Introducción
Los bosques de pino en México son los de mayor distribución entre los distintos tipos de asociaciones de coníferas; cubren alrededor de 75% de su distribución potencial, estimada en poco más de 10 millones de hectáreas, aunque los bien preservados ocupan solo 5.2 millones de hectáreas (Inegi, 2003; Inegi, 2009).
Los procesos orográficos y fluctuaciones climáticas del pasado han originado la diversificación y especiación de la vegetación de México, cuyo territorio es considerado el centro de diversidad mundial de pinos más importante, con 50% de las especies conocidas y 33% de los encinos (Nixon, 1993; Styles, 1993; Challenger, 2003; Koleff et al., 2004).
La productividad natural de los ecosistemas forestales redunda en bienes y servicios para la sociedad, y se estima que la cosecha maderable global para 2009 en el país fue de 42.98 millones m3 (Caballero, 2010). Pinus patula Schiede ex Schltdl. & Cham y Pinus pseudostrobus Lindl. son dos de las especies forestales preferidas por sus altos incrementos en plantaciones comerciales en varios países (Caballero, 2000).
Las investigaciones cuantitativas de la relación entre la complejidad estructural y la diversidad arbórea con la productividad de los ecosistemas forestales templados son escasas; sin embrago algunos estudios revelan que los índices de diversidad se reducen con el aumento en el área basal removida y la productividad promedio tiende, en general, a aumentar con el incremento en la remoción (Návar y González, 2009).
Las actividades agropecuarias son la principal causa de la pérdida de bosques y selvas, seguidas por los desmontes ilegales y los incendios forestales (FAO, 2006). El deterioro de los ecosistemas forestales se acentúa por diversos factores, de los cuales los incendios son uno de los disturbios más graves (González y Rodríguez, 2004). Su número ha aumentado en los últimos treinta años, tendencia al parecer relacionada con la presencia y severidad de fenómenos climáticos como El Niño, y a la materia vegetal muerta que se acumula después del paso de los huracanes (Semarnat-Conafor, 2005). Estos eventos son discretos en el tiempo y modifican la estructura de un ecosistema, comunidad o población y cambian el ambiente físico, el sustrato o la disponibilidad de recursos (Corral et al., 2002; Caribello, 2003; Fried et al., 2004).
La estructura de un ecosistema se define, básicamente, por el tipo, número, ordenamiento espacial y temporal de los elementos que lo constituyen (Aguirre et al., 2003). Al respecto, destacan la estructura de especies y la dimensional de los ecosistemas (Thomasius y Schmidt, 1996).
La diversidad biológica está definida por la complejidad topografía, la variedad de climas y la conexión de dos zonas biogeográficas (Neártica y Neotropical) en el territorio mexicano, que en conjunto forman un variado mosaico de condiciones ambientales (Conabio, 2010).
La estructura vertical del bosque está determinada por la distribución de distintas especies arbóreas que componen un ecosistema y ocupan sitios definidos en respuesta a los factores microclimáticos, gradientes ambientales o al disturbio natural o al provocado por el hombre (Remmert, 1991). Cada ecosistema posee una estratificación y heterogeneidad espacial única, dada por la estructura vertical y horizontal de los taxa que lo integran (Dajoz, 2002).
Algunos estudios sinecológicos han detectado los factores ambientales responsables del cambio en la composición y estructura de la vegetación (Sánchez y López, 2003), y son especialmente útiles para simplificar y ordenar conjuntos de datos grandes y complejos (Rocha et al., 2006). El orden vertical se caracteriza por la diferenciación de categorías de altura (Zarco-Espinosa et al., 2010). Por tal motivo, el objetivo de este estudio consistió en evaluar las afectaciones de un incendio forestal y la complejidad de la estructura vertical, así como la asociación de las especies relacionando la productividad a través de los indicadores dasométricos (abundancia, dominancia, frecuencia e índice de valor de importancia).
Materiales y Métodos
El área de estudio se localiza en el Cerro El Potosí, entre los 24°49'08" - 24°55'29" N y 100°13'25" - 100°14'05" O, a una altitud de 3 719 m, en el municipio Galeana, Nuevo León; forma parte de la Sierra Madre Oriental y se extiende sobre una superficie de 7 194 ha (Figura 1). La vegetación predominante está representada por los bosques de coníferas, bosques de encino y bosques mixtos localizados a 2000 msnm (García et al., 1999). Se han identificado, también, comunidades de matorral submontano, chaparral de encino; además de, las siguientes especies: Quercus spp., Pinus pseudostrobus, Pinus ayacahuite Ehrenberg ex Schltdl., Pseudotsuga menziesii (Mirb.) Franco, Pinus hartwegi Lindl., Pinus strobiformis Engelm. y Pinus culminicola Andresen & Beaman (Contreras et al., 2012). El suelo dominante es Litosol combinado con Rendzina (García, 1996). Presenta un clima tipo C(E)(W1)x’, semifrío subhúmedo; las lluvias registradas son escasas todo el año y la precipitación total anual varía entre 400 y 600 mm, mientras que la temperatura media anual fluctúa entre 12 y 18 °C (Arreola et al., 2010).
De acuerdo con las estadísticas nacionales, en la temporada de incendios de 1998, cerca de 9 000 incendios afectaron aproximadamente 220 000 ha de bosques templados, tropicales y otros tipos de vegetación. Para la temporada de 2003, aproximadamente 100 000 ha de áreas boscosas se habían quemado y hacia octubre de 2006 se registraron 8 657 incendios forestales que impactaron alrededor de 240 000 ha (Conafor, 2006); en septiembre de 2013, casi 415 000 ha habían sido afectadas y ocurrieron más de 100 000 incendios distribuidos en todo el país (Conafor, 2013). El fenómeno se asocia con el cambio climático global; de tal manera que, la frecuencia y severidad de incendios aumentaron, lo que causó cambios en la estructura de los bosques de la Sierra Madre Oriental, tal como sucedió en 1998.
Sitio de muestreo
Se establecieron nueve conglomerados de muestreo en el Cerro El Potosí, distribuidos en el área incendiada en 1998 y en áreas colindantes no incendiadas, en un intervalo altitudinal de 2 800 a 3 600 m, con una pendiente no mayor a 20°.
Cada conglomerado se integró por 4 sitios de muestreo de 400 m2, lo que se basa en la metodología del Inventario Nacional Forestal (Conafor, 2010); en cada uno de ellos se registró el género, la especie, el diámetro normal, la altura total y dos diámetros de copa (norte-sur, este-oeste) en los árboles cuyo diámetro normal (DAP) era igual o superior a 7.5 cm.
Para el análisis de la estructura vertical de las especies forestales se utilizó el índice A de Pretzsch, el cual es una modificación del índice de Shannon, que consiste en dividir la estructura vertical en tres estratos. El estrato I (alto) que corresponde al intervalo de 80-100%, donde el árbol más alto representa 100%; a partir de este, se clasifican los siguientes estratos: el II (medio), se refiere al intervalo de 50-80% y el III (bajo), de 0-50% (Aguirre, 2002; Pretzsch, 2009).
El índice A se deriva del valor máximo en A (A max ), proporcionado por el número de especies y los estratos de altura; y la estandarización relativa (A rel ) en porcentaje. Este índice (A) sirve para determinar la diversidad estructural, en cuanto a la distribución vertical y se define de la siguiente manera:
Donde:
S = Número de especies presentes en el área muestreada
Z = Número de estratos respecto a la altura del arbolado
P ij = Porcentaje de especies en cada zona, que se estima de la siguiente manera:
Donde:
n i,j = Número de individuos de la misma especie (i) en la zona (j)
N= Número total de individuos
Se estimaron las variables para evaluar la productividad de las áreas: densidad (N ha-1), área basal (m2 ha-1), cobertura de copa (m2 ha-1) y volumen (m3 ha-1), las cuales se describen conforme a las ecuaciones siguientes:
La densidad se obtuvo para cada área, mediante la expresión:
Donde:
D = Número de individuos por hectárea
N i = Número individuos por sitios
Sh = Superficie de una hectárea (m2)
Se = Superficie evaluada (m2)
El área basal se calculó para cada área, mediante la ecuación:
Donde:
G = Área basal por hectárea
G i = Área basal individual por sitio
Sh = Superficie de una hectárea (m2)
Se = Superficie evaluada (m2)
La cobertura de copa se determinó para cada área con la fórmula:
Donde:
Cc = Cobertura por hectárea
Cc i = Cobertura individual por sitios.
Sh = Superficie de una hectárea (m2)
Se = Superficie evaluada (m2)
El volumen para cada área resultó de la ecuación:
Donde:
V = Volumen por hectárea
V i = Volumen individual por sitio (m3) (altura * diámetro *coeficiente mórfico de la especie)
Sh = Superficie de una hectárea (m2)
Se = Superficie evaluada (m2)
Para el Índice de Valor de Importancia de las especies (IVI) se utilizaron los valores relativos de abundancia (Ar), dominancia (Dr) y frecuencia (Fr). Ar se estimó por la división del número de individuos de cada especie (n) entre el número total de individuos (N). Para Dr se tomó el área de copa, al dividir la superficie de cada especie entre la superficie ocupada por todas las especies. Fr se obtuvo por división de la frecuencia de cada especie (f) entre la sumatoria de frecuencias de todas las especies (F). Cada indicador se multiplicó por 100 para tener valores relativos. El IVI por especie se calculó a partir de la suma de los tres indicadores relativos (Müeller-Dombois y Ellemberg, 1974).
La productividad de las áreas se determinó mediante la estimación del volumen individual con las variables de altura y diámetro, multiplicado por el coeficiente mórfico, que se expresa en la siguiente ecuación:
Donde:
V i = Volumen individual por sitio (m3)
F = Coeficiente mórfico
Dn = Diámetro normal (cm)
H = Altura total (m)
Asimismo, se utilizó la tabla de producción para Pinus pseudotrobus elaborada por Aguirre (1989).
Los datos se analizaron con una prueba no paramétrica (Shapiro-Wilcoxon) para las variables: densidad, área basal, cobertura de copa y volumen, mediante el programa R©, v. 3.1.1; las rutinas generadas fueron creadas con el programa R-Studio © v. 0.99 (Alea et al., 2014).
Resultados
Las especies arbóreas presentes en las áreas de estudio correspondieron a la familia Pinaceae; las más representativas, con base en su densidad, fueron Pinus pseudostrobus, Pinus strobiformis y Pinus hartwegii; Pseudotsuga menziesii y Abies vejarii Martínez solamente se consignaron en el área incendiada (A1) (Cuadro 1).
Cuadro 1 Listado de especies arbóreas presentes en el área de estudio.
| Familia | Género | Especie | Área | Densidad |
|---|---|---|---|---|
| Pinaceae | Pinus | pseudostrobus Lindl. | A1 | 141 |
| Pinaceae | Pinus | strobiformis Engelm. | A1 | 12 |
| Pinaceae | Pinus | hartwegii Lindl. | A1 | 108 |
| Pinaceae | Pseudotsuga | menziesii (Mirb.) Franco | A1 | 2 |
| Pinaceae | Abies | vejarii Martínez. | A1 | 4 |
| Pinaceae | Pinus | pseudostrobus Lindl. | A2 | 155 |
| Pinaceae | Pinus | strobiformis Engelm. | A2 | 5 |
| Pinaceae | Pinus | hartwegii Lindl. | A2 | 3 |
A1 = Área incendiada; A2 = Área no incendiada.
Índice de Pretzsch (A)
En el área incendiada (A1) se registraron cinco taxa de coníferas con un índice de Pretzsch de 2.26, un A max de 2.71, característico de 83.5% de la diversidad, lo que sugiere que la distribución de las especies en los estratos está en 16.5% de su máxima diferenciación dimensional; es decir, que el rodal es uniforme.
La diversidad de alturas en los tres estratos de A1 presentó como especie dominante a Pinus pseudostrobus (72% en el estrato I), con una diferencia mínima en la tendencia de su dominancia, con respecto al estrato II (71%) y al estrato III (28%); Pinus hartwegii y Abies vejarii incrementaron su importancia en los estratos II y III, con valores de 25% y 2% de IVI en el estrato II, mientras que en el III Pinus hartwegii y Pinus strobiformis registraron 64% y 7% de IVI, respectivamente (Figura 2).

Pi Ps = Pinus pseudostrobus; Pi St = Pinus strobiformis; Pi Ha = Pinus hartwegii; Ps Me = Pseudotsuga menziesii; Ab Ve = Abies vejarii.
Figura 2 Comportamiento de la estructura vertical de un área incendiada en el Cerro El Potosí.
Las variables dendrométricas en A1 mostraron valores promedios en diámetro para Pinus hartwegii del estrato I de 49.5 cm; del estrato II de 48.7 cm y del estrato III de 27.4 cm. El diámetro promedio de Pinus pseudostrobus en el estrato I fue de46.6 cm; el de Pinus strobiformis en el estrato II fue de 47.5 cm y por último, el de Pinus pseudostrobus fue de 25.3 cm en el estrato III.
Respecto a las alturas, en A1 se calculó un promedio de 23.7 m para Pinus hartwegii en el estrato I. En el II, la especie dominante fue Abies vejarii con 17.3 m de altura promedio, y la codominante Pinus strobiformis con 16.2 m. En el III fue de 7.9 m para Pinus pseudostrobus, al que le siguieron Pinus hartwegii y Pinus strobiformis, con 7.3 y 5.9 m, respectivamente (Cuadro 2). La altura máxima fue de 23.9 m y la mínima de 3.3 m, correspondiente a Pinus hartwegii, en toda el área incendiada.
Cuadro 2 Índice de valor de importancia (IVI) y variables dasométricas (diámetro y altura) del área incendiada (A1).

Pi Ps = Pinus pseudostrobus; Pi St = Pinus strobiformis; Pi Ha = Pinus hartwegii; Ps Me = Pseudotsuga menziesii; Ab Ve = Abies vejarii; SubA = Sub área (400 m2); IVI =Índice de Valor de Importancia; d1.30 = Diámetro a 1.30 m; AT = Altura total.
El área no incendiada (A2) se caracterizó por la presencia de tres especies, con un índice de Pretzsch de 0.58, A max = 2.20, que representa 26.4% de la diversidad de especies en todos los estratos, mismos que guardan entre sí una diferenciación dimensional de 73.6%; es decir, que el sitio tiene variabilidad en las clases de alturas para cada uno de los estratos.
En esta área, Pinus pseudostrobus es el taxon dominante, con 63% en el estrato I; para el estrato II, 100%; mientras que para el estrato III, fue de 65%, seguido por Pinus strobiformis con 34%; en tanto que, la especie asociada Pinus hartwegii corresponde a 1% en el estrato III (Figura 3).
Referente a las variables dasométricas en A2, el diámetro promedio de Pinus hartwegii fue de 57 cm en el estrato I y en el estrato II, Pinus pseudostrobus, con 51 cm y en el estrato III fue de 42.8 cm (Figura 3).

Pi Ps = Pinus pseudostrobus; Pi St = Pinus strobiformis; Pi Ha = Pinus hartwegii; Ps Me = Pseudotsuga menziesii; Ab Ve = Abies vejarii.
Figura 3 Comportamiento de la estructura vertical de un área testigo aledaña al fuego en el Cerro El Potosí.
Pinus pseudostrobus fue el más representativo para las alturas en A2; en los estratos I y II, midió 23.4 y 16.7 m, respectivamente. En el III la altura promedio fue de 11.5 m para Pinus hartwegii, seguida por Pinus strobiformis (8.7 m) y Pinus pseudostrobus (8.3 m) (Cuadro 3). La altura máxima fue de 26 y mínima de 3.8 m, correspondiente a Pinus pseudostrobus, en toda el área no incendiada.
Cuadro 3 Índice de valor de importancia (IVI) y variables dasométricas (diámetro y altura) del área no incendiada (A2).

Pi Ps = Pinus pseudostrobus; Pi St = Pinus strobiformis; Pi Ha = Pinus hartwegii; Ps Me = Pseudotsuga menziesii; Ab Ve = Abies vejarii; SubA = Sub área (400 m2); IVI = Índice de Valor de Importancia; d1.30 = Diámetro a 1.30 m; AT = Altura total.
Productividad
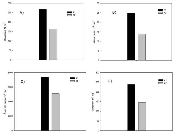
La densidad en el A1 estuvo representada por 267 individuos por hectárea y el A2 por 163; el área basal del A1 fue de 24.83 m2 ha-1, mayor al de A2, de 13.83 m2 ha-1, lo que puede explicarse por un número superior de individuos registrados con diámetros y alturas más grandes. Por otra parte, el área de copa de la primera zona fue de 7.35 m2 ha-1, igualmente superior al de la segunda, de 5 103 m2 ha-1, que se relaciona con el área basal. El volumen calculado en A1 fue de 238.89 m3 ha-1, también más alto que el de A2 (144.24 m3 ha-1), mismo que se asocia con su cobertura y área basal (Figura 4).
Discusión
La especie más numerosa es Pinus pseudostrobus con 95.1% (155 N ha-1) para el área incendiada y 53.8% (141 N ha-1) para la no incendiada, porcentajes inferiores a los señalados por Domínguez et al. (2012), con 78 N ha-1, que representa 22.1% total de los árboles. Pinus hartwegii constituye 41.2% (108 N ha-1) de los individuos para el área incendiada y 1.8% (3 N ha-1) para la no incendiada, que también están por debajo de los citados por Ávila et al. (2012) que fueron de 185 N ha-1 para los bosques incendiados. P. hartwegii está catalogado como resistente al fuego (Rodríguez et al., 2004), que se refleja en las cifras anteriores.
La evaluación de la estructura vertical del bosque de coníferas estudiado reveló que Pinus pseudostrobus fue el más representativa en los dos lugares comparados (A1 y A2). El índice de valor de importancia (IVI) para esta especie en el área incendiada (A1) fue de 72% en el estrato I, en el II de 71% y en el III de 28%, que son cifras más altas que en el estrato I del área libre de incendios (A2), que registró 63%; 100% en el II y 65% en el III, que son lo opuesto. Torres et al. (2006) consigna resultados similares, ya que el taxon principal en todos los estratos fue Pinus pseudostrobus, 100% en el estrato superior (I), 85.8% en el medio (II) y 37% en el bajo (estrato III). Como especie dominante, está en asociación con Quercus canbyi Trel. y Juniperus flaccida Schlecht, de manera mínima en el estrato II y en mayor proporción en el estrato III.
La estratificación vertical, por medio del índice de Pretzsch, evidenció que el área incendiada (A1) fue mejor que el área no incendiada (A2) por los valores calculados: en A1, fue de 2.26, A max 2.71 y A rel 83.5%; resultados similares a los de Rubio et al. (2015), quienes en un área incendiada calcularon un índice de 1.86, A max de 3.30 y A rel de 56%, lo que indica que el rodal tiene uniformidad media, en cuanto a la diversidad en alturas. El A2 registró un A de Pretzsch de 0.58, A max 2.20 y A rel 26.4%; Rubio et al. (2015) en un área no incendiada calcularon un índice A de 2.01, con una A max de 3.74 y una A rel de 54%; lo que supone que la diferenciación dimensional de altura constituye 46%.
El registró de altura y diámetro medios en el estrato superior del área incendiada (A1) fue de 20.95 m y 46.6 cm en Pinus pseudostrobus. El del área no incendiada (A2) tuvo un intervalo de 23.5 m y 48 cm de diámetro. Jiménez et al. (2001) estimaron estas dimensiones para un bosque de pino-encino, de 12.9 m y 26.1 cm (A1) y de 23.5 cm y 13.9 m (A2), respectivamente.
La productividad del área incendiada (A1) fue mejor que la del área no incendiada (A2); existen diferencias significativas en la densidad, el área basal, el área de copa y el volumen. Este último en A1, para Pinus hartwegii y Pinus pseudostrobus fue de 53.08 y 93.87 m3 ha-1; mientras que para el área libre de incendios (A2) fue de 3.78 y 111.10 m3 ha-1; por lo tanto, este ecosistema reviste gran importancia ecológica y económica para la región. Lo anterior concuerda con lo información de Rodríguez (2001), mediante la cual describen que los bosques de Pinus hartwegii incrementan su anchura en anillos, lo cual se refleja en el incremento en diámetros, y hasta 15% en anchura de copas. El área basal es de 9.30 m2 ha-1 de pino y 10.67 m2 ha-1 de encino, con 1.38 m2 ha-1. El volumen total para pino fue de 54.60 m3 ha-1 y para encino de 29.04 m3 ha-1. En comparación con los ecosistemas mixtos, donde la sucesión cambia la diversidad, Caspersen y Pacala (2001) y Vilá et al. (2007) notaron que la mayor productividad se verifica en bosques en etapas sucesionales tempranas.
Conclusiones
Con base en los resultados de este estudio, se rechaza la hipótesis planteada, pues las especies de coníferas estudiadas se beneficiaron por el fuego, ya que la diversidad dimensional mostró mejorías en el área incendiada, que se manifestaron en un número de especies más alto (83%) en todos los estratos de A1, contra 26% en el área no incendiada (A2).
En la estructura vertical del bosque de coníferas del Cerro El Potosí está presente una población integrada por ejemplares forestales dominantes, codominantes y suprimidos.
La productividad en el área incendiada fue superior a la no incendiada, de acuerdo a las diferencias significativas de densidad, área basal, área de copa, volumen y la abundancia mayor de Pinus pseudostrobus en los estratos II y III. El área libre de incendios registró un número más reducido de individuos (N ha-1), como resultado de una menor proporcionalidad en volumen (m3 ha-1) y solo el estrato I confirmó una abundancia de 100% para Pinus pseudostrobus.










texto en 













