Introducción
Los incendios forestales son un factor ecológico de gran importancia en los ecosistemas y pueden ocurrir por causas naturales, o por acción antrópica (Flores et al., 2010). En México, del año 2005 a 2020 se registró un total de 126 049 incendios, con una afectación a 5 731 854 ha (Conafor, 2020).
Para que un incendio forestal suceda, se requiere de tres factores básicos: material combustible, condiciones ambientales favorables y un elemento de inicio (Pyne et al., 1996). Los combustibles forestales son el componente núcleo del manejo del fuego, pues es el único susceptible de manipularse (Sullivan, 2009).
Los estudios sobre incendios forestales necesitan de métodos que permitan describir, medir, sintetizar y cartografiar los combustibles. La metodología para estimar su distribución espacial, en general, se agrupan en: evaluaciones de campo, asociaciones, sensores remotos y modelación biofísica (Keane, 2015). Pettinari y Chuvieco (2016) cartografiaron combustibles a nivel mundial mediante sensores remotos y un concepto denominado cama de combustibles, el cual se refiere a una unidad del paisaje, relativamente, homogénea que representan un ambiente único de combustión (Riccardi et al., 2007).
En México, Rentería (2004) cartografió combustibles en el ejido Pueblo Nuevo, en el estado de Durango; mientras que, Rodríguez et al. (2011) lo hicieron para zonas de Quintana Roo, Campeche y Yucatán. Por otra parte, Rubio et al. (2016) estimaron cargas de combustibles a nivel de operación en el Campus Ecológico Iturbide, en el estado de Nuevo León.
La generación de material cartográfico de combustibles forestales es todo un reto. Especialmente, debido a las características de escala y a la complejidad de los procesos que interactúan en los ecosistemas (Keane, 2015). México está en un proceso de transición de políticas públicas hacia programas de manejo del fuego. No obstante, su aplicación implica entre otras cosas la implementación de programas de manejo de combustibles a nivel operativo (Houtman et al., 2013).
En el complejo de combustibles, la importancia de los materiales muertos radica que, en conjunto con los pastos, es en donde generalmente comienzan las igniciones de los incendios. Por esa razón, los programas de manejo de combustibles centran su atención en este tipo de combustibles (Semarnat y Sagarpa, 2007). Sin embargo, el estudio de la distribución espacial de dichos combustibles a niveles de operación ha sido poco estudiada. El propósito del presente trabajo fue mostrar la variabilidad y distribución espacial de las cargas de combustibles muertos en una parcela de muestreo forestal de una hectárea, ubicada en un bosque de pino-encino. Se espera cimentar una base importante para las investigaciones de cargas de combustibles a niveles de gran detalle; ello permitirá, tanto a las áreas operativas como a los tomadores de decisiones agilizar el proceso de transición hacia el manejo del fuego.
Materiales y Métodos
El estudio se llevó a cabo en el Área de Protección de Flora y Fauna Sierra de Quila (Figura 1). Esta zona tiene una superficie de 14 168 ha, y sus coordenadas extremas son 20°14.65’ a 20°21.67’ de latitud norte y -103°56.79’ a -104°7.98’ de longitud oeste.

Figura 1 Zona de estudio y ubicación de la parcela de muestreo. El arreglo de las subparcelas está compuesto por el número de fila de la subparcela y el número de columna de la subparcela (n,n).
Se estableció una parcela de muestreo forestal en una zona representativa del bosque de Pinus-Quercus, con pendiente de 10 % y orientación noroeste. Sus dimensiones fueron de 100 × 100 m. Las coordenadas de su centroide son 20°17’51.89” de latitud norte y -104°4’16.35” de longitud oeste. Su delimitación se realizó con precisión topográfica, para lo cual se utilizó un teodolito Sokkisha TM10E con 5” de precisión. La orientación de la parcela se determinó con respecto a la pendiente. A partir de una de las esquinas se delimitaron subparcelas cuadradas de 20 × 20 m para cubrir un total de 25 (Figura 2a); en cada una de ellas se instalaron cuatro microparcelas de 30 × 30 cm y un transecto de 15 m de longitud total como se muestra en la Figura 2b (Rubio et al., 2016).

Adaptado de Rubio et al. (2016).
Figura 2 a) Forma y distribución de la parcela de muestreo y b) diseño interior de las subparcelas anidadas.
En el caso de las cargas de combustibles hojarasca (H) y fermentación (F) se midieron las profundidades y porcentajes de coberturas de dichas capas en cada microparcela (Figura 2b); posteriormente, el material se recolectó en una bolsa plástica para su trasladado al Laboratorio Nacional de Investigación sobre Incendios Forestales, ubicado en el Campo Experimental Altos de Jalisco (INIFAP), donde se sometieron a un proceso de secado, en una estufa semiautomática (de elaboración propia), a una temperatura de 70 °C, hasta que alcanzaron una humedad y peso mínimo constante (Xelhuantzi et al., 2011). Una vez obtenidos los valores de peso seco, se calculó la Carga de Capa Orgánica (CCO), mediante una adaptación de las ecuaciones descritas por Morfín et al. (2012).
En el transecto anidado de cada subparcela se contabilizó el Material Leñoso Caído (MLC), para lo cual se aplicó el método de intersecciones planares descrito por Brown et al. (1982) y la clasificación por tiempo de retardo 1, 10, 100 y 1 000 horas descrita por Fosberg et al. (1970) (Figura 2b). En los combustibles de 1, 10 y 100 horas se midió el diámetro de cada elemento mediante un calibrador vernier Pretul modelo 21454, para la obtención de los Diámetros Cuadráticos Promedio (DCP). A los combustibles de 1 000 horas, se les midió su diámetro con una cinta métrica (Truper® modelo Fh-5m) y se identificó su condición como firme o podrido.
Las estimaciones de carga por unidad de área se realizaron con las ecuaciones descritas por Morfín et al. (2012). Para fines prácticos, las cargas de combustibles 1, 10 y 100 horas se reclasificaron como Material Leñoso Fino (MLF); mientras que, los de 1 000 horas como Material Leñoso Grueso (MLG), de acuerdo a los criterios de Woodall y Monleon (2008). A cada componente combustible se le hizo un análisis exploratorio de datos, a partir de sus estadísticas descriptivas. Asimismo, a nivel subparcela se llevaron a cabo análisis espaciales acorde a las ecuaciones descritas en el Cuadro 1 (Kalogirou, 2003; Pebesma, 2004; Townsend y Fuhlendorf, 2010; López, 2016).
Cuadro 1 Ecuaciones utilizadas para los análisis espaciales de las cargas de combustibles.
| Ecuación | Variable |
|---|---|
|
|
|
|
|
|
|
|
|
|
|
|
|
|
|
|
|
|
La verificación de la normalidad de los residuales de las interpolaciones se efectuó con la prueba de Shapiro-Wilk. Se eligió el método de interpolación, ya que presentó el mejor ajuste RMSE. Se estimaron coeficientes de correlación sobre los componentes combustibles mediante el método Spearman. Los análisis estadísticos y geoestadísticos fueron realizados con las librerías R Project gstat, lctools y rgdal (Bivand et al., 2020; Kalogirou, 2020; Pebesma y Graeler, 2020).
Resultados y Discusión
Cargas de combustibles hojarasca y fermentación
En el Cuadro 2 se muestran las estadísticas descriptivas de las capas H y F. La capa H tuvo valores promedio de carga de combustible hojarasca (H), profundidad de la capa de hojarasca (Prof_H) y densidad aparente del combustible en la capa hojarasca (DA_H) de 17.95 Mg ha-1, 4.68 cm y 4.07 g cm-3 respectivamente. En la capa F los valores promedio de carga de combustible fermentación (F), profundidad de la capa de fermentación (Prof_F) y densidad aparente del combustible en la capa fermentación (DA_F) fueron de 33.12 Mg ha-1, 3.26 cm y 10.96 g cm-3, respectivamente.
Cuadro 2 Estadísticas descriptivas para las capas H y F.
| Concepto | Mínimo | Cuartil 1 | Mediana | Media | Cuartil 2 | Máximo | Unidad |
|---|---|---|---|---|---|---|---|
| H | 7.03 | 14.13 | 17.27 | 17.95 | 21.36 | 39.32 | Mg ha-1 |
| Prof_H | 2.25 | 3.75 | 4.75 | 4.68 | 5.25 | 7.00 | cm |
| DA_H | 1.96 | 3.34 | 3.82 | 4.07 | 4.33 | 10.50 | g cm-3 |
| F | 4.37 | 18.58 | 27.59 | 33.12 | 49.16 | 100.59 | Mg ha-1 |
| Prof_F | 0.33 | 1.75 | 2.50 | 3.26 | 4.25 | 9.25 | cm |
| DA_F | 7.03 | 9.40 | 10.93 | 10.96 | 11.78 | 17.97 | g cm-3 |
H = Capa hojarasca; Prof_H = Profundidad de la capa de hojarasca; DA_H = Densidad aparente del combustible en la capa hojarasca; F = Capa fermentación; Prof_F = Profundidad de la capa de fermentación DA_F = Densidad aparente del combustible en la capa fermentación.
La capa fermentación presentó un coeficiente de correlación de 0.96 p < 0.05, respecto su profundidad; en la capa de hojarasca fue de 0.44 p < 0.05, respecto su profundidad. Las cargas de combustibles fueron superiores a los de Bonilla et al. (2013), quienes citan valores de 3.76 cm, 3.14 cm para profundidades y 10.95 Mg ha-1, 9.00 Mg ha-1 para las cargas de combustibles de H y F, respectivamente. Los registros de DA_H y DA_F fueron superiores a los obtenidos por Morfín et al. (2007): 1.67 y 6.79 g cm-3 para DA_H y DA_F, respectivamente.
Cargas de combustibles Material Leñoso Caído
En el Cuadro 3 se resumen las estadísticas descriptivas de los combustibles MLC. Los diámetros cuadráticos promedio de los combustibles de 1, 10 y 100 horas fueron 0.23, 1.04 y 22.94 cm2, respectivamente. Se obtuvieron valores promedios de 0.04, 0.49 y 2.7 Mg ha-1 para los combustibles de 1, 10 y 100 horas; mientras que 0.22 y 0.34 Mg ha-1 para los de 1 000 horas firmes (HF) y 1 000 horas podridos (HP), respectivamente. Los combustibles MLC no evidenciaron correlación aparente y sus cargas fueron inferiores a las documentadas por Bonilla et al. (2013), cuyos valores son de 1.67, 0.62, 3.72 y 25.72 Mg ha-1 para los combustibles de 1, 10, 100 y 1 000 horas, respectivamente.
Cuadro 3 Estadísticas descriptivas de los combustibles MLC en Mg ha-1.
| Concepto | Mínimo | Cuartil 1 | Mediana | Media | Cuartil 2 | Máximo |
|---|---|---|---|---|---|---|
| 1 H | 0.00 | 0.00 | 0.00 | 0.04 | 0.08 | 0.39 |
| 10 H | 0.00 | 0.00 | 0.35 | 0.49 | 1.05 | 1.74 |
| 100 H | 0.00 | 0.00 | 0.00 | 2.70 | 3.56 | 14.23 |
| 1 000 HF | 0.00 | 0.00 | 0.00 | 0.22 | 0.00 | 3.08 |
| 1 000 HP | 0.00 | 0.00 | 0.00 | 0.34 | 0.00 | 4.09 |
| MLF | 0.00 | 0.35 | 1.74 | 3.23 | 3.91 | 14.58 |
| MLG | 0.00 | 0.00 | 0.00 | 0.57 | 0.00 | 4.24 |
MLC = Material Leñoso Caído; MLF = Material Leñoso Fino; MLG = Material Leñoso Grueso.
Cargas de combustibles totales y por componente
La Figura 3a exhibe la distribución en cuantiles de las cargas agrupadas en F, H, MLF y MLG; la Figura 3b muestra el histograma de las cargas totales. En conjunto las de cargas hojarasca y fermentación concentran 92.91 % del total de los combustibles, cuyo promedio fue de 54.86 ± 10.51 Mg ha-1. La capa de fermentación aportó el mayor porcentaje, con 56.77 %; seguido por la capa de hojarasca con 36.14 %; MLF y MLG en conjunto concentraron 7.09 %. Esto significa que de existir presencia de fuego en la zona, el comportamiento horizontal dependerá, principalmente, de las capas de hojarasca y de fermentación, con existencia de áreas bastantes críticas en donde las cargas de combustibles superan los 100 Mg ha-1. Los resultados son similares a los de Rubio et al. (2016), autores que indican una carga promedio de 49.6 Mg ha-1 para un rodal con ausencia de incendios, cuyos combustibles de la capa de fermentación son los más representativos.

Figura 3 a) Porcentaje de aporte de los componentes combustibles Fermentación (F), Hojarasca (H), Material Leñoso Fino (MLF) y Material Leñoso Grueso (MLG) a las cargas de combustibles totales y b) Histograma de las cargas de combustibles totales, el bloque gris oscuro representa el intervalo de confianza de la media.
En el Cuadro 4 se presentan las cargas de combustibles por componente en las subparcelas, y en el Cuadro 5 sus coeficientes de correlación y sus valores de p. Las cargas de combustibles totales tuvieron un coeficiente de correlación de 0.97 con el componente fermentación; esto significa que pueden utilizarse como base las cargas de combustible de fermentación para hacer inferencias sobre las cargas totales. Asimismo, debido a que existe correlación entre la profundidad de la capa de fermentación y su carga de combustible, es posible generar tarifas de profundidad que permitan efectuar estimaciones preliminares expeditas.
Cuadro 4 Cargas de combustibles por componente en las subparcelas (Mg ha-1).
| Subparcela | Totales | F | H | MLF | MLG |
|---|---|---|---|---|---|
| 1,1 | 53.11 | 27.59 | 17.52 | 3.91 | 4.09 |
| 1,2 | 71.86 | 49.23 | 21.59 | 1.05 | 0.00 |
| 1,3 | 58.32 | 32.92 | 21.84 | 3.56 | 0.00 |
| 1,4 | 75.29 | 49.16 | 25.01 | 1.12 | 0.00 |
| 1,5 | 33.68 | 19.54 | 14.13 | 0.00 | 0.00 |
| 2,1 | 46.90 | 21.10 | 19.63 | 3.71 | 2.45 |
| 2,2 | 65.39 | 26.07 | 39.32 | 0.00 | 0.00 |
| 2,3 | 13.92 | 4.37 | 9.56 | 0.00 | 0.00 |
| 2,4 | 70.17 | 42.72 | 27.10 | 0.35 | 0.00 |
| 2,5 | 31.11 | 13.84 | 17.27 | 0.00 | 0.00 |
| 3,1 | 38.85 | 18.58 | 7.03 | 12.10 | 1.14 |
| 3,2 | 40.06 | 25.72 | 14.33 | 0.00 | 0.00 |
| 3,3 | 54.01 | 33.69 | 15.71 | 4.60 | 0.00 |
| 3,4 | 89.83 | 53.89 | 21.36 | 14.58 | 0.00 |
| 3,5 | 29.04 | 10.02 | 11.91 | 7.11 | 0.00 |
| 4,1 | 35.77 | 15.51 | 16.70 | 3.56 | 0.00 |
| 4,2 | 79.38 | 51.10 | 17.19 | 11.10 | 0.00 |
| 4,3 | 72.59 | 49.32 | 18.60 | 0.43 | 4.24 |
| 4,4 | 30.06 | 17.21 | 12.86 | 0.00 | 0.00 |
| 4,5 | 50.57 | 27.89 | 19.12 | 3.56 | 0.00 |
| 5,1 | 130.53 | 100.59 | 24.91 | 5.03 | 0.00 |
| 5,2 | 81.91 | 63.99 | 16.87 | 1.05 | 0.00 |
| 5,3 | 45.71 | 26.15 | 17.67 | 1.90 | 0.00 |
| 5,4 | 48.16 | 32.38 | 11.82 | 1.74 | 2.21 |
| 5,5 | 25.27 | 15.35 | 9.57 | 0.35 | 0.00 |
F= Capa fermentación; H = Capa hojarasca; MLF = Material Leñoso Fino; MLG = Material Leñoso Grueso.
Cuadro 5 Coeficientes de correlación de los componentes combustibles en las subparcelas.
| Concepto | Totales | F | H | MLF | MLG |
|---|---|---|---|---|---|
| Totales | 1 | 0.97 | 0.71 | 0.36 | 0.03 |
| F | p < 0.05 | 1 | 0.59 | 0.35 | 0.03 |
| H | p < 0.05 | p < 0.05 | 1 | 0.06 | -0.12 |
| MLF | p = 0.07 | p = 0.09 | p = 0.76 | 1 | 0.22 |
| MLG | p = 0.89 | p = 0.89 | p = 0.56 | p = 0.28 | 1 |
F= Capa fermentación; H = Capa hojarasca; MLF = Material Leñoso Fino; MLG = Material Leñoso Grueso.
Dependencia espacial de los componentes combustibles
En la Figura 4 se observa un conjunto de correlogramas de los componentes combustibles F, H, MLF y MLG. Todos los índices de Moran fueron cercanos a cero, con valores p > 0.05. Esto indica que los componentes combustibles no registran autocorrelación espacial.
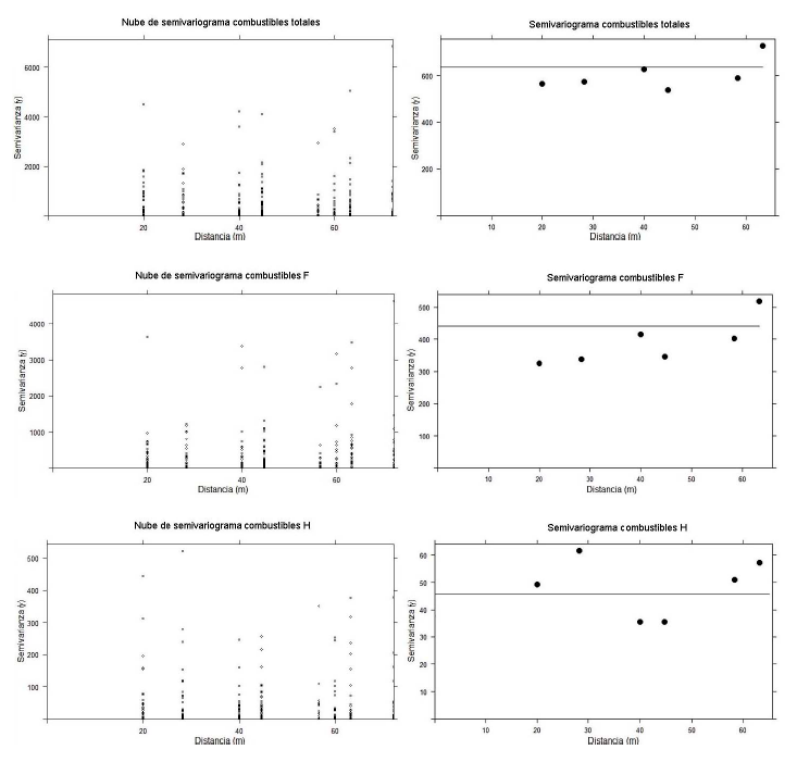
La Figura 5 corresponde a los semivariogramas y nubes de semivariogramas para las cargas totales F y H. Los semivariogramas teóricos con mejor ajuste a los experimentales presentaron un comportamiento completo pepita a 636.66, 439.55 y 45.00, con errores de ajuste RMSE de 6.29, 8.99 y 0.82 para las cargas totales F y H, respectivamente. Lo anterior, confirma la aleatoriedad de las cargas de combustibles mostrada por los índices de autocorrelación espacial.
Interpolación espacial de los combustibles totales
La distribución, en cuantiles, de los residuales para las interpolaciones Thiessen, IDW y KO que se realizaron sobre las cargas de combustibles totales para estimar su distribución espacial, se presenta en la Figura 6. Los valores medios de los residuos fueron de 2.07, 0.04 y -0.001, con desviaciones estándar de 34.08, 26.36 y 26.53 para Thiessen, IDW y KO, respectivamente. Los RMSE y varianza de residuos más bajos se obtuvieron en la interpolación IDW, con valores de 25.82 y 694.60; seguido de 25.98, 703.46 para KO; y 33.46, 1 161.87 para polígonos de Thiessen. En todos los casos, los residuales evidenciaron un comportamiento normal con valores p = 0.40, 0.30 y 0.14 según la prueba de normalidad de Shapiro-Wilk para Thiessen, IDW y KO, respectivamente. La independencia espacial presente en las cargas de combustibles impidió que el método de interpolación KO fuese superior a IDW. Los valores RMSE de IDW y KO fueron muy parecidos; sin embargo, IDW registró varianzas de residuos más bajas, por lo que se eligió como el método de interpolación por utilizar.
En la Figura 7 se observa la distribución espacial de las cargas de combustibles totales en la parcela de muestreo. El porcentaje de la parcela de la parcela que presentó cargas de combustibles entre 50.57-72.04 Mg ha-1 fue de 48.28 %; mientras que, 36.62 % tuvo un intervalo de entre 35.25 y 50.57 Mg ha-1. Por otra parte, a 10.70 % le correspondió los valores más altos de 72.04-130.53 Mg ha-1, y solo 5.65 % registró los más bajos de 13.92-35.25 Mg ha-1. La distribución espacial de los combustibles evidenció la presencia de zonas con más de 100 Mg ha-1, superiores a las señaladas por Morfín et al. (2007), cuyas cargas son de aproximadamente 80 Mg ha-1, en bosques de coníferas.
En comparación con trabajos, en los que la recolección de datos de campo se basa en sitios y conglomerados de muestreo con radios generalmente inferiores a 20 m, y cuyos resultados son extrapolados a una superficie de una hectárea (Xelhuantzi et al., 2011; Conafor, 2011; Chávez et al., 2016), las mediciones en la parcela de muestreo permitieron identificar variaciones a detalle. La distancia entre la subparcela con la carga total más pequeña y la subparcela con la carga total más grande es de apenas 72.11 m, con una diferencia de cargas de 116.61 Mg ha-1. Difícilmente, un sitio de muestreo inferior a 20 m de radio, alcanzaría a representar dicha diferencia de cargas combustibles. Los resultados muestran la heterogeneidad en la distribución horizontal de los componentes combustibles muertos en una superficie de una hectárea; pese a que, de acuerdo a los métodos descritos por Velasco et al. (2013), la parcela de muestreo debería corresponder a una zona homogénea.
Conclusiones
En una parcela de muestreo de una hectárea de bosque Pinus-Quercus, las cargas de combustibles forestales muertos se distribuyen espacialmente de forma independiente, en un intervalo de 13.92 a 130.53 Mg ha-1, sin correlación entre sus componentes. Esto indica que existen zonas en donde es necesario realizar una reducción de cargas de combustibles para evitar un mayor daño, en caso de que se presente un incendio forestal. El diseño de muestreo utilizado ha permitido identificar variaciones detalladas en las cargas de combustibles, y evidencia la heterogeneidad en una superficie relativamente pequeña. Las mediciones se realizaron de forma directa en campo con alto nivel de detalle; sin embargo, esto implica relacionar la disponibilidad de tiempo y recursos económicos para alcanzar la precisión esperada. Se requiere el establecimiento de más parcelas de muestreo a fin de obtener repeticiones y analizar datos entre parcelas. Es necesario realizar investigaciones que permitan generar ajustes en los factores de escala, para crear enlaces entre las actividades de planeación y las de operación. Fomentar el trabajo interdisciplinario y el desarrollo de métodos de integración permitirá a los especialistas de distintas áreas, la posibilidad de aportar sus conocimientos para alcanzar un adecuado manejo del fuego.










texto en 






