SciELO - Scientific Electronic Library Online

 
vol.4 número2Fraccionamiento de DQO del agua residual de Toluca por el protocolo STOWACaracterización de las sequías hidrológicas del río Salado, Oaxaca, México índice de autoresíndice de materiabúsqueda de artículos
Home Pagelista alfabética de revistas  

Servicios Personalizados

Revista

Articulo

Indicadores

Links relacionados

  • No hay artículos similaresSimilares en SciELO

Compartir


Tecnología y ciencias del agua

versión On-line ISSN 2007-2422

Tecnol. cienc. agua vol.4 no.2 Jiutepec abr./jun. 2013

 

Artículos técnicos

 

Comparación de modelos para estimar la presión real de vapor de agua

 

Comparison Models for calculating actual vapor pressure

 

Rocío Cervantes-Osornio
Instituto Nacional de Investigaciones Forestales, Agrícolas y Pecuarias, México.

 

Ramón Arteaga-Ramírez*, Mario Alberto Vázquez-Peña
Universidad Autónoma Chapingo, México.
*Autor de correspondencia.

 

Waldo Ojeda-Bustamante
Instituto Mexicano de Tecnología del Agua.

 

Abel Quevedo-Nolasco
Colegio de Postgraduados, México.

 

Dirección institucional de los autores:
Dra. Rocío Cervantes-Osornio.

Instituto Nacional de Investigaciones Forestales,
Agrícolas y Pecuarias
Campo Experimental Valle de México
Km 18.5 Carretera México-Lechería
56230 Chapingo, Estado de México, México
A.P. 10
Teléfono: +52 (595) 9557 625
rcervanteso@hotmail.com.

Dr. Ramón Arteaga-Ramírez.
Dr. Mario Alberto Vázquez-Peña.
Universidad Autónoma Chapingo
Km. 38.5 Carretera México-Texcoco
56230 Chapingo, Estado de México, México
Teléfono: +52 (595) 9521 500
rarteagar@taurus.chapingo.mx.
mvazquezp@correo.chapingo.mx.

Dr. Waldo Ojeda-Bustamante.
Instituto Mexicano de Tecnología del Agua
Paseo Cuauhnáhuac 8532, Colonia Progreso
62550 Jiutepec, Morelos, México
Teléfono: +52 (777) 3293 600, extensión 445
wojeda@tlaloc.imta.mx.

Dr. Abel Quevedo-Nolasco.
Colegio de Posgraduados
Campus Montecillo
Km 36.5 carretera México-Texcoco
56230 Montecillo, Texcoco, Estado de México, México
Teléfono: +52 (595) 9520 200 extensión 1383
anolasco@colpos.mx.

 

Recibido: 09/11/10
Aceptado: 27/08/12

 

Resumen

La presión real de vapor de agua es una variable básica para estimar la evapotranspiración de los cultivos, uno de los componentes del ciclo hidrológico; sin embargo es difícil y cara de medir de forma directa, por lo que se recurre en la práctica a estimaciones basadas en la temperatura y relaciones sicrométricas. El objetivo del presente trabajo fue realizar una comparación de diferentes métodos convencionales para el cálculo de la presión real de vapor y compararlos con las estimaciones realizadas con dos tipos de redes neuronales artificiales: feedforward backpropagation y radial basis function. Se usaron datos meteorológicos de cuatro estaciones del Distrito 075, localizadas en el Valle del Fuerte, al norte del estado de Sinaloa, México. Los resultados indican que la red neuronal artificial tipo radial basis function (escenario E4) mostró ser el mejor método en la estimación de la presión actual de vapor de agua.

Palabras clave: humedad atmosférica, déficit de presión de vapor, redes neuronales artificiales.

 

Abstract

Although real vapor pressure is a fundamental variable in the calculation of the evapotranspiration of crops, a component of the hydrological cycle, it is difficult and costly to measure directly. Consequently, in practice calculations are based on temperature data and psychometric relationships. The objective of the present work was to compare different conventional methods used to calculate real vapor pressure with calculations performed using two types of artificial neural networks–feedforward backpropagation and radial basis function. Meteorological data were used from four weather stations in Irrigation District 075, located in Valle del Fuerte, in northern Sinaloa State, Mexico. The results indicate that the radial basis function type of artificial neural network (Scenario E4) was the best method to calculate real vapor pressure.

Keywords: atmospheric humidity, vapor pressure deficit, artificial neural network.

 

Introducción

La presión real de vapor de agua es un elemento importante en la existencia de la humedad circundante en la atmósfera. Determinar el déficit de presión de vapor resulta necesario para el cálculo de la evapotranspiración (Allen et al., 1998), variable relacionada con los requerimientos de agua de los cultivos (Jensen et al., 1990), y que influye finalmente en la lámina de riego durante la programación de riegos de los cultivos; de igual manera, la presión real de vapor de agua representa un elemento básico como variable en la modelación de crecimiento de cultivos y, como lo indica Baker (2005), no existen muchos métodos directos para medir la presión o densidad de vapor. La presión de vapor sólo puede ser medida de forma directa por medios ópticos, que son caros para la mayoría de las aplicaciones agrícolas; en consecuencia, su estimación práctica se realiza a partir de la temperatura y de relaciones sicrométricas. Se han propuesto diversos modelos para estimar la presión real de vapor, como los expuestos por Allen et al. (1998), que plantean el uso de la temperatura de punto de rocío; para su cálculo también se han propuesto diversos métodos, como la ecuación de Murray (Howell y Dusek, 1995) o la que proponen Linsley et al. (1998). Para la propia presión de vapor actual, Allen et al. (1998) presentan una ecuación que requiere la temperatura mínima y la humedad relativa máxima. Sadler y Evans (1989) demostraron con 15 métodos diferentes de cálculo del déficit de presión de vapor, que el error varió de un 80% en subestimación al 100% en la sobreestimación de la evapotranspiración, comparados con el mejor método para estimar el déficit de presión de vapor de agua.

Las redes neuronales artificiales (RNA) son un modelo que aprende por medio del entrenamiento y captura relaciones funcionales entre los datos, incluso si las relaciones subyacentes no son conocidas o difíciles de describir, y es en este sentido que las RNA pueden ser tratadas como un método estadístico multivariado no lineal y no paramétrico (Zhang et al., 1998). Estas características representan ventajas que colocan a las RNA como un excelente método para predecir y/o estimar variables meteorológicas.

Los autores no encontraron investigaciones para estimar la presión de vapor real de agua usando redes neuronales artificiales (RNA), pero se han realizado diversos trabajos para estimar el déficit de presión de vapor, la humedad relativa y la temperatura de punto de rocío con RNA (Mittal y Zhang, 2003; Shank et al., 2008a,b). Bialobrzewski (2008) estima la humedad relativa en el aire entrenando una RNA feedforward multicapa con retraso en el tiempo, con el algoritmo backpropagation para estimar 16 datos en intervalos de tres horas, es decir, una predicción de la humedad relativa en las próximas 48 horas. He et al. (2007), por su lado, predicen por medio de una red neuronal la humedad relativa y la temperatura del aire en un invernadero. Shank et al. (2008a,b) estimaron la temperatura de punto de rocío, paso previo en el cálculo de la presión real de vapor de agua, por medio de una RNA tipo backpropagation de forma horaria.

El objetivo de la presente investigación fue llevar a cabo una comparación de la presión real de vapor de agua estimada con los métodos convencionales de Linsley, Murray y Bosen contra las estimaciones realizadas con un modelo de red neuronal artificial multicapa tipo feedforward backpropagation y otro radial basis function, y la validación de estos modelos.

 

Marco teórico de la RNA multicapa feedforward backpropagation

Las redes neuronales artificiales, de manera reciente han probado ser excelentes herramientas para aproximar sistemas no lineales. El algoritmo usado en el modelo feedforward multicapa de red neuronal artificial fue el backpropagation. Este algoritmo empieza con la inicialización, la presentación de ejemplos para el entrenamiento y para cada ejemplo se ejecutan los dos pasos siguientes de acuerdo con Haykin (1994):

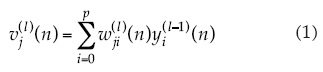
Paso 1. El cálculo hacia delante. Sea un ejemplo de entrenamiento en la época denotado por [x(n), d(n)], con el vector de entradas x(n) aplicado a los nodos de la capa de entradas y el vector de respuestas deseado d(n) presentado al nodo de la capa de salida. El nivel de actividad interno de la red vj(l)(n) para la neurona j en la capa l es:

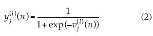
donde yi(l-1)(n) es la función señal de la neurona i en la capa previa l – 1 en la iteración n; wji(l)(n) es el peso sináptico de la neurona j en la capa l, que es alimentada de la neurona i en la capa l – 1. Para i = 0, se tiene yi(l-1) (n) = –1 y wj0(l)(n) = θj(l), donde θj(l)(n) es un umbral aplicado para la neurona j en la capa l. Asumiendo el uso de la función logística para la no linealidad sigmoidea, la función señal (de salida) de la neurona j en la capa l es:

Si la neurona j está en la primera capa escondida (esto es, l = 1), se tiene:

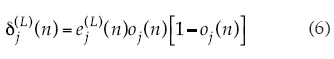
donde xj(n) es el j-ésimo elemento del vector de entrada x(n ). Si la neurona j está en la capa de salida (l = L), se tiene:

de aquí, se calcula el error de la señal:

donde dj(n) es el j-ésimo elemento del vector de respuestas deseado d(n).

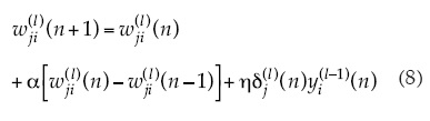
Paso 2. Cálculo hacia atrás. Calcula los δ's (gradientes locales) de la red por el procedimiento hacia atrás, capa por capa:

para la neurona j en la salida de la capa L:

para la neurona j en la salida de la capa l.

De aquí se ajustan los pesos sinápticos de la neurona en la capa l de acuerdo con la regla delta generalizada:

donde η es el parámetro tasa de aprendizaje y a es la constante de momento; y el último componente del algoritmo backpropagation es la iteración donde se presenta nuevas épocas de ejemplos de entrenamiento a la red hasta que los parámetros libres de la red estabilicen sus valores y el error medio cuadrado (ξav) calculado sobre el conjunto entero de entrenamiento tenga un valor mínimo o pequeño aceptable (Haykin, 1994).

Marco teórico de la red neuronal artificial multicapa radial basis function (RBF)

Una alternativa viable a la alta no linealidad en los parámetros de la red neuronal es la red radial basis function (RBF), que puede ser considerada como un caso especial de una red de dos capas, la cual es lineal en los parámetros debido al fijamiento de todos los centros RBF y no linealidades en la capa oculta. De esta forma, la capa oculta ejecuta una transformación no lineal fija con parámetros no ajustables y mapeo al espacio de entradas en un nuevo espacio. La capa de salida entonces implementa una combinación lineal sobre este nuevo espacio y los únicos parámetros ajustables son los pesos de esta combinación lineal. Estos parámetros pueden, por lo tanto, ser determinados usando el método lineal de mínimos cuadrados. En la práctica, los centros de la RNA RBF son elegidos con frecuencia como un subconjunto de los datos. La mayoría de los trabajos publicados simplemente asumen que los centros se seleccionan de manera arbitraria a partir de los datos (Chen et al., 1991).

 

Materiales y métodos

Área de estudio y obtención de datos

Se utilizaron datos meteorológicos de humedad relativa (%), temperaturas máximas y mínimas (°C), obtenidos de la base datos de la red agroclimática automatizada del Valle del Fuerte, localizada en el Distrito de Riego 075, ubicada en la vecindad de la ciudad de Los Mochis, Sinaloa. Tales datos fueron de cuatro estaciones meteorológicas (figura 1): 3843 II-2 Ruiz Cortines, 3546 II-3 Batequis, 3765 III-1 AC Santa Rosa 1 y 9610 III-1 AC Santa Rosa 2, cuyas coordenadas geográficas de latitud, longitud y altitud (msnm) son, respectivamente: 25° 39' 15", 108° 45' 20", 31; 25° 45' 49", 108° 48' 41", 32; 25° 45' 03", 108° 57' 21", 40; y 25° 51' 16", 108° 52' 03", 61. Estos datos se preprocesaron todos los días. Comprendieron del periodo de abril de 1997 a mayo de 2001, generando vectores de 1 484 datos diarios, los cuales se utilizaron para el ajuste de los modelos convencionales, y para el entrenamiento, validación y prueba de las RNA. Otro conjunto de datos del periodo de junio a diciembre de 2001 (229 días) se utilizó para realizar, con los diferentes modelos, una predicción (validación) de la presión real de vapor de agua. Los datos se preprocesaron en hojas de cálculo de Excel de Microsoft Office 2007 y el software usado para el entrenamiento de las RNA fue el Matlab 7.0 (Demuth et al., 2008), con sus utilerías (toolbox) para redes neuronales.

Implementación de la redes neuronales artificiales feedforward backpropagation y radial basis function

En el entrenamiento de la RNA feedforward backpropagation se consideraron diferentes conjuntos de variables de entrada con una sola capa oculta y una sola neurona en la capa de salida; se utilizó el algoritmo de entrenamiento Levenberg-Marquardt, y la función de transferencia tangente-sigmoidea (tansig) en la capa oculta y en la capa de salida; todos los entrenamientos convergieron en menos de cien épocas. Los datos usados (1 484) se ocuparon de la siguiente manera: la mitad para el entrenamiento, una cuarta parte para la validación y la otra cuarta parte para la prueba de la red neuronal artificial. Como parte de la propia arquitectura de la red, se consideraron combinaciones de las variables de entrada, de la temperatura máxima, temperatura mínima, humedad relativa máxima y humedad relativa mínima, con cuatro neuronas en la capa oculta y como salida, la presión real o actual de vapor de agua; previo a los entrenamientos se escalaron las entradas y salida a un rango de [-1, 1].

En la RNA radial basis function, el extendido o spread elegido fue de cien en todos los entrenamientos; el código en matlab para esta función es "net = newrbe (P, T, spread)" donde se crean tantas neuronas radbas como vectores de entradas existen, y donde P son los vectores de entrada y T es el target o vector de salida.

Modelos convencionales

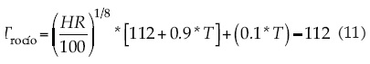
Uno de los modelos utilizados para estimar la temperatura del punto de rocío es con la expresión de Murray (1967), expresada como:

Donde Trocío es la temperatura del punto de rocío (°C); T, temperatura media (°C); HR, humedad relativa media (%).

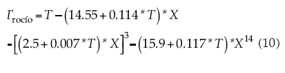
Otra forma alterna de estimar la temperatura del punto de rocío está dada por la expresión mencionada por Linsley et al. (1998), y es:

Donde:

Otra ecuación para estimar la temperatura de punto de rocío está dada por la expresión de Bosen (1958):

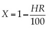
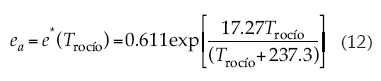
el valor Trocío, calculado con las expresiones (9), (10) y (11), se sustituye en la ecuación siguiente para estimar la presión real de vapor (ea, kPa) (Allen et al., 1998):

Allen et al. (1998) indican que cuando no se tiene el valor de Trocío se puede utilizar la Tmín (°C), ya que la relación TrocíoTmín se mantiene para localidades en donde un cultivo bien regado cubre el suelo de la estación. Sin embargo, como mencionan Allen et al. (1998), en regiones áridas, donde el aire no está saturado cuando se presenta la temperatura mínima, es posible que Tmín pueda ser mayor que Trocío, y se requiera una calibración local para estimar la temperatura del punto de rocío. En estas situaciones, el valor de Trocío en la ecuación (12) puede sustituirse por Tmín o aproximarse restándole de 2 a 3 °C. Se realizaron las estimaciones de la presión real de vapor de agua (ea) de acuerdo con este procedimiento.

Modelos utilizados en la estimación de la presión real de vapor de agua

Se estimó la presión real de vapor por diferentes métodos, cada método fue un modelo. Para el modelo 1 se consideraron los entrenamientos por medio de la red neuronal artificial (RNA) multicapa feedforward backpropagation, y para el modelo 2, la RNA radial basis function con la metodología teórica propia indicada para redes neuronales artificiales (Park y Sandberg, 1991; Chen et al., 1991).

Con la ecuación (12) se estimó la presión real de vapor para los modelos del 3 al 8 (convencionales), lo único que cambia es el valor que se sustituye en lugar de la temperatura rocío. Los modelos 3, 4 y 5 utilizan: Tmín - 2, Tmín - 3 y Tmín, respectivamente. Los modelos 6, 7 y 8 calculan primero la Trocío con las ecuaciones de: Murray (ecuación (9)), Linsley (ecuación (10)) y Bosen (ecuación (11)), respectivamente y se utilizan en la ecuación (12).

Datos observados

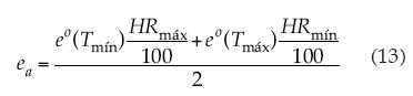
Según Allen et al. (1998), la presión real de vapor (ea) se puede estimar de la humedad relativa con la ecuación siguiente:

donde e° (Tmín) y e° (Tmáx) son la presión de vapor a saturación (kPa), en función de la temperatura mínima (Tmín) y temperatura máxima (Tmáx). La ecuación (13) es la expresión que de acuerdo con Allen et al. (1998) es la que mejor se aproxima al valor medido u observado de la presión real de vapor de agua; como se careció de datos directos de la presión real de vapor, se asumieron como medidos los calculados por la ecuación (13) y contra estos datos se compararon los datos de presión real de vapor de agua estimados por los demás modelos.

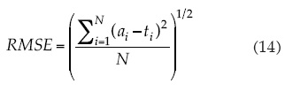
Índices de evaluación estadística de ajuste de los modelos

Se obtuvieron los siguientes índices estadísticos de prueba para los diferentes modelos: el error estándar promedio o raíz cuadrada del cuadrado medio del error (RMSE), calculándose con la siguiente ecuación:

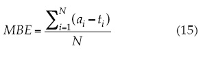
el error medio (MBE), llamado también sesgo o desviación, calculado con el fin de caracterizar la bondad de cada uno de los modelos, dado por la ecuación siguiente:

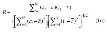
el coeficiente de correlación, R, dado por:

donde el coeficiente de determinación está dado por R2; a es el dato estimado por el modelo; t, el dato que se asume como medido; N, el número de observaciones o estimaciones; a, el promedio de los datos estimados por el modelo; t, el promedio de los datos del modelo que se asumen como medidos (Cai et al., 2007; Pereira, 2004).

 

Resultados y discusión

Al analizar las figuras 2, 3, 4 y 5, se observa que los datos estimados con el modelo 1, al compararlos con los datos observados, están alrededor de la recta 1:1 en las cuatro estaciones. El ajuste del modelo 2 presenta una relación 1:1 en todas las estaciones. El modelo 3 (Tmín - 2) y el 4 (Tmín - 3) subestiman los valores observados en Ruiz Cortines y Santa Rosa 1; en las otras dos estaciones, los puntos se distribuyen mejor alrededor de la recta a 45°, pero se comporta mejor el modelo 3. El Modelo 5 (Tmín) presenta una mejor dispersión de sus puntos en las estaciones Ruiz Cortines y Santa Rosa 1, y en las otras dos se observa una sobreestimación entre los valores de tres a cuatro (kPa). Los modelos 6, 7 y 8, que utilizan temperatura del punto de rocío, presentan una sobreestimación en todas las estaciones (está más acentuada en la estación Santa Rosa 2), aunque sus puntos son menos dispersos, comparados con los modelos 3, 4 y 5.

A partir de este análisis previo se obtuvieron los estadísticos de prueba: raíz cuadrada del cuadrado medio del error (RMSE), el error medio sesgado (MBE), así como el coeficiente de determinación (R2), la pendiente (m) y el intercepto (b) de la relación entre los datos observados y los estimados de la presión real de vapor para las diferentes estaciones para los modelos 1, 2, 3, 5, 6, 7 y 8, y debido a que el desempeño del modelo 4 es mucho menor que los modelos 3 y 5 en cuanto a la estimación de la presión de vapor real de agua, se omiten los estadísticos de prueba para dicho modelo.

En los cuadros 1 y 2 se presentan los parámetros (m y b) de los modelos 1 y 2, así como los estadísticos de su ajuste en cuatro escenarios o casos E1, E2, E3 y E4, respectivamente; en ambos casos se observa que el ajuste de los cuatro escenarios es bueno y mejora conforme aumenta el número de las variables de entrada (la diferencia entre casos depende del número de variables meteorológicas usadas). En el cuadro 1, la nomenclatura del escenario E4 {Tmín, Tmáx, HRmín, HRmáx} (4 x 4 x 1) significa que se utilizaron las variables indicadas dentro de las llaves (temperatura mínima, máxima, humedad relativa mínima y máxima), que son cuatro variables de entradas, cuatro neuronas en la capa oculta y una salida, y es en este escenario E4, en donde se presenta un ajuste muy bueno, como se había observado en las figuras 2 a 5.

Al comparar los estadísticos, R2 y RMSE del cuadro 1 versus el cuadro 2, se tiene que: en el E1, el modelo 1 es ligeramente superior en las tres primeras estaciones por milésimas. De igual manera, los escenarios E2 y E3 del modelo 1 son ligeramente mejores que los del modelo 2 y en el último escenario (E4), fue el modelo 2 el que presentó mejor ajuste estadístico. En el cuadro 3 se observa que los modelos 3 y 5 tienen similares valores de R2; los modelos 6, 7 y 8 presentan R2 muy cercanos, y estos últimos tienen valores de R2 más altos (en unas centésimas) que los modelos 3 y 5.

Comparando los RMSE del modelo 3 (Tmín - 2) contra los modelos del 5 al 8, el modelo 3 es mejor (por unas centésimas) en todos los casos en Batequis y Santa Rosa 2; además, al contrastar el modelo 7 con los modelos 5, 6 y 8, estos últimos resultan ser mejores en las cuatro estaciones analizadas. Generalizando, de los modelos convencionales, el mejor modelo es el 5, al considerar los estadísticos de ajuste; le seguirían los modelos 3, 6 y 8, y por último el modelo 7, pero en la práctica todos ofrecen una buena alternativa y su selección está en función de la información disponible, ya que las variaciones que presentan en sus RMSE entre ellos son mínimas.

Se puede decir que los estadísticos RMSE y MBE de los dos modelos de RNA tienden a estar más cerca de cero que los RMSE y los MBE de los modelos convencionales; en particular, el modelo 5 de los convencionales muestra ser también un buen modelo de ajuste de la presión real de vapor. Sin embargo, las R2 para modelos convencionales y modelos de RNA mostraron tener valores más o menos similares para todos los modelos, excepto para los modelos de RNA feedforward backpropagation y radial basis function con el mayor número de variables de entrada, que obtuvieron las R2 más altas.

Validación de los modelos

En las figuras de la 6 a la 8 se observa que las diferencias entre los valores estimados con el modelo 1 E4 y los observados en los 229 días están alrededor del valor cero (figura 6). El que presenta las diferencias más grandes es el modelo 3 (figura 7); el modelo 5 (figura 8) presenta una condición intermedia con respecto a los dos anteriores.

Al observar los RMSE y MBE del cuadro 4, se define que el modelo 2, en la mayoría de los escenarios y estaciones, es mejor que el modelo 1, son la excepción E2 en la estación Batequis y el E1 en la estación Santa Rosa 2. Pero por las diferencias tan pequeñas que se presentan (décimas o milésimas) entre los dos modelos en todos los escenarios tanto en el ajuste como en la validación, se pueden utilizar de manera indistinta.

De los modelos restantes, el modelo 3 es el que mayor error presentó en la validación, y el que tiene el menor es el modelo 5, que mostró consistencia para los dos conjuntos de datos usados (ajuste y validación); le siguen los modelos 6, 7 y 8 y estos fueron mejores en Santa Rosa 1.

El modelo 2 E4, en el ajuste y en la validación, fue el que mejor ajustó a los datos observados; sin embargo, los entrenamientos que contaron con una sola variable de entrada también presentaron un buen ajuste de los datos observados, lo cual indica simplicidad y mayor interés práctico. No hay que descartar los modelos empíricos convencionales, como el modelo 5, ya que los valores RMSE son menores que los de los modelos 1 y 2 en sus escenarios E1 y E2. Fue la excepción la estación Santa Rosa 1, en este último escenario (E2) en ambos modelos (1 y 2). Además, el conocimiento de dichos modelos en sus variables describe al fenómeno en cuestión físicamente, y se refleja en los parámetros que integran a la ecuación, esto sirve de apoyo para conocer las variables de entrada en el entrenamiento de las RNA para estimar la presión real de vapor de agua. En el ajuste, el modelo 3 aproximó muy bien a los datos observados de las estaciones Batequis y Santa Rosa 2, pero en la etapa de validación presentó los valores más grandes de RMSE y MBE en las cuatro estaciones.

En el ajuste, el modelo 3 fue mejor que el modelo 5 en Batequis y Santa Rosa 2 debido a que el promedio de la humedad relativa para el total de datos que se utilizaron (1 484) en cada estación fue de 66.4 y 65.7%, respectivamente. En las otras dos estaciones (Ruiz Cortines y Santa Rosa 1) donde fue mejor el modelo 5, la humedad relativa fue de 70.3 y 70%. En la validación, el modelo 5 fue mejor que el 3 en todas las estaciones, ya que la humedad relativa de 229 datos que se utilizaron en Ruiz Cortines, Batequis, Santa Rosa 1 y Santa Rosa 2 fueron de 74.2, 70.4, 74.7 y 71.7%, respectivamente. Doorenbos y Pruitt (1980) indican que una región con humedad relativa promedio igual o mayor al 70% se clasifica como una zona con humedad alta; en el proceso de ajuste, dos estaciones cumplen con esta condición y en la validación, las cuatro. Por tal motivo, el modelo 5 fue mejor, lo que concuerda con lo encontrado por Allen et al. (1998) y Cai et al. (2007), que en zonas húmedas o en localidades donde el cultivo está bien regado, la TmínTrocío.

Con base en los resultados obtenidos, los modelos 1 y 2, en sus escenarios E3 y E4, se pueden utilizar en trabajos de investigación con modelos de simulación de cultivos para pronóstico de la evapotranspiración en tiempo real en sistemas de riego de alta frecuencia. Los otros escenarios de los modelos 1 y 2, el modelo 5 y los modelos 6, 7 y 8, se sugiere se utilicen en la planeación y operación del riego de cultivos donde se requiera cada tercer día o una vez a la semana. El modelo 5 demostró en condiciones de alta humedad (zona húmeda o regiones con cultivo bien regados) que es buen estimador de la presión de vapor de agua real. En regiones secas o de baja humedad relativa, se necesitan calibrar los modelos 3 y 4, para definir cuál es el valor que se le va a restar a la temperatura de punto de rocío, para que estime bien la presión de vapor de agua real.

 

Conclusiones

De los modelos convencionales, el que mejor aproximó a los datos observados de manera global fue el modelo 5 (Tmín). De los dos modelos de RNA (feedforward backpropagation y radial basis function), el que realizó mejor aproximación a los datos observados de presión real de vapor de agua es la RNA radial basis function E4 (con las variables de entrada de temperatura máxima y mínima, humedad relativa máxima y mínima). De manera general, se puede concluir que las redes neuronales artificiales (RNA) muestran ser unas herramientas robustas en la estimación de la presión real de vapor de agua, en sus escenarios E4.

 

Referencias

ALLEN, G.R., PEREIRA, L.S., RAES, D., and SMITH, M. Crop evapotranspiration. Guidelines for computing crop water requirements. FAO Irrigation and drainage paper 56. Roma: FAO, 1998, 298 pp.         [ Links ]

BAKER, J.M. Humidity. In Micrometeorology in Agricultural Systems. Hatfield, J.L. and Baker, J.M. (editors). Agronomy Monograph No. 47. Madison, USA: ASA-CSA-SSSA, 2005, pp. 31-42.         [ Links ]

BIALOBRZEWSKI, I. Neural modeling of relative air humidity. Computer and electronics in agriculture. Vol. 60, 2008, pp. 1-7.         [ Links ]

BOSEN, J.F. An approximation formula to compute relative humidity from dry bulb and dew point temperatures. Monthly Weather Rev. Vol. 86, 1958, pp. 486-486.         [ Links ]

CAI, J., LIU, Y., LEI, T., and PEREIRA, L.S. Estimating reference evapotranspiration with the FAO Penman-Monteith equation using daily weather forecast messages. Agricultural and Forest Meteorology. Vol. 145, 2007, pp. 22-35.         [ Links ]

CHEN, S., COWAN, C.F.N., and GRANT, P.M. Orthogonal least squares learning algorithm for Radial Basis Functions networks. IEEE Transactions on Neural Networks. Vol. 2, 1991, pp. 302-309.         [ Links ]

DEMUTH, H., BEALE, M. and HAGAN, M. Neural network toolbox TM 6. User's guide, 2008, 907 pp.         [ Links ]

DOORENBOS, J. y PRUITT, W.O. Las necesidades de agua de los cultivos. Estudios FAO: Riego y drenaje. Paper 24. Roma: FAO, 1980, pp. 15-16.         [ Links ]

HAYKIN, S.S. Neural Networks. A comprehensive Foundation. Ontario: MacMaster MacMillan Publishing Company, University, Hamilton, 1994, 696 pp.         [ Links ]

HE, F., MA, C., ZHANG, J., and CHEN, Y. Greenhouse air temperature and humidity prediction based on improved BP neural network and genetic algorithm [en línea]. Liu et al. (editors). Part III, LNCS 2007 Springer-Verlag Berlin Heidelberg [citado el 14 de mayo de 2010]. Disponible para World Wide Web: http://www.spreingerlink.com/content/h062m7863647w280/fulltext.pdf.         [ Links ]

HOWELL, A.T. and DUSEK, A.D. Comparison of vapor-pressure-deficit calculation methods-southern high plains. Journal of Irrigation and Drainage Engineering. Vol. 121, 1995, pp. 191-198.         [ Links ]

JENSEN, M.E., BURMAN, R.D., and ALLEN, R.G. Evapotranspiration and Irrigation Water Requirements. ASCE manuals and reports on engineering practices No. 70. New York: American Society of Civil Engineers, 1990, 360 pp.         [ Links ]

LINSLEY, R.K., KOHLER, M.A. y PAULHUS, J.L.H. Hidrología para ingenieros. México, D.F.: Mac Graw-Hill/Interamericana de México, 1998, 386 pp.         [ Links ]

MITTAL, G.S. and ZHANG, J. Artificial neural network-based psychrometric predictor. Biosystems Engineering. Vol. 85, 2003, pp. 283-289.         [ Links ]

MURRAY, F.W. On the computation of saturated vapor pressure. Journal of Applied Meteorology. Vol. 6, 1967, pp. 203-204.         [ Links ]

PARK, J. and SANDBERG, J.W. Universal approximation using radial-basis-function networks. Neural computation. Vol. 3, 1991, pp. 246-257.         [ Links ]

PEREIRA, R.A. The Priestley-Taylor parameter and the decoupling factor for estimating reference evapotranspiration. Agricultural and Forest Meteorology. Vol. 125, 2004, pp. 305-313.         [ Links ]

SADLER, E.J. and EVANS, D.E. Vapor pressure deficit calculations and their effect on the combination equation. Agricultural and Forest Meteorology. Vol. 49, 1989, pp. 55-80.         [ Links ]

SHANK, D.B., HOOGENBOOM, G., and MCCLENDON, R.W. Dew point temperature prediction using artificial neural networks. Journal of applied meteorology and climatology. Vol. 47, 2008a, pp. 1757-1769.         [ Links ]

SHANK, D.B., McCLENDON, R.W., PAZ, J., and HOOGENBOOM, G. Ensemble artificial neural networks for prediction of dew point temperature. Applied Artificial Intelligence. Vol. 22, 2008b, pp. 523-542.         [ Links ]

ZHANG, G.S., PATUWO, E.B., and HU, Y.M. Forecasting with artificial neural networks: The state of the art. International Journal of forecasting. Vol. 14, 1998, pp. 35-62.         [ Links ]

Creative Commons License Todo el contenido de esta revista, excepto dónde está identificado, está bajo una Licencia Creative Commons