Servicios Personalizados
Revista
Articulo
Indicadores
-
Citado por SciELO -
Accesos
Links relacionados
-
Similares en
SciELO
Compartir
Tecnología y ciencias del agua
versión On-line ISSN 2007-2422
Tecnol. cienc. agua vol.2 no.2 Jiutepec abr./jun. 2011
Artículos técnicos
Modelación de la erosión y el transporte de sedimentos en surcos en un campo agrícola bajo riego en Venezuela
Modeling of erosion and sediment transport in furrows in an irrigated agricultural field in Venezuela
Adriana Márquez-Romance y Edilberto Guevara-Pérez
Universidad de Carabobo, Venezuela.
Dirección institucional de los autores
Ing. Adriana Márquez-Romance
Dr. Edilberto Guevara-Pérez
Centro de Investigaciones Hidrológicas y Ambientales (CIHAM-UC)
Facultad de Ingeniería
Universidad de Carabobo
Venezuela
ammarquez@uc.edu.ve
eguevara@uc.edu.ve
Recibido: 15/01/10
Aprobado: 02/02/11
Resumen
El propósito de esta investigación es modelar la erosión y el transporte de sedimentos en surcos irrigados de pendientes 0.8, 1, 1.5, 2.5 y 13%, en un campo agrícola ubicado en la cuenca del río Chirgua, Venezuela. Las pruebas de campo se llevaron a cabo durante el periodo 2008-2009. Para las diferentes pendientes se calibraron, validaron y probaron los modelos clásicos y sus modificaciones, para estimar el componente de capacidad de desprendimiento de partículas o desprendimiento neto, y la capacidad de transporte de sedimentos. Los resultados obtenidos mediante simulaciones hechas con diferentes modelos indican que: (a) la capacidad de desprendimiento de partículas es mejor estimada mediante el modelo lineal de esfuerzo cortante excedente, (b) la capacidad de transporte limita el proceso de sedimentación, y (c) la capacidad de desprendimiento y la capacidad de transporte determinan la distribución de la erosión del suelo a lo largo del tiempo.
Palabras clave: erosión por surcos, capacidad de transporte de sedimentos, desprendimiento de partículas, desprendimiento neto, erosión, evaluación de modelos, modelos basados en procesos físicos.
Abstract
The purpose of this research is to model erosion and sediment transport in irrigated furrows with slopes of 0.8, 1, 1.5, 2.5 and 13% in an agricultural field located in the Chirgua River basin, Venezuela. Field data was collected during the 2008-2009 period. Classical models and their modifications were used for estimating the model's particle detachment or net detachment component capacity and the sediment transport capacity. The models were calibrated, validated and tested for different slopes. Comparisons between simulated results with different models and field data indicate that: (a) the particle detachment capacity is better estimated using the excess shear stress linear model, (b) transport capacity limits the sedimentation process; and (c) the detachment capacity and transport capacity determine the distribution of soil erosion over time.
Keywords: furrow erosion, sediment transport capacity, chalking, net detachment, erosion, evaluation of models, models based on physical processes.
Introducción
En las últimas tres décadas ha habido un creciente interés sobre la erosión en riachuelos, esto se refleja en los numerosos intentos por incorporar el proceso dentro de los modelos de erosión basados en procesos físicos, entendiéndose como tal al modelo que se construye usando la ecuación de conservación de la masa de los sedimentos (Jetten et al., 2003; Aksoy y Kavvas, 2005; Bulygina et al., 2006). Entre los modelos que representan la erosión se tienen los siguientes: CREAMS (Knisel, 1980), WEPP (Nearing et al., 1989), EUROSEM (Morgan et al., 1998), SHESED (Wicks et al., 1996), DWEPP (Bulygina et al., 2006) MOVFO2D (Rivera et al., 2004); los dos primeros estiman la erosión mediante una solución de la ecuación para el estado estable y el resto para el estado inestable.
Los surcos irrigados por aspersión en los campos agrícolas pueden ser considerados como riachuelos sometidos a la acción de la lluvia (Laflen et al., 1991). El riachuelo es la principal fuente de sedimentos y el mecanismo para el transporte de los mismos en los procesos de erosión en ladera (Lei et al., 1998; Yan et al., 2008). La erosión en riachuelos se debe al desprendimiento debido a la fricción y el transporte de los sedimentos por el flujo concentrado de agua, ya que el riachuelo se comporta como un canal erosionable angosto (Bagnold, 1966; Laflen et al., 1991). A pesar de que en general se asume que los procesos de erosión en surcos irrigados son similares a los que ocurren en riachuelos bajo lluvia (Trout y Neibling, 1993; Bjorneberg et al., 1999; Trout, 1999), se tienen diferencias tales como que para surcos, las tasas de erosión son de bajas a moderadas durante varios eventos de riego mediante la aplicación de agua en forma controlada; mientras que en los riachuelos naturales, la erosión ocurre durante unos pocos eventos altamente erosivos. La mayoría de los surcos irrigados tienen pendientes de diseño menores que 3%, mientras que la investigación de la erosión en riachuelos naturales se lleva a cabo sobre pendientes que superan el 3%. Sin embargo, a pesar de la entrada controlada del flujo y las pendientes relativamente bajas, en los campos agrícolas con suelos altamente erosionables existe un daño por erosión significativo causado por la irrigación de los surcos (Koluvec et al., 1993).
En América Latina se han realizado evaluaciones de los resultados de los modelos de erosión basados en procesos físicos. EUROSEM ha sido probado en México, Nicaragua, Costa Rica y Bolivia, obteniendo un desempeño moderadamente satisfactorio en la simulación de los eventos de lluvia, en términos de los hidrogramas y sedimentogramas (Quinton y Rodríguez, 1999; Veihe et al., 2001). Se ha hecho una gran cantidad de estudios para validar los procesos de la erosión y escorrentía del modelo WEPP en el mundo: Austria (Klik et al., 1995; Savabi et al., 1996); Brasil (Ranieri et al., 1999); Italia (Santoro et al., 2002); Estados Unidos de América (Savabi et al., 1996; Laflen et al., 2004; Zhang et al., 1996); Ucrania (Nearing et al., 1998); Etiopía (Zeleke, 1999). Si bien existen diversas investigaciones experimentalmente en campo y laboratorio para una gran variedad de tipos de suelo y condiciones superficiales sobre la erosión en canales aproximados a geometría de los surcos agrícolas, hay carencia de estudios de campo sobre la calibración y validación de los procesos de erosión en surcos irrigados a escala real. En este trabajo se presentan los resultados de la modelación de la erosión y el transporte de sedimentos en surcos irrigados en parcelas ubicadas en un campo agrícola sobre la cuenca del río Chirgua en Venezuela; la investigación tiene como objetivos principales calibrar y validar los procesos de erosión en surcos y comparar los procesos teóricos de erosión en surcos con los datos experimentales.
Descripción de modelos para la erosión de surcos
Ecuación de continuidad de los sedimentos
El tránsito unidimensional de los sedimentos a través de un surco se puede simular a través de la solución numérica de la siguiente ecuación diferencial (Foster y Meyer, 1972; Woolhiser, 1973; Bennett, 1974; Kirkby, 1980; Woolhiser et al., 1990):

Donde C es la concentración de sedimentos (kg m-3); A, el área de sección transversal del flujo (m2); Q, el caudal de flujo (m3 s-1); t, el tiempo (s); x, la distancia pendiente abajo (m), y S es el término fuente/sumidero para los sedimentos (kg s-1 m-1). S = DI+DR; donde DI es la tasa de aporte lateral de sedimentos hacia el surco (kg s-1 m-2) y DR la tasa de erosión o deposición en el surco, positiva para la erosión y negativa para la deposición (kg s-1 m-2).
Modelos de erosión en surcos
En el desarrollo de los modelos de erosión en surcos se usa el concepto de la capacidad de transporte de sedimentos, combinado con el desprendimiento cuando la carga de sedimentos es mayor que la capacidad de transporte, y con la deposición cuando la carga de sedimentos es menor que la capacidad de transporte. Entre los modelos de erosión en surcos se encuentran WEPP y EUROSEM, los cuales se describen a continuación:
Modelo WEPP. En este modelo propuesto por Nearing et al. (1989), el desprendimiento neto del suelo o erosión (DR) se obtiene cuando el esfuerzo cortante excede al esfuerzo cortante crítico del suelo y la carga de sedimentos es menor que la capacidad de transporte de sedimentos, y se expresa como:

La deposición neta se calcula cuando la carga de sedimentos es mayor que la capacidad de transporte de sedimentos Tc mediante la siguiente expresión:

Donde Dc es la capacidad de desprendimiento de las partículas del surco (kg s-1 m-2); Tc, la capacidad de transporte de sedimentos en el surco (kg s-1 m-1); w, el ancho del surco (m), y Vƒ es la velocidad de asentamiento de las partículas (m s-1).
Modelo EUROSEM. En este modelo, propuesto por Morgan et al. (1998), el desprendimiento neto del suelo y/o la deposición debido al flujo en el surco se expresa como una función del déficit de la capacidad de transporte de sedimentos mediante la siguiente expresión:

Donde Tc es la capacidad de transporte del flujo (kg m-3).
Modelos de capacidad de desprendimiento de partículas
La relación comúnmente empleada para estimar la capacidad de desprendimiento de partículas de surcos se basa en el excedente del esfuerzo cortante aplicado por el flujo concentrado sobre un valor crítico del esfuerzo que depende del suelo. El concepto del umbral se ha expresado mediante una modificación de la ecuación propuesta por Duboys (1879), según la cual se explica el movimiento de una delgada capa de sedimentos a lo largo del lecho para un canal de gran anchura o río.
Para que se inicie el movimiento de los sedimentos, el esfuerzo cortante aplicado al lecho τ (Pa) debe exceder al esfuerzo cortante crítico del suelo τc (Pa), como se indica mediante la siguiente expresión:

Donde qbw es la tasa de transporte del volumen de la carga de lecho por unidad de ancho (m2 s-1) y K' es el parámetro de los sedimentos (m2 s-1 Pa-2). Esta ecuación fue modificada por O'Brien y Rindlaub (1934) a una función de potencias, como se indica a continuación:

Donde Dc es la capacidad de desprendimiento de las partículas del surco (kg s-1 m-2); Kc, la erodabilidad del surco (kg1-b s-1 m-(2-b) Pa-(1-2b)). Kc, τc y b son parámetros que se obtienen mediante ajuste empírico. El esfuerzo cortante del flujo τ (Pa) se obtiene mediante la ecuación τ = ρgRSƒ , donde ρ es la densidad del fluido (kg m-3); g, la aceleración gravitacional (m s-2); Rh, el radio hidráulico (m) calculado como A/Wp; A, el área (m2); Wp, el perímetro húmedo (m), calculado como w+2h; h, la profundidad del flujo (m), y Sƒes la pendiente de fricción (m m-1). Generalmente b se asume igual a la unidad en los modelos WEPP y DWEPP (Foster y Meyer, 1972; Nearing et al., 1989; Bulygina et al., 2006), expresada como:

En diversos estudios, mediante el uso de una función de potencias, se ha obtenido una mejor descripción de Dc a través de la expresión (Hollick, 1976; Franti et al., 1999; Zhu et al., 2001):

Lu et al. (1989) asignaron un valor cero para τc, reduciendo la ecuación (6) a la siguiente:

Foster y Meyer (1972) formularon una siguiente versión simplificada de la ecuación (6):

Wicks et al. (1996) modificaron la ecuación (6) para el modelo SHE como sigue:

En la presente investigación se proponen modelos adicionales para estimar la capacidad de desprendimiento basados en modificaciones de las ecuaciones (5) y (11), y un modelo lineal multivariable; se incorporan variables que representan las características físicas de suelo y del flujo recomendadas por diferentes investigadores: gravedad específica de partículas sólidas G (Hanson et al., 1999; Sheridan et al., 2000a, 2000b), profundidad y ancho del flujo, pendiente de fricción y temperatura del fluido T (Ariathurai y Arulanandan, 1978; Van Klaveren y McCool, 1998). En el cuadro 1 se indican las ecuaciones propuestas con sus respectivos parámetros.
Modelos de capacidad de transporte de sedimentos
Para sedimento en ríos se han desarrollado diversas ecuaciones de capacidad de transporte que han sido adaptadas en modelos de erosión en surcos; sin embargo, la elección de la mejor ecuación es aún subjetiva y las opiniones varían sobre cuál es la mejor (Knapen et al., 2007).
Foster y Meyer (1975) adaptaron la forma simplificada de la ecuación de Yalin (1963) para estimar la capacidad de transporte de los sedimentos y su uso en el modelo WEPP como:

Donde Tc es la capacidad de transporte de los sedimentos (kg s-1 m-1); Kt, el coeficiente de transporte; los parámetros Kt y b se obtienen mediante ajuste empírico. Govers (1990) emplea el concepto de la potencia de la corriente unitaria basado en los estudios de Yang (1979) y propone la ecuación (29) para estimar Tc, la cual se emplea en el modelo EUROSEM y es aplicable para tamaños de partícula que varían desde 50 hasta 250 µm:

Donde ωc es el valor crítico de la potencia de la corriente unitaria determinada mediante ajuste empírico (m s-1), igual a 0.004 (m s-1); ω = VSƒ, la potencia de la corriente unitaria (m s-1), y Sƒ es la pendiente de fricción (%). Kt y b se obtienen empíricamente.
Simons et al. (1981) desarrollaron una aplicación simple de relaciones de potencia que estima Tc basado en la profundidad del flujo h (m) y la velocidad V (m s-1), donde los parámetros α, b y c se estiman empleando técnicas de ajuste de curvas utilizando datos de mediciones de campo, como sigue:

Bagnold (1966) propuso que la potencia del flujo suministra energía para el transporte de sedimentos, donde A y B son parámetros que se estiman empíricamente.

Materiales y métodos
El estudio se llevó a cabo en parcelas sobre un campo agrícola en la cuenca del río Chirgua, ubicada en la región centro-norte de Venezuela. En la zona se usan tradicionalmente dos tipos de cultivo, que varían según las estaciones: seca (papa: Solanum tuberosum) y lluviosa (maíz: Zea mays). La superficie irrigada va de 800 a 1 200 ha/año. La textura del suelo varía entre una arena limosa y una arcilla limosa. Las pruebas se realizaron durante dos ciclos de siembra entre 2008-2009. Cada ciclo dura 12 semanas. Se seleccionaron cinco parcelas con las siguientes pendientes (en dirección de la labranza): 0.008 ± 0.0055 m m-1; 0.01 ± 0.00197 m m-1; 0.015 ± 0.0006 m m-1; 0.025 ± 0.0033 m m-1 y 0.13 ± 0.0156 m m-1. Los surcos miden entre 100-200 m de longitud y 0.3-0.35 m de ancho. El caudal de aplicación por surco mediante el riego por aspersión varía de 12 a 18 l min-1. Durante cada evento de riego se realizaron mediciones en tres surcos/parcela. Las mediciones incluyeron cinco caudales con tres repeticiones cada veinte minutos mediante un vertedero tipo V, aplicando un método volumétrico; se llevaron a cabo tres mediciones en cada surco al 25, 50 y 100 % de la longitud. Se captaron cinco muestras líquidas cada veinte minutos para determinar la concentración de los sólidos totales (2540 B) (American Public Health Association, 1995). Se registraron 24 eventos de riego/parcela, con un total de 120 eventos de riego (5 parcelas x 24 eventos/parcela = 120). El número total de mediciones se dividió en tres conjuntos: 60% para la calibración (14 eventos/parcela), 20% para la validación (5 eventos/parcela) y 20% para la prueba (5 eventos/parcela).
Resultados
Calibración y validación de modelos de estimación de la capacidad de desprendimiento
La relación que se suele asumir entre la capacidad de desprendimiento de partículas sólidas del suelo (Dc) y el esfuerzo cortante del flujo (τ) se basa en una función lineal (figura 1). La pendiente de la línea describe esta relación, la cual representa la erodabilidad del suelo (Kc). El valor del esfuerzo cortante del flujo se puede asociar con el esfuerzo cortante crítico del suelo (τc) cuando la tasa de desprendimiento de las partículas del surco es igual a cero, el cual corresponde al intercepto de la línea con el eje del esfuerzo cortante. En la figura 1 se muestra que las pendientes de las funciones lineales son similares para los gradientes de pendientes que varían entre 0.8 y 2.5%. La recta más inclinada corresponde a la pendiente de 13%. En cuanto al esfuerzo cortante crítico, se observa que el intercepto de las funciones lineales con el eje del esfuerzo cortante varía aproximadamente entre 2 y 5 Pa para gradientes de pendiente entre 0.8 y 2.5%; siendo menor a 1 Pa para surcos con pendiente igual al 13%. En general, aun cuando se observa que existe un buen ajuste entre las observaciones y la función lineal, algunos casos muestran una tendencia hacia la curvatura (figuras 1b, 1c y 1e); esta tendencia será descrita más adelante usando otras relaciones lineales y no lineales entre Dc y τ.
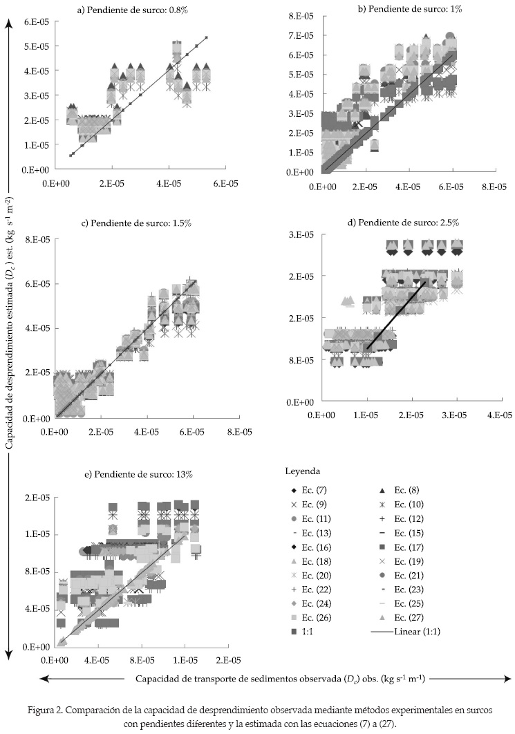
En la figura 2 se compara la capacidad de desprendimiento estimada mediante las ecuaciones (7) hasta la (27), y la obtenida mediante las pruebas de campo en los surcos de pendientes que varían entre 0.8 y 13%. En las figuras 2a, 2c y 2d se observa que los puntos se distribuyen aleatoriamente alrededor de la línea 1:1, lo que indica que las ecuaciones (7) a (27) se aproximan satisfactoriamente a los datos. En las figuras 2b y 2e se aprecia una ligera curvatura.
En los cuadros 2, 4, 6, 8 y 10 se muestran los parámetros de las ecuaciones (7) a (27) para la estimación de la capacidad de desprendimiento de partículas del suelo en surcos de diversas pendientes. En cuanto al parámetro Kc: a) hay una diferencia entre las unidades que depende de las variables incluidas en las ecuaciones (7) a (27); b) la magnitud varía entre 2.01 x 10-6 y 8.5 x 10-5 s m-1 para la ecuación (7). En relación con τc (Pa): a) arroja un valor negativo para algunas ecuaciones. De acuerdo con la teoría, τc debería ser un esfuerzo cortante positivo por debajo del cual no existe desprendimiento (Shields, 1936); b) el valor varía entre 0.7925 y 5.1703 Pa para la ecuación (7); c) varía entre -2.7305 y 2.814 para la ecuación (8). En cuanto al parámetro b: a) para las ecuaciones (8) y (9) varía como sigue: 0.6782 y 3.4677, 1.15 y 5.79, respectivamente; b) su valor resulta negativo en el ajuste de las ecuaciones (24) y (25).
En los cuadros 3, 5, 7, 9 y 11 se muestran los estadísticos del ajuste de las ecuaciones (7) a (27) durante las etapas de calibración y validación al conjunto de observaciones. Algunos de los resultados son los siguientes: R2 resultó mayor a 0.60, exceptuando las ecuaciones (10) y (13) a (17); R2ajust se redujo poco en relación con R2; Cp de Mallows disminuyó ligeramente en relación con el número de variables independientes en cada ecuación. En cuanto a los errores, mediante la selección del error porcentual medio, se aprecia que resultó negativo en todos los casos. Las mayores desviaciones se encontraron para las ecuaciones (13) a (17). En general, los errores no varían significativamente entre las etapas de calibración y validación.
Calibración y validación de modelos de estimación de la capacidad de transporte
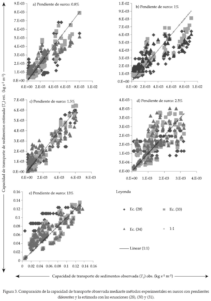
En la figura 3 se compara la capacidad de transporte estimada mediante las ecuaciones (28), (30) y (31), y la obtenida mediante las pruebas de campo en los surcos de pendientes que varían entre 0.8 y 13%. En las figuras 3a, 3d y 3e se observa que los puntos se distribuyen aleatoriamente alrededor de la línea 1:1, lo que indica que las ecuaciones se aproximan satisfactoriamente a los datos. En las figuras 3b y 3c se aprecia una ligera curvatura, lo que indica que es posible que un modelo curvilíneo se ajuste mejor a las observaciones. En los cuadros 12, 14, 16, 18 y 20 se muestran los parámetros de las ecuaciones (28) a (31). Kt corresponde a los rangos encontrados para la ecuaciones (28) y (29), varía como sigue: 0.00000001 y 0.01 kg m-1 s-1, 1.5 y 111.57 kg m-3, respectivamente; b corresponde a los rangos encontrados para la ecuaciones (28) y (29), varía como sigue: 0.72 y 6.57, 0.25 y 1.16, respectivamente; α1, α2 y α3 (ecuación (30)): α1 tiene una alta variabilidad, α2 varía entre 0.8 y 3.33, y α3 entre 0.93 y 1.5135; A y B (ecuación (31)): A varía entre 0.01y 0.15, y B entre 0.93 y 1.5135.
En los cuadros 13, 15, 17, 19 y 21 se muestran los estadísticos del ajuste de las ecuaciones (28) a (31) al conjunto de observaciones obtenidas. Algunos de los resultados son los siguientes: R2 resultó mayor a 0.6 para todas las ecuaciones; R2ajust se redujo poco en relación con R2; Cp disminuye ligeramente con respecto al número de variables independientes en cada ecuación. En cuanto a los errores, seleccionando el error porcentual medio se encontró que en todos los casos resultó negativo y moderadamente alto. En general, los errores no varían significativamente entre las etapas de calibración y validación.
Comparación entre los procesos de erosión estimados y los datos observados
Durante eventos de riego. En la figura 4a se muestra una relación wTc > CQ, lo que indica que está ocurriendo un flujo poco concentrado; luego, en los dos últimos intervalos, se muestra que wTc < CQ. En la figura 4b se observa que ocurre el proceso de erosión y posterior deposición al final del evento de riego. En la figura 4 se ve una relación wTc < CQ durante todo el ciclo. En la figura 4d se aprecia que sólo ocurre deposición. Estos resultados se explican debido a que la pendiente es baja y podría ocurrir una acumulación previa de sedimentos en el surco. En la figura 4e se tiene una relación wTc > CQ durante todo el ciclo. En la figura 4e se ilustra que sólo ocurre erosión. Los resultados evidencian la influencia del incremento en la pendiente.
Durante el ciclo de siembra. En la figura 5 se tienen aproximaciones a los procesos que ocurren durante el ciclo de siembra dividido en tres etapas. Los datos usados para la evaluación en los modelos han sido promediados por etapa, tomando cada etapa integrada por cuatro semanas. En la figura 5a se ve que en la primera etapa predominan la erosión y el transporte; en la segunda etapa, la deposición y el transporte; en la tercera etapa, la erosión y el transporte. En la figura 5b se observa que en la primera y segunda etapas predominan la deposición y el transporte; en la tercera etapa, la erosión y el transporte. En las figuras 5c, 5d y 5e se tiene que en la primera etapa predominan la deposición y el transporte; en la segunda y tercera etapas, la erosión y el transporte.
Discusión de resultados
Calibración y validación de modelos de estimación de la capacidad de esprendimiento
Como se mostró en la sección de resultados, el rango de valores de la erodabilidad del flujo concentrado Kc y el esfuerzo cortante crítico τc, obtenidos a partir del ajuste de las ecuaciones (7) a (26) es muy amplio. Knapen et al. (2007) recopilaron los valores de Kc y τc reportados para diferentes suelos y condiciones de labranza, a partir de estudios que incluyen experimentos sobre el flujo concentrado mediante levantamientos en campo y en canales de laboratorio (cuadros 22 y 23). Los rangos de los valores que han sido determinados empíricamente para la ecuación (7) de Kc, τc, incluyendo el tamaño de la muestra mediante experimentos en el campo y en el laboratorio son los siguientes: 0.000001 y 0.1 s m-1 (n = 151), 0.01 y 20 Pa (n = 161), 0.00001 y 0.7 s m-1 (n = 185), 0.03 y 60 Pa (n = 220), respectivamente. Al comparar estos rangos de valores con los reportados en los cuadros 2, 4, 6, 8 y 10, se encuentra que: (a) los valores de Kc están dentro del intervalo correspondiente a los experimentos en el campo y son inferiores a los encontrados a partir de los experimentos de laboratorio, (b) los valores de τc se tienen totalmente dentro del rango reportado para experimentos en campo y laboratorio. Por tanto, el rango de valores de Kc obtenido en la presente investigación difiere significativamente del reportado por Knapen et al. (2007); sin embargo, la variabilidad en el rango de valores para τc es menor. Estas diferencias podrían deberse a las dos siguientes razones principales: (1) las diferencias en las condiciones experimentales en las cuales los datos son recolectados, y (2) la variación de los tipos de suelos y las condiciones ambientales.
Comparando las condiciones experimentales y ambientales de la presente investigación con las reseñadas en los cuadros 22 y 23, se puede apreciar que existe cierta similitud sólo con los estudios de campo realizados por Bjorneberg et al. (1999). En cuanto a los experimentos en laboratorio, no existen casos con los cuales se pueda realizar una comparación. Los rangos de los valores encontrados de Kc y τc por Bjorneberg et al. (1999) varían como sigue: 0.003 - 0.006 s m-1 y 1.2-1.8 Pa, respectivamente. A pesar de las similitudes en las condiciones experimentales mostradas en el cuadro 22, el rango de valores de Kc es significativamente diferente; las causas de las diferencias se pueden deber a las condiciones ambientales, principalmente el clima, y a las prácticas agrícolas, ya que las pruebas de Bjorneberg et al. (1999) se llevaron a cabo en campos cultivados con frijol y maíz, donde las secuencias de humedecimiento y secado, consolidación y residuos pueden ser factores que contribuyen a la variabilidad en Kc; los residuos ejercen influencia sobre los valores de τc.
En cuanto a las relaciones entre Dc - τ no lineales, pocos investigadores han hecho intentos por ajustar sus datos a funciones de potencia (Foster et al., 1984; Zhu et al. 1995; Franti et al., 1999; Zhu et al., 2001). Los rangos de valores reportados por Zhu et al. (2001) para Kc, τc y b en la ecuación (8) varían como sigue: 0.00004 y 0.0447 kg(1-b) s-(1-2b) m-(2-b); -1.04 y 3.30 Pa, 1.87 y 6.14. Asimismo, en la ecuación (9), Kc y b varían como sigue: 0.00084 y 0.0518 kg(1-b) s-(1-2b) m-(2-b), 3.03 y 4.95. Al comparar estos rangos de valores con los reportados en los cuadros 2, 4, 6, 8 y 10 para las ecuaciones (8) y (9), se encuentra que: (a) Kc son inferiores a los reportados por Zhu et al. (2001); (b) τc y b se aproximan a los reportados por Zhu et al. (2001). En cuanto a las ecuaciones (11) a (27), se encontraron valores de Kc y τc en el rango de los mencionados para la ecuación (6). En general, con respecto a los estadísticos de ajuste de los modelos (7) a (27), se observa un ajuste satisfactorio de la mayoría de las ecuaciones, excluyendo el grupo (13) a (17), ya que R2 es bajo y los errores porcentuales medio absoluto y medio resultaron altos en relación con el resto de los modelos.
Los rangos de los parámetros Kt y b reportados en la sección de resultados para los modelos de capacidad de transporte de sedimentos representados por las ecuaciones (28) y (29) resultaron significativamente variables para las diferentes pendientes de surcos. Según Finkner et al. (1989) y Trout (2001), mediante pruebas de campo, Kt y b varían entre 0.0015-0.05 (kg1-b m-(1-b) s-(1-2b)) y 1.5, 0.017-0.15 (kg1-b m-(1-b) s-(1-2b)) y 2-4, respectivamente; aproximándose a algunos de los indicados en los cuadros 12, 14, 16, 18 y 20; sin embargo, la variabilidad es alta. En cuanto a la ecuación (29), el valor de la potencia unitaria de la corriente ωc es similar a los encontrados en la presente investigación. Con respecto a las ecuaciones (30) y (31), no se pueden establecer comparaciones con los valores propuestos por Simons et al. (1981) y Bagnold (1966), ya que se ha hecho una adaptación al flujo en surcos. En general, en cuanto a los estadísticos de ajuste de los modelos (28) a (31), se observa un ajuste satisfactorio a las observaciones de la mayoría de las ecuaciones: (1) el coeficiente de determinación R2 varía entre 0.60 y 0.97; (2) el coeficiente R2 ajustado se reduce de una manera poco significativa, (3) los errores porcentuales medio absoluto y medio resultaron moderadamente bajos.
Comparación entre los procesos de erosión en surcos estimados y los datos experimentales
Influencia de la capacidad de desprendimiento de partículas sobre los procesos de erosión en surcos
a) Durante eventos de riego. La erosión o desprendimiento neto (Dr) estimada varía dependiendo de la ecuación de capacidad de desprendimiento (Dc) que se seleccione para la estimación y de la pendiente del surco, cuyo principal factor es la erodabilidad (Kc), la cual varía ampliamente. En la figura 4b se observa que el modelo que se aproxima mejor al rango de datos seleccionados para el caso de una pendiente de 0.8% es el lineal (ecuación (7)); las ecuaciones (8) y (9) sobreestiman el valor de Dr. En la figura 4e se observa que mediante la aplicación de las ecuaciones (7), (8) y (9) se obtienen estimaciones de la erosión en surcos de pendiente 1.5%, similares al valor observado.
b) Durante el ciclo de siembra. Trout (1996) y Bjorneberg et al. (1999) encontraron que la erosión en la salida de surcos de pendiente entre 0.5 y 1.3% para cultivos de frijol y maíz varía como sigue: 0.1-0.3 kg m-2 y 0.05-0.1 kg m-2, respectivamente. En esas mismas condiciones encontró que el proceso de deposición varía entre 0.8-1.8 kg m-2 y 0.2-0.6 kg/m2, respectivamente. En esta investigación se encontró en promedio que la erosión para pendientes entre 0.8-1.5% es menor a 0.08 kg m-2, alcanzando valores hasta de 1 kg m-2 para pendientes del 13% (figura 5). Asimismo, el proceso de deposición para pendientes entre 0.8-1.5% varía como sigue: 0.01-0.5 km m-2, los cuales se aproximan a los reportados en Trout (1996) y Bjorneberg et al. (1999). De lo antes expuesto, se aprecia la influencia que tienen las prácticas agrícolas sobre la erosión del suelo.
Influencia de la capacidad de transporte de sedimentos sobre los procesos de erosión en surcos
a) Durante eventos de riego. En la figura 4 se muestra la interacción entre la capacidad de transporte de sedimentos de surcos y los procesos de erosión, seleccionando una muestra de las pendientes probadas. En las figuras 4a a 4e (4b, 4c, 4d) se observa que generalmente la capacidad de transporte se incrementa rápidamente con el tiempo. Los resultados indican cómo la capacidad de transporte limita la ocurrencia de los procesos de sedimentación a medida que la pendiente del surco es mayor.
b) Durante el ciclo de siembra. A partir de la figura 5 se deduce la interacción entre la capacidad de transporte de sedimentos de surcos y los procesos de erosión. En la primera etapa, la capacidad de transporte tiende a ser menor que la carga de sedimentos, favoreciendo la ocurrencia de los procesos de deposición, lo que es influenciado por la preexistencia de sedimentos en el surco y la ubicación del punto sobre el surco en el cual se realice la evaluación (salida del surco). En la segunda etapa disminuye la carga de sedimentos en la corriente y comienza a tener mayor efecto el transporte. En la última etapa, la capacidad de transporte de sedimentos es mayor que la carga de sedimentos, favoreciendo la ocurrencia del proceso de erosión del surco, lo que se incrementa con la pendiente.
Conclusiones
Sobre la base de los resultados obtenidos en la presente investigación, se extraen las siguientes conclusiones y recomendaciones:
• Se encontró un ajuste satisfactorio de la mayoría de los modelos de estimación de la capacidad de desprendimiento de partículas del suelo de los surcos a las observaciones, excluyendo el grupo (13) a (17), debido a los bajos valores de R2 y a los altos errores porcentuales medio absoluto y medio. En la aplicación se encontró que los procesos de desprendimiento neto de partículas o erosión, y la capacidad de transporte de sedimentos dentro de cada evento de riego limitan la ocurrencia de los procesos de sedimentación a medida que la pendiente del surco es mayor. Los valores estimados de erosión y deposición resultaron menores a los reportados por Trout (1996) para los procesos de erosión en surcos en parcelas cultivadas con maíz y frijol para pendientes similares.
• Se encontró un ajuste satisfactorio de los modelos de estimación de la capacidad de transporte de sedimentos a los datos observados (ecuaciones (28) a (31)), en términos de R2 y los errores. En la aplicación, los valores de la capacidad de transporte de sedimentos obtenidos a partir de las ecuaciones (28), (29), (30) y (31) se aproximaron satisfactoriamente a los valores de la carga de sedimentos para la mayoría de las pendientes, presentando algunas diferencias significativas para la pendiente más baja (0.8%).
• Los procesos de erosión en surcos pueden ser estimados satisfactoriamente, empleando los modelos ajustados a partir de esta investigación.
• Se recomienda ampliar los estudios de validación de tales modelos.
Agradecimientos
La investigación se ha llevado a cabo en el Centro de Investigaciones Hidrológicas y Ambientales (CIHAM-UC), con el aporte financiero del Consejo de Desarrollo Científico y Humanístico de la Universidad de Carabobo y el Ministerio del Poder Popular para la Ciencia y Tecnología (Misión Ciencia).
Notación
A = área de sección transversal al flujo.
ACRR = autocorrelación residual de retardo.
C = concentración de los sedimentos.
CME = cuadrado medio del error.
Cp = coeficiente de Mallows.
DR = tasa desprendimiento neto o tasa de erosión/deposición.
DC = capacidad de desprendimiento.
d = coeficiente de Durbin-Watson.
ds = diámetro de partícula.
DI = tasa de aporte lateral de sedimentos.
DR = tasa de erosión en el surco.
EMA = error medio absoluto.
EPMA = error porcentual medio absoluto.
EM = error medio.
EPM = error porcentual medio.
G = gravedad específica de una partícula sólida.
g = aceleración de la gravedad.
h = profundidad del flujo medida en la dirección vertical.
KC = erodabilidad del suelo.
n = número de datos de ajuste para el modelo.
p = número de variables independientes en el modelo.
Q = caudal.
q = caudal por unidad de ancho.
Rh = radio hidráulico.
R2 = coeficiente determinación.
SYX = error estándar de estimación de ϒ sobre X.
S = término fuente-sumidero para sedimento.
Sƒ = pendiente de fricción.
So = pendiente del fondo.
Tc = capacidad de transporte de los sedimentos.
t = tiempo.
Vƒ = velocidad de asentamiento.
V = velocidad.
Wp = perímetro húmedo.
w = ancho del surco.
x = coordenada cartesiana.
ρw = densidad del agua.
τ0 = esfuerzo cortante del flujo.
τc = esfuerzo cortante crítico del suelo.
γ = peso específico de un fluido.
ω = potencia de la corriente unitaria.
ωc = potencia de la corriente unitaria crítica.
Referencias
ADELPOUR, A.A., SOUFI, M., and BEHNIA, A.K. Channel erosion thresholds for different land uses assessed by concentrated overland flow on a silty loam. Conserving Soil and Water for Society: Sharing Solutions. ISCO 200-13th International Soil Conservation Organization Conference, Brisbane, Australia, 2004. [ Links ]
AKSOY, H. and KAVVAS, L. A review of hillslope and watershed scale erosion and sediment transport model. Catena. Vol. 64, No. 2-3, 2005, pp. 247-271. [ Links ]
AMERICAN PUBLIC HEALTH ASSOCIATION. Standard Methods for The Examination of Water and Wastewater. 19th Edition, Washington, D.C.: American Public Health Association, 1995. [ Links ]
ARIATHURAI, R. and ARULANANDAN, K. Erosion rates of cohesive soils. Journal of the Hydraulics Division Proceedings of the ASCE. Vol. 104, 1978, pp. 279-283. [ Links ]
BAGNOLD, R.A. An approach to the sediment transport problem from general physics. Washington, D.C: US Geological Survey Paper 422, 1966. [ Links ]
BENNETT, J.P. Concepts of mathematical modeling of sediment yield. Water Resources Research. Vol. 10, 1974, pp. 485-492. [ Links ]
BJORNEBERG, D.L., TROUT, R.E., SOJKA, R.E., and AASE, J.K. Evaluating WEPP predicted infiltration, runoff and soil erosion for furrow irrigation. Trans. ASAE. Vol. 42, No. 6, 1999, pp. 1733-1741. [ Links ]
BRAIDA, J.A. and CASSOL, E.A. Rill and interrill erodibility of a paleudult soil. Revista Brasileira de Ciencia do Solo. Vol. 20, No. 1, 1996, pp. 127-134. [ Links ]
BULYGINA, N.S., NEARING, M.A., STONE, J.J., and NICHOLS, M.H. DWEPP: a dynamic soil erosion model based on WEPP source terms. Earth Surface Processes and Landforms Vol. 32, No. 7, 2007, pp. 998-1012. [ Links ]
CANTALICE, J.R.B., CASSOL, E.A., REICHERT, J.M., and BORGES, A.L.D. Flow hydraulics and sediment transport in rills of a sandy clay loam soil. Revista Brasileira de Ciencia do Solo. Vol. 29, No. 4, 2005, pp. 597-607. [ Links ]
CIAMPALLINI, R. and TORRI, D. Detachment of soil particles by shallow flow: sampling methodology and observations. Catena. Vol. 32, No. 1, 1998, pp. 37-53. [ Links ]
CROUCH, R.J. and NOVRUZI, T. Threshold conditions for rill initiation on a vertisol. Gunnedah, N.S.W. (editor). Catena. Vol. 16. No. 1, 1989, pp. 101-110. [ Links ]
DUBOYS, M.P. Etudes du régime du Rhone et de l'action excercée par les eaux sur un lit á fond de graviers indéfiniment affouillable. Paris: Ann. Ponts et Chaussées, ser. 5, Vol. 18, No. 49, 1879, pp. 141-195. [ Links ]
ELLIOT, W.J., LIEBENOW, A.M., LAFLEN, J.M., and KOHL, K.D. A compendium of soil erodibility data from WEPP cropland soil field erodibility experiments 1987-1988. NSERL Rpt. No. 3. Ohio: Ohio State University and Natural Soil Erosion Research Laboratory, Agricultural Research Service, U.S. Department of Agriculture, 1989. [ Links ]
FINKNER, S.C., NEARING, M.A., FOSTER, G.R., and GILLEY, J.E. A simplified equation for modeling sediment transport capacity. Trans. ASAE. Vol. 32, No. 5, 1989, pp. 1545-1550. [ Links ]
FOSTER, G.R. and MEYER, L.D. Transport of particles by shallow flow. Transactions of the ASAE. Vol. 15, No. 1, 1972, pp. 99-102. [ Links ]
FOSTER, G.R. and MEYER, L.D. Mathematical simulation of upland erosion using fundamental erosion mechanics. Proc. Sediment Yield Workshop. U.S. Sedimentation Laboratory, Oxford, 1975, pp. 190-201. [ Links ]
FOSTER, G.R., HUGGINS, L.F., and MEYER, L.D. A laboratory study of rill hydraulics: II. Shear stress relationships. Transactions of the ASAE. Vol. 27, No. 3, 1984, pp. 797-804. [ Links ]
FRANTI, F.G., LAFLEN, J.M., and WATSON, D.A. Soil erodibility and critical shear under concentrated flow. ASAE Paper 85-2033, Transactions of the ASAE, American Society of Agricultural Engineers, 1985. [ Links ]
FRANTI, T.G., LAFLEN, J.M., and WATSON, D.A. Predicting soil detachment from high discharge concentrated flow. Transactions of the ASAE. Vol. 42, No. 2, 1999, pp. 329-335. [ Links ]
GHEBREIYESSUS, Y.T., GANTZER, C.J., ALBERTS, E.E., and LENTZ, R.W. Soil erosion by concentrated flow: shear stress and bulk density. Transactions of the ASAE. Vol. 37, No. 6, 1994, pp. 1791-1797. [ Links ]
GIASSON, E. and CASSOL, E.A. Rill erosion related to inflow rates and amounts of incorporated wheat straw in a sandy clay loam Paleudult soil. Revista Brasileira de Ciencia do Solo. Vol. 20, No. 1, 1996, pp. 117-125. [ Links ]
GILLEY, J.E., ELLIOT, W.J., LAFLEN, J.M., and SIMANTON, S.R. Critical shear stress and critical flow rates for initiation of riling. Journal of Hydrology. Vol. 142, 1993, pp. 251-271. [ Links ]
GIMÉNEZ, R. and GOVERS, G. Flow detachment by concentrated flow on smooth and irregular beds. Soil Science Society of America Journal. Vol. 66, 2002, pp. 1475-1483. [ Links ]
GOVERS, G. Selectivity and transport capacity of thin flow in relation to rill erosion. Catena. Vol. 12, No. 1, 1985, pp. 35-49. [ Links ]
GOVERS, G. Empirical relationships for the transport formulae of overland flow. Erosion, Transport and Deposition Processes. IAHS Pub. No. 189. Wallingford, U.K.: IAHS Press, 1990, pp. 45-63. [ Links ]
GYSSELS, G., POESEN, J., VAN DESSEL, W., KNAPEN, A., and DEBAETS, S. Effects of cereal roots on detachment rates of single and double drilled top soils during concentrated flow. European Journal of Soil Science. Vol. 57, 2006, pp. 381-391. [ Links ]
HANSON, G.J. An in-situ erodibility testing device. Paper No. 89-2151. An ASAE/CSAE meeting presentation. Quebec, Canada: American Society of Agricultural Engineers-Canadian Society of Agricultural Engineers, Paper No. 89-2151, 1989. [ Links ]
HANSON, G.J. Surface erodibility of earthen channels at high stresses. Part II-Developing an in situ testing device. Transactions in Agriculture. Vol. 33, No. 1, 1990a, pp. 132-137. [ Links ]
HANSON, G.J. Surface erodibility of earthen channels at high stresses part I. Open channel testing. Transactions of the ASAE. Vol. 33, No. 1, 1990b, pp. 127-131. [ Links ]
HANSON, G.J., COOK, K.R., and SIMON, A. Determining erosion resistance of cohesive materials. American Society of Civil Engineers, 1999 International Water Resources Engineering Conference, Seattle, Washington, 1999. [ Links ]
HOLLICK, M. Towards a routine test for the assessment of the critical tractive forces of cohesive soils. Transactions of the ASAE. Vol. 19. No. 6, 1976, pp. 1076-1081. [ Links ]
HUSSEIN, M.H. and LAFLEN, J.M. Effects of crop canopy and residue on rill and interrill soil erosion. Transactions of the ASAE. Vol. 25. No. 5, 1982, pp. 1310-1315. [ Links ]
JETTEN, V., GOVERS, G., and HESSEL, R. Erosion model: quality of spatial prediction. Hydrol. Process. 17 [Published online]. Wiley InterScience. DOI: 10.1002/hyp.1168, 2003. World Wide Web: http://www.interscience.wiley.com, pp. 887-900. [ Links ]
KAMPHUIS, J.W. and HALL, K.R. Cohesive material erosion by unidirectional current. Journal of Hydraulic Engineering. Vol. 109, No. 1, 1983, pp. 49-61. [ Links ]
KING, K.W., FLANAGAN, D.C., NORTON, L.D., and LAFLEN, J.M. Rill erodibility parameters influenced by long-term management practices. Transactions of the ASAE. Vol. 38, No. 1, 1995, pp. 159-164. [ Links ]
KIRKBY, M.J. Modelling water erosion processes. Kirkby, M.J. and Morgan, R.P.C. (editors). Soil Erosion. Chichester: Wiley, 1980, pp. 183-216. [ Links ]
KLIK, A., SAVABI, M.R., NORTON, L.D., and BAUMER, O. Application of WEPP hillslope model on Austria. Proceedings of the 31st Annual Conference of the American Water Resources Association (AWRA), Water Management in urban areas. Houston, 1995, pp. 313-322. [ Links ]
KNAPEN, A., POESEN, J., GOVERS, G., GYSSELS, G., and NACHTERGAELE, J. Resistance of soils to concentrated flow erosion: A review. Earth-Science Reviews. Vol. 80, 2007, pp. 75-109. [ Links ]
KNISEL, W.G. CREAMS, a field scale model for chemicals, runoff and erosion from agricultural management systems. Transactions of the ASAE. St. Joseph, USA: American Society of Agricultural Engineers, ASAE Paper 85-2033, 1980. [ Links ]
KOLUVEC, P.K., TANJI, K.K., and TROUT, T.J. Overview of soil erosion from irrigation. J. Irrig. Drainage Engr. ASCE. Vol. 119, No. 6, 1993, pp. 929-946. [ Links ]
LAFLEN, J.M. and BEASLEY, R.P. Effects of compaction on critical tractive forces in cohesive soils. Research Bulletin. Vol. 749. University of Missouri Experiment Station, 1960. [ Links ]
LAFLEN, J.M. Effect of tillage systems on concentrated flow erosion. Sentis, I.P. (editor). Soil Conservation and Productivity. Proceedings of the Fourth International Conference on Soil Conservation. Maracay, Venezuela, 1987. [ Links ]
LAFLEN, J.M., ELLIOT, W.J., SIMANTON, J.R., HOLZEY, C.S., and KOHL, K.D. WEPP Soil erodibility experiments for rangeland and cropland soils. Journal of Soil and Water Conservation. Vol. 46, No. 1, 1991, pp. 39-44. [ Links ]
LAFLEN, J.M., FLANAGAN, D.C., and ENGEL, B.A. Soil erosion and sediment yield prediction accuracy using WEPP. Journal of the American Water Resources Association. Vol. 40, No. 2, 2004, pp. 289-297. [ Links ]
LEI, T.W., NEARING, M.A., HAGHIGHI, K., and BRALTS, V.F. Rill erosion and morphological evolution: a simulation model. Water Resources Research. Vol. 34, No. 11, 1998, pp. 3157-3168. [ Links ]
LU, J.Y., CASSOL, E.A., and MOLDENHAUER, W.C. Sediment transport relationships for sand and silt loam soils. Transactions of the ASAE. Vol. 32, 1989, pp. 1923-1931. [ Links ]
LYLE, W.M. and SMERDON, E.T. Relation of compaction and other soil properties to erosion resistance of soils. Transactions of the ASAE. Vol. 8, 1965, pp. 419-422. [ Links ]
MAMO, M. and BUBENZER, G.D. Detachment rate, soil erodibility and soil strength as influenced by living plant roots part I: laboratory study. Transactions of the ASAE. Vol. 44, No. 5, 2001, pp. 1167-1174. [ Links ]
MAMO, M. and BUBENZER, G.D. Detachment rate, soil erodibility and soil strength as influenced by living plant roots part II: field study. Transactions of the ASAE. Vol. 44, No. 5, 2001, pp. 1175-1181. [ Links ]
MERZ, W. and BRYAN, R.B. Critical threshold conditions for rill initiation on sandy loam Brunisols: laboratory and field experiments in southern Ontario, Canada. Geoderma. Vol. 57, No. 4, 1993, pp. 357-385. [ Links ]
MOODY, J.A. and SMITH, J.D. Critical shear stress for erosion of cohesive soils subjected to temperatures typical of wildfire. Journal of Geophysical Research. Vol. 110, 2005, pp. 1-13. [ Links ]
MORGAN, R.P.C., QUINTON, J.N., SMITH, R.E., GOVERS, G., POESEN, J.W.A., AUERSWALD, K., CHISCI, G., TORRI, D., and STYCZEN, M.E. The European Soil Erosion Model (EUROSEM): A dynamic approach for predicting sediment transport from fields and small catchments. Earth Surf. Process. Landforms. Vol. 23, 1998, pp. 527-544. [ Links ]
MORRISON, J.E., RICHARDSON, C.W., LAFLEN, J.M., and ELLIOTT, W.J. Rill erosion of a Vertisol with extended time since tillage. Transactions of the ASAE. Vol. 37, No. 4, 1994, pp. 1187-1196. [ Links ]
NACHTERGAELE, J. and POESEN, J. Spatial and temporal variations in resistance of loess-derived soils to ephemeral gully erosion. European Journal of Soil Science. Vol. 53, 2002, pp. 449-463. [ Links ]
NEARING, M.A., FOSTER, G.R., LANE, L.J., and FINKNER, S.C. A process-based soil erosion model for USDA-Water Erosion Prediction Project technology. Transactions of the ASAE. Vol. 32, No. 5, 1989, pp. 1587-1593. [ Links ]
NEARING, M.A., BULYGIN, S.Y., and KOTOVA, M.M. Primary verification and adaptation of the WEPP model for Ukrainian conditions: problems, possible solutions, and perspectives. Pochvovedenie. Vol. 31, No. 1, 1998, pp. 96-99. [ Links ]
NORTON, L.D. and BROWN, L.C. Time-effect on water erosion for ridge tillage. Transactions of the ASAE. Vol. 35, No. 2, 1992, pp. 473-478. [ Links ]
O'BRIEN, M.P. and RINDLAUB, B.D. The transportation of bed-load by streams. Trans. Am. Geophys. Union. Vol. 15, 1934, pp. 593-603. [ Links ]
PARTHENIADES, E. Erosion and deposition of cohesive soils. Journal of the Hydraulics Division. Proceedings of the American Society of Civil Engineers. Vol. 1, 1965, pp. 105-139, [ Links ]
PROSSER, I.P., DIETRICH, W.E., and STEVENSON, J. Flow resistance and sediment transport by concentrated overland flow in a grassland valley. Geomorphology. Vol. 13, 1995, pp. 73-86. [ Links ]
PROSSER, I.P. Thresholds of channel initiation in historical and Holocene times. Advances in Hillslope Processes. Vol. 2, 1996, pp. 687-708. [ Links ]
QUINTON, J.N. and RODRIGUEZ, F. Modelling the impact of live barriers on soil erosion in the Pairumani sub-catchment, Bolivia. Mt. Res. Dev. Vol. 19, 1999, pp. 292-299. [ Links ]
RANIERI, S.B.L., SPAROVEK, G., DEMARIA, I.C., and FLANAGAN, D.C. Erosion rate estimation using USLE and WEPP on a Brazilian watershed. Proceedings of 10th International Soil Conservation Organization Conference. West Lafayette, 1999. [ Links ]
RAPP, I. Effects of soil properties and experimental conditions on the rill erodibilities of selected soils. Ph. D. Thesis. Pretoria: Faculty of Biological and Agricultural Sciences, University of Pretoria, South Africa, 1998. [ Links ]
RAUWS, G. The initiation of rills on plane beds of non-cohesive sediments. Catena. Supplement 8, 1987, pp. 107-118. [ Links ]
RAUWS, G. and GOVERS, G. Hydraulic and soil mechanic aspects of rill generation on agricultural soils. Journal of Soil Science. Vol. 39, 1988, pp. 111-124. [ Links ]
REICHERT, J.M., SCHÄFER, M.J., CASSOL, E.A., and NORTON, L.D. Interrill and rill erosion on a tropical sandy loam soil affected by tillage and consolidation. In Stott, D.E., Mohtar, R.H., Steinhardt, G.C. (editors). Sustaining the Global Farm. Selected papers from the 10th International Soil Conservation Organization Meeting, May 24-29, 1999, Purdue University and the USDA-ARS Soil Erosion Research Laboratory, 2001. [ Links ]
RIVERA, F., SOTO, G., ORTIZ, L., BEREZOWSKI, M., and AGUILAR, R. MOVFO2D. Modelo numérico bidimensional de fondo móvil con cambio granulométrico. Ingeniería hidráulica en México. Vol. XIX, núm. 3, julio-septiembre de 2004, pp. 55-68. [ Links ]
SANTORO, V.C., AMORE, E., MODICA, C., and NEARING, M.A. Application of two erosion models to a large Sicilian basin. Proceedings of the Third International Congress of European Society for Soil Conservation. Valencia, 2002. [ Links ]
SAVABI, M.R., KLIK, A., GRULICH, K., MITCHELL, J.K., and NEARING, M.A. Application of WEPP and GIS on small watersheds in USA and Austria. In HydroGIS 96: Application of Geographic Information Systems in Hydrology and Water Resources Management, Proceedings of the Vienna Conference. IAHS Publication 235, 1996. [ Links ]
SHAINBERG, I., LAFLEN, J.M., BRADFORD, J.M., and NORTON, L.D. Hydraulic flow and water quality characteristics in rill erosion. Soil Science Society of America Journal. Vol. 58, No. 4, 1994, pp. 1007-1012. [ Links ]
SHAINBERG, I., GOLDSTEIN, D., and LEVY, G.J. Rill erosion dependence on soil water content, aging, and temperature. Soil Science Society of America Journal. Vol. 60, No. 3, 1996, pp. 916-922. [ Links ]
SHERIDAN, G.J., SO, H.B., LOCH, R.J., POCKNEE, C., and WALKER, C.M. Use of laboratory-scale rill and interrill erodibility measurements for the prediction of hillslope-scale erosion on rehabilitated coal mine soils and overburdens. Australian Journal of Soil Research. Vol. 38, 2000a, pp. 285-297. [ Links ]
SHERIDAN, G.J., SO, H.B., LOCH, R.J., and WALKER, C.M. Estimation of erosion model erodibility parameters from media properties. Australian Journal of Soil Research. Vol. 38, No. 2, 2000b, pp. 256-284. [ Links ]
SHIELDS, A. Anwendung der ahnlichkeismechanik und der turbulenzforschung auf die geschiebebewegung. Mitteilingggen der Preussischen Versuchsansstalt fur Wasserbau und Schiffbau. No. 26, Berlin Germay (Ott, WP., Uchelon, JUC., Trans., California Institute of Tecnology, Pasadena, CA), 1936. [ Links ]
SIMONS, D.B., LI, R.M., and FULLERTON, L. Theoretically derived sediment transport equations for Pima County, Arizona. Prepared for Pima County DOT and Flood Control District, Tucson, Ariz. Fort Collins, USA: Simons, Li y Assoc., 1981. [ Links ]
SLATTERY, M.C. and BRYAN, R.B. Hydraulic conditions for rill incision under simulated rainfall: a laboratory experiment. Earth Surface Processes and Landforms. Vol. 17, 1992, pp. 127-146. [ Links ]
SMERDON, E.T. Effect of rainfall on critical tractive forces in channels with shallow flow. Transactions of the ASAE. Paper No. 63-700, St. Joseph, USA, 1964. [ Links ]
SMERDON, E.T. and BEASLEY, R.P The tractive force theory applied to stability of open channels in cohesive soils. Agricultural Experiment Station University of Missouri Research Bulletin. Vol. 715, 1959, pp. 1-36. [ Links ]
TORRI, D. A theoretical study of soil detachability. Catena Supplement. Vol. 10, 1987, pp. 15-20. [ Links ]
TROUT, T.J. Erosion and sedimentation processes on irrigated fields. J. of Irrig. and Drain. Engr. ASCE. Vol. 119. No. 6, 1993, pp. 947-963. [ Links ]
TROUT, T.J. Furrow erosion and sedimentation: on field distribution. Trans. ASAE. Vol. 39. No. 5, 1996, pp. 1717-1723. [ Links ]
TROUT, T.J. Sediment transport in irrigation furrows. Sustaining the Global Farm: Selected Papers from the 10th Intl. Soil Conservation Organization Meeting. Stott, D.E., Mothar, R.H. and Steinhardt, G.C. (editors). West Lafayette, Ind.: Purdue University and USDA-ARS National Soil Erosion Research Laboratory, 1999, pp. 710-716. [ Links ]
TROUT, T.J. Sediment transport in irrigation furrows. In Sustaining the Global Farm: Selected Papers from the 10th Intl. Soil Conservation Organization Meeting. Stott, D.E., Mothar, R.H. and Steinhardt, G.C. (editors). West Lafayette, USA: Purdue University and USDA-ARS National Soil Erosion Research Laboratory, 2001, pp. 710-716. [ Links ]
TROUT, T.J. and NEIBLING, W.H. Erosion and sedimentation processes on irrigated fields. J. Irrig. Drainage Engr. ASCE Vol. 119, No. 6, 1993, pp. 947-963. [ Links ]
VAN KLAVEREN, R.W. and MCCOOL, D.K. Erodibility and critical shear of a previously frozen soil. Transactions of the ASAE. Vol. 41, No. 5, 1998, pp. 1315-1321. [ Links ]
VEIHE, A., REY, J., QUINTON, J.N., STRAUSS, P., STRAUSS, P., SANCHO, F.M., and SOMARRIBA, M. Modelling of event-based soil erosion in Costa Rica, Nicaragua and Mexico: evaluation of the EUROSEM model. Catena. Vol. 44, No. 3, 2001, pp. 187-203. [ Links ]
WEST, L.T., MILLER, W.P., BRUCE, R.R., LANGDALE, G.W., LAFLEN, J.M., and THOMAS, A.W. Cropping system and consolidation effects on rill erosion in the Georgia Piedmont. Soil Science Society of America Journal. Vol. 56, 1992, pp. 1238-1243, [ Links ]
WICKS, J.M. and BATHURST, J.C. SHESED: A physically-based, distributed erosion and sediment yield component for the SHE. hydrological modelling system. Journal of Hydrology. Vol. 175, 1996, pp. 213-238. [ Links ]
WOOLHISER, D.A. Hydrologic and watershed modeling - state of the art. Transactions of the ASAE. Vol. 16, No. 3, 1973, pp. 553-559. [ Links ]
WOOLHISER, D.A., SMITH, R.E., and GOODRICH, D.C. KINEROS, a Kinematic Runoff and Erosion Model: Documentation and User Manual. ARS- 77. Fort Collins, USA: USDA-ARS, 1990, 130 pp. [ Links ]
YANG, C.T. Unit stream power equations for total load. Journal of Hydrology. Vol. 40, 1979, pp. 123-138. [ Links ]
YAN, L.J., YU, X.X., LEI, T.W., ZHANG, Q.W. and QU, L.Q. Effects of transport capacity and erodibility on rill erosion processes: A model study using the finite element method. Geoderma. Vol. 146, 2008, pp. 628-633. [ Links ]
ZELEKE, G. Application and adaptation of WEPP to the traditional farming system of the Ethiopian highlands. Proceedings of 10th International Soil Conservation Organization Conference. West Lafayette, 1999. [ Links ]
ZHANG, X.C., NEARING, M.A., RISSE, L.M., and MCGREGOR, K.C. Evaluation of runoff and soil loss predictions using natural runoff plot data. Transactions of the ASAE. Vol. 39. No. 3, 1996, pp. 855-863. [ Links ]
ZHU, J.C., GANTZER, C.J., PEYTON, R.L., ALBERTS, E.E., and ANDERSON, S.H. Simulated small-channel bed scour and head cut erosion rates compared. Soil Science Society of America Journal. Vol. 59, No. 1, 1995, pp. 211-218. [ Links ]
ZHU, J.C., GANTZER, C.J., ANDERSON, S.H., PEYTON, R.L., and ALBERTS, E.E. Comparison of concentrated flow-detachment equations for low shear stress. Soil and Tillage Research. Vol. 61, 2001, pp. 203-212. [ Links ]













