Introducción
Los modelos alométricos son herramientas importantes para estimar, de una manera adecuada, la biomasa y el carbono de los bosques, además son empleados en los inventarios de combustibles para el cálculo de las cargas de distintas fracciones de arbolado tanto adulto como regenerado.
Los trabajos de alometría, generalmente, consideran las fracciones de biomasa de hojas, tronco y ramas según su grosor; las categorías de ramillas (<0.5 cm), ramas finas (generalmente de 0. 5 a 2.5 cm), así como ramas medias y gruesas (>2.5 y 7.5 cm, respectivamente) son las más frecuentes (Reed y Toméb, 1998; Álvarez et al., 2005; Antonio et al., 2007; Muñoz et al., 2008; Pérez-Cruzado et al., 2011a, 2011b; González-García et al., 2013; Jiménez et al., 2013; Vega-Nieva et al., 2015).
La alocación de la biomasa en fracciones cambia en relación al diámetro normal (Fontes et al. 2006; Antonio et al. 2007; Vega-Nieva et al., 2015), lo que hace necesario evaluarla en diferentes estadios del desarrollo de las masas arbóreas. Por ejemplo, en el trabajo de Antonio et al. (2007) se registraron diferencias en las alometrías desarrolladas para Eucalyptus globulus Labill., según el estado de desarrollo de la masa, y sus modelos específicos para árboles jóvenes con pequeñas dimensiones. En México, se ha observado que, en individuos con diámetros menores a 15 cm, la biomasa de las fracciones de hojas, ramillas y ramas representa hasta 55 %; en cambio con diámetros superiores a 20 cm, la concentración de la biomasa se encuentra en mayor proporción en el fuste (Soriano-Luna at al., 2015; Vargas-Larreta et al., 2017).
El modelado de la cantidad de biomasa en cada una de estas fracciones a lo largo de diferentes edades es importante para los sistemas de contabilidad de carbono (Pérez-Cruzado et al., 2011b; González-García et al., 2013). Asimismo, es relevante conocer la biomasa presente en distintas fracciones, por los diferentes patrones de acumulación de nutrientes entre fracciones y edades, lo cual es importante para evaluar la sostenibilidad nutricional del manejo de las masas forestales, a partir de las prácticas de manejo, tales como la extracción de fracciones más finas o las edades de rotación en el balance de nutrientes de las masas arbóreas (Brañas et al., 2000; Dambrine et al., 2000; Laclau et al., 2000; Merino et al., 2003, 2005).
En México, los modelos alométricos se han desarrollado para diferentes necesidades (Morfín-Ríos et al. 2012; Ruiz-Díaz et al. 2014), y la mayoría de los estudios disponibles en alometrías de biomasa se enfocan en arbolado adulto (Acosta-Mireles et al. 2002; Díaz-Franco et al. 2007; Návar-Chaídez, 2009; Aguirre-Calderón y Jiménez-Pérez, 2011), con pocos trabajos orientados a la estimación de biomasa en la etapa de regeneración (Vargas-Larreta et al. 20017; Montes de Oca-Cano et al. 2009; Montes de Oca-Cano et al. 2012). Esta información es de especial interés, debido a la necesidad de conocer los montos de carbono capturado en los bosques durante todas sus etapas de crecimiento y fracciones del arbolado (Vargas-Larreta et al. 2017).
El objetivo del presente estudio fue desarrollar ecuaciones alométricas para estimar la biomasa por fracciones de grosor de cuatro especies en etapa de regeneración en los ecosistemas mezclados e irregulares de Durango.
Materiales y Métodos
El estudio se llevó a cabo en la Unidad de Manejo Forestal Regional (Umafor) 1008, ubicada al suroeste del estado de Durango, en las coordenadas geográficas 23°06´59´´ y 24°11´38´´ latitud norte y 105°55´56´´ y 105°10´31´´ longitud oeste. Comprende parte de los municipios Durango, San Dimas y Pueblo Nuevo; tiene una extensión superficial de 558 mil hectáreas, aproximadamente. En el área existen siete tipos de clima según la clasificación de Köpen modificada por García (1988), de los cuales predominan el templado subhúmedo C(w2), semicálido subhúmedo (A) C(w2) y semifrío subhúmedo Cb´(w2); con precipitaciones de 800 a 1 200 mm anuales (SRNyMA-Conafor, 2007). Las comunidades vegetales más importantes de la región están compuestas por bosque de pino, seguido de asociaciones pino-encino y en menor proporción las selvas bajas caducifolias, pastizales y el área de agricultura temporal (INEGI, 2012).
Toma de muestras para el análisis destructivo
Se seleccionaron 114 individuos regenerados: 30 de Pinus cooperi C.E. Blanco, 30 de Quercus sideroxyla Humb. & Bonpl., 29 de Juniperus deppeana Steud. y 25 de Arbutus arizonica Sarg. Los ejemplares estaban libres de plagas, enfermedades, de defectos físicos y mecánicos; fueron elegidos aleatoriamente para que representaran la categoría de la etapa de regeneración y monte bravo, con diámetro de la base no mayor a 10 cm. Las variables dendrométricas que se midieron en campo, para cada árbol, fueron: diámetro de la base (db), diámetro a la altura del pecho (dap) y diámetro de copa (dc), con dos mediciones en cruz. Una vez derribados, se obtuvo la altura total (h), la altura de copa seca (hcs), la altura de copa viva (hcv), la longitud de copa seca (lcs) y la longitud de copa viva (lcv), como recomiendan Gómez-García et al. (2013). Todas las medidas se consideraron en centímetros.
Cada individuo fue derribado y guardado en bolsas herméticas de plástico con el fin de evitar la pérdida de humedad. Cada una se etiquetó con una clave de identificación integrada por el número del espécimen y la fecha de recolecta.
Análisis de laboratorio
Cada árbol fue separado en las siguientes fracciones de grosor: hojas, ramillas (<0.5 cm), ramas finas (>0.51 - 2.5 cm), tronco y ramas gruesas de > 2.51 cm. El peso total por fracción se obtuvo en verde, con una báscula con precisión (Ohaus explorer EX4202) de 0.001 g; para el peso de biomasa de ramillas y de hojas; mientras que para las fracciones ramas finas, ramas gruesas y tronco la precisión fue de 0.01 g. Las fracciones individuales se embolsaron y etiquetaron para, posteriormente, introducirlas en una estufa de secado (Felisa FE-294A), durante 8 a 10 días, a una temperatura de 75 °C hasta obtener el peso seco constante.
Ajuste de ecuaciones de biomasa
Se realizó un análisis de regresión no lineal entre las variables medidas en campo (db, h, hcs, hcv, dc, dap lcs y lcv) y las mediciones de carga por fracción (ramillas, ramas finas, ramas gruesas y tronco, hojas y total) efectuadas en laboratorio. Para la estimación del peso seco se probaron diferentes ecuaciones no lineales, con distintas combinaciones de variables predictivas, los mejores resultados se ajustaron por mínimos cuadrados, mediante el procedimiento MODEL del programa SAS/ETS® (SAS, 2009).
Las ecuaciones por fracción de grosor y total se ajustaron, simultáneamente, para garantizar la aditividad (Álvarez-González et al., 2007). Esta es unas de las propiedades más importantes que deben de cumplir las ecuaciones de biomasa de los distintos componentes (Cunia, 1986; Parresol, 1999; Antonio et al. 2007); consiste en que la suma de las estimaciones de los pesos de todos los componentes o fracciones deben ser iguales a la estimación del peso total del árbol. Lo anterior se logra a través del ajuste simultáneo de los diferentes modelos matemáticos propuestos para cada fracción. La técnica se basa en el ajuste de un sistema de ecuaciones, aparentemente, no relacionadas y formado por las funciones de regresión de los k componentes arbóreos junto con el de biomasa total (Álvarez-González et al. 2007).
Donde:
= Conjunto de variables explicativas
En este sistema, no es necesario que las ecuaciones de cada fracción arbórea presenten la misma expresión matemática, ni las mismas variables predictivas. Las variables independientes del modelo de biomasa total son todas las regresoras que aparecen en las expresiones matemáticas de cada componente. Los parámetros de las ecuaciones se obtuvieron de forma simultánea con la metodología Three-Stage Least Squares (3SLS); para ello, se utilizó el procedimiento MODEL del programa SAS/ETS® (SAS, 2009). En el ajuste de modelos de biomasa es importante verificar la constancia de la varianza de los residuos (Picard et al., 2012), para descartar problemas de heterocedasticidad; es decir, que la varianza de los errores no sea constante (Parresol, 2001).
Para analizar la presencia de heterocedasticidad se realizó el contraste de White (1980). La heterocedasticidad se corrige durante el ajuste de las ecuaciones, al pesar cada observación por la inversa de su varianza
. Al desconocerse dicha varianza, se asume que es factible modelarla con una función potencial
,donde xi es una función de una o más de las variables independientes del modelo El valor k del exponente y las variables a incluir (xi) se determinan con los errores del modelo ajustado sin pesos
, como variable dependiente en el modelo potencial de varianza del error (Park, 1966; Harvey 1976), y mediante la prueba de diferentes combinaciones de variables y exponentes, hasta optimizar el resultado del ajuste lineal derivado de tomar logaritmos en la siguiente expresión:
Criterios de selección de modelos
Los criterios para determinar el mejor modelo fueron el análisis gráfico de los residuos; el coeficiente de determinación (R2), que refleja la variabilidad total que es explicada; y la raíz cuadrada del error medio cuadrático (REMC) que analiza la precisión de las estimaciones, cuyas ecuaciones son las siguientes:
Donde:
= Valor observado, estimado y promedio de la variable dependiente
n = Número total de observaciones utilizadas para ajustar el modelo
p = Número de parámetros del modelo
Además de los estadísticos descritos, una de las maneras más eficientes de evaluar la capacidad de ajuste de un modelo es la inspección visual, por lo que se analizaron los gráficos de residuos frente a valores predichos de la variable dependiente.
Resultados y Discusión
La representación gráfica de los valores de biomasa de fracciones por componente contra la variable independiente que mayor influencia tuvo en las ecuaciones alométricas se muestra en la Figura 1 para Arbutus arizonica, Juniperus deppeana, Quercus sideroxyla y Pinus cooperi.

Figura. 1 Relación entre la biomasa en gramos de los diferentes componentes con las variable explicativas con mayor influencia en el modelo por especie.
La expresión de los modelos que mejores resultados mostraron en el ajuste individual por componente para la estimación de la biomasa por fracción de grosor y total para las especies estudiadas, se muestra en el Cuadro 1.
Cuadro 1 Modelos seleccionados para la estimación de la biomasa por fracción y total para la regeneración de Juniperus deppeana Steud., Arbutus arizonica Sarg., Quercus sideroxyla Humb. & Bonpl. y Pinus cooperi C.E. Blanco.

W <0.5 cm = Peso seco de ramillas (g); W 0.51-2.5 cm = Peso seco de ramas finas (g); W >2.51 cm = Peso seco de ramas gruesas y tronco (g); W h = Peso seco de hojas (g); W T =Peso total (g); db = Diámetro de la base de cada planta (cm); h = Altura total de cada planta (cm); dc = Diámetro de copa de cada planta (cm); lcv = Longitud de copa viva de cada planta (cm); lcs = Longitud de copa seca de cada planta (cm).
En el Cuadro 2 se presentan las estimaciones de los parámetros obtenidos mediante el ajuste simultáneo, los errores estándar aproximados y los estadísticos de bondad del ajuste. Así como, los pesos utilizados en la ponderación para corregir la heterocedasticidad en las fracciones que presentaron este problema.
Cuadro 2 Estimación de los parámetros, y estadísticos de bondad del ajuste obtenidos para las ecuaciones de biomasa por fracción de grosor mediante el ajuste simultaneo por 3SLS.

Parám = Parámetros del modelo por componente; E.E = Error estándar aproximado; REMC = Raíz del error medio cuadrático; R2 = Coeficiente de determinación.
El ajuste simultáneo con la técnica 3SLS proporcionó una estimación de los estadísticos de bondad del ajuste muy similar al ajuste individual. La mayoría de las especies evidenciaron heterocedasticidad en la mayor parte de sus fracciones de biomasa. Problema que se corrigió mediante regresión ponderada, como en otros trabajos de estimación de biomasa arbórea (Parresol, 2001; Álvarez-González et al. 2007). En algunas fracciones no se observó heterocedasticidad según la prueba de White; posiblemente, por el intervalo relativamente reducido de diámetros y pesos muestreados, ya que eran árboles jóvenes.
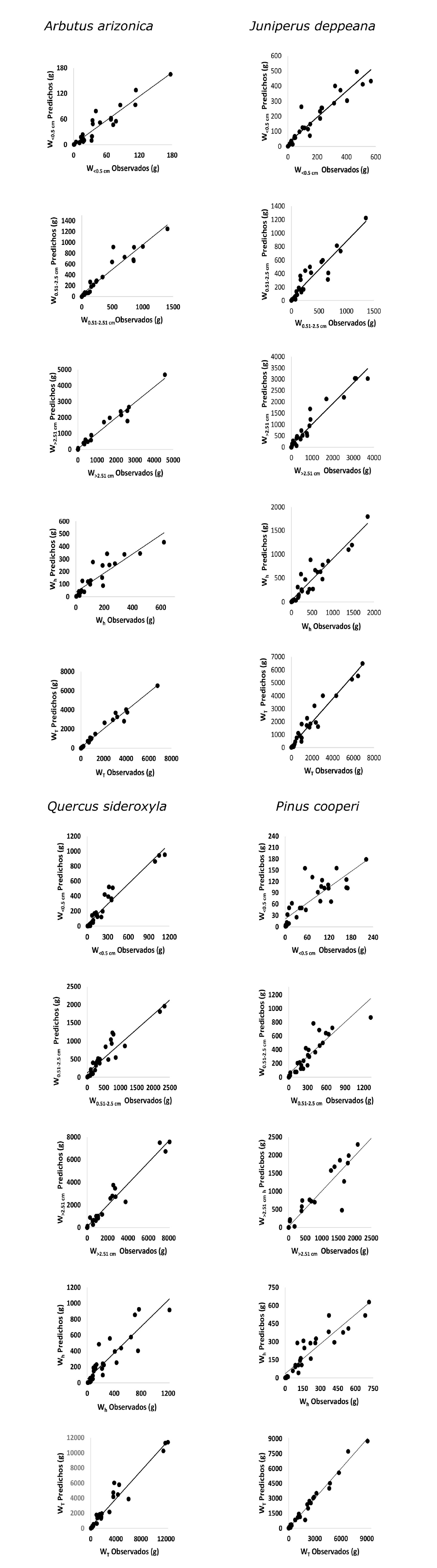
En la Figura 2 se presentan los valores observados frente a los predichos para las distintas fracciones de grosor, para las hojas y el peso total. La distribución de la nube de puntos sobre la diagonal indica que los modelos proporcionan estimaciones con bajo sesgo.

Figura 2 Gráficos de valores observados frente a predichos de biomasa por fracción de grosor, hojas y biomasa total de las cuatro especies estudiadas.
En general, las ecuaciones tuvieron un ajuste satisfactorio y explican como mínimo 69 % de la variabilidad observada. La biomasa de las fracciones de hojas y ramillas presentaron ajustes de buenos a regulares, lo que posiblemente se deba a la variabilidad de las estructuras de la copa y del número de ramas (Pardé, 1980). Para las fracciones de hojas y ramillas, los coeficientes de determinación fueron 0.84-0.69, 0.78-0.87, 0.88-0.88 y 0.79-0.93 para P. cooperi, A. arizonica, J. deppeana y Q. sideroxyla, respectivamente. Las fracciones de copa se consideraron las más difíciles de modelar (Muñoz et al., 2008).
Las bondades de los ajustes para Pinus son similares a las registradas en trabajos previos a nivel nacional en alometrías de biomasa para este género (Montes de Oca-Cano et al. 2009; Montes de Oca-Cano et al., 2012; Vargas-Larreta et al., 2017). Montes de Oca-Cano et al. (2009) realizaron el ajuste de ecuaciones de biomasa por componente para árboles de Pinus durangensis, cuyas edades eran de 3 a 10 años; sus resultados indicaron que el fuste tuvo los mejores estadísticos de ajuste, con un R2 de 0.86, mientras que los coeficientes de determinación en las ramas y hojas fueron de 0.74 y 0.74, respectivamente. Valores similares documentaron Montes de Oca-Cano et al. (2012), con R2 de 0.73 para las hojas; Vargas-Larreta et al. (2017) consignaron valores de R2 de 0.74 para la fracción de hojas de Pinus cooperi, con las variables diámetro y altura. En el presente estudio, el valor de R2 fue de 0.84 para las hojas de Pinus cooperi, lo que mejoró el ajuste, al agregar el diámetro de copa al modelo empleado.
Geudens et al. (2004), en Pinus sylvestris con edades de 1 a 4 años y las variables diámetro y altura (dap 2 h) obtuvieron el mejor ajuste para la biomasa aérea con una R2 de 0.95; resultados que se asemejan a los señalados en el presente documento, con un coeficiente de determinación R2 de 0.97. Vargas-Larreta et al. (2017) citan valores de R2 para el mejor modelo de biomasa total de 0.94 y 0.90, respectivamente en la regeneración de Pinus cooperi y P. leiophylla, los cuales son muy similares a los de P. cooperi en este estudio.
Las bondades de los ajustes de Quercus concuerdan con lo registrado en la literatura. González (2008) estimó la biomasa para Quercus spp. en árboles seleccionados dentro de las categorías de regeneración natural de brinzales, con alturas de 2 m y latizales de hasta 21 m. El mejor modelo para estimar biomasa total incluyó como variable independiente el diámetro normal, con un coeficiente de determinación de 0.96. En el presente trabajo con ajuste simultáneo, el valor de R2 fue igual (0.96). En el noroeste de España, Gómez-García et al. (2013), para Quercus robur L. estiman la biomasa por fracciones y peso total; el mejor ajuste para la fracción hojas lo obtuvieron al usar como variable explicativa el dap, R2 = 0.78. Lo anterior concuerda con el coeficiente de determinación para las hojas de Quercus (0.79) calculado para Durango, mediante el uso de las variables predictoras db y dc.
En el género Juniperus, el uso del diámetro de base generó buenos resultados en trabajos previos. Así en Texas, Reemts (2013) con árboles pequeños (< 15 cm de diámetro basal) de Juniperus ashei J.Buchholz señala que las ecuaciones alométricas basadas en el db y db 2 h ajustaron mejor la biomasa total que las expresiones generadas con base en la altura del árbol y el volumen de dosel (R2= 0.95-0.97 versus R2=0.71-0.77). Rodríguez-Laguna et al. (2009) obtuvieron coeficientes de determinación de 0.97 para Juniperus flaccida Schltdl., a partir de un modelo potencial, cuya variable predictora fue el diámetro normal.
En general, los coeficientes de determinación para Arbutus arizonica fueron buenos, y el mejor correspondió al peso total, con un valor de R2 de 0.97. Resultado similar al de Harrington et al. (1984), quienes estimaron la biomasa total para Arbutus menziesii Pursh con la variable explicativa de diámetro normal y un coeficiente de determinación de 0.97. Vargas-Larreta et al. (2017) registran coeficientes de determinación de 0.74 y 0.92 para hojas y peso total, respectivamente para Arbutus bicolor S. González, M. González & P.D. Sørensen, sus variables predictoras fueron el diámetro y la altura. Ter-Mikaelian y Korzukhin (1997) consignan coeficientes de determinación de 0.83 para Arbutus menziesii en la biomasa de las hojas, cuando se usó como variable predictora el diámetro a la altura del pecho. En el estudio que aquí se documenta, el ajuste para las hojas explicó 78 % de la variabilidad observada.
Aunque el diámetro de la base fue la mejor variable explicativa para todos los componentes de la biomasa, la altura y la longitud de copa viva y muerta mejoraron los modelos alométricos para las fracciones de ramas y hojas; similarmente, a lo observado en otros trabajos (Williams et al., 2005; Antonio et al., 2007; Paul et al., 2008; Vega-Nieva et al., 2015), pero a expensas de un mayor esfuerzo de muestreo para aplicar los modelos (Gómez-García et al., 2013).
Conclusiones
Se desarrollaron sistemas de ecuaciones para estimar biomasa por fracción de grosor y total para individuos en la etapa de regeneración de las especies Arbutus arizonica, Juniperus, Quercus sideroxyla y Pinus cooperi. Estas ecuaciones permitirán realizar estimaciones no destructivas de la biomasa de las cuatro especies estudiadas, y mejorar las estimaciones de alocación de biomasa, carbono y nutrientes por fracciones en los diferentes estadíos de las masas forestales. Es importante continuar con el trabajo y mejora de este tipo de modelos, así como estudiar la biomasa de masas regeneradas de otras especies de relevancia.










texto en 







