Servicios Personalizados
Revista
Articulo
Indicadores
-
Citado por SciELO -
Accesos
Links relacionados
-
Similares en
SciELO
Compartir
Tecnología y ciencias del agua
versión On-line ISSN 2007-2422
Tecnol. cienc. agua vol.6 no.4 Jiutepec jul./ago. 2015
Artículos técnicos
Elasticidad-precio de corto y largo plazos de la demanda de agua residencial de una zona árida. Caso de estudio: La Paz, B.C.S., México
Short-and Long-term Price Elasticity of Residential Water Demand in an Arid Region. Case Study of La Paz, BCS, Mexico
Gerzaín Avilés-Polanco*
Universidad Autónoma de Baja California Sur, México
*Autor de correspondencia
Marco A. Almendarez-Hernández
Centro de Investigaciones Biológicas del Noroeste, México
Víctor Hernández-Trejo
Universidad Autónoma de Baja California Sur, México
Luis Felipe Beltrán-Morales
Centro de Investigaciones Biológicas del Noroeste, México
Dirección institucional de los autores
Gerzaín Avilés-Polanco
Víctor Hernández-Trejo
Universidad Autónoma de Baja California Sur (UABCS)
Departamento Académico de Economía
Carretera al sur, km 5.5
Apartado Postal 19-B
23080 La Paz, Baja California Sur, México
Teléfono: +52 (612) 1238 800, extensión 3210
gaviles@uabcs.mx victorh@uabcs.mx
Marco A. Almendarez-Hernández
Luis Felipe Beltrán-Morales
Centro de Investigaciones Biológicas del Noroeste (Cibnor)
Instituto Politécnico Nacional 195
Playa Palo de Santa Rita Sur
23096 La Paz, Baja California Sur, México
Teléfono: +52 (612) 1751 230, extensión 5123
malmendarez@cibnor.mx lbeltran04@cibnor.mx
Recibido: 30/10/2013.
Aceptado: 24/04/2015.
Resumen
La sobrexplotación, intrusión salina y limitaciones en la oferta hídrica constituyen los principales problemas de zonas áridas costeras. Considerando que la ciudad de La Paz, Baja California Sur, México, presenta estas condiciones, nos hemos propuesto estimar la elasticidad-precio de corto y largo plazos de la demanda de agua residencial para medir el impacto que tiene la estructura de precios en bloque en el uso eficiente. Los resultados revelan una elasticidad de largo plazo mayor a la de corto plazo. Este trabajo contribuye con evidencia empírica sobre el ajuste en el consumo ante incrementos permanentes en los precios.
Palabras clave: demanda de agua residencial, precios en bloque, elasticidad precio, corto y largo plazos.
Abstract
Overexploitation, saline intrusion and limited water supplies are the main problems faced by coastal arid zones. Since these conditions occur in the city of La Paz, we have proposed that the short- and long-term price elasticity of residential water demand be estimated in order to measure the impact of block pricing on efficient use. The results demonstrate that long-term elasticity is greater than short-term. This work contributes to the empirical evidence regarding adjustments in consumption in response to permanent increases in prices.
Keywords: residential water demand, block prices, price elasticity, short-term and long-term.
Introducción
Uno de los principales retos de las grandes áreas urbanas en zonas áridas costeras consiste en enfrentar el problema de sustentabilidad del servicio de provisión de agua, ya que éstas cada vez requieren mayores volúmenes para satisfacer la demanda que con frecuencia excede la capacidad de oferta (Soto & Bateman, 2006). La ausencia de adecuados instrumentos económicos de mercado, como estructuras de precios en bloque que contribuyan en el manejo de la demanda, puede llevar al uso ineficiente del recurso y su agotamiento. La evidente necesidad de encontrar estos instrumentos ha motivado un rápido crecimiento en investigaciones sobre estructuras de precios (Howe & Linaweaver, 1967; Cavanagh, Hanemann, & Stavins, 2001).
Las entidades responsables de suministrar el servicio de agua local en México son los Organismos Operadores Municipales de Agua Potable y Alcantarillado (OOMSAPAS). De acuerdo con Elnaboulsi (2009), éstos deben diseñar estructuras tarifarias conforme a cuatro criterios básicos: eficiencia, equidad, viabilidad financiera y simplicidad. En condiciones de escasez y restricciones para poder incrementar la oferta hídrica, los OOMSAPAS deben fomentar el uso eficiente mediante precios que incentiven el uso más racional del agua para evitar su agotamiento (Bartoszczuk & Nakamori, 2004). En este sentido, Klawitter (2003) señala que el diseño del precio sustentable del agua urbana, además debe satisfacer y conciliar las necesidades actuales y de futuras generaciones mediante el uso eficiente del recurso, recuperar los costos totales (incluyendo costos de suministro, costos de oportunidad y externalidades), así como lograr equidad y justicia para diferentes usuarios. Dalhuisen, Florax, De Groot y Nijkamp (2001) agregan que la estructura de precios debe ser justa, inducir al uso eficiente y ser administrativamente factible. Considerando lo anterior, es importante probar si las estructuras de precios cumplen o no con estos objetivos; en caso de cumplirlos, también es relevante analizar en qué magnitud lo logran. Para ello resulta necesario estimar la variación porcentual que experimenta la demanda de agua como consecuencia de una variación porcentual del precio denominada elasticidad-precio de la demanda de agua. Ésta será inelástica si la variación porcentual en la cantidad demandada es menos que proporcional a la variación porcentual del precio. Será unitaria si la variación es igualmente proporcional y será elástica si la variación resulta más que proporcional. Por otra parte, la importancia de contrastar si existen diferencias entre la elasticidad de corto plazo y largo plazo radica en conocer si existen cambios en el nivel de consumo en el largo plazo derivado de incrementos permanentes en el tiempo sobre la estructura de precios, lo que implica que los usuarios ajustan su consumo uno más periodos posteriores a la factura actual. La utilidad de estimar las elasticidades de corto y largo plazos para los OOMSAPAS consiste en conocer los parámetros necesarios para diseñar estructuras tarifarias que les permitan cumplir metas determinadas en la reducción de la demanda de agua.
Antecedentes
En muchos países, las estructuras de precios de los mercados de agua residencial y electricidad están basadas en sistemas de precios en bloque debido a políticas de distribución del ingreso mediante sistemas de precios progresivos, donde los hogares pobres, que consumen menos, pagan precios más bajos. Los organismos responsables del suministrar estos servicios no sólo buscan la eficiencia económica, sino también otros objetivos, como equidad y aceptación local (Ruijs, 2009). Actualmente existe una extensa literatura acerca de estimaciones de funciones de demanda en estos sistemas, donde hay consenso en que la demanda de agua residencial es inelástica, como lo muestran Dalhuisen et al. (2003), en un meta-análisis de elasticidades precio de estudios que datan de 1963 a 1998, en el que se encontró una elasticidad media de -0.41.La elasticidad varía entre lugares, tiempo y técnicas de estimación, que van desde mínimos cuadrado ordinarios (MCO) hasta variables instrumentales y modelos de elección discreta continua (DCC, por sus siglas en inglés), con la finalidad de confrontar problemas de simultaneidad de los precios en bloques (Hewitt & Hanemann, 1995). Los datos utilizados en estas técnicas básicamente consisten en micro-datos aplicados en sección cruzada o panel de datos.
En estudios que utilizan macro-datos, o datos agregados, las técnicas de estimación consisten en MCO, Método Generalizado de Momentos (MGM) (Ruijs, 2009) y modelos de cointegración con corrección de error; mediante este método, Martínez-Espiñeira (2005) encontró que el consumo, precio e ingreso virtual resultaron no estacionarias en nivel, no así en primeras diferencias, indicando un orden de integración I(1), aspecto importante al considerarse el proceso de generación de información al momento de la especificación econométrica. La literatura, además de los precios, considera como determinantes de la demanda el factor climático, demográficos (de composición y tamaño de los hogares), socioeconómicos (nivel de ingreso), nivel cultural, etc. (Howe & Linaweaver, 1967; Billings & Agthe, 1980; Renzetti, 1992), entre otros. Recientemente en México se ha desarrollado un interés particular por el estudio de las funciones de la demanda de agua para uso residencial; a partir de micro-datos, Jaramillo (2005) estimó sensibilidades de la demanda precio de -0.22 mediante el Método de Elección Discreta Continua y de -0.58 con variables instrumentales (VI). García-Salazar y Mora (2008) encontraron elasticidades de -0.18 a -0.2, para la región de Torreón Coahuila, mediante VI. En otro estudio, desarrollado por Sisto (2010), para la Zona Metropolitana de La Laguna, encuentra elasticidades entre -0.47 y -0.53 mediante modelos estimados por mínimos cuadrados ordinarios. Mientras que Salazar y Pineda (2010) encontraron una elasticidad de -0.33 con datos agregados a escala local con 134 localidades, mediante VI y mínimos cuadrados generalizados (MCG), elasticidad de demanda precio mayor en términos absolutos a las reportadas con micro-datos en la literatura empírica sobre demanda de agua residencial en México.
En este sentido, la evidencia empírica sugiere que la medición y una estructura de precios en bloque reducen el uso del agua. No obstante, la diferencia en la dotación en infraestructura de medición en países desarrollados y subdesarrollados es considerable; Yepes y Dianderas (1996) encuentran que en países desarrollados es de 85 a 90%, mientras que en países en desarrollo es menor que 50%. En el caso de México, la información de micromedición es limitada. Sin embargo, un dato importante de acuerdo con la Comisión Nacional del Agua (Conagua, 2008), es que de una muestra de 39 ciudades con población mayor a 50 000 habitantes, sólo 46% de las tomas de agua cuenta con medición, mientras que 54% es nula. Este rezago de la inversión en infraestructura de micromedición cuestiona los principios de eficiencia económica y equidad del suministro de agua en México debido a la discriminación de precios entre hogares con medición y sin medición; esta situación podría originar subsidios al consumo, ya que el precio por metro cúbico de los hogares sin micromedición podría ser muy inferior al precio que pagan los hogares con medición, dando lugar a inequidad y falta de incentivos para el uso eficiente del recurso. Por otra parte, el rezago en medición sugiere déficit financiero de operación. Lo anterior ha motivado la estimación de la demanda de agua de uso residencial de corto y largo plazos en la ciudad de La Paz, Baja California Sur (B.C.S.), debido a que cuenta con escasa micromedición (40%) y déficit financiero del organismo operador (estas dos características son representativas de la realidad nacional), así como problemas de sustentabilidad del servicio hidrológico de provisión causado por la sobreexplotación del acuífero (única fuente de provisión), con intrusión salina. Por estas razones, el objetivo de este trabajo es estimar la elasticidad del precio de corto y largo plazos de la demanda de agua residencial de la ciudad de La Paz, para medir el impacto que tiene la estructura de precios en bloque en el uso eficiente. Para ello, se plantearon las siguiente hipótesis: partiendo del aumento en la micromedición, un adecuado diseño de estructura tarifaria de precios en bloque puede contribuir como instrumento de manejo de la demanda mediante señales de precios que logren un uso eficiente del recurso (disminuir su consumo) y así lograr los objetivos de equidad, eficiencia económica y sustentabilidad del uso de agua residencial.
Materiales y métodos
Área de estudio y descripción de los datos
El área urbana de la ciudad de La Paz fue seleccionada debido a que: a) se encuentra localizada en una región semiárida, donde no existen cuerpos de agua superficiales y la precipitación es escasa, lo cual ha llevado a la necesidad de sustraer agua subterránea mediante el bombeo en pozos costeros, generando la sobreexplotación del acuífero y provocando indirectamente intrusión de agua de mar; b) los hogares representan el sector con mayor demanda, con 60.86% del total de agua concesionada del acuífero (30 018 597 m³). De acuerdo con Cruz-Falcón (2007), la superficie del acuífero es de 200 km², presenta un déficit hídrico de 9 millones de metros cúbicos anuales y la velocidad de infiltración de agua de mar oscila entre 150 y 200 metros anuales. La localización se puede apreciar en la figura 1.
Descripción esquemática de la metodología
En la figura 2 se muestra en forma de diagrama de flujo la metodología utilizada.
Determinación del tamaño de muestra y descripción de variables
La distribución de la demanda del OOMSAPAS La Paz por tipo de usuario para el año 2008 resultó la siguiente: 94.28%, domésticas; 5.47%, comerciales, y 0.24%, de uso industrial. Los incrementos en los precios de la estructura tarifaria registrados de 2003 a 2008 se puede apreciar en la figura 3 (OOMSAPAS, 2009).
La naturaleza de los datos para la estimación de las elasticidades es corte transversal y de series de tiempo. Los datos para la estimación de sección cruzada se obtuvieron a partir de una encuesta aplicada en 2008. Mientras que para la estimación de series tiempo se obtuvieron datos oficiales con clave de identificación individual de consumo facturado por hogar. Con esta información se calculó el consumo promedio mensual y el precio marginal promedio. La estrategia para obtener la información de corte transversal fue analizar la distribución del consumo de agua de los hogares al interior de los 11 rangos de consumo, con el fin de estimar el tamaño óptimo de muestra de acuerdo con el estimador de consumo. El análisis de la distribución arrojó que 93.96% de los hogares que contaba con micromedición se concentró en los tres primeros bloques, donde 27 568 ubicaron su consumo en el rango de 0 a17 m³ mensuales; 9 515 en el rango de más de 17 a 24 m³ mensuales y 5 485 en el rango de más de 24 hasta 35 m³. El tamaño óptimo de la muestra se obtuvo mediante el método aleatorio estratificado con fijación proporcional con un error de 4%, así como un nivel de confianza de 95%, el cual dio como resultado un tamaño de muestra de 594 hogares, ajustándola a 600. En el cuadro 1 se muestra la descripción y estadística descriptiva de las variables obtenidas a partir de la encuesta.
Debido a que 93% de los hogares con micro-medición ubicaron su nivel de consumo hasta el bloque de 35 m³, la estrategia econométrica se limitó a trabajar con los datos de los hogares con micromedición que consumieron hasta 50 metros cúbicos durante el periodo de 2003 a 2008, ya que éstos representan más de 95% y ello evita problemas de inferencia estadística al eliminar datos de consumo atípicos. La base de datos de series de tiempo consta de variables con frecuencia mensuales de 2003 al año 2008, a saber: a) consumo agregado de hogares con micro-medición (miles de metros cúbicos expresados en logaritmos); b) el precio marginal promedio por metro cúbico; c) temperatura máxima promedio, y d) ingreso virtual, las cuales se expresan en logaritmos y se pueden apreciar en la figura 4.
Las variables económicas fueron deflactadas utilizando el Índice Nacional de Precios al Consumidor (INPC), obtenido del Banco de México (BM), base 2002=100. En cuanto al ingreso, se utilizó el Salario Medio de Cotización Mensual (SMCIMSS) ponderado con la población asalariada de trabajadores permanentes registrados en el Instituto Mexicano del Seguro Social en Baja California Sur; éste fue obtenido de la Comisión Nacional de Salarios Mínimos (CONASAMI). Dicha variable se incluye como un indicador del ingreso familiar en la entidad debido a que tiene la ventaja de encontrarse con frecuencia mensual, además de ser ya utilizada previamente en trabajos empíricos en México como proxy del ingreso de las familias (Islas & Moreno, 2011). La temperatura corresponde a la temperatura promedio mensual de la ciudad de La Paz, obtenida del Sistema Meteorológico Nacional (Conagua, 2010).
Análisis estadístico de series de tiempo
De acuerdo con el antecedente de no estacionariedad en consumo y precios encontrado por Martínez-Espiñeira (2005), se procedió a hacer un análisis del proceso de generación de Información (PGI), mediante la aplicación de las pruebas de Dickey-Fuller Aumentada (DFA) (Dickey & Fuller, 1981), aplicando el procedimiento de lo general a lo específico, incluyendo constante y tendencia, evaluando su significancia estadística; los resultados se aprecian en el cuadro 2.
Con base en los valores de las pruebas de DFA, se rechaza la hipótesis nula de que las series cuentan con raíces unitarias al 5% de significancia estadística, confirmando la estacionariedad en niveles de las mismas, lo cual contribuye con información para la adecuada especificación econométrica.
Marco teórico de estructuras de precios en bloque
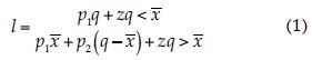
Siguiendo la literatura de estructuras de precios en bloque y restricción presupuestaria segmentada (Hausman, 1985; Moffitt, 1986; Hewitt & Hanemann, 1995; Olmstead, Hanemann, & Stavins, 2005), en industrias suministradoras (agua, energía, gas etc.,), donde las tarifas no lineales son comunes con estructuras de precios crecientes o decrecientes, se describe el marco teórico sobre el que se apoya el presente trabajo empírico. Los precios no lineales son frecuentemente utilizados por las autoridades responsables del suministro de agua urbana y la elección del precio implica tasas constantes hasta cierto nivel de consumo, y tasas crecientes o decrecientes por bloque. Con tasas constantes, los consumidores pagan siempre una cantidad igual por cada unidad consumida. Las tasas crecientes (decrecientes) por bloque implican un cobro mayor (menor) por la última unidad consumida dentro de cada bloque conforme se incrementa el consumo. La función de demanda con tasas de precios en bloque es no lineal e incluye saltos discretos. Para mostrar un caso simple de estructuras no lineales con dos bloques, se consideran los siguientes supuestos: un consumidor con ingreso Y maximiza su función de utilidad cuasi cóncava U(q, z), donde q representa la cantidad de agua expresada en metros cúbicos y z otro bien. El precio de z se normaliza a 1 y el agua es vendida bajo una tarifa de dos bloques que puede ser creciente o decreciente. Considerando a pi, j = 1, 2, el precio del agua en el bloque j-iésimo y
el límite del primer bloque, la restricción presupuestaria es definida por dos segmentos lineales y puede ser descrita por las siguientes condiciones:

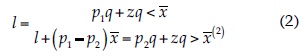
o de manera equivalente:

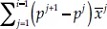
En este sentido, el ingreso virtual se denota como ỹ = y + (p1 p2)
; el término (p1 p2)
es igual al subsidio implícito que el consumidor recibe; esta noción es introducida por Taylor (1975). Posteriormente, Nordin (1976) desarrolla este enfoque mediante la inclusión de la variable diferencia d =
, que indica el diferencial entre el pago si todas las unidades se cobraran al precio marginal del último bloque y el pago actual del consumo. La variable diferencia es positiva bajo tasas de bloques crecientes y negativa bajo decrecientes en bloque. Los efectos de la estructura de precios en bloque se interpretan como un impuesto implícito bajo precios en bloque decreciente y como un subsidio implícito bajo estructuras crecientes en bloque, como se muestra en la figura 5.
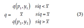
Las tarifas multibloques generan conjuntos presupuestarios que difieren en dos formas de la restricción tradicional, es decir, ésta no es lineal y puede ser convexa o no convexa. Lo anterior implica que a diferencia de un esquema clásico de maximización donde el consumidor tendría que igualar sólo una vez el precio marginal al beneficio marginal, con precios en bloque existe un precio marginal en cada bloque, esto amplía el número de opciones de consumo a 3 en una estructura de dos bloques (como se puede apreciar en la figura 5), es decir, uno al interior de cada bloque y uno más al pliegue entre ellos. Para analizar el comportamiento del consumidor en una estructura en bloques es necesario representar la elección del consumidor, la cual será discreta y continua, lo que lleva a la estimación de la demanda a través de funciones condicionales e incondicionales. La función de demanda es condicional a la elección y está dada por la elección hecha por el consumidor dentro de un bloque particular. La ecuación se expresa algebraicamente de la siguiente manera:

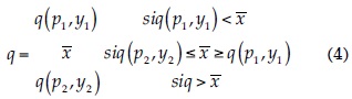
donde (p1, p2) y (ỹ1, ỹ2) representan los precios e ingreso virtual, respectivamente, en el bloque 1 y 2. El modelo de demanda incondicional se obtiene mediante la combinación de la elección discreta y continua:

Las tarifas de precios en bloque, crecientes o decrecientes, plantean dificultades para la modelación empírica debido a la endogeneidad entre precio, consumo.
Modelación econométrica para datos de sección cruzada
Para estimar la demanda de agua se utilizó el método de variables instrumentales (VI). Este método consta de dos partes: en la primera se estima una regresión del precio marginal promedio observado en las características de la estructura de precios en bloque con todas las demás covariables exógenas. En la segunda se utilizan los valores predichos del precio, esto permite que se tome en cuenta la determinación simultánea del precio y la cantidad, o más precisamente el precio y el bloque en el cual se consume, lo cual confronta el problema de endogeneidad con estimadores que corresponden teóricamente a la relación entre el precio y el nivel de consumo. Para estimar la demanda de corto plazo se especificó el modelo siguiente:

tomando logaritmos, se tiene:

donde el signo teóricamente esperado del coeficiente del logaritmo del precio (lnp) es negativo, mientras que la cantidad (lnCm3) y el nivel ingreso (ỹ) deberán estar positivamente relacionados. La matriz contiene las características físicas, así como socioeconómicas descritas en el cuadro 2 y ε, el término estocástico. El instrumento correspondiente a la misma estructura de precios (precios marginales en cantidades variables) de acuerdo con Hewitt y Hanemann (1995), y Cavanagh, Hanemann y Stavins (2001). Una aportación de este trabajo consiste en la incorporación de la variable información de forma dicotómica, la cual indica si el jefe del hogar está informado de la situación de sobreexplotación del acuífero, así como del problema de intrusión de agua de mar. Un aspecto importante es que los coeficientes de lnp y lny no se pueden interpretar de forma directa como elasticidades debido a la restricción presupuestaria no lineal, pues no reflejan la probabilidad de que los hogares cambien de bloques en respuesta a un cambio en el precio o nivel de ingreso debido a que la manera en que reaccionan los hogares ante incrementos en el precio y el nivel de ingreso está condicionada por el bloque de consumo; por lo tanto, la interpretación de los coeficientes se hará como una medida de sensibilidad. La interpretación de los coeficientes de características física de las viviendas y composición de los hogares será como cambio proporcional del consumo de agua ante incrementos unitarios, ya que éstas entran exponencialmente en la función de demanda.
Modelación econométrica para datos de series de tiempo
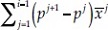
La estimación de la demanda de largo plazo parte de las aportaciones econométricas desarrolladas por Cavanagh et al. (2001). La especificación econométrica es la siguiente:

Donde xt es el consumo agregado; ypt, el precio promedio; el término yt + dt corresponde al ingreso virtual con yt = ingreso, ydt =
y, se incluye el consumo rezagado xt-1, debido a que se espera que los hogares ajusten su nivel de consumo a cambios en el precio marginal por metro cúbico, un periodo posterior al pago del recibo de agua (un mes); zt es la temperatura promedio, y εt es el término error. Es importante señalar que el instrumento en esta estimación de series de tiempo es el mismo que el aplicado en la estimación de corte transversal. Otro aspecto importante consiste en que la ecuación (7) considera sólo elasticidades de corto plazo; para obtener las elasticidades de largo plazo es necesario estimar la siguiente ecuación:

Donde β es el coeficiente del precio y δ es el parámetro autorregresivo. Cabe mencionar que esta elasticidad considera la temporalidad en términos de proceso de ajuste del consumo en el tiempo ante variaciones de los precios, es decir, la significancia estadística de δ; su signo y magnitud revelan la sensibilidad de los hogares en su consumo actual, dado el consumo y precios facturados uno o más periodos previos. Con el fin de obtener estimadores robustos, la estrategia econométrica plantea la aplicación de la prueba de White para detectar heterocedasticidad y la prueba de Durbin-h para detectar correlación serial debido a la inclusión de xt-1.
Resultados
Resultados de modelo de sección cruzada
El cuadro 3 muestra los coeficientes de corto plazo estimados por los métodos de mínimos cuadrados ordinarios (MCO) y de VI.
La mayoría de los estimadores generados por el método de MCO resultaron estadísticamente significativos; de éstos, llama la atención el signo positivo del coeficiente en el precio y su significancia, el cual representa la pendiente de la estructura de precios en bloque en los datos más que la curva de demanda. Ello, derivado del problema de endogeneidad del modelo, mismo que resulta en coeficientes sesgados e inconsistentes. En cuanto a los obtenidos por el método de VI, los resultados confirman que el uso de instrumentales corrige el problema de endogeneidad entre el precio y la cantidad demandada en estructuras de precios en bloques, dando como resultados signos teóricamente esperados a un nivel de significancia estadística de 1%, como lo muestra el coeficiente de lnprecio (np = 0.56), el cual indica que los hogares que se enfrentan a estructuras de precios en bloques reaccionan ajustando su consumo ante incrementos en el precio. Además, se confirma que la demanda de agua de los hogares es inelástica respecto al precio. La variable ingreso no resultó estadísticamente significativa. La interpretación de los coeficientes de características de los hogares requiere de una transformación, pues éstas entran exponencialmente en la función de demanda; la transformación de los coeficientes con antilogaritmos permite su interpretación como cambios proporcionales del consumo de agua ante incrementos unitarios. Realizando tal transformación se encontró que el incremento de un baño más implica un incremento en el consumo de agua de 16% en promedio. Los hogares que tienen dentro de sus hábitos de consumo el almacenamiento de agua consumen alrededor de 1% menos de agua en relación con aquellos que no lo hacen. El efecto del incremento de un miembro en el hogar representa un aumento en el consumo de agua de 6.5%. La antigüedad de la vivienda determina el nivel de consumo, como lo indica la misma, y al cuadrado, pues por cada año que se incrementa ésta, la demanda de agua crece 1.6%, aunque en hogares de mayor antigüedad, el consumo es menor que en aquellos de menor número de años. En cuanto al efecto de la información respecto a la situación de sobre explotación del acuífero, el coeficiente revela que los hogares que tienen conocimiento consumen cerca de 1% menos agua en relación con aquellos que no tienen conocimiento de la situación de sobreexplotación e intrusión de agua marina en el acuífero.
Resultados de modelo de series de tiempo
Los resultados de la estimación de largo plazo se pueden apreciar en el cuadro 4.
En la estimación de series de tiempo, todos los coeficientes resultaron con los signos teóricamente esperados y estadísticamente significativos al 1% de significancia estadística. La elasticidad precio de corto plazo es inelástica e indica que el incremento en el precio marginal tiene como efecto una disminución en la demanda menos que proporcional al incremento en el precio; es decir, al incrementarse 10% el precio, el consumo disminuirá en 5.1% en promedio mensual. El coeficiente del consumo con un rezago indica que los hogares ajustan su consumo un periodo después al pago de la factura de consumo. El coeficiente del ingreso virtual muestra que incrementos en el ingreso y el subsidio implícito tienen como efecto un incremento en la demanda. La variable climática temperatura afecta la demanda, es decir, el incremento de 1% en la temperatura máxima promedio tendrá como efecto el incremento en 0.11% en la demanda de agua mensual.
En cuanto a la elasticidad precio de la demanda de largo plazo, resultó de -0.90, mayor en términos absolutos que la elasticidad de corto plazo -0.51. Este resultado es consistente con la literatura empírica y sugiere que los hogares ajustan su nivel de consumo en el largo plazo ante incrementos permanentes en la estructura de precios. La prueba de correlación serial Durbin-h fue de 0.20, menor al valor de la distribución normal (1.64), por lo cual no es posible rechazar la hipótesis nula de ausencia de correlación serial a 5% de significancia. En cuanto a la prueba de White, no se detectó heterocedasticidad.
Discusión
Los estimadores de elasticidad de corto y largo plazos presentados anteriormente resultaron consistentes entre las estimaciones de sección cruzada y de series de tiempo de -0.56 y -0.51, respectivamente. También lo son con estudios previos en México, en relación con la inelasticidad de la demanda. No obstante, los resultados de este trabajo difieren de otros en la magnitud de la elasticidad, como se puede apreciar al compararlos, a manera de ejemplo, con los reportados por García-Salazar y Mora (2008) para la región de Torreón (-0.2 a -0.18), lo cual significa que, en promedio, un aumento de 100% en el precio por metro cúbico de agua tendría como efecto una disminución en la demanda del 20%. Mientras que en La Paz, el aumento del 100% en el precio tendría una disminución en la demanda del 51%. Este estudio también contribuye a incorporar la variable información en la estimación de corte transversal. Los resultados muestran que los hogares que tienen conocimiento de la situación de sobreexplotación e intrusión de agua marina en el acuífero, consumen menos agua en relación con aquellos hogares que no están informados. Lo anterior resulta significativo en el manejo de la demanda, ya que campañas de información por parte de los OOMSAPAS podrían tener un efecto de consumo más eficiente y con ello disminuir en algún grado la presión de sobreexplotación en acuíferos. Por otra parte, resulta relevante considerar que las elasticidades presentadas en este trabajo, así como en los estudios descritos anteriormente, muestran el comportamiento de la demanda ante variaciones en el precio, pero no indican cuál es la cantidad demandada de agua que no responde a los precios, es decir, aquel nivel de consumo de agua indispensable para subsistir y que por tanto no responde al precio. Es evidente la necesidad de investigaciones futuras en este tema debido a que son indispensable para el diseño de estructuras tarifarias mixtas que consideren un nivel de consumo fijo sin cobro y precios en bloques a partir de cierto nivel de consumo. La implementación de este tipo de estructuras tarifarias consideraría de forma explícita el derecho humano al agua y la equidad.
Conclusión
Este estudio es el primero en estimar la elasticidad precio de largo plazo de la demanda de agua residencial en México mediante series cronológicas de datos. Los resultados obtenidos son consistentes con la literatura de funciones de demanda de precios en bloques y contribuyen al estudio del impacto de las políticas de precios sobre el consumo de los hogares en países en desarrollo con restricciones en la oferta de agua, causada por las características geológicas de embalses, así como climáticas. Los resultados encontrados revelan la importancia de las estructuras de precios e incrementos permanentes en las tarifas para el adecuado manejo de la demanda de agua, que logre el uso eficiente del recurso. Las elasticidades de la demanda de largo y corto plazos resultaron mayores al promedio de la literatura empírica nacional, lo cual indica que la magnitud del ajuste del consumo de agua ante incrementos sostenidos en los precios es mayor en hogares de la ciudad de La Paz que en otras regiones de México, mientras que incrementos en la temperatura y el ingreso tienen como efecto amentos en la demanda de agua mensual. Estos resultados tienen implicaciones relacionadas con la política de uso y manejo del recurso agua en regiones semiáridas con restricciones del servicio hidrológico de provisión, así como posibles alteraciones en el ciclo hidrológico (sobreexplotación e intrusión de agua de mar en zonas costeras).
Los planes de manejo de los recursos hídricos en regiones con restricción en la oferta deben considerar la aplicación de instrumentos basados en precios para el manejo de la demanda de agua urbana, pues los hogares ajustan su nivel de consumo de agua ante incrementos sostenidos en la estructura de precios en bloque, para lograr el uso eficiente del recurso. Los resultados de las estimaciones de la elasticidad precio de corto plazo en el modelo de sección cruzada y de series de tiempo resultaron de -0.56 y -0.51, respectivamente, mientras que la elasticidad precio de largo plazo resultó -0.90, lo cual revela la consistencia de los estimadores; además es importante mencionar que ambas estimaciones se realizaron con datos reales de consumo y precio otorgados por el organismo operador. En este sentido, el estudio cumple con el objetivo planteado y logra corroborar la hipótesis planteada de que partiendo de medición, el adecuado diseño de estructuras tarifarias de precios en bloque contribuye en el manejo de la demanda de agua residencial, ya que logra el uso eficiente del recurso mediante la disminución del consumo ante incrementos permanentes del precio en la estructura tarifaria en el tiempo.
Agradecimientos
Los autores agradecen al Organismo Operador Municipal del Sistema de Agua Potable, Alcantarillado y Saneamiento de La Paz (OOMSAPAS) por haber proporcionado los datos de consumo y precios mediante "clave individual", sin los cuales este trabajo no se hubiera podido llevar a cabo. Asimismo, se agradecen los valiosos comentarios de los dictaminadores anónimos.
Referencias
Banxico (2010). Banco de México. Estadísticas de inflación. Recuperado de http://www.banxico.org.mx/politicamonetaria-e-inflacion/estadisticas/inflacion/indicesprecios.html. [ Links ]
Bartoszczuk, P., & Nakamori, Y. (2004). Modelling Sustainable Water Prices. Handbook of Sustainable Development Planning: Studies in Modelling and Decision Support. En M. Quaddus & A. Siddique (Eds.). Cheltenham: Edward Elgar. Recuperado de http://www.jaist.ac.jp/~bpawel/ BARTOSpopr8niew.pdf. [ Links ]
Billings, R., & Agthe, D. (1980). Price Elasticities for Water: A Case of Increasing Block Rates. Land Economics, 56, 73-84. [ Links ]
Cavanagh, S. M., Hanemann, W. M., & Stavins, R. N. (2001). Muffled Price Signals: Household Water Demand Under Increasing-Block Price. Recuperado de http://www.hks.harvard.edu/fs/rstavins/Papers/Cavanagh_Hanemann_Stavins_ASSA_Paper.pdf. [ Links ]
Cibnor (2011). Mapa de la Cuenca de La Paz, B.C.S., México. Unidad de Laboratorios de Servicios y Apoyo (ULSA) del Centro de Investigaciones Biológicas del Noroeste. OJO AUTOR, FALTA CIUDAD DE EDICIÓN [ Links ]
Conagua (2008). Estadísticas del agua en México. México , DF: Comisión Nacional de Agua. [ Links ]
Conagua (2010). Temperatura por entidad federativa. México, DF: Servicio Meteorológico Nacional,. Recuperado de http://smn.cna.gob.mx/climatologia/temperaturas/tmaximas.html. [ Links ]
Cruz-Falcón, A. (2007). Caracterización y diagnóstico del acuífero de La Paz, B.C.S., mediante estudios geofísicos y geohidrológicos. La Paz, México: Instituto Politécnico Nacional-Centro Interdisciplinario de Ciencias Marinas. [ Links ]
Dalhuisen, J., Florax, R., De Groot, H., & Nijkamp, P. (2003). Price and Income Elasticities of Residential Waterdemand: A Meta-Analysis. Land Economics, 79, 292-308. [ Links ]
Dickey, D. A., & Fuller, W. A. (1981). Likelihood Ratio Statistics for Autoregressive Time Series with a Unit Root. Econométrica, 49, 1057-1072. [ Links ]
Elnaboulsi, J. C. (1999). A Model for Constrained Peak-Load Water and Wastewater Pricing and Capacity Planning Can. Water Resources Journal, 24(2), 87-96. [ Links ]
García-Salazar, J. A., & Mora, J. S. (2008). Tarifas y consumo de agua en el sector residencial de la Comarca Lagunera. Región y Sociedad, 40, 119-132. [ Links ]
Hausman, J. (1985). The Econometrics of Non-Linear Budget Sets. Econometrica, 53, 1255-1282. [ Links ]
Hewitt, J. A., & Hanemann, W. M. (1995). A Discrete/ Continuous Choice Approach to Residential Water Demand under Block Rate Pricing. Land Economics, 71, 173-192. [ Links ]
Howe, C. W., & Linaweaver, F. P. (1967). The Impact of Price on Residential Water Demand and its Relation to System Demand and Price Structure. Water Resources Research, 3, 13-32. [ Links ]
Islas, C. A., & Moreno, G. (2011). Determinantes del flujo de remesas en México, un análisis empírico. EconoQuantum, 7, 9-36. [ Links ]
Jaramillo, L. A. (2005). Evaluación econométrica de la demanda de agua de uso residencial en México. El Trimestre Económico, 286, 267-390. [ Links ]
Klawitter, S. A (2003). Methodical Approach for Multi Criteria Sustainability Assessment of Water Pricing in Urban Areas. Paper presented at the 2003 Berlin Conference on the Human Dimensions of Global Environmental Change. Recuperado de http://www.fu-berlin.de/. [ Links ]
Martínez-Espiñeira, R. (2005). An Estimation of Residential Water Demand Using Co-Integration and Error Correction Techniques. Munich Personal RePEc Archive. Recuperado de http://mpra.ub.uni-muenchen.de/615/. [ Links ]
Moffitt, R. (1986). The Econometrics of Piecewise-Linear Budget Constraints. Journal of Business and Economic Statistics, 4, 317-328. [ Links ]
Nordin, J. A. (1976). A Proposed Modification on Taylor’s Demand-Supply Analysis: Comment. The Bell Journal of Economics, 7, 719-721. [ Links ]
Olmstead, S. M., Hanemann, M. W., & Stavins, R. N. (2005). Do Consumers React to the Shape of Supply? Water Demand under Heterogeneous Price Structures Resources for the Future. Recuperado de: http://www.rff.org. [ Links ]
OOMSAPAS (2009). Base de datos internos sobre facturación por clave de usuario. Proporcionados por la dirección general del H. XII Ayuntamiento de La Paz, Baja California Sur. Organismo Operador Municipal del Sistema de Agua Potable y Alcantarillado de La Paz, B.C.S. México. [ Links ]
Renzetti, S. (1992). Evaluating the Welfare Effects of Reforming Municipal Water Prices. Journal of Environmental Economics and Management, 22, 147-163. [ Links ]
Ruijs, A. (2009). Welfare and Distribution Effects of Water Pricing Policies. Environment Resources Economics, 43, 161-182. [ Links ]
Salazar, A., & Pineda, N. (2010). Factores que afectan la demanda de agua para uso doméstico en México. Región y Sociedad, 49, 3-16. [ Links ]
Sisto, N. (2010). Manejo sustentable del uso de agua y crecimiento urbano. Ensayos Revista de Economía, 1, 23-38. [ Links ]
Soto, G., & Bateman, I. (2006). Scope Sensitivity in Households’ Willingness to Pay for Maintained and Improved Water Supplies in a Developing World Urbana Area: Investigating the Influence of Baseline Supply Quality and Income Distribution Upon Stated Preferences in México City. Water Resources Research, 42, 1-15. [ Links ]
Taylor, D. (1975). The Demand for Electricity: A Survey. The Bell Journal of Economics, 6, 74-110. [ Links ]
Yepes, G., & Dianderas, A. (1996). Water & Wastewater Utilities. Washington, DC: World Bank. [ Links ]













