Services on Demand
Journal
Article
Indicators
-
Cited by SciELO -
Access statistics
Related links
-
Similars in
SciELO
Share
Tecnología y ciencias del agua
On-line version ISSN 2007-2422
Tecnol. cienc. agua vol.1 n.4 Jiutepec Oct./Dec. 2010
Artículos técnicos
Solución en diferencias finitas de la ecuación de Boussinesq del drenaje agrícola con porosidad drenable variable y sujeta a una condición de radiación fractal
Finite difference solution of the agricultural drainage Boussinesq equation with variable drainable porosity subject to a fractal radiation boundary condition
Carlos Chávez1, Carlos Fuentes1, Manuel Zavala2
1 Universidad Autónoma de Querétaro, México.
2 Universidad Autónoma de Zacatecas, México.
Dirección institucional de los autores
Dr. Carlos Chávez
Facultad de Ingeniería
Universidad Autónoma de Querétaro
Cerro de las Campanas
76010 Santiago de Querétaro, Querétaro, México
teléfono: +52 (442) 1921 200, extensión 6036
fax: +52 (442) 1921 200, extensión 6006
chagcarlos@gmail.com
Dr. Carlos Fuentes
Facultad de Ingeniería
Universidad Autónoma de Querétaro
Cerro de las Campanas
76010 Santiago de Querétaro, Querétaro, México
teléfono: +52 (442) 1921 200, extensión 6036
fax: +52 (442) 1921 200, extensión 6006
cfuentes@uaq.mx
Dr. Manuel Zavala
Universidad Autónoma de Zacatecas
Jardín Juárez 147, Centro Histórico
98000 Zacatecas, Zacatecas, México
teléfono: +52 (492) 1354 512
mzavala73@yahoo.com.mx
Recibido: 04/09/09
Aprobado: 02/06/10
Resumen
El drenaje subterráneo es utilizado para eliminar excedentes de agua en la zona radical y suelos salinos para lixiviar las sales. La dinámica del agua es estudiada con la ecuación de Boussinesq; sus soluciones analíticas son obtenidas asumiendo que la transmisibilidad del acuífero y la porosidad drenable son constantes, y que la superficie libre se abate de manera instantánea sobre los drenes. La solución en el caso general requiere de soluciones numéricas. En la literatura se ha demostrado que la condición de frontera en los drenes es una condición de radiación fractal y que la porosidad drenable es variable y relacionada con la curva de retención de humedad, y ha sido resuelta con el método del elemento finito, que en un esquema unidimensional puede hacerse equivalente al método de diferencias finitas. Aquí se propone una solución en diferencias finitas de la ecuación diferencial, considerando la porosidad drenable variable y la condición de radiación fractal. El esquema en diferencias finitas propuesto ha resultado en dos formulaciones: en una aparecen de manera explícita la carga y porosidad drenable, variables ligadas con una relación funcional, que se ha denominado esquema mixto; en la otra aparece sólo la carga hidráulica, denominada esquema en carga. Los dos esquemas coinciden cuando la porosidad drenable es independiente de la carga. Los esquemas han sido validados con una solución analítica lineal, y para la no linealidad se ha mostrado que es estable y concisa. La solución numérica es útil para la caracterización hidrodinámica del suelo a través de una modelación inversa, y para un mejor diseño de los sistemas de drenaje agrícola subterráneo, ya que las hipótesis consideradas en las soluciones clásicas han sido eliminadas.
Palabras clave: formulación mixta, formulación en carga, curva de retención, modelación inversa.
Abstract
Subsurface drainage systems are used to control the depth of the water table and to reduce or prevent soil salinity. Generally, the flow of the groundwater is studied with the Bousssinesq equation, whose analytical solutions are obtained assuming that aquifer transmissivity and drainable porosity are constant. These solutions assume as well that the free surface of the water falls instantly over the drains. The general solution requires numerical methods. Some authors have demonstrated that the drain boundary condition is a fractal radiation condition and that the drainable porosity is a variable which is related to the soil retention curve. This solution has been obtained with a finite element method, which in one-dimensional form is equivalent to a finite difference method. Here, we propose a finite difference solution of the differential equation with variable drainable porosity and a fractal radiation condition. The proposed finite differences method has two formulations: the first one, with an explicit head and drainable porosity, both joined with a functional relationship, which we call mixed formulation; and the second one, which we call head formulation, with only the head. Both methods have been validated with a lineal analytical solution, and the nonlinear part is stable and brief. The proposed numerical solution is useful for the hydraulic characterization of soils with inverse modeling and for improving the design of agricultural drainage systems, considering that the assumptions of the classical solution have been eliminated.
Keywords: mixed formulation, head formulation, soil water retention curve, inverse modeling.
Introducción
Los sistemas de drenaje subterráneos son ampliamente utilizados en la agricultura para eliminar excedentes de agua en la zona radical de las plantas y para lixiviar las sales del perfil de los suelos. La dinámica del agua en estos sistemas ha sido estudiada aceptando la validez de la ley de Darcy (1956) y en función de la escala de estudio se pueden utilizar dos ecuaciones diferenciales. La ecuación de Richards (1931) que resulta de la aplicación del principio de conservación de la masa en el flujo del agua en un volumen elemental de medio poroso y de la ley de Darcy permite considerar la geometría de los drenes en las condiciones de frontera; sin embargo, la simulación de la dinámica del agua con las soluciones numéricas bi o tridimensionales puede ser ardua (Zavala et al., 2003). La ecuación de Boussinesq (1904) de los acuíferos libres que resulta de la aplicación del principio de conservación de la masa en una columna elemental de medio poroso y de la propia ley de Darcy pondera las propiedades del suelo y el sistema en la vertical, y es a lo más una ecuación bidimensional; el acuífero se modela en planta y la geometría de los drenes es introducida como líneas matemáticas o como puntos en un análisis bidimensional o unidimensional, respectivamente.
La ecuación de Boussinesq unidimensional ha sido una de las bases para construir soluciones analíticas aproximadas de la dinámica del agua en un sistema de drenaje tanto en régimen permanente como transitorio (e.g. Hooghoudt, 1940; Dumm, 1954), y que son utilizadas en el diseño de los sistemas. En la deducción de la ecuación de Glover-Dumm para el régimen transitorio se asume que la transmisibilidad del acuífero y la porosidad drenable son constantes, y que la superficie libre se abate de manera instantánea sobre los drenes. Dado que los tres supuestos no representan adecuadamente las condiciones reales, la solución en cuestión puede ser de aplicabilidad limitada. Sin embargo, considerando condiciones más representativas, conduce a dificultades analíticas, razón por la cual es necesaria la utilización de métodos numéricos para construir soluciones de la ecuación de Boussinesq.
En una línea de investigación, Zavala et al. (2004, 2007) analizan detalladamente el tipo de condición de frontera representativa de las condiciones reales; los autores, basados en los conceptos de la geometría fractal y en experiencias de drenaje, recomiendan una condición de radiación fractal, la cual incluye la radiación lineal utilizada por Fuentes et al. (1997). En cuanto a la porosidad drenable, Fuentes et al. (2009), basados en los conceptos de lámina drenable y lámina drenada, y también en experiencias de drenaje, proponen una expresión analítica en la cual interviene la curva de retención de humedad de los suelos. Los autores citados utilizan el método del elemento finito para resolver la ecuación unidimensional de Boussinesq, con buenos resultados en cuanto a la estabilidad, convergencia y precisión de la solución. En un esquema unidimensional, el método del elemento finito puede hacerse equivalente al método de diferencias finitas (Russell y Wheeler, 1983).
Existe un esquema en diferencias finitas, basado en el esquema de Laasonen, propuesto por Zataráin et al. (1998), para resolver numéricamente la ecuación de Richards aplicada al fenómeno de la infiltración del agua en los suelos, con excelentes resultados. Aparte de su alta precisión, estabilidad y convergencia, el esquema tiene la ventaja adicional de su naturaleza intuitiva, ya que está basado en un balance local de masa. Este esquema puede ser utilizado para resolver la ecuación unidimensional de Boussinesq del drenaje agrícola.
El presente trabajo tiene como objetivo la solución numérica de la ecuación unidimensional de Boussinesq con el método de diferencias finitas basado en un balance local de masa. Se considera que la porosidad drenable es variable y las condiciones de frontera en los drenes son de radiación fractal.
Ecuaciones de base
Ecuación de Boussinesq
En el estudio de la dinámica del agua en sistemas de drenaje con la ecuación de Boussinesq se asume generalmente que las variaciones de la carga hidráulica a lo largo de los tubos de drenaje (dirección y) son despreciables respecto a las variaciones de la carga en un corte transversal (dirección x). En esta situación, la ecuación a resolver en el dominio mostrado en la figura 1 es la ecuación de Boussinesq unidimensional, que resulta de la ecuación de continuidad:

y de la ley de Darcy:


donde H = H(x, t) es la carga hidráulica contada a partir de un estrato impermeable, y es una función de la coordenada horizontal (x) y del tiempo (t); q es el flujo de Darcy o caudal por unidad de área; Ks es la conductividad hidráulica a saturación; υ = υ(H) es la porosidad drenable como una función de la carga; R es el volumen de recarga en la unidad de tiempo por unidad de área del acuífero.
El caudal unitario de agua Qu = Hq es proporcionado por:

donde T(H) es la transmisibilidad.
La capacidad de almacenamiento está definida por:

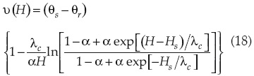
donde W = (υH) es la lámina de agua drenable. La igualdad μ = υ se da cuando la porosidad drenable es independiente de la carga.
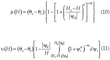
La porosidad drenable
Siguiendo el procedimiento de Fuentes et al. (2009), se establece una expresión de la capacidad de almacenamiento. Si la superficie libre estuvo inicialmente en la posición z = Hs, la lámina drenada, cuando esta superficie se encuentra en la posición z = H < Hs, está definida por:

donde θs es el contenido de humedad a saturación; θpH (z) es el contenido de humedad en función de la posición o perfil de humedad.
De acuerdo con Fragoza et al. (2003), la capacidad de almacenamiento de un acuífero libre se define como:

donde θs es el contenido de humedad a saturación; θ (H - Hs) representa la evolución del contenido de humedad en la posición z = Hs mientras la superficie libre desciende; z es la elevación de la superficie del terreno.
La porosidad drenable se deduce a partir de la igualdad de las ecuaciones (5) y (7), a saber:

donde
es la variable de integración.
Para calcular la capacidad de almacenamiento y la porosidad drenable es necesario proporcionar la curva de retención de humedad del suelo. En la literatura es bastante común representarla con la ecuación de van Genuchten (1980):

donde θr es el contenido residual de humedad; Ψd es un parámetro de escala de la presión; m y n son dos parámetros de forma positivos.
La introducción de la ecuación (9) en las ecuaciones (7) y (8) proporciona la capacidad de almacenamiento y la porosidad drenable siguientes:

La porosidad drenable no tiene una forma analítica cerrada, pudiendo ser calculada mediante integración numérica.
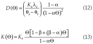
Una forma cerrada puede ser construida a partir de la difusividad de Fujita (1952) y de la relación conductividad hidráulica-difusividad hidráulica de Parlange et al. (1982) (Fuentes et al., 1992), definidas por:

donde Θ = (θ -θr)/ (θs -θr) es un grado efectivo de saturación; α y β son parámetros de forma adimensionales, tales que 0 < α < 1 y 0 < β < 1; λc es la escala de Bouwer (1964).
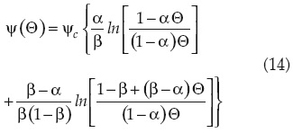
De la definición de la difusividad hidráulica D(θ) = K(θ)dΨ/dθ, considerando la condición θ = θs cuando Ψ = 0, se deduce:

donde Ψc = -λc.
La porosidad drenable se obtiene de las ecuaciones (8) y (14):

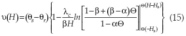
Se debe notar que la función θ(Ψ) es implícita en la ecuación (14), y en consecuencia la función υ(H). Estas funciones pueden ser explicitadas en función de la presión si se acepta α = β; en este caso, la conductividad en función de la presión corresponde a la ecuación de Gardner (1958) K(Ψ) = Ks exp(Ψ/1c), ampliamente utilizada en estudios teóricos. La curva θ(Ψ) correspondiente es la siguiente:

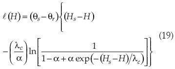
De la ecuación (7) se obtiene la capacidad de almacenamiento:

y de la ecuación (15), la porosidad drenable:

La lámina drenada se obtiene de la ecuación

El contenido de humedad a saturación puede ser asimilado a la porosidad total (Φ), la cual es estimada a partir de la densidad total del suelo seco (ρt) y de la densidad de las partículas (ρo), con la fórmula Φ = 1 - ρt/ ρo; el contenido de humedad residual puede ser asumido igual a cero.
Condiciones inicial y de frontera
La carga hidráulica contada a partir del estrato impermeable H(x, t) está relacionada con la carga h(x, t) contada a partir de los drenes, de acuerdo con la figura 1, por:

donde Do es la altura de los drenes a partir del estrato impermeable.
La variación transversal de h al inicio del proceso de drenaje es considerada como la condición inicial:

En cuanto a las condiciones de frontera o condiciones en los drenes ubicados en x = 0 y x = L, se han asumido formas diversas. La solución de Glover-Dumm es establecida asumiendo que la carga sobre el dren se abate totalmente de manera instantánea (Dumm, 1954); esta condición es de tipo Dirichlet o de primer orden. La solución de Fuentes et al. (1997) (ver también Fragoza et al., 2003) se obtiene bajo el argumento soportado experimentalmente de que el flujo de Darcy en los drenes es proporcional a la carga (q ∞ h); esta condición es de tipo radiación lineal o de tercer orden. Ambas condiciones de frontera son casos particulares de:

donde el signo positivo corresponde al dren posicionado en x = 0; mientras que el negativo, al posicionado en x = L.
El flujo de radiación lineal se puede expresar como q = κKsh/L, donde κ es un coeficiente adimensional de conductancia de la interfaz suelo-dren. De la solución de Fuentes et al. (1997), se deduce la solución de Glover-Dumm cuando este coeficiente es infinito. En esta misma línea de investigación, Zavala et al. (2004, 2007) proponen una condición de radiación fractal:

donde qs es el flujo correspondiente y depende de las características de la interfaz suelo-dren; s está definido por s = D/E, donde D es la dimensión fractal efectiva de la interfaz suelo-dren y E = 3 es la dimensión de Euclides del espacio físico. La relación entre s y la porosidad efectiva de la interfaz es proporcionada por la ecuación presentada por Fuentes et al. (2001):

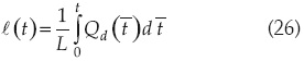
En un sistema de drenes paralelos a igual separación, el gasto de agua que fluye a través de la frontera por unidad de longitud de dren es (Fuentes et al., 1997):

La evolución temporal de la lámina drenada se calcula con la siguiente expresión:

donde
es una variable de integración.
Solución numérica
Esquemas numéricos
La ecuación unidimensional de Boussinesq se resuelve con el método de diferencias finitas, adaptando el esquema numérico propuesto por Zataráin et al. (1998) para un problema similar en la escala de la ecuación de Richards. La adaptación a la escala de la ecuación de Boussinesq requiere de la discretización del dominio, como se muestra en la figura 2.
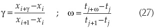
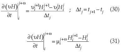
Para plantear la resolución numérica de la ecuación (3), se introducen los parámetros de interpolación definidos por:

tales que 0 < γ < 1 y 0 < ω < 1; i = 1,2,... y j = 1,2,... son los índices para el espacio y el tiempo, respectivamente.
La variable dependiente (H) en un nodo intermedio i + γ para todo j se estima como:

mientras que en el tiempo intermedio j + ω para todo i se estima como:

La ecuación (1) se aplica en el tiempo tj+w la derivada temporal puede ser discretizada de acuerdo con las dos formulaciones siguientes:

Para identificar en lo sucesivo los dos esquemas numéricos resultantes, el primero es denominado esquema mixto y el segundo esquema en carga, ya que en el primero aparecen de manera explícita la carga y el volumen de agua que se drena, mientras que en el segundo aparece explícitamente sólo la carga; las dos formulaciones coinciden cuando la porosidad drenable es independiente de la carga y la formulación en carga no requiere de la integración numérica en la ecuación (11) para calcular la porosidad drenable.
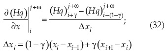
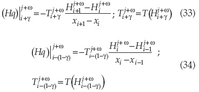
La discretización de la derivada espacial alrededor del nodo i-ésimo es la siguiente:

De la ecuación (4) se obtiene el caudal unitario definido en los nudos intermedios:

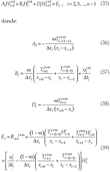
Las cargas en los diferentes nodos y en el tiempo intermedio se obtienen de la ecuación (29), las cuales son introducidas en las ecuaciones (33) y (34), y éstas, a su vez, en la ecuación (32). Luego, las ecuaciones (30) y (32) se llevan a la ecuación (1), y se asocian términos semejantes, resultando el sistema de ecuaciones algebraicas siguiente:

Para el esquema en carga, ecuación (31), los coeficientes Bi y Ei deben ser redefinidos reemplazando en las ecuaciones (37) y (39) υij+1 y υij por μij+ω.
El sistema (35) forma una matriz tridiagonal y puede ser resuelto de manera eficiente mediante el algoritmo de Thomas (ver Zataráin et al., 1998), una vez especificadas las condiciones inicial y de frontera. Es necesario señalar que κ0, en la discretización de la condición de radiación fractal, depende de la propia solución; sin embargo como el proceso de solución del sistema (35) es iterativo, este parámetro se calcula en función del estimador precedente.
De acuerdo con Zataráin et al. (1998), la discretización del dominio se realiza de modo que el incremento xi - xi-1 = δx sea constante para i = 4, 5... N - 2, excepto en la vecindad de los drenes; es decir, para x1 = 0: a) x2 - x1 = 0.4 δx, x3 - x2 = 0.6 δx, Δx1 = 0.1 δx, Δx2 = 0.6 δx; y b) xN = L, xN - xN-1 = 0.4 δx, Δx = 0.6 δx, ΔxN = 0.1 δx. El valor de interpolación en el espacio se toma como γ = ½ en el dominio, excepto, como se puede inferir, en la primera y última celdas.
En cuanto a la discretización del tiempo, dada la del espacio, se sigue el enfoque clásico de escribir las ecuaciones del movimiento en forma adimensional, válido en medios homogéneos, para obtener relaciones entre la escalas espaciales y temporales características. Introduciendo variables adimensionales en la ecuación de Boussinesq, ecuación (3), definidas como x, = x/L, t* = t/τ, H* = H/Hs, μ* = μ/υs, Rw, = RwL2/TsHs, donde υs= υ(Hs) y Ts = KsHs, se obtiene la misma ecuación de Boussinesq con variables con asteriscos si τ = υsL2/Ts. Debido a la naturaleza parabólica de la ecuación diferencial, se define el parámetro M = (Δx*)2/ Δt*, que puede ser encontrado comparando la solución en diferencias finitas con soluciones analíticas. El valor del parámetro para los tiempos cortos recomendado por Zataráin et al. (1998) es del orden de M ≅ 0.1.
Comparación con una solución analítica
Con la finalidad de definir valores primeros de los parámetros de interpolación en el espacio y en el tiempo (γ y ω), la solución numérica se compara con una solución analítica obtenida de la ecuación de Boussinesq en un caso particular. Esta solución ha sido construida para una linealización de la ecuación diferencial representada por una transmisibilidad constante, pero con una condición de radiación lineal en los drenes y que incluye la ecuación clásica de Glover-Dumm (Dumm, 1954). Los valores utilizados para la simulación son los reportados por Fragoza et al. (2003): L = 50 m, Ks = 0.557 y m/d,
= 0.1087 m3/m3,
= 2.5065 m2/d, Ds = 3.5 m, Hs = 5.0 m y κ = 1.5.
En la figura 3 se muestra el comportamiento de la evolución del abatimiento de la superficie libre en un día con diferentes valores de interpolación en el tiempo (ω). Se muestra la variación del abatimiento de la superficie libre en todo el dominio de solución y un acercamiento sobre el dren, con diferentes pasos de interpolación. Puede apreciarse que el paso de interpolación óptimo que hace que la solución numérica coincida con la solución analítica, dado un criterio de error, es ω = 0.95. En la figura 4 se muestra el abatimiento de la superficie libre y la evolución del volumen drenado por unidad de área de suelo. Los resultados muestran que no existen diferencias significativas entra la solución analítica y la solución en diferencias finitas; se ha utilizado M ≅ 0.04.
Comparación de los dos esquemas numéricos
Los esquemas mixto y en carga se comparan entre sí, aceptando los valores γ = 0.5 y ω = 0.95. El suelo utilizado es el caracterizado por Saucedo et al. (2003), con los valores θs = 0.5245 cm3/cm3, θr = 0 cm3/cm3, Ks = 0.446 m/d; los valores de los parámetros de las características hidrodinámicas son: a) para Fujita y Parlange λc= 0.521 m y α = 0.98; b) para van Genuchten, con la restricción de Burdine (1953) m = 1 -2/n, m = 0.066 y Ψd = -0.15 m. Para comparar los esquemas, se propone un distanciamiento entre drenes L = 25 m y una profundidad de drenes Hs = 1.5 m.
Los resultados de la simulación numérica obtenidas con las dos características hidrodinámicas se muestran en las figuras 5 y 6. En la figura 5 se tiene la evolución del abatimiento de la carga y la lámina drenada para tiempos de 60 y 250 d, respectivamente, utilizando las características hidrodinámicas de Fujita y Parlange, y en la figura 6 se aprecian los resultados obtenidos con las características hidrodinámicas de van Genuchten para los tiempos mencionados con anterioridad. Puede verse que no existen diferencias aparentes entre el esquema mixto y el esquema en carga con cada una de las características hidrodinámicas utilizadas; los resultados muestran que utilizar cualquiera de los dos esquemas conduce al mismo resultado.
Problema inverso
Para evaluar la capacidad de la condición de radiación fractal con capacidad de almacenamiento variable se hace uso de la información experimental presentada por Zavala et al. (2003). La prueba se realizó en un contenedor rectangular con las siguientes características: profundidad de los drenes Hs = 120 cm; profundidad del estrato impermeable Do = 25 cm; separación entre drenes L = 100 cm; diámetro y longitud de los drenes d = 5 cm y l = 30 cm. Las propiedades del suelo son porosidad volumétrica Φ = 0.539 cm3/ cm3 y conductividad hidráulica saturada Ks = 18.3 cm/h. La dimensión fractal relativa del suelo obtenida con la ecuación es s = 0.7026.
Las características hidrodinámicas utilizadas son las de Fujita y Parlange; para esto, se fija el valor de α = 0.98 y los parámetros λc y κ0 se estiman mediante la minimización de la suma de los cuadrados de los errores entre la lámina drenada medida y la lámina drenada calculada con la solución numérica en el transcurso del tiempo. En la figura 7 se presentan los resultados obtenidos del problema inverso para 24 h y 240 h. Se usaron los dos esquemas numéricos y el resultado fue el mismo. La mejor aproximación a los datos experimentales es obtenida con λc = 0.5152 m y κ0 = 0.10, que proporcionan un ECM = 0.1283 cm.
La condición de radiación fractal y la capacidad de almacenamiento variable reproducen de buena manera los datos medidos en laboratorio para el intervalo de tiempo menor a 6 h, posteriormente hay una ligera subestimación de los mismos hasta un tiempo de 150 h; sin embargo, el buen acuerdo entre la lámina drenada medida y la lámina drenada obtenida con el modelo es evidente.
Conclusiones
Se ha resuelto la ecuación unidimensional de Boussinesq del drenaje agrícola con el método de diferencias finitas basada en un balance local de masa. Resultaron dos esquemas de discretización de la derivada temporal, la cual representa el cambio de almacenamiento en este balance. En uno aparecen de manera explícita la carga y porosidad drenable, variables ligadas con una relación funcional, que se ha denominado esquema mixto; en el otro aparece sólo la carga hidráulica, denominado esquema en carga. Los dos esquemas coinciden cuando la porosidad drenable es independiente de la carga.
La validación parcial de ambos esquemas fue realizada mediante la comparación de las soluciones numéricas obtenidas con una solución analítica de la literatura construida para condiciones de linealidad. Las evoluciones de la carga de agua en el perfil y la lámina drenada calculadas con la solución analítica son similares, bajo un criterio de error, a las calculadas con la solución numérica para todo tiempo. La aplicabilidad de los esquemas propuestos para condiciones donde la linealidad es restringida, la ausencia de fluctuaciones tanto en el tiempo como en el espacio de la carga y de la lámina drenada permite recomendar los esquemas numéricos de la ecuación unidimensional de Boussinesq propuestos para el estudio de la dinámica del agua en los sistemas de drenaje agrícola subterráneos. En particular, la solución numérica construida puede ser utilizada para la caracterización hidrodinámica del suelo a través de una modelación inversa, es decir, a partir de las evoluciones experimentales se pueden inferir los parámetros del sistema.
La solución numérica propuesta puede ser utilizada para un mejor diseño de sistemas de drenaje agrícola subterráneo, ya que las hipótesis consideradas en las soluciones clásicas han sido eliminadas.
Referencias
BOUSSINESQ, J. Recherches the'oriques sur l'e'coulement des nappes d'eau infiltre'es dans le sol et sur le de'bit des sources. J. Math. Pure. Appl. 5me. Ser. 10, 1904, pp. 5-78. [ Links ]
BOUWER, H. Rapid field measurement of air entry value and hydraulic conductivity of soil as significant parameters in flow system analysis. Water Resources Research. Vol. 36, 1964, pp. 411-424. [ Links ]
BURDINE, N.T. Relative permeability calculation from size distribution data. Pet. Trans. AIME. Vol. 198, 1953, pp. 71-78. [ Links ]
DUMM, L. Drain spacing formula. Agricultural Engineering. Vol. 35, 1954, pp. 726-730. [ Links ]
FRAGOZA, F., FUENTES, C., ZAVALA, M., ZATARÁIN, F., SAUCEDO, H. y MEJÍA, E. Drenaje agrícola subterráneo con capacidad de almacenamiento variable. Ingeniería hidráulica en México. Vol. 18, núm. 3, julio-septiembre de 2003, pp. 81-93. [ Links ]
FUENTES, C., BRAMBILA, F., VAUCLIN, M., PARLANGE, J.-Y. y HAVERKAMP, R. Modelación fractal de la conductividad hidráulica de los suelos no saturados. Ingeniería hidráulica en México. Vol. 16, núm. 2, abril-junio de 2001, pp. 119-137. [ Links ]
FUENTES, C., HAVERKAMP, R. y PARLANGE, J.-Y. Parameter constraints on closed-form soil-water relationships. Journal of Hydrology. Vol. 134: 1992, pp. 117-142. [ Links ]
FUENTES, C., NAMUCHE, R., RENDÓN, L., PATRÓN, R., PALACIOS, O., BRAMBILA, F. y GONZÁLEZ, A. Solución de la ecuación de Boussinesq del régimen transitorio en el drenaje agrícola bajo condiciones de radiación: el caso del Valle del Carrizo, Sinaloa. Hermosillo, México: VII Congreso Nacional de Irrigación, 1997, pp. 3-141 a 3-145. [ Links ]
FUENTES, C., ZAVALA, M. y SAUCEDO, H. Relationship between the storage coefficient and the soil-water retention curve in subsurface agricultural drainage systems: water table drawdown. Journal of Irrigation and Drainage Engineering. Vol. 135. no. 3, 2009, pp. 279-285. [ Links ]
FUJITA, H. The exact pattern of a concentration-dependent difussion in a semi-infinite medium, part II. Textile Research Journal. Vol. 22, 1952, pp. 823-827. [ Links ]
GARDNER, W.R. Some steady-state solutions of the unsaturated moisture flow equation with application to evaporation from a water table. Soil Science. Vol. 85, 1958, pp. 228-232. [ Links ]
HOOGHOUDT, S. Bjidrage tot de kennis van enige natuurkundige grootheden van der grond. Verslag andbouwk Onderzoek. Vol. 46, no. 7, 1940, pp. 515-707. [ Links ]
PARLANGE, J.-Y., BRADDOCK, R.D., LISLEY, I. and SMITH, R.E. Three parameter infiltration equation. Soil Science. Vol. 11, 1982, pp. 170-174. [ Links ]
RICHARDS, L.A. Capillary conduction of liquids trough porous mediums. Physics. Vol. 1, 1931, pp. 313-333. [ Links ]
RUSSELL, T.F. and WHEELER M.F. Finite element and finite difference methods for continuous flows in porous media. In The Mathematics of Reservoir Simulation. Ewing, R.E. (editor). Philadelphia: SIAM Publication, 1983, pp. 35-106. [ Links ]
SAUCEDO, H., PACHECO, P., FUENTES, C. y ZAVALA, M. Efecto de la posición del manto freático en la evolución del frente de avance en el riego por melgas. Ingeniería hidráulica en México. Vol. 18, núm. 4, octubre-diciembre de 2003, pp. 119-126. [ Links ]
VAN GENUCHTEN, M. A closed-form equation for predicting the hydraulic conductivity of the unsaturated soils. Soil Sci. Soc. Amer. Journal. Vol. 44, 1980, pp. 892898. [ Links ]
ZATARÁIN, F., FUENTES, C., PALACIOS, V.O.L., MERCADO, E.J., BRAMBILA, F. y VILLANUEVA N. Modelación del transporte de agua y de solutos en el suelo. Agrociencia. Vol. 32, núm. 4, 1998, pp. 373-383. [ Links ]
ZAVALA, M., FUENTES, C. y SAUCEDO, H. Sobre la condición de radiación lineal en el drenaje de una columna de suelo inicialmente saturado. Ingeniería hidráulica en México. Vol. 18, núm. 2, abril-junio de 2003, pp. 121-131. [ Links ]
ZAVALA, M., FUENTES, C. y SAUCEDO, H. Radiación fractal en La ecuación de Boussinesq del drenaje agrícola. Ingeniería hidráulica en México. Vol. 19, núm. 3, julio-septiembre de 2004, pp. 103-111. [ Links ]
ZAVALA, M., FUENTES, C. and SAUCEDO, H. Nonlinear radiation in the Boussinesq equation of agricultural drainage. Journal of Hydrology. Vol. 332, no. 3, 2007, pp. 374-380. [ Links ]













