SciELO - Scientific Electronic Library Online

 
vol.6 número4Modelo para estimar la extensión del bulbo de humedecimiento del suelo en riego por goteoAjuste de las distribuciones GVE, LOG y PAG con momentos L depurados (1, 0) índice de autoresíndice de materiabúsqueda de artículos
Home Pagelista alfabética de revistas  

Servicios Personalizados

Revista

Articulo

Indicadores

Links relacionados

  • No hay artículos similaresSimilares en SciELO

Compartir


Tecnología y ciencias del agua

versión On-line ISSN 2007-2422

Tecnol. cienc. agua vol.6 no.4 Jiutepec jul./ago. 2015

 

Artículos técnicos

 

Comparación de resultados experimentales de un Venturi con simulación de dinámica de fluidos computacional

 

Comparison of Venturi Tube-Meter Experimental Data with Computational Fluid Dynamics Simulations

 

Mauro Iñiguez-Covarrubias*, Jorge Flores-Velazquez, Waldo Ojeda-Bustamante
Instituto Mexicano de Tecnología del Agua
*Autor de correspondencia

Carlos Díaz-Delgado
Universidad Autónoma del Estado de México

Roberto Mercado-Escalante
Instituto Mexicano de Tecnología del Agua

 

Dirección institucional de los autores

Dr. Mauro Iñiguez Covarrubias
Dr. Jorge Flores Velazquez
Dr. Waldo Ojeda Bustamante
Dr. Roberto Mercado Escalante

Instituto Mexicano de Tecnología del Agua
Paseo Cuauhnáhuac 8532, Col. Progreso
62550 Jiutepec Morelos, México
Teléfono: +52 (777) 3 29 36 00
Fax: +52 (777) 319 4220
mic@tlaloc.imta.mx jorge_flores@tlaloc.imta.mx wojeda@tlaloc.imta.mx rmercado@tlaloc.imta.mx

Dr. Carlos Díaz-Delgado

Universidad Autónoma del Estado de México
Centro Interamericano de Recursos del Agua
Facultad de Ingeniería
Carretera Toluca Atlacomulco km 14.5, Unidad San Cayetano
50200 Toluca, Estado de México, México.
Teléfono: +52 (722) 2965 550
cdiazd@uaemex.mx

 

Recibido: 01/07/2014.
Aceptado: 28/04/2015.

 

Resumen

En los sistemas de riego es necesario definir la línea de energía total del flujo de agua para evitar variaciones de presión y gasto en los puntos de entrega y control. En estos puntos e instalan equipos especiales, entre los que se encuentran los aforadores Venturi. Estos dispositivos han sido poco estudiados en relación con tamaños, formas, materiales o condiciones de funcionamiento, y las recomendaciones de operación provienen de características obtenidas de modo experimental. Así, modelar su funcionamiento a través de simulación con dinámica de fluidos computacional (DFC) resultaría práctico, económico y confiable. El objetivo del trabajo consistió en validar la simulación de funcionamiento con DFC de un dispositivo Venturi con base en observaciones de laboratorio. La comparación de los resultados experimentales y mediante DFC fueron altamente satisfactorios para los valores de velocidad media (1.53 m s-1), gasto (0.027 m3 s-1) y presión en el manómetro diferencial (15 cm de Hg). Una vez validado el modelo, se simularon ocho escenarios de operación, con variación de gasto desde 0.005 m3 s-1 hasta 0.040 m3 s-1, lo cual simplificó el modelo de la relación gasto-pérdida de carga del Venturi, con una ecuación cuadrática y así eliminar la incertidumbre del coeficiente de descarga requerido en los análisis experimentales. Los valores característicos del dispositivo fueron un requerimiento de carga hidráulica mínima en la contracción del Venturi de 0.4 kg cm-2, y una pérdida de carga total en el Venturi de 0.075 kg cm-2 para Qmáx de 0.040 m3 s-1. Por último se recomienda diseñar dispositivos Venturi con DFC y con ello obtener información confiable para su instalación en sistemas de riego.

Palabras clave: dinámica de fluidos computacional (DFC), aforador Venturi, sistemas de riego.

 

Abstract

Irrigation systems require defining the total energy line of the water flow in order to prevent variations in pressure and flow at delivery and control points. Special equipment are installed at these points, including Venturi gauges. These devices have not been widely studied in terms of sizes, shapes, materials or functioning conditions, and the operating recommendations are derived from experimentally obtained characteristics. Thus, modeling their functioning with computational fluid dynamics (CFD) simulations would be practical, economical and reliable. The objective of this work was to validate the CFD simulation of the functioning of a Venturi device based on laboratory observations. The comparison of the experimental results and those obtained with the CFD were highly satisfactory for the mean velocity (1.53 m s-1), flow (0.027 m3 s-1) and pressure in the differential manometer (15 cm de Hg). After the model was validated, 8 operating scenarios were simulated with variations in flow from 0.005 m3 s-1 to 0.040 m3 s-1 which simplified the modeling of the head loss flow rate relationship of the Venturi, with a quadratic equation, thereby eliminating the uncertainty related to the discharge coefficient required by the experimental analysis. The characteristic values of the device were a minimum hydraulic head of 0.4 kg cm-2 at the contraction of the Venturi and a total pressure loss of 0.075 kg cm-2 in the Venturi for a Qmax of 0.040 m3 s-1. Lastly, the design of Venturi devices using CFD is recommended to obtain reliable information for its installation in irrigation systems.

Keywords: Computational Fluid Dynamics (CFD), venturimeters, irrigation systems.

 

Introducción

En el diseño y operación de estructuras hidráulicas integradas en plantas de bombeo, plantas potabilizadoras, centrales de generación hidroeléctrica, micro centrales hidroeléctricas y sistemas de riego, entre otras, es necesario conocer con la mayor precisión posible la línea de energía total y, en su caso, regularla, para evitar variaciones no deseadas de presión y gasto en los puntos de entrega y control. En efecto, estos puntos son hidráulicamente idóneos para instalar piezas especiales de medición de flujo, entre las que se encuentran los aforadores tipo Venturi. Sin embargo, estos dispositivos han sido poco estudiados en relación con tamaños, formas, condiciones de funcionamiento y materiales, en particular debido a la elevada inversión que representa la experimentación en laboratorio de cada una de sus numerosas alternativas.

Para el diseño de un aforador instalado en una tubería se utilizan conceptos y modelos de la mecánica de fluidos (Levy, 1957; White, 1994), lo que requiere definir, en primer término, el gasto por conducir (SARH, 1973). Posteriormente se selecciona el tamaño idóneo de longitudes y se definen las condiciones de alojamiento y operación del dispositivo. Bajo este proceso se revisan las dimensiones del aforador, considerando las corrientes cinéticas, así como las características del tipo de material y la velocidad interna del agua.

La velocidad de un fluido a través de una tubería se puede determinar cuando se restringe el flujo y se mide la reducción en presión debida al aumento de velocidad en el sitio de restricción. Los medidores de flujo que se basan en este principio se conocen como flujómetros de presión diferencial. Algunos de estos dispositivos de medición son los Venturi, las placas de orificio y las toberas, entre otros, y consisten básicamente de un elemento que estrangula al flujo y crea un cambio en la carga piezométrica, que se traduce en una pérdida de energía.

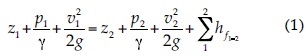
Chow (1959) señala que para definir las recomendaciones de operación de un equipo hidráulico, en particular en el estudio de piezas especiales como los aforadores Venturi (White, 1994), es necesario determinar las pérdidas de carga entre los puntos de interés. Para estos cálculos se utiliza la ecuación de la conservación de energía (ecuación (1)):

Donde υ = velocidad del agua (m s-1); g = aceleración de la gravedad (m s-2); z = carga de posición (m); = pérdidas totales de energía entre las secciones 1 y 2 (m); = carga de presión en el punto n (m); = carga de velocidad en el punto n (m), y γ peso específico del fluido (kg m-3).

La ecuación es deducida en su forma integral y se utiliza en la mayoría de aplicaciones para flujo con variables promedio, como la velocidad media (m s-1) en la sección considerada. La aplicación de este modelo se encuentra en todo tipo de estructuras hidráulicas utilizadas en el campo de la ingeniería (SARH, 1973).

El aforador Venturi puede dividirse en cuatro zonas para su análisis (figura 1): a) zona de entrada: tiene como función favorecer una distribución uniforme de las líneas de flujo dentro de la unidad y con ello la velocidad de llegada a la zona de contracción; b) zona de contracción: parte de la estructura en la cual se realiza el proceso de reducción de diámetro de entrada al diámetro menor por acción del estrangulamiento; c) zona de expansión: conformada por un tramo de transición del diámetro menor al diámetro mayor igual al de entrada; d) zona de salida: constituida por un tramo recto sin cambio de diámetro que conduce el flujo hacia la tubería en uso.

Los componentes del aforador Venturi se diseñan para diferentes tamaños, formas, condiciones de funcionamiento y tipo de material. La zona de contracción-expansión puede ser curva o recta, según el diseño propuesto; así, para cada equipo se propone el ángulo determinante de la longitud de la ampliación, siendo justo la necesaria para normalizar el flujo al final del dispositivo. Una de las relaciones más críticas en los Venturis es el grado de estrangulamiento (m), que relaciona las áreas de la sección contraída (A2) con la sección de entrada (A1); es decir, m = A2/A1. Para la medición de la pérdida de energía por el estrangulamiento, se recomienda realizarla con base en dos secciones (figura 1): una justo al final de D1 y la segunda en la contracción D2, justo después de la terminación de contracción e inicio de la ampliación (ASME, 1983). Para esta medición de la caída de la línea de energía entre las dos secciones señaladas existe una metodología de cálculo de acuerdo con el equipo disponible en laboratorio, sin embargo, el medio más recomendable es el manómetro diferencial de mercurio instalado en los puntos indicados.

Por otro lado, la ASME (1983) presenta un modelo matemático deducido a partir de la ecuación (1) para la determinación del gasto en función de un coeficiente de descarga, con el conocimiento de la línea de distribución de presiones o línea piezométrica a partir del centro del tubo. Además, dado que la pérdida de energía entre las secciones de entrada y de contracción está representado por h= (z1 + v12 / 2g)-(z2 + v22 / 2g) y si h se sustituye en la ecuación de conservación de la masa A1 = A2 υ2/υ1, se obtiene la ecuación (2):

Donde el coeficiente Cd es el conocido coeficiente de descarga y se determina a partir de pruebas experimentales de laboratorio. Smetana (1957), reportado por Sotélo-Ávila (1979), presenta dos tablas para la determinación del coeficiente Cd: una en función de la relación de estrangulamiento m = A2/A1 y otra en función del número de Reynolds presente en la sección del estrangulamiento.

Ranald (1978) y la ASME (1983) reportan diferentes tablas y figuras auxiliares en el cálculo de aforos de flujo en tuberías bajo el empleo de dispositivos tipo Venturi. Aquí cabe destacar que ambos presentan valores muy similares de coeficientes de descarga. Por su parte, la USDI (1979) y la IOS (1991) reportan la estandarización de procedimientos que deben satisfacerse para la correcta medición de flujos con aforadores tipo Venturi.

Tradicionalmente, para el cálculo de los parámetros característicos del flujo, y debido a la complejidad de los fenómenos hidráulicos, era necesario discretizar el sistema de ecuaciones dejando fijas ciertas características del fluido, para después aplicar las ecuaciones generales de balance de masa y energía a un volumen finito del flujo y, en particular, plantear la ecuación que describiese su movimiento. Sin embargo, en la mayoría de los casos, esta descripción resultaba puntual y no permitía la representación espacial del sistema. Este inconveniente ha sido resuelto con la dinámica de fluidos computacional (DFC) (Anderson, 1995). La herramienta DFC permite la visualización espacial del fenómeno en estudio, al obtener una solución numérica a los problemas de movimiento de fluidos, con un alto grado de precisión una vez validado el modelo planteado con datos experimentales, lo cual ha permitido una mejor comprensión de los fenómenos hidráulicos y de la mecánica de fluidos en general.

En realidad, tanto la DFC y el análisis experimental son métodos complementarios, resaltando que el empleo de la DFC reduce la cantidad necesaria de análisis experimental en laboratorio. Por ejemplo, en ingeniería hidráulica, se ha hecho investigación en el análisis de válvulas (Davies & Stewart, 2002), bombas (Zheng, 2000) o en la aplicación de canales abiertos (Wu, Rodi, & Wenka, 2000). En agricultura protegida, el análisis con DFC ha sido empleado para modelar el clima al interior del invernadero y con ello plantear estrategias para su gestión mediante sistemas auxiliares de refrigeración o calefacción (Flores-Velázquez, Mejia, Rojano, & Montero, 2011). En sistemas de riego presurizado es posible encontrar aplicaciones para el análisis de emisores de riego (Palau, Arviza, & Frankel, 2004) y dispositivos de inyección de fertilizantes (Manzano & Palau, 2005).

Diversos autores han simulado el comportamiento hidráulico de vertedores y aforadores usando técnicas DFC, después de validarlos con datos experimentales. Gharahjeh, Aydin y Altan-Sakarya (2015) simularon el flujo de agua para un vertedor de cresta delgada, mientras que Naghavi, Esmaili, Yazdi y Vahid (2011) simularon un vertedor circular; Temeepattanapongsa, Merkley, Barfuss y Smith (2014) validaron un modelo DFC y ajustaron ecuaciones algebraicas genéricas para una diversidad de aforadores sin garganta "Cutthroat flume", a partir de datos simulados de carga-gasto bajo condiciones de descarga libre y ahogada.

El planteamiento de la DFC se fundamenta en la solución de las ecuaciones que definen el movimiento de un fluido, combinando dinámica de fluidos, programación y métodos numéricos. En general, el movimiento de un fluido está basado principalmente en procesos físicos, que pueden ser planteados en términos matemáticos como una serie de ecuaciones en derivadas parciales, mismas que representan numéricamente las componentes de un flujo. Si se considera un fluido incompresible (agua) dentro del dominio Ω ⊂ Rn durante un intervalo de tiempo [0, t], la dinámica del flujo en cada punto (x, y) en un instante específico t está determinado por las variables de estado, densidad de masa ρ(x, t), el campo de velocidad u (x, t) y su energía e (x, t). El planteamiento diferencial se deriva de la aplicación de los principios de conservación de masa, momento y energía sobre un volumen de control, características incluidas en las ecuaciones de Navier-Stokes(N-S), a partir del cual es deducida en su forma diferencial. Las ecuaciones de continuidad y cantidad de movimiento están expresadas por las ecuaciones (3) y (4), las cuales se generaliza para x, y, z (White, 1994; Çengel & Cimbala, 2012):

Ecuación de continuidad:

Cantidad de movimiento en x:

Donde es la deformación volumétrica del volumen finito analizado (V = uvw) con respecto a los ejes x, y y z; ρ es la densidad (kg m-3); υ es la viscosidad cinética cuando μ es la viscosidad dinámica; t es el tiempo (s), y g es la aceleración de la gravedad.

El objetivo del presente trabajo consiste en aportar información sobre el funcionamiento de un dispositivo Venturi bajo criterios de ecuaciones deducidas en forma diferencial e integral, partiendo de un dispositivo con características específicas y datos experimentales de laboratorio reportados por Sotelo-Ávila (1979), así como comparar los resultados experimentales con los obtenidos por simulación usando DFC para determinación de parámetros de funcionamiento e instalación en sistemas de riego.

 

Materiales y métodos

Venturi en estudio

El dispositivo descrito por Sotelo-Ávila (1979) corresponde al estudio reportado por Smetana (1957) y esquematizado en la figura 1. Tiene un diámetro en la zona inicial de D1 = 0.15 m y un diámetro en la zona de estrangulamiento de D2 = 0.075 m. La transición entre estos diámetros en la zona de contracción es de forma cónica. La zona de expansión consta de una ampliación que va desde el final de la zona de contracción hasta alcanzar de nuevo el valor del diámetro D1. Según Sotelo-Ávila (1979), para su análisis se propuso un ángulo (θ) de 2.5 a 7° como determinante de la longitud necesaria de la ampliación de salida y con ello lograr normalizar el flujo. El dato en la deflexión del manómetro diferencial entre los diámetros D1 y D2 es de Δh = 0.15 m de Hg, tal como se muestra en la figura 1; siendo el peso específico del mercurio γHg = 13 595 kg m-3 y la viscosidad cinemática del agua a 10 °C, υ = 0.013cm2 s-1.

Las principales variables que se estudian en este trabajo, por su influencia en el funcionamiento del aforador Venturi, son las corrientes cinéticas. En efecto, un diseño impropio de las zonas de entrada o salida se vería reflejado por una velocidad de flujo excesiva, la generación de zonas muertas o bien turbulencias. Según Webber (1971), el diámetro de la contracción D2 debe ser lo suficientemente grande como para que la presión no caiga por debajo de dos metros de columna de agua con respecto a la presión absoluta, pues para esta presión hay tendencia a la formación de burbujas de aire, existiendo el peligro de cavitación en las paredes del dispositivo.

El Venturi mostrado en la figura 1 cuenta con un manómetro diferencial de mercurio. La observación experimental en laboratorio proporciona el valor de Δh y con empleo de la ecuación (5) (Sotelo-Ávila, 1979) es posible determinar el gasto (Q):

Donde se denota por A2 al área de la sección contraída (m2); g, la aceleración de la gravedad (m s-2); γHg, como peso específico del mercurio (kg m-3); γ, como peso específico del agua (kg m-3); Δh, como la deflexión del manómetro de mercurio (m), y Cd como el coeficiente de descarga (adimensional).

En el cuadro 1 se indican las características geométricas del aforador reportado por Sotelo-Ávila (1979) y de acuerdo con Smetana (1957), las longitudes de entrada y salida son mayores que cuatro veces el valor de D1.

Luego entonces se busca determinar el gasto a partir de los resultados experimentales para el aforador Venturi con las características ya señaladas. Para ello, con la información reportada por Sotelo-Ávila (1979), se consideró como valor de velocidad inicial Vi = 1.533 m s-1; como límite de estrangulamiento un valor de m = 0.25, con los cuales se mantenían valores del número de Reynolds mayores que 1 x 105. Cabe resaltar que para la instalación de los aforadores Venturi en sistemas de riego, los parámetros de operación importantes que deben conocerse son: la pérdida de energía total generada en el dispositivo y la presión absoluta en la contracción. De acuerdo con Webber (1971), se recomienda realizar la medición de la línea de energía desde una distancia de 4D1 antes de la contracción hasta 4D1 después de la ampliación, justo cuando el flujo se comporte como un fluido totalmente desarrollado.

 

Dinámica de fluidos computacional (DFC)

Tal y como fue mencionado, herramientas numéricas como la DFC han resultado eficaces en el diseño y simulación de flujos con base en una modelación a través de métodos aproximados de solución de las ecuaciones gobernantes de la mecánica de fluidos (ecuaciones (1), (3) y (4)) y esquemas numéricos de solución (volumen finito), con sus correspondientes algoritmos de procesamiento. Así, la DFC sigue una serie de pasos que pueden englobarse en tres grandes etapas:

a) Preproceso. Consiste en la generación de la representación digital en tres dimensiones de la geometría del modelo físico del dispositivo en estudio (figura 2a). Este paso es indispensable para definir el mallado de análisis (figura 2b), en el cual el dominio computacional es subdividido en un número finito de elementos prismáticos, donde las ecuaciones de conservación de energía, masa y cantidad de movimiento lineal serán aplicadas.

b) Proceso. Una vez generada la geometría, se importa al procesador, donde se realiza la adjudicación de valores a las características de frontera (figura 2c), entrada lado izquierdo y salida lado derecho; de igual manera, se establecen las hipótesis correspondientes respecto al Solver a utilizar, para conseguir la solución, basado en las ecuaciones de Reynolds Averaged Navier-Stokes Simulation y Presure-Based, indicando que se resuelve por separado la ecuación de Momentum para u, υ, w, seguida de la ecuación de la energía; después se solventa el modelo de turbulencia K-ε, modelo más ampliamente utilizado e incorporado al software DFC los atributos del procedimiento, se indica en las consideraciones (cuadro 2).

c) Postproceso. Los resultados se muestran de manera gráfica y escalar (figura 2d). Cabe señalar que en el presente trabajo, la herramienta de DFC utilizada ha sido el programa comercial ANSYS Workbench v. 14.5 (Fluent, 1998), y cuenta con las interfaces necesarias para la generación de geometría del dispositivo (Design model), el mallado (Meshing) y el simulador numérico correspondiente (Fluent).

 

Resultados y discusión

Método de revisión para el Venturi probado en laboratorio

De acuerdo con la metodología propuesta por Sotelo-Ávila (1979) y la información de laboratorio sobre la velocidad de inicio υi = 1.533 m s-1, se determinó el coeficiente de descarga Cd (figura 3). Este valor se obtuvo relacionando la relación del estrangulamiento m = 0.25 (dato, cuadro 1) y del coeficiente de descarga Cd = 1.009. La observación en laboratorio sobre la altura de columna de mercurio en la deflexión del manómetro diferencial reportado por Sotelo-Ávila (1979) es igual a Δh = 0.15 m, y con la ecuación (5) se determinó el gasto Q = 0.02698 m3 s-1. Con base en la ecuación de conservación de masa, se determinó la velocidad en la sección de contracción V2 = 6.13 m3 s-1. Por último, con la ecuación del número de Reynolds , se obtuvo un valor de Re = 3.54 x 105, con lo cual se cumplió con la recomendación de ser mayor que un valor de Re = 1 x 105.

La figura 3 sustituye a las reportadas por Smetana (1957). Esta gráfica tiene por objeto mostrar el modelo matemático que representa la relación existente entre el grado de estrangulamiento (m) y el coeficiente de descarga (Cd), destacando que el modelo encontrado cuenta con un coeficiente de determinación R2 = 0.9972.

Con base en el procedimiento experimental convencional descrito, se observa que cada vez que se efectúe algún cambio en la velocidad inicial en el punto de entrada al Venturi, es necesario medir el cambio correspondiente en la altura de la columna del manómetro diferencial de mercurio y con ello poder calcular el gasto en las nuevas condiciones del flujo. Es decir, el gasto está relacionado con el valor Δh de la columna del manómetro de mercurio, lo que conduce a una sola ecuación, pero con dos incógnitas. Por lo anterior, con este procedimiento experimental es necesario conocer la velocidad inicial (en la entrada al dispositivo), el valor de Δh del manómetro diferencial y el valor de la relación de estrangulamiento m, para luego obtener de forma gráfica el valor correspondiente del coeficiente de descarga Cd y por último calcular el valor del gasto. El principal inconveniente del procedimiento experimental descrito consiste en que cualquier cambio en las condiciones del flujo requiere del montaje experimental y de los datos observados.

 

Método de revisión para el Venturi con DFC

La figura 4 muestra los resultados obtenidos por simulación con DFC para la magnitud de los vectores de velocidad del flujo para cada punto (identificados por círculos) en las secciones de las zonas de entrada al Venturi en el punto D1, de contracción, de ampliación y de salida del dispositivo. Las magnitudes de velocidad están representadas por una escala gráfica de colores. En la figura 5 se muestran los valores de velocidad y presión puntuales del flujo y se relacionan con su ubicación en la sección del tubo en la zona de entrada; es decir, un valor nulo de velocidad en las paredes del dispositivo hasta un valor máximo de V = 1.8 m s-1 en el centroide de la sección transversal del tubo y valores de presión de P = 78.7 cm de Hg en la pared del tubo y de P = 78.4 cm de Hg en el centroide de la sección transversal del tubo. Con esta información se determinó la velocidad y presión medias del flujo en el punto de entrada con ayuda de las ecuaciones (6) y (7):

Donde Vm= velocidad media del flujo en la sección; Vn= velocidad puntual en el círculo 1 hasta n; An= área en el círculo 1 hasta n; Atotal = área total de la sección transversal del tubo:

Donde Pm= presión media del flujo en la sección; Pn = presión puntual en el círculo 1 hasta n; An = área en el círculo desde 1 hasta n; Atotal = área total de la sección transversal del tubo.

Este procedimiento se repite para las secciones correspondientes a las zonas de contracción y salida del dispositivo. Los valores de velocidad promedio de flujo presentes en las zonas del dispositivo estudiado se presentan en el cuadro 3.

Al comparar los valores reportados experimentalmente por Sotelo-Ávila (1979) y los obtenidos mediante DFC (cuadro 3), con base en el cálculo del error relativo absoluto |er| (ecuación (8)), se observa que son prácticamente iguales. Es decir, una velocidad media en la zona de entrada (1.53 m s-1; |er| = 0.013), un gasto (0.027 m3 s-1, por conservación de masa); |er| = 0.013) y una presión en el manómetro diferencial, 15 cm de Hg (diferencia de presión en cm de Hg entre la zona de entrada hasta la zona de contracción; |er|= 0.100):

Una vez validado el modelo construido por DFC, se simularon ocho escenarios adicionales, con velocidades medias desde 0.028 hasta 2. 264 m s-1, correspondientes a una variación de gasto desde 0.005 hasta 0.040 m3 s-1. En el cuadro 4 se reportan los resultados de los ocho escenarios simulados (E2 a E9), donde la presión se expresa en pascales, cm de Hg y en kg cm-2; así como la velocidad media en las zonas de entrada, contracción y salida, en m s-1.

Con base en el análisis de los resultados obtenidos en las simulaciones para el rango de gasto de operación del Venturi (Q = [0.005 m3 s-1; Q = 0.040 m3 s-1]), y reportados en el cuadro 4, se ha construido un modelo matemático de tipo regresivo entre las variables gasto del Venturi (Q en m3 s-1) y pérdida de carga en la zona de contracción del dispositivo (Δh en cm de Hg). Este modelo está representado por una ecuación de segundo grado y cuenta con un coeficiente de determinación R2 = 1 (figura 6). Lo anterior es totalmente congruente con la génesis del fenómeno hidráulico local en la sección de contracción, pues la caída de presión se debe a un cambio drástico de velocidad del flujo y donde las pérdidas locales por fricción también están en función de la velocidad del flujo. Con este modelo se reduce la incertidumbre, al eliminar el requerimiento de selección del coeficiente de descarga Cd en el cálculo del gasto ante cualquier otra velocidad inicial dentro del rango modelado. Es decir, con ello se ha simplificado el problema a una ecuación con una sola incógnita. Por ejemplo, usando la gráfica de la figura 6 y considerando el diámetro del tubo del caso de estudio (D1 = 0.15 m), si se tiene una lectura en el manómetro diferencial de presión de Δh = 0.15 m de Hg, se obtiene un gasto Q = 0.027 m3 s-1, que corresponde a una velocidad de 1.53 m s-1.

Por otro lado, con la información proporcionada por las simulaciones con DFC, es posible construir un modelo matemático adicional que facilite la estimación de la pérdida total de carga ocurrida en el aforador Venturi para el rango de gastos estudiados. En efecto, en forma equivalente al caso anterior, se considera el valor de caída de presión entre la sección inicial y final del dispositivo, relacionando este diferencial de presión con el gasto de entrada al Venturi. El modelo encontrado presenta las pérdidas de presión (Δh) en cm de columna de H2O versus el gasto (Q en m3 s-1) mostrado por la figura 7, y cuenta con un coeficiente de determinación (R2) cercano a 0.99. Cabe resaltar que este tipo de modelo no es posible construirlo cuando sólo se cuenta con estudios convencionales de experimentación en laboratorio.

Así, por ejemplo, utilizando el modelo de la figura 7, para un gasto máximo de 0.040 m3 s-1 se obtiene una pérdida de carga total en la longitud de Venturi de 0.075 kg cm-2. Esta pérdida total de carga está considerada entre la distancia formada por ± 4D1, a partir de la sección de contracción y donde D1 es la sección de entrada al dispositivo.

Finalmente se resaltan otros tres resultados importantes que sólo pueden derivarse con base en la simulación efectuada con DFC: a) la carga hidráulica de funcionamiento en la contracción del Venturi deberá respetar una presión mínima disponible de 0.4 kg cm-2 para el gasto máximo de 0.040 m3 s-1 y con ello satisfacer la condición sugerida por Webber (1971) para evitar la generación del fenómeno transitorio de cavitación; b) por la condición anterior, el gasto límite superior para las dimensiones y condiciones de trabajo es precisamente el gasto de 0.040 m3 s-1; y c) la pérdida de carga total para la longitud de Venturi es de 0.075 kg cm-2 para Qmáx = 0.40 m3 s-1.

 

Conclusiones

En este trabajo se modeló, con ayuda de la dinámica de fluidos computacional, el funcionamiento de un dispositivo de medición de flujo tipo Venturi. La información experimental obtenida en laboratorio y reportada por Sotelo-Ávila (1979) facilitó la construcción del modelo matemático y su validación, obteniéndose una muy buena congruencia entre los valores experimentales y los simulados de velocidad del flujo, gasto y caída de presión en el manómetro diferencial. La modelación con DFC fue realizada con el empleo del programa Fluent, el cual utiliza el método del volumen finito y se encuentra inserto en el software comercial ANSYS Workbench v. 14.5.

Con base en lo aquí analizado es posible enumerar las conclusiones siguientes:

1. Existe una congruencia altamente satisfactoria entre los resultados medidos en forma experimental en laboratorio y los encontrados por simulación numérica con DFC.

2. Los resultados obtenidos de los escenarios hidráulicos modelados con DFC han permitido comprender con mayor detalle el funcionamiento del Venturi y la determinación de modelos matemáticos de tipo regresivo sobre variabilidad de sus características de operación. Los modelos encontrados a partir de los resultados con DFC permiten, con un alto nivel de precisión, la determinación de condiciones de operación para situaciones no experimentadas ni simuladas.

3. En particular, con el procedimiento aquí propuesto, ha sido posible modelar, a través de una ecuación de segundo grado, la relación gasto versus pérdida de carga en la sección de contracción del Venturi y con ello eliminar la incertidumbre en la elección del coeficiente de descarga Cd. Igualmente fue modelada la relación gasto versus pérdida de carga total en el dispositivo Venturi, característica difícil de modelar bajo un contexto tradicional de experimentación en laboratorio.

4. La modelación con DFC puede ser usada para el diseño y la definición de dimensiones óptimas de un Venturi, considerando diferentes tamaños, formas, condiciones de funcionamiento y materiales, además de poder determinar las condiciones límite que ocasionarían la presencia del fenómeno transitorio de cavitación en las paredes del Venturi.

Por último, es importante resaltar que la modelación con DFC y la experimentación en laboratorio son métodos complementarios de análisis de fenómenos hidráulicos, y su combinación es la mejor estrategia para el encuentro de una solución técnica, práctica, económica y confiable, en particular en el caso de flujómetros tipo Venturi y su instalación en sistemas de riego.

 

Referencias

Anderson, J. D. Jr. (1995). Computational Fluid Dynamics. The Basics with Applications (328 pp.). USA: McGraw-Hill.         [ Links ]OJO AUTOR, FALTA CIUDAD DE EDICIÓN

ASME (1983). Fluid Meters, their Theory and Application (6th edition). In H. S. Bean (Ed.). New York: American Society of Mechanical Engineers, Research Committee on Fluid Meters.         [ Links ]

Çengel, Y. A., & Cimbala, J. M. (2012). Mecánica de fluidos-fundamentos y aplicaciones (978 pp.) (2a edición). México, DF: McGraw Hill.         [ Links ]

Chow, V. T. (1959). Open Channel Hydraulics. New York: McGraw-Hill.         [ Links ]

Davies, J. A., & Stewart, M. (2002). Predicting Globe Control Valve Performance. Part I. CFD, Modeling. ASME Journal of Fluids Engineering, 124(3), 772-777.         [ Links ]

Flores-Velazquez, J., Mejia, E., Rojano, A., & Montero, J. (2011). Análisis del clima en un invernadero con ventilación mecánica, Agrociencia, 45(5), 545-560.         [ Links ]

Fluent (1998). Fluent, v. 5. Sheffield, UK: Fluent, Europe Ltf.         [ Links ]

Gharahjeh, S., Aydin, I., & Altan-Sakarya, A. B. (2015). Weir Velocity Formulation for Sharp-Crested Rectangular Weirs. Flow Measurement and Instrumentation, 41, 50-56.         [ Links ]

IOS (1991). Measurement of Flow by Means of Pressure Differential Devices. Geneva: International Organization for Standardization ISO 5167-1.         [ Links ]

Levy, E. (1957). Mecánica de los fluidos (266 pp.). México, DF: Instituto de ingeniería, UNAM.         [ Links ]

Manzano, J., & Palau, G. (2005). Hydraulic Modeling of Venturi injector by Means of CFD. Tampa, USA: ASAE International Meeting.         [ Links ]

Naghavi, B., Esmaili, K., Yazdi J., & Vahid, F. K. (2011). An Experimental and Numerical Study on Hydraulic Characteristics and Theoretical Equations of Circular Weirs. Canadian Journal of Civil Engineering, 38(12), 1327-1334.         [ Links ]

Palau, G., Arviza, J., & Frankel, S. (2004). Tree-Dimensional Control Valve with Complex Geometry: CFD Modeling and Experimental Validation. 34TH AIAA Fluid Dynamics Conference and Exhibit. IN AIAAA-2004-Portland, USA.         [ Links ]

Ranald, V. G. (1978). Mecánica de fluidos e Hidráulica (2a edición). México, DF: McGraw-Hill.         [ Links ]

Smetana J. (1957). Hidráulika. Praga: Ceskoslovenka Akademie, VED.         [ Links ] Referencia de Sotelo-Ávila, G. (1995). Hidráulica general (277 pp.). México, DF: Limusa.         [ Links ]

Sotelo-Ávila, G. (1979). Hidráulica general (277 pp.). México, DF: Limusa.         [ Links ]

SARH (1973). Proyecto de Zonas de Riego (567 pp.). México, DF: Dirección de Proyectos de Irrigación, Departamento de Canales.         [ Links ]

Temeepattanapongsa, S., Merkley, G. P., Barfuss, S. L., & Smith, B. (2014). Generic Unified Rating for Cutthroat Flumes. Irrigation Science, 32(1), 29-40.         [ Links ]

USDI (1979). Water Measurement Manual (3rd edition). Denver: US Department of Interior, Bureau of Reclamation, US Govern Printing Office.         [ Links ]

Webber, N. B. (1971). Fluid Mechanics for Civil Engineers (330 pp.). London: Chapman & Hall.         [ Links ]

White, F. (1994). Fluid Mechanics (736 pp.) (3rd edition). New York: McGraw Hill, Inc.         [ Links ]

Wu, W., Rodi, W., & Wenka, T. (2000). 3D Numerical Modeling of Flow and Sediment Transport in Open Channels. ASCE Journal of Hydraulic Engineering, 126(1), 4-15.         [ Links ]

Zheng, G. (2000). Applications of CFD Tools to Design and Development of Pumps. Turbomachinery, 28(11), 649-656.         [ Links ]

Creative Commons License Todo el contenido de esta revista, excepto dónde está identificado, está bajo una Licencia Creative Commons