al. 2010). Areas outside NPA may include habitat patches that are important for biodiversity where other conservation tools are implemented simultaneously. One such additional conservation tool that has been implemented increasingly in the tropics over the last two decades is the Payment for Ecosystem Services (PES) program, which involves monetary compensation given by governments and other agencies to landowners (the providers of ecosystem services) to preserve natural forests on their lands (Wunder 2007; Carabias et al. 2013; Ezzine-de-Blas et al. 2016), and PES has been an effective tool to preserving mammal species and their habitat (Hein et al. 2013; Chen et al. 2020). Both conservation tools have been reported to be effective in reducing forest loss (Geldmann et al. 2013; Costedoat et al. 2015; Sims and Alix-Garcia 2017; Izquierdo-Tort et al. 2019), but their ability to maintain the functional diversity of the mammal community has not been assessed yet.
Mammals play a vital role in the ecosystem and have diverse functional ecological roles (Lacher Jr. et al. 2019), which makes them an excellent group to evaluate the human influence on functional diversity. Previous studies have shown that the least impacted sites have a higher representation of certain functional groups such as carnivores, frugivore-herbivores, and arboreal mammals (Munguía-Carrara et al. 2019). On the other hand, highly fragmented sites have lower functional diversity compared to partially fragmented and continuous forests (Ahumada et al. 2011). Here, we evaluate the composition and functional diversity of medium and large terrestrial mammals using the camera trapping technique in the Selva Lacandona Region in Southern México. We determined which landscape characteristics associated with human activity (human pressure proxies) affected the composition, functional diversity, and functional group abundances of the rainforest mammal’s assemblage, and we compared them between four different conservation areas. Using this approach, we evaluated mammalian diversity by incorporating their functional traits. We predicted that diversity and functional diversity decreased at sites with higher human pressure such as sites with persistent poaching or higher density of human settlements (Flynn et al. 2009; Sampaio et al. 2010; Ahumada et al. 2011; Magioli et al. 2015; Hegerl et al. 2017). Similarly, we predicted that the abundance of functional groups with large body sizes, specialized diets, and low population density would be lower at sites with persistent poaching or higher density of human settlements.
Materials and methods
Study area. This study was carried out in the Selva Lacandona Region, located in the state of Chiapas in Southern México. This is one of the largest tropical rainforest remnants in México and represents the area with the greatest biodiversity in the country (Medellín 1994). Originally, the region covered 1’800,000 ha of rainforest, but during the 1970s political colonization programs caused deforestation and landscape transformation from rainforest to croplands, cattle ranches, and, more recently, palm oil (Elaeis guineensis) plantations (Frías and de la Maza 2009; Izquierdo-Tort 2018). At present, only one-third of its original forest cover remains. Most of the preserved area is inside seven natural protected areas managed by the Federal Government through the National Commission of Natural Protected Areas (CONANP; Frias and de la Maza 2009).
Our study area included different areas of the Selva Lacandona Region, each with different surface, management, and threats (Figure 1; Table 1):
Montes Azules Biosphere Reserve (hereafter Montes Azules), which was decreed in 1978 and spans over 331,200 hectares, most of them covered with tropical rainforest. A management plan for Montes Azules was implemented in 2000, which received recognition from the federal government, non-governmental organizations, and local communities to collaborate for the protection and management of the reserve (INE 2000). However, this NPA is currently facing a critical challenge due to deforestation caused by socio-political issues, and the situation is particularly severe in the northern and western parts of the reserve due to the population increase and the establishment of irregular settlements (INE 2000; Fernández-Montes de Oca et al. 2015). Our study specifically focused in Montes Azules on the Lacantún River basin near the Chajúl Biological Station, which is one of the most well-preserved and well-studied areas of the NPA, with extensive stretches of continuous vegetation in good state of conservation. However, in this area occur occasional poaching and wildlife trafficking (INE 2000).

Figure 1 a) Location of Selva Lacandona region in Mesoamerica; b) The four study areas in the Selva Lacandona region and the location of camera-trap stations (grey areas indicate other Natural Protected Areas nor included in the study).
Table 1 Description of the four areas sampled with camera-traps in Southern Mexico for one year (2015-2016).
| Sampling site | Type of Protection | Description | Surface | Number of camera-trap stations used | Mean distance between camera-trap stations (km) | Camera-trap days | Information of illegal human activities in the study area |
|---|---|---|---|---|---|---|---|
| Montes Azules | Protected area | In its southern section, the Lacantun river basin has plains and floodplains with an altitude of about 200 m.a.s.l. (SEMARNAP 2000) | 331,200 ha protected; ~ 280,600 ha with tropical rainforest | 16 | 1.16 | 3,841 | 0 direct encounters with hunters 1 record in the camera-traps of people with shotguns and/or dogs |
| Chan-Kin | Protected area | Rolling hills and floodplains with an altitudinal range between 120 to 260 m.a.s.l. (CONANP 2018) | 12,184 ha protected; ~ 11,884 ha with tropical rainforest | 14 | 1.27 | 3,318 | 4 direct encounters with hunters and Illegal loggers 9 records in the camera-traps of people with shotguns and/or dogs |
| Yaxchilán | Protected area | Karstic landscape with rugged terrain and hills with a maximal altitude of 320 m.a.s.l. (Meave et al. 2008, CONANP 2010) | 2,621 ha protected and with tropical rainforest. | 12 | 0.89 | 3,973 | 0 direct encounters with hunters 7 records in the camera-traps of people with shotguns and/or dogs |
| Marqués de Comillas | Payment for ecosystem services | Altitudinal range between 140-200 m.a.s.l. with rolling hills and plains, and without rocky outcrop (Carabias et al. 2013) | ~ 45,000 ha with forest cover | 14 | 0.92 | 2,824 | 0 direct encounters 6 records in the camera-traps of people with shotguns and/or dogs |
Yaxchilán Natural Monument (hereafter Yaxchilán), which was decreed in 1992, is situated on the border with Guatemala in the Usumacinta River covering an area of 2,621 ha of tropical rainforest. This NPA is part of the Lacandon Community, specifically of the Frontera Corozal Sub-Community section (Tejeda-Cruz 2009). The land ownership is communal, and the area is jointly administered by the National Commission of Protected Areas (hereafter CONANP) and the National Institute of Anthropology and History. This NAP has not witnessed any activities related to land use change, such as livestock and agriculture, but such activities occur in its periphery. The tropical rainforest of Yaxchilán is contiguous with other forest-covered areas like the La Cojolita Communal Reserve, the Sierra El Tornillo, and the Sierra Lacandón National Park on the other side of the Usumacinta River, in Guatemala (CONANP 2010). A management program for this NPA was established in 2010, and a surveillance camp operated during the study. Threats for this NAP included poaching and illegal wildlife extraction.
Chan-Kin Flora and Fauna Protection Area (hereafter Chan-Kin) was decreed in 1992 and is located near the border with Guatemala on the banks of the Usumacinta River, with an extension of 12,184 ha most of them covered with tropical rainforest. Chan-Kin is also part of the communal lands of the Frontera Corozal sub-community (Tejeda-Cruz 2009), and the settlements closest to this area are Frontera Corozal town and Benemérito de las Américas in México and several small localities in the other side of the border in Guatemala. This area is surrounded by pastures for livestock and agriculture, and apparently, no longer maintains structural connectivity anymore with other forested areas in both México and Guatemala. A management plan for this NAP was published by CONANP two years after we implemented the study in the area (CONANP 2018), although a surveillance camp operated during the implementation of the study. Among the threats identified within this NAP are land use change for livestock pastures and crops, poaching, and the illegal extraction of precious woods and other wildlife.
Marqués de Comillas region lies south of Montes Azules, with the Lacantún and Salinas rivers and the Guatemalan border acting as its boundaries. This area has undergone constant land use changes due to colonization in the mid-1970s by migrants from other regions of Chiapas and other states of México who established ejidos. Despite extensive deforestation, the region still preserves nearly 44 % of the municipality covered by tropical rainforests surrounded by a heterogeneous matrix of human settlements, cattle pastures, and crops of corn, beans, and oil palm. This study focused on four ejidos - Boca de Chajul, Playón de la Gloria, Flor del Marques, and Galacia - where tropical rainforest remnants are protected under PES. The PES is a conservation scheme used by the Mexican Government that provides economic compensation to local communities through the National Forestry Commission (CONAFOR) for conserving their land with natural forest. Since the implementation of the PES program in the region in 2007, land enrolled in the program has reduced its deforestation rates to less than 0.6 % (Izquierdo-Tort 2018). The program also has helped to regulate poaching, logging, and fishing in the ejidos enrolled in the program through internal agreements. Poaching and illegal wildlife extractions from forest remnants pose a significant threat to the biodiversity of this area.
Data collection. The study was focused on documenting the richness and diversity of medium and large terrestrial mammal species in the four sampled sites. The sampling design was developed for this study and has not been used before for any published study. The sampling design was such that the sampling effort was similar between the four sites. We used a total of 56 camera-traps (Cuddeback BlackFlash E3 and Long Range E2) to collect data from August 2015 to August 2016. Each of the four study sites was surveyed using 12-16 camera-trap stations that were all deployed in the forest using a grid of 1 km2. Most camera-trap stations remained active during the year of sampling. However, some of the stations were active for less time due to camera-traps malfunctioning, humidity, theft, or removal due to flooding to prevent equipment damage. The camera-trap stations were placed at an average distance of 1.06 km from each other (Table 1, Figure 1), but some stations were at a shorter distance from each other due to poor accessibility to certain sites (0.8-2 km distance). This approach ensured that larger species with larger home ranges could be sampled with sufficient detection probability without over-spacing that may result in missing species with smaller home ranges (Rovero and Spilate 2016). Camera-traps were set 40 cm above the ground at places that showed potential mammal activity, such as feeding sites, natural or human trails, or water bodies such as ponds and small streams to maximize mammal captures. Camera-traps were placed at an angle where the detection of most species could be maximized, and the detection was verified with the mode camera test. Camera-traps were programmed with the fastest possible trigger speed, with a wide sensor sensitivity area, so that they would take a photo and a video with a duration of 20 seconds and operate 24 hours a day, with no delay between each detection. We checked the camera-traps every two months to change the batteries and recompile the information from the memory cards.
Data analysis. We carefully inspected all the videos obtained by the camera-traps and we identified the species recorded. For data analysis, we only used the camera-trap records of medium (weight > 1kg to < 10 kg) and large mammal species (weight > 10 kg; Robinson and Redford 1986; Medellín 1994). Data were filtered to exclude repeated records of the same species at the same camera-trap station within a period of 24 h; for the analysis, we used only one record during this period as an independent event (Rovero and Spilate 2016). Group species were considered as only one record without considering the number of individuals recorded by the camera-traps. We estimated species richness using the non-parametric Chao2 estimator and used species accumulation curves with 1,000 random permutations, based on the number of species recorded in each study site and the number of camera-trap days, to compare species richness among the four study sites (Colwell and Coddington 1994; Tobler et al. 2008).
We calculated Shannon’s diversity index for each camera-trap station to quantify community heterogeneity and used the Kruskal-Wallis test and a posthoc Dunn test with Bonferroni correction to evaluate differences among the study sites. To calculate Shannon´s diversity index, we used the Relative Abundance Index (RAI), which was estimated as the number of independent events per 1,000 camera-trap days, as a proxy descriptor of the community composition (Rovero and Spilate 2016).
To determine functional diversity and abundance of functional groups, we selected animal functional traits, which were defined as measurable attributes of organisms that influenced their interactions with the ecosystem and their capacity to find and obtain resources (Flynn et al. 2009). We used four functional traits, which included body mass, trophic guild, sociability, and population density, to determine functional diversity and to determine functional groups. For each species, we reviewed published literature to obtain their functional traits (Table 2).
We calculated functional diversity using the functional dispersion index (Fdis), which measured the redundancy or complementarity of the functional traits within the community (Laliberté and Legendre 2010). Fdis was calculated for each camera-trap station using the package “FD” in R (Laliberté et al. 2015; R Core Team 2016). To determine differences in functional diversity among the four study sites we used the Kruskal-Wallis test and a post-hoc Dunn test with Bonferroni correction.
Functional groups were defined using hierarchical cluster analysis. We used the Gower dissimilarity distance matrix because functional traits were categorical and continuous variables (Pavoine et al. 2009), and the Ward clustering method to construct a functional dendrogram to differentiate branches of functional groups.
Then we estimated the abundance of functional groups using the Royle and Nichols (2003) model (RN-model). This model incorporates heterogeneity in detection probability at the site level to model abundance using a Poisson distribution (Royle and Nichols 2003; Dénes et al. 2015). We constructed a matrix with the detection history for each functional group with vectors 1s (detection) and 0s (non-detection) using their capture data, and we collapsed the sampling periods to 1-mo sampling occasions to increase the detection probability of the functional groups and to increase the independence of camera-trap records (Foster and Harmsen 2012). Malfunctions and theft of cameras between checks were treated as missing data (NAs) in the detection history matrixes. To model abundance we included covariates that might influence the detection probability (r), such as whether the camera was set on a trail or not (Trail), the presence of people on the camera-trap records (People), and the number of days that each camera-trap station was active during the 1-mo sampling occasion (Activity). We used the study sites (Montes Azules, Chan-Kin, Yaxchilán, and Marqués de Comillas) (Site) as covariates that might influence the local mean abundance (λ) to compare functional group abundance among study sites. We made covariate combination models and used the Akaike Information Criteria (AICc) to select the best candidate models, and then we calculated model-average coefficients of the models with ΔAICc < 2 (Burnham and Anderson 2002). The predicted estimate parameter λ was used as relative abundance adjusted to detectability (Thorn et al. 2011). Analyses were conducted in “unmarked” and “MuMIn” packages in R (R Core Team 2016; Fiske and Chandler 2017; Bartoń 2019).
We used landscape covariates related to human activities (human pressure proxies) to evaluate if human activities affect the diversity and functional diversity at the landscape scale in our study area (Table 3). For this, we estimated for each camera-trap station the values of each landscape covariable evaluated. We represented all these explanatory landscape covariates as raster layers of 30 m resolution. We used as landscape covariates the Euclidean distance to rivers (Rivers), to paved or dirt roads (Roads), and to forest edges (Edge; see details in Table 3). Distance to rivers can be used as an indicator of human pressure, as navigable rivers provide poachers with access to certain areas. Several studies have shown that sites close to rivers tend to have a lower abundance of certain species, as these areas experience higher poaching pressure compared to conserved sites that are situated farther away from rivers (de la Torre 2009; Espinosa and Branch 2014). To determine the density of human settlements, we used a buffer of 15 km (Towns; circular moving windows with radii of 15 km; see details in Table 3). This distance range was chosen as most poaching activities occur within 10 to 20 km of human settlements (Koerner et al. 2017; Wright 2003). Additionally, we used a distance of 1 km to determine the percentage of forest cover (Forest; Table 3). This distance was chosen as it provides a good proxy to determine whether a habitat is continuous or not at the landscape scale (Defries et al. 2010; Sampaio et al. 2010). All these procedures were implemented using the geoprocessing tools in the software ArcGIS 10.2 software (ESRI 2013). We used the Pearson coefficient to evaluate correlation among the landscape-scale covariates (r< 0.7), and we did not include correlated covariates in the same model to avoid multicollinearity.
We performed Generalized Linear Models (GLM) to evaluate the effects of the landscape-level covariates at the community level. To perform the models, we used the species richness, diversity, and functional diversity values obtained for each camera trap station as response variables and the landscape covariates values obtained for each camera trap station as explanatory variables. For species richness, we used a GLM model with a Poisson error and log link function; for diversity and functional diversity, we used models with a normal distribution and an identity link function. We tested all combinations of model covariates and used the AIC to select the best candidate model (Burnham and Anderson 2002).
For each functional group, we employed the RN-model using the same covariates for r mentioned above and the landscape-level covariates for λ. All possible model combinations were tested, and we used AIC for model comparison. We used the model average with ΔAIC< 2 and calculated the relative importance of model covariates based on the sum of AIC weights. In this case, the model-averaged λ coefficient was used as a metric for landscape use by functional groups and, therefore, for the effects of human pressure (Brodie et al. 2015).
Results
We obtained 2,567 independent detections of medium and large mammals with a total sampling effort of 13,956 trap days including the four sites studied. The two species of opossums Didelphis virginana and D. marsupialis were classified as Didelphis sp. because it was not reliable to distinguish them with accuracy from the camera-trap records, and both species occurred in the study area (Medellín 1994). We recorded 20 medium and large mammal species in our four studied sites ( Supplementary material Table S1). Central American agouti (Dasyprocta punctata), spotted paca (Cuniculus paca), and red brocket deer (Mazama temama) were the most recorded species, and anteater (Tamandua mexicana), striped hog-nosed skunk (Conepatus semistriatus), raccoon (Procyon lotor), margay (Leopardus wiedii), and jaguarundí (Puma yagouaroundi) were the least detected (Supplementary material Table S1).
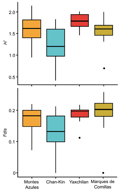
Montes Azules and Marqués de Comillas were the sites with the highest species richness with 18 species (18 ± 0.48 and 18 ± 0.72, respectively), we recorded 17 species (17.5 ± 1.32) in Yaxchilán, and only 14 species (14 ± 0.48) in Chan-Kin according to the non-parametric Chao2 estimator (Figure 2). Chan-Kin was the site with the lowest diversity (Shannon’s diversity) and functional diversity (Fdis). We found significant differences in Shannon’s diversity (p < 0.001, Kruskall-Wallis) between Chan-Kin and Yaxchilán (p < 0.001, Dunn test). Further, there were significant differences (p < 0.05, Kruskall-Wallis) in functional diversity (Fdis) between Marques de Comillas and Chan-Kin (p < 0.05, Dunn test; Figure 3).

Figure 2 Species accumulation curves in the four study sites for the community of medium- and large-sized mammals detected by camera-traps.
Table 2 Functional traits of mammals present in the Selva Lacandona Region used for the analysis of functional diversity and the functional group cluster.
| Species | Common name | Body | Trophic guildb | Population densityc | Sociability | References |
|---|---|---|---|---|---|---|
| Massa | ||||||
| Tapirella bairdii | Baird’s tapir | 5.47 | FH | Low | Solitary | 1, 2, 3* |
| Odocoileus virginianus | White-tailed deer | 4.6 | HB | Low | Solitary | 1, 2, 3* |
| Mazama temama | Red-brocket deer | 4.41 | FH | Low | Solitary | 1, 2, 3* |
| Tayassu pecari | White-lipped peccary | 4.45 | FH | Low | Social | 1, 2, 3* |
| Dicotyles tajacu | Collared peccary | 4.24 | FH | Medium | Social | 1, 2, 4 |
| Panthera onca | Jaguar | 4.83 | CA | Low | Solitary | 1, 2, 5* |
| Puma concolor | Puma | 4.56 | CA | Low | Solitary | 1, 2, 6 |
| Leopardus pardalis | Ocelot | 4.01 | CA | Low | Solitary | 1, 2, 7* |
| Puma yagouaroundi | Jaguarundí | 3.69 | CA | Low | Solitary | 1, 2, 8 |
| Leopardus wiedii | Margay | 3.56 | CA | Low | Solitary | 1, 2, 6 |
| Nasua narica | Coati | 3.95 | FO | High | Social | 1, 2, 9 |
| Procyon lotor | Racoon | 3.94 | FO | Medium | Solitary | 1, 2, 10 |
| Eira barbara | Tayra | 3.59 | FO | Medium | Solitary | 1, 2, 11 |
| Conepatus semistriatus | Striped hog-nosed | 3.23 | FO | High | Solitary | 1, 2, 11 |
| Dasypus novemcinctus | Nine-banded armadillo | 3.54 | IO | Medium | Solitary | 1, 2, 12 |
| Tamandua mexicana | Anteater | 3.62 | MY | Medium | Solitary | 1, 2 |
| Didelphis spp | Opossum | 3.01 | FO | High | Solitary | 1, 2, 13 |
| Cuniculus paca | Spotted paca | 3.91 | FG | High | Solitary | 1, 2, 14 |
| Dasyprocta punctata | Central American Agouti | 3.55 | FG | High | Solitary | 1, 2 |
a Body mass (g) log-transformed
b Carnivore (CA); Frugivore-Herbivore (FH); Frugivore-Granivore (FG); Frugivore-Omnivore (FO); Her-bivore-Browser (HB); Insectivore-Omnivore (IO); Myrmecophage (MY).
c Low population density (<2 individuals per km2); Medium population density (2<10 individuals per km2); High population density (>10 individuals per km2).
1. Jones et al. (2009). 2. Robinson and Redford (1986). 3. Naranjo and Bodmer (2007). 4. González-Marín et al. (2008). 5. de la Torre and Medellín (2011). 6. Ávila-Nájera et al. (2015). 7. de la Torre et al. (2016). 8. Kasper et al. (2016). 9. Gompper (1997). 10. Fritzell (1978). 11. Eisenberg et al. (1979). 12. Ferreguetti et al. (2016). 13. Kelly and Caro (2003). 14. Santos-Moreno and Pérez-Irineo (2013).

Figure 3 Differences between a) diversity (Shannon diversity Index), and b) functional diversity (Functional dispersion index) among the study sites.
Table 3 Landscape-level covariates used as human pressure predictors for the RN models and GLM analysis.
| Covariate | Units | Description | Justification | Layer data-source |
|---|---|---|---|---|
| River | Km | Euclidean distance to the nearest navigable river | Rivers are access sources for hunters (Espinosa and Branch 2014) | (Tapia and Nunez 2008) |
| Forest | % | Percentage of forest cover estimated using a circular moving window with radii of 1 km. | Forest cover is a proxy measure of continuous habitat (Defries et al. 2010, Sampaio et al. 2010), and landscape configuration (Garmendia et al. 2013) | (Hansen et al. 2013) |
| Edge | Km | Euclidean distance to the nearest deforested patch ≤1km2 | Forest edges are a proxy of disturbance since there are ecotones with different abiotic conditions (Asquith and Mejía-Chang 2005, Brodie et al. 2015, Garmendia et al. 2013, Sampaio et al. 2010) | (Hansen et al. 2013) |
| Towns | % | Density of human settlements estimated using a circular moving window with radii of 15 km. | Most hunting occurs near human settlements in a distance interval of 10-20 km (Koerner et al. 2016, Wright 2003) | INEGI (México) IDE-SEGEPLAN (Guatemala) |
| Roads | Km | Euclidean distance to the nearest paved or dirt road | Roads facilitate access for hunters (Cuarón 2000, Laurance et al. 2006, Vanthomme et al. 2013). | INEGI |
Based on the functional trait dendrogram, species were clustered mainly by trophic guild, body mass, and population density (Figure 4). The dendrogram was differentiated by five clusters demarcated by the trophic guild and nine subgroups: 1) Medium-size Frugivore-omnivores with high population density (M-FO-High). 2) Medium size Frugivore-omnivores with medium population density (M-FO-Medium). 3) Frugivore-granivores with high population density (M-FG-High). 4) Medium-size insectivore species with medium population density (M-IN-Regular). 5) Large frugivore-herbivores with low population density (L-HF-Low). 6) Large frugivore-herbivores with medium population density (L-HF-Regular). 7) Large herbivore-browsers with low population density (L-HB-Low). 8) Medium size carnivores with low population density (M-CA-Low). 9) Large size carnivores with low population density (L-CA-Low; Figure 4).

Figure 4 Functional groups obtained from the cluster analysis. a) Medium-sized Frugivore-Omnivores with high population density (M-FO-High); b) Medium-size Frugivore-Omnivores with medium population density (M-FO-Medium); c) Medium-size Frugivore-Granivores with high population density (M-FG-High) d) Medium-size.
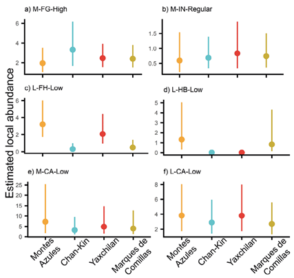
Abundances of the functional groups varied among the sampling sites in six of the nine functional groups (Supplementary material Table S2). Montes Azules showed higher abundances of large frugivores-herbivores, large herbivores-browsers, and medium and large carnivores (Figure 5). On the other hand, we observed the opposite trend in Chan-Kin where there were very low abundances of all the functional groups that included large herbivores and carnivores, and a high abundance of medium frugivore-granivores (i. e., rodents). In Yaxchilán we observed a higher abundance of medium insectivores. Marques de Comillas showed low abundances of all the functional groups (Figure 5).

Figure 5 Predicted abundances of functional groups in the study sites obtained with the RN occupancy models, with 95% confidence intervals. a) Medium-size Frugivore-Granivores with high population density (M-FG-High); b) Medium-size Insectivores with medium population density (M-IN-Medium); c) Large-size Frugivore-Herbivores with low population density (L-FH-Low); d) Large-size Herivores-Browsers with low population density (L-HB-Low); e) Medium-size Carnivores with low population density (M-CA-Low); f) Large-size Carnivores with low population density (L-CA-Low).
There was no correlation between the landscape-level covariates (r > 0.7), therefore, all of them were included in the models evaluated. The relationship of richness, diversity, and functional diversity with the landscape-level covariates has different patterns. We observed a negative effect of the density of human settlements on species richness (p < 0.05; Figure 6a). For diversity, we observed a negative effect with the distance to roads (p < 0.01) and a positive effect with the distance to the forest edge (p < 0.01). On the other hand, we observed a negative effect of forest cover (p < 0.05) and distance to the forest edge (p < 0.01) on functional diversity (Table 4; Figure 6).
Table 4 Untransformed beta coefficients (ß) of the response of richness, diversity, and functional diversity to the landscape variables.
| Landscape covariate | ß (SE) | t | p-value | |||
| Richness | Pop (-) | -54.62 (24.50) | -2.23 | 0.03 | ||
| Diversity | Roads (-) | -0.02 (0.01) | -4.26 | p < 0.01 | ||
| Edge (+) | 0.06 (0.01) | 4.4 | p < 0.01 | |||
| Functional diversity | Forest (-) | -2.21x10-4 (9.02x10-5) | -2.45 | 0.02 | ||
| Edge (-) | -3.22x10-3 (8.38x10-4) | -3.84 | p < 0.01 | |||

Figure 6 Predicted a) Richness, b) Diversity, and c) Functional diversity in response to human pressure predictors.
Response of functional group abundance to landscape-level covariates also showed a different pattern. The abundance of medium frugivore-granivores (i. e., rodents) was positively associated with the density of human settlements. Otherwise, abundances of large frugivore-herbivores (L-HF-Regular), large herbivore-browsers (L-HB-Low), and medium carnivores (M-CA-Low) were negatively associated with the density of human settlements (Table 5; Figure 7).
The abundance of medium insectivorous (M-IN-Medium) showed a negative response to the distance to rivers, but the abundance of large frugivore-herbivores (L-FH-Low) showed a positive response to this landscape covariate. The abundance of large herbivore-browsers (L-HB-Low) was negatively affected by forest cover, and the abundance of medium-size frugivore-granivores (M-FG-High) was positively related to the distance to the forest edge (Table 5). Detection probability varied among functional groups. For large carnivores (L-CA-Low) and large herbivore-browsers (L-HB-Low), there was a positive relationship between the detection probability and the presence of trails, but for large frugivore-herbivores (L-FH-Low) and medium insectivores (M-IN-Medium), this relationship was negative (Table 5).
Table 5 Model averaged coefficients of RN models between human pressure predictor and detection covariates with values relative importance < 0.6.
| Functional group | λ(Towns) | λ(Edge) | λ(River) | r(Effort) | r(Trail) |
|---|---|---|---|---|---|
| M-FG-High | 10.29(10.15) | 0.17(0.19) | 0.06(0.01) | ||
| M-IN-Medium | 0.52(0.27) | 0.04(0.03) | -0.53(0.55) | ||
| L-FH-Low | -16.96(15.25) | -0.56(0.29) | -0.79(0.47) | ||
| L-HB-Low | -52.42(34.29) | 1.09(0.94) | |||
| M-CA-Low | -11.01(10.86) | 0.05(0.01) |
Discussion
Forested areas with high human pressure showed low diversity and functional diversity of medium and large mammals and showed a low abundance of large mammals with specialized diets. The density of human settlements was the main driver of the low species richness and low abundance of several functional groups such as large frugivore-herbivores (L-HF-Medium), large herbivore-browsers (L-HB-Low), and medium carnivores (M-CA-Low). Our results also showed that in the forested areas with a high density of human settlements in their periphery, the abundance of large herbivore and specialized carnivore populations decreases, and populations of medium-sized rodent species increase. These results suggest that disturbance caused by human activities not only had an impact on diversity level but also would have an impact on ecosystem functions and may have important consequences for the resilience of tropical rainforests. Our results also showed that functional diversity is a valuable metric that can provide additional information about the status of mammal communities in tropical forests which can be used to improve conservation and management actions (Laméris et al. 2020).
Our prediction that the diversity and functional diversity of medium and large mammals decreased at sites with higher human pressure was supported by our results. Large mammals with specialized diets and low population densities were the most affected by human pressure. Other studies have shown the negative effect of human activity on frugivore and carnivore species because both groups were directly dependent on resource availability (Ahumada et al. 2011; Hegerl et al. 2017). Also, mammals with low population density and large body size have been reported to be severely affected by human activities because they are more susceptible to local extirpation and habitat destruction (Chiarello 1999; Dirzo et al. 2014; Brodie et al. 2015; Hegerl et al. 2017).
Comparison among study sites showed important differences in the composition of mammalian communities, and Chan-Kin was the site that showed the lowest species richness, diversity, and functional diversity. This might be due to the proximity of this protected area to several towns in its periphery, the rampant poaching and illegal logging, and the deficient protection and law enforcement carried on this protected area (obs pers.). In fact, during our fieldwork, we had several direct encounters with illegal loggers and poachers, and we recorded through camera-trap surveys several events of people with weapons or hunting dogs. Although events of this kind occur in other areas such as Marques de Comillas and Yaxchilán, they were more frequent in Chan-Kin than in any other site evaluated (Table 1). Other studies have documented that poaching is an important driver of species richness and diversity in mammal communities (Carrillo et al. 2000; Brodie et al. 2014; Hegerl et al. 2017). Further, in Chan-Kin we recorded low abundances of large mammals such as carnivores, which depend on prey availability (Karanth et al. 2004; Karanth and Sunquist 1995), and herbivores with low population densities, which are the main target of poachers (Dirzo et al. 2014; Ripple et al. 2015). Chan-Kin also showed an overabundance of medium frugivore-granivores (i.e., rodents), which suggests a trophic release favored by the decrease of their natural predators and competitors (Galetti et al. 2015; Ripple et al. 2015). Both species of rodents evaluated in this study (Cuniculus paca and Dasyprocta puntacta) show high reproductive rates, and for then they would be more resistant to poaching pressure compared with large herbivores (Bodmer et al. 1997).
On the other hand, Montes Azules, Marqués de Comillas, and Yaxchilán exhibited similar species richness, diversity, and functional diversity. Continuous areas with forests usually sustain a high diversity and abundance of large mammals (Ahumada et al. 2011; Bruhl et al. 2003; Sampaio et al. 2010). This was the case of Montes Azules which maintains large extensions of primary forest with low human pressure, and Yaxchilán which maintains structural connectivity with other forested areas. In contrast, Marqués de Comillas, which is a fragmented landscape where the forest is mainly protected by the PES program, also exhibited high values of richness, diversity, and functional diversity probably due to a source-sink dynamic for its proximity to Montes Azules (the source), which has suitable habitat and stable mammal populations from where some individuals migrate to Marqués de Comillas (the sink; Naranjo and Bodmer 2007). Furthermore, the presence of heterogeneous landscapes, such as Marqués de Comillas, can foster interactions between forest-dependent species and more generalist ones, potentially explaining the greater diversity observed in this area (Medellín and Redford 1992). Further, rainforest remnants surveyed in Marques de Comillas were < 1,000 ha and maintain structural connectivity among them (Ahumada et al. 2011; Magioli et al. 2015), and previous studies have shown that these forest remnants maintain high mammal diversity and are important for maintaining landscape connectivity among protected areas (Garmendia et al. 2013; de la Torre et al. 2017). This suggests that PES is an effective conservation tool for maintaining mammal diversity and the ecological functions of these species if forest patches protected by this conservation scheme are large enough and maintain structural connectivity with other large tracts of forest.
Our data suggests that some species would be favored by the habitat heterogeneity created in nearby sites of paved roads since we found a positive effect of roads on mammalian diversity in our study area. Other studies have shown that mammalian response to predictors of human pressure was highly variable; some species seem to be affected negatively, some seem to be favored by the habitat heterogeneity, and others had a neutral response (Goosem 2001; Fahrig and Rytwinski 2009). Further, some species cross the roads indiscriminately, therefore main paved and dirt roads might not be a barrier for all mammal species in the region (McGregor et al. 2007; Fahrig and Rytwinski 2009). Conversely, we found that diversity increases in the forested areas located far away from the forest edge, but functional diversity increases in sites near the forest edge and in areas with a low percentage of forest cover. This pattern may be due to an edge effect, given that some species were more matrix-tolerant and were dominant closer to the forest edge, which resulted in the redundancy of functional traits (Brodie et al. 2015; Zimbres et al. 2017).
Response of functional groups to forest cover was diverse, for instance, large herbivore-browsers (L-HB-Low; i. e., Odocoileus virginianus) were more abundant at sites with low percentage forest cover in a surrounding area of 1 km; these landscape characteristics likely facilitated their food availability because this group fed on secondary vegetation that was more common in open spaces (Robinson and Redford 1986; Bodmer and Ward 2006; Corlett and Primack 2011). Both species of medium granivores (C. paca and D. punctacta; M-FG-High) were dependent on forests and were less abundant near forest edges (Medellín and Redford 1994; Zimbres et al. 2017; Boron et al. 2019). Distance to rivers covariate was found to have a significant effect on the abundance of certain functional groups. Contrary to our expectations, however, the effect of distance from navigable rivers on functional groups varied, indicating that such distance is not always a reliable proxy of human disturbance. Large herbivores were more abundant near rivers, although medium insectivores exhibited the opposite trend. Near rivers, there are flooded plains rich in nutrients for palms and trees that provide fruits for several species like tapirs (Tapirella bairdii) and white-lipped peccaries (Tayassu pecari) with habitat requirements that include abundant food resources and permanent water bodies (Haugaasen and Peres 2005; Tejeda-Cruz et al. 2009). We suggest that medium insectivores (M-IN-Medium) may have been affected by seasonal flooding to their burrows and lower availability of food in the leaf litter (Rueda-Delgado et al. 2006; Arteaga and Venticinque 2008).
Implications for conservation and management. Protected areas play a vital role in the long-term survival of rainforest mammals and in maintaining ecosystem dynamics. However, to ensure protected areas and the biodiversity that they shelter in long-term, they should include effective management actions such as patrolling to reduce wildlife extraction and implementation of economic activities compatible with conservation in the local communities that inhabit their surrounding areas (Datta et al. 2008; Defries et al. 2010; Hegerl et al. 2017). This is crucial in protected areas with a high density of human settlements in its periphery, such as Chan-Kin, because human activities such as poaching or illegal logging would cause not only the reduction of the mammals’ populations but also affect their ecological functions and this would lead to negative consequences for tropical rainforest functions.
Long-term conservation of large protected areas, such as Montes Azules, is also crucial to safeguard large mammal populations and their ecological functions because they preserve large extensions of suitable habitats with low human pressure. In the case of small protected areas, such as Yaxchilán, it is vital to ensure their connectivity with other large blocks of forest to avoid their isolation and maintain the diversity and functional diversity of mammal species that inhabit these areas. We urge the National Commission of Protected Areas (CONANP) to improve the patrolling strategies to detect illicit activities, especially in protected areas with a high density of human settlements in its periphery. We also urge the Federal Attorney for Environmental Protection (PROFEPA) to apply law enforcement due to the high incidence of poaching, illegal logging, and wildlife trade encouraged by the low presence of environmental activities and by the deficient law enforcement within protected areas with a high density of human settlements in its periphery.
PES conservation tool can be effective not only to reduce deforestation rates (Costedoat et al. 2015; Izquierdo-Tort et al. 2019), but also to maintain mammal diversity and functional diversity in areas where this conservation scheme is being implemented. Therefore, the Mexican Federal Government should assign a permanent and growing budget through the National Commission of Forestry (CONAFOR) to ensure the operations of this program in the long term. Through this economic incentive, local communities are encouraged to protect the forests within their land and to implement productive activities compatible with conservation and surveillance activities to prevent the illegal extraction of wildlife and poaching. Since poaching is probably the main threat for several species in the region, one action to preserve mammals and their ecological roles is to promote agreements with local communities to auto-regulate or ban poaching within and outside protected areas, especially for those species with large sizes and low population density such as white-lipped peccaries and Baird´s tapirs.










nova página do texto(beta)



