Servicios Personalizados
Revista
Articulo
Indicadores
-
Citado por SciELO -
Accesos
Links relacionados
-
Similares en
SciELO
Compartir
Revista mexicana de ciencias forestales
versión impresa ISSN 2007-1132
Rev. mex. de cienc. forestales vol.3 no.9 México ene./feb. 2012
Artículo
Estimación del diámetro, altura y volumen a partir del tocón para especies forestales de Durango
Diameter, height and volume estimation from the stump of forest species of Durango state
Gerónimo Quiñónez Barraza1*, Francisco Cruz Cobos 1, Benedicto Vargas Larreta 2 y Francisco Javier Hernández 2
1 Colegio de Postgraduados, Campus Montecillos. Correo- e: geronimo2723@yahoo.com.mx
2 Instituto Tecnológico de El Salto.
Fecha de recepción: 12 de abril de 2010.
Fecha de aceptación: 1 de febrero de 2012.
RESUMEN
Cuando una masa forestal ha sido aprovechada mediante un programa de manejo y solo se tiene como evidencia las dimensiones de los tocones, es posible estimar a través de relaciones alométricas el diámetro y la altura, así como el volumen de los árboles en pie. En el presente trabajo se describe un experimento en el que se ajustaron 12 modelos matemáticos para predecir el diámetro normal, la altura total y el volumen del fuste, a partir del diámetro del tocón para Pinus arizonica , P. ayacahuite , P. durangensis , P. leiophylla , P. teocote y Quercus sideroxila en el ejido San Diego de Tezains, municipio Santiago Papasquiaro, Durango, que se ubica en la región noroeste del estado, en la Sierra Madre Occidental. Para ello, se utilizó una muestra de 267 árboles derribados y se emplearon modelos lineales y no lineales. El ajuste de los modelos indica que existe una tendencia lineal entre las variables diámetro normal y altura total, en función del diámetro del tocón; mientras que para el volumen del fuste, la relación es logarítmica. Así mismo, se observó que existe similitud entre especies, con respecto a las relaciones de las variables estudiadas. Las ecuaciones obtenidas pueden aplicarse en la reconstrucción de escenarios después de una intervención silvícola o la ocurrencia de fenómenos naturales catastróficos.
Palabras clave: Altura de fuste, diámetro del tocón, diámetro normal, modelo matemático, relaciones alométricas, volumen de fuste.
ABSTRACT
When a forest mass has been harvested following a management program and the size of the stumps are the only evidence, it is possible to estimate diameter, height and volume of standing trees by allometric relationships. In this paper is described an experiment in which 12 mathematical models were fitted to predict normal diameter, total height and stem volume from the diameter of the stump of Pinus arizonica, P. ayacahuite, P. durangensis, P. leiophylla, P. teocote and Quercus sideroxila in San Diego de Tezains, Santiago Papasquiaro municipality, which is located at the northwestern region of the state of Durango and belongs to the Sierra Madre Occidental. A sample of 267 felled trees and linear and non-linear models were used. The fitting of models indicates that there is a linear tendency between normal diameter and total height, in terms of stump diameter, while for the volume of the stump, there is a logarithmic relationship. Also, a similitude among species in regard to the relations of the studied variables was observed. The resulting equations may be applied in the reconstruction of scenes after a forestry intervention occurs or when a catastrophic event takes place.
Key words: Height of stem, breast-high diameter, diameter of the stump, mathematical model, allometric relationships, volume of the stem.
INTRODUCCIÓN
Los bosques son valorados, desde el punto de vista económico, en función de la cantidad de madera que producen; por lo tanto, una de las actividades más comunes en biometría forestal es la estimación del volumen de los árboles, mediante ecuaciones que lo predicen con base en algunas variables independientes de fácil medición en el campo. Estos modelos son herramientas matemáticas fundamentales para calcular las existencias volumétricas y, por consiguiente, se convierten en una consideración básica para la toma de decisiones en el manejo forestal (Robinson y Wood, 1994).
El diámetro normal es una variable que sirve para determinar el volumen individual o de una masa forestal, para definir la estructura del bosque o para seleccionar los árboles que se deben medir en un inventario, de acuerdo a un diseño de muestreo. Después del aprovechamiento, cuando un árbol ha sido cortado, solo permanece su tocón como un indicador de sus dimensiones, y este puede utilizarse como variable predictiva del diámetro normal o de su volumen (McClure, 1968).
Báes y Gra (1990) plantearon tres aspectos por los cuales es necesario conocer la relación entre el diámetro del tocón y el diámetro a 1.30 m: 1) para cuantificar el volumen extraído por cortas furtivas con el uso de tablas de volumen locales, 2) cuando la información no se obtuvo o se perdió, lo que permite conocer la distribución de los diámetros y área basal de parcelas y rodales y 3) para estimar la cantidad de madera extraída en grandes extensiones.
La literatura sobre la predicción del volumen del árbol en función del diámetro del tocón es escasa. La mayoría de los trabajos desarrollados presentan tablas, gráficos o ecuaciones que predicen el diámetro normal (McClure, 1968; Bylin, 1982; Weigel y Johnson, 1997). En estos casos la estimación del volumen se realiza en dos fases: primero se calcula el diámetro normal y enseguida se obtiene el volumen del árbol con una tarifa de cubicación local (Bylin, 1982). Sin embargo, existen ocasiones en que se carece de ella, por lo que se debe usar otra herramienta para la determinación directa del volumen. Así, Myers (1963), Nyland (1977), Bylin (1982) y Parresol (1998) relacionaron el diámetro del tocón con el volumen del árbol en diferentes especies forestales de Norteamérica. En México, el único, trabajo sobre el tema es el de Corral-Rivas et al. (2007), quienes calcularon el diámetro normal y el volumen del fuste para Pinus cooperi C.E. Blanco en la región forestal de El Salto, Durango.
El objetivo del presente estudio fue determinar el modelo matemático que estima mejor el diámetro normal, la altura total y el volumen del fuste en función del diámetro del tocón para Pinus arizonica Engelm. , P. durangensis Martínez , P. teocote Schied. ex Schltdl. et Cham. , P. leiophylla Schiede ex Schltdl. et Cham. , P. ayacahuite Ehrenb. ex Schltdl. y Quercus sideroxyla Bonpl.
MATERIALES Y MÉTODOS
Descripción del área de estudio
El ejido San Diego de Tezains se ubica en la región noroeste del estado de Durango, en la Sierra Madre Occidental, entre las coordenadas 24° 48' 16.98'' N y 25° 13' 38.91'' N, 106° 12' 37.63'' W y 106° 12' 25.58'' W y está comprendido en los municipios de Tepehuanes, Topia, Canelas, Otáez y Santiago Papasquiaro, con su mayor superficie (Figura 1).

Los tipos de climas en el área corresponden al templado, cálido húmedo y templado subhúmedo; con una precipitación media anual de 1,375 mm (García, 1981). Las temperaturas medias varían desde 8 °C en las zonas más altas hasta 24 °C en las partes bajas, en las cuales la altitud media apenas llega a 600 m. (INEGI, 1993a, b, c, d, e). Las asociaciones de suelo predominantes son Litosol, Cambisol, Luvisol, Regosol, Feozem, cromicos, háplicos y eutricos. Los tipos de vegetación predominante son los bosques de pino-encino (Programa de Manejo Forestal, 2006).
Métodos
Se utilizó una base de datos de 267 individuos derivados de los análisis troncales hechos en el 2006: Pinus arizonica ( Pa, 46), P. durangensis ( Pd, 73), P. teocote ( Pt, 54), P. leiophylla ( Pl, 30), P. ayacahuite ( Pay, 27) y Quercus sideroxila ( Qs, 37). Los árboles fueron seleccionados con base en un diseño de muestreo aleatorio estratificado y se consideró el número mínimo de individuos por categoría diamétrica para cada especie, de acuerdo a la estructura arbórea del área. El modelo se generó con información de sitios permanentes de investigación silvícola, que se establecieron para desarrollar el sistema biométrico del programa de manejo forestal, en el cual se sugiere un mínimo de 15 árboles para la categoría representativa, 10 dominantes y cinco intermedios o suprimidos.
Para la toma de datos se derribó cada ejemplar a la altura mínima posible de corte del tocón; se extrajeron tres secciones hasta llegar al diámetro normal (1.30 m), las dos primeras de 30 cm de altura y la tercera de 0.70cm. Posteriormente, se obtuvieron secciones de 2 m de longitud de manera subsecuente hasta la punta del árbol. Por individuo se midió el diámetro normal, la longitud total y de cada sección los diámetros y longitudes. Los volúmenes de las trozas se calcularon con la fórmula de Smalian [1] y la parte final con la del cono [2]:


Donde:
S1 = Superficie menor (m2)
S2 = Superficie mayor (m2)
Sb = Superficie de la base (m2)
h = Longitud (m)
V = Volumen (m3)
Se sumaron los volúmenes individuales de cada sección para determinar el volumen total del fuste limpio.
Modelos utilizados
Los modelos empleados fueron los recomendados por Diéguez et al. (2003), Benítez et al. (2004) y Corral-Rivas et al. (2007) (Cuadro 1).
Los modelos M1 - M10 y M12 son lineales en sus parámetros, por lo que su ajuste se realizó con el método de mínimos cuadrados, mediante el procedimiento REG del programa estadístico SAS (SAS Institute INC, 2003). Para el modelo M11 se usó el procedimiento no lineal MODEL, del mismo programa.
Ajuste de los modelos
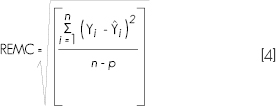
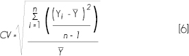
Hair et al. (1999) señalaron que no siempre las ecuaciones que mejor se ajustan a la muestra producen las estimaciones más precisas de los valores reales, por lo que el objetivo de un análisis de regresión no es determinar el mejor ajuste solo para la muestra, sino desarrollar el modelo que describa con mayor certidumbre a la población en su conjunto. Por esta razón una medida utilizada para evaluar el valor teórico de la regresión es el error o residuo, es decir, la diferencia entre la variable dependiente efectiva y su valor predictivo. El análisis de los residuos permite calcular los estadísticos más comunes; en este contexto, la capacidad de ajuste se analizó a partir de los residuos y de cuatro estadísticos utilizados con frecuencia durante la generación de modelos forestales (Prodan et al., 1997; Gadow y Hui, 1999; Castedo y Álvarez, 2000; Diéguez et al., 2003; Corral-Rivas et al., 2007): Sesgo Promedio (Ē), Raíz del Error Medio Cuadrático (REMC), Coeficiente de Determinación Ajustado (R2 adj) y el Coeficiente de Variación (CV).




Donde:
= Valores observado, predicho y medio de la variable dependiente
n = Número de observaciones
p = Número de parámetros del modelo
El sesgo promedio indicó la desviación del modelo con respecto a los valores observados, la raíz del error cuadrático medio la precisión de las estimaciones, el coeficiente de determinación ajustado reflejó la variabilidad total explicada por el modelo, con base en el número total de parámetros a estimar, y el coeficiente de variación explicó la variabilidad relativa con respecto a la media, lo cual sirvió para la rápida comparación de los modelos propuestos (Diéguez et al., 2003).
Con la finalidad de detectar los valores atípicos o tendencias extrañas en los datos, estos se analizaron, gráficamente: los residuos contra los valores predichos de la variable dependiente. Dicho análisis fue muy útil para determinar si los ajustes corresponden con los datos (Huang, 2002).
RESULTADOS
En el Cuadro 2 se presentan los estadísticos de diámetro del tocón (dtoc), diámetro normal (dn), altura total (ht) y volumen del fuste (vf) de la base de datos utilizada.
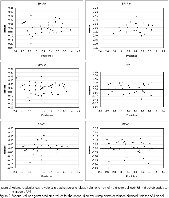
Relación diámetro normal - diámetro del tocón
Los valores de los estimadores de los modelos para el caso de la relación del diámetro normal, en función del diámetro del tocón se muestran en el Cuadro 3. Se observa que el modelo con mejor ajuste para todas las especies fue el M4.
En el Cuadro 4 se resumen los valores de los parámetros a y b (Estimadores), error estándar (EE), valor calculado del estadístico t de student (t) y significancia (Pr>t). Los parámetros se evaluaron con una confiabilidad del 95 % para el modelo 4, el cual presentó el mejor ajuste.
En la Figura 2 se muestran los valores predichos contra los residuos obtenidos con el modelo M4. La distribución de los errores no sigue un patrón definido, por lo que se asume que el modelo no presenta problemas de heterocedasticidad; mientras que, el intervalo de los valores residuales es pequeño, en todos los casos.
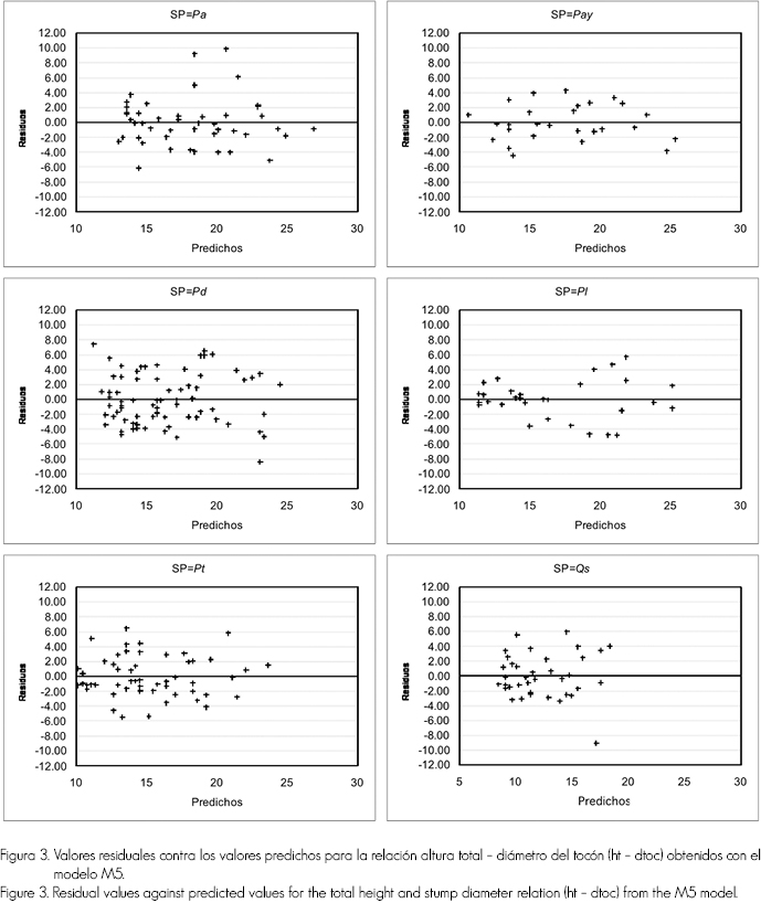
Relación altura total - diámetro del tocón
Los valores de los estimadores y los estadísticos de ajuste para la relación altura total en función del diámetro del tocón se consignan el Cuadro 5. El modelo con mejor bondad de ajuste para todas las especies fue el M5.
Los valores de los parámetros a y b (Estimadores), Error estándar del parámetro calculado (EE), el valor calculado del estadístico t de student (t) y la significancia del parámetro (Pr>t), calculados con una confiabilidad de 95% se muestran en el Cuadro 6.
Los valores predichos contra los residuos del modelo M5 para la relación altura total y el diámetro del tocón, tuvieron una distribución cuyos residuos no fueron homogéneos, en cuanto a la varianza para las especies estudiadas; sin embargo, en las primeras categorías de altura existe una sobreestimación de los valores predichos por el modelo para las especies Pd y Pt ; en tanto que para la categoría de 15 a 20 m de altura, los valores son más cercanos a cero para Pay y Pl (Figura 3).
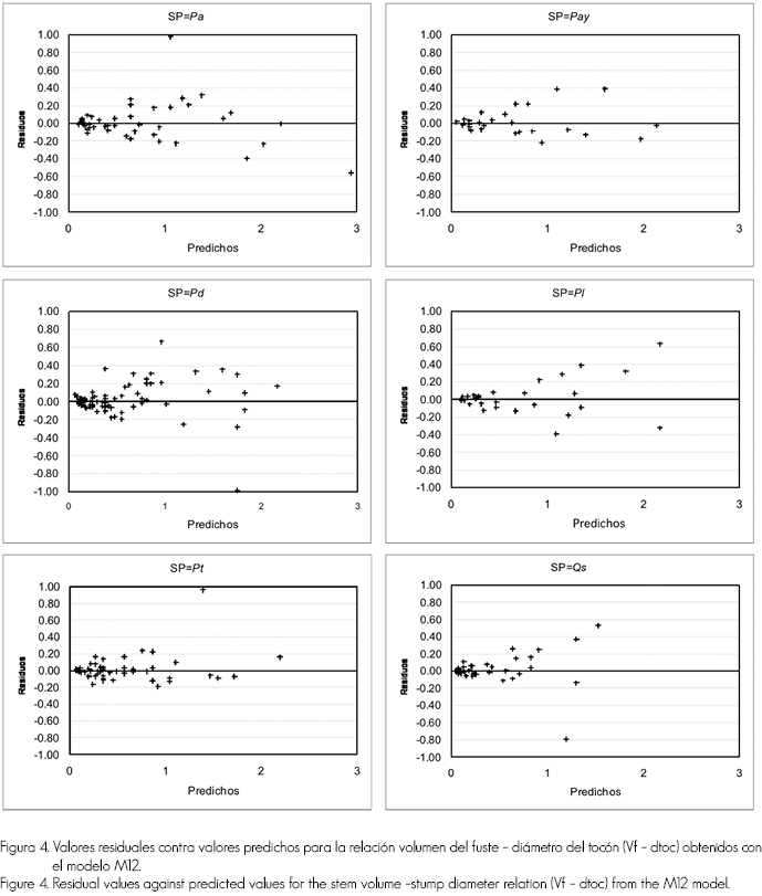
Relación volumen de fuste - diámetro del tocón
Los valores de los estimadores de los modelos y los estadísticos de ajuste del volumen del fuste, en función del diámetro del tocón se resumen en el Cuadro 7. El modelo M12 tuvo el mejor ajuste para todas las especies.
En el Cuadro 8 se consignan los valores de los parámetros a y b (Estimador), su error estándar, el valor calculado de t de student (t) y la significancia (pr>t) de los parámetros.
De acuerdo a los valores de volumen predichos con el modelo M12, se observa que en volúmenes bajos predice con una confiabilidad muy alta, en cambio para los volúmenes más altos el modelo sobreestima los valores predichos para todas las especies (Figura 4).
DISCUSIÓN
Relación diámetro normal - diámetro del tocón
Una ecuación lineal simple entre el diámetro normal y el diámetro del tocón explica satisfactoriamente la relación que hay en las variables de las especies estudiadas, que coincide con los resultados de Diéguez et al. (2003) y Corral-Rivas et al. (2007). Aunque los modelos de forma parabólica (M2, M6 y M10) presentan buenos resultados, el parámetro que acompaña a la variable elevada al cuadrado toma valores cercanos a cero, lo que indica su poca aportación al modelo.
La ecuación seleccionada (M4) para la relación de diámetro normal - diámetro del tocón concuerda con la que desarrollaron Benítez et al. (2004) para plantaciones de Casuarina equisetifolia L.
Relación altura total - diámetro del tocón
Con respecto a la relación altura total - diámetro del tocón se carece de estudios documentados para comparar los resultados de esta investigación. Sin embargo, Diéguez et al. (2003) tuvieron limitaciones para utilizar ecuaciones en Pinus pinaster Aiton, P. radiata D.Don y P. sylvestris L. en Galicia, España, como la aplicación en árboles que estaban fuera de los límites de la base de datos utilizada, por lo que la extrapolación a un intervalo de datos distinto al empleado puede dar lugar a estimaciones erróneas. En ese sentido, cabe aclarar que los modelos seleccionados no fueron validados debido a que la base de datos empleada fue muy pequeña, aunque existe la posibilidad de realizar una validación cruzada, pero el aporte de la misma no es importante por el hecho de trabajar con iteraciones de los mismos datos ajustados (Diéguez et al., 2003).
Relación volumen de fuste - diámetro del tocón
El modelo logarítmico es el que mejor explica la relación de volumen del fuste - diámetro del tocón, hecho que concuerda con lo propuesto por Diéguez et al. (2003); por otro lado, Corral-Rivas et al. (2007) determinaron que el modelo no lineal M11 también presenta buenos resultados para Pinus cooperi , en la región de El Salto, Durango.
Los valores del coeficiente de determinación ajustado para los modelos seleccionados están por arriba de 0.9, por lo que cumple con lo expresado por Gujarati (1999), quien planteó que en este tipo de estudios un modelo es satisfactorio cuando el valor del coeficiente es de aproximadamente 0.8. Al respecto, Alder (1980) declaró que las mejores funciones tienen valores de 0.7 ó 0.8. Benítez et al. (2004) determinaron coeficientes alrededor de 0.9 para plantaciones de Casuarina equisetifolia y señalaron que el estadístico por sí solo es insuficiente para evaluar la exactitud de un modelo, por lo que debe analizarse en relación con otros parámetros estadísticos. Por lo tanto, para elegir los mejores modelos, en el presente trabajo, se consideraron el error típico, el sesgo promedio, el coeficiente de variación y la significancia de los parámetros, tal como recomiendan Diéguez et al. (2003). Dichos estadísticos fueron ajustados a las unidades originales de las variables empleadas para hacerlos comparables entre sí.
Hair et al. (1999) y Benítez et al. (2004) señalaron que el objetivo de un análisis de regresión es desarrollar el modelo que describa mejor la población en su conjunto y recomiendan que se validen con una muestra de datos independiente a la utilizada en el ajuste.
CONCLUSIONES
El ajuste de los modelos indica que existe una tendencia lineal entre las variables diámetro normal y altura total, en función del diámetro del tocón; mientras que para el volumen del fuste, la relación es logarítmica.
Los modelos M4, M8 y M12 presentan estadísticos con buenos ajustes, lo que significa que su uso en la predicción del diámetro normal, altura total y volumen del fuste, en función del diámetro del tocón, es confiable para las especies estudiadas y pueden ser de utilidad para el inventario y manejo de sus poblaciones.
En términos generales, los modelos M4, M8 y M12 explican satisfactoriamente el comportamiento de las variables diámetro normal, altura total y volumen, respectivamente, en función del diámetro del tocón, por lo que se puede concluir que estos modelan las variables estudiadas.
AGRADECIMIENTOS
Este estudio fue realizado con apoyo de la Dirección General de Educación Superior Tecnológica (Beca No. 052007585). Los autores agradecen al ejido San Diego de Tezains por la disponibilidad del uso de la información.
REFERENCIAS
Alder, D. 1980. Estimación del volumen forestal y predicción del rendimiento con referencia especial en los trópicos. In: Predicción del Rendimiento. FAO Montes Estudio 22/2. Vol. 2. Roma Italia. 118 p. [ Links ]
Báes, R. y H. Gra 1990. Estudios dasometricos en Casuarina equisetifolia. Determinación del diámetro normal a partir del diámetro del tocón. Revista Forestal Baracoa 20(2): 63-68. [ Links ]
Benítez N., J. Y., M. Rivero V., A. Vidal C., J. Rodríguez R. y R. C. Álvarez R. 2004. Estimación del diámetro normal a partir del diámetro del tocón en plantaciones de Casuarina equisetifolia Forst. de La Provincia Camagüey, Cuba. Revista Chapingo. Serie: Ciencias Forestales y del Ambiente 10 (1): 25 - 30. [ Links ]
Bylin, C. V. 1982. Volume prediction from stump diameter and stump height of select species in Louisiana. USDA For. Ser. Note SO-182. New Orleans, LA. USA. 11 p. [ Links ]
Castedo, F. y J. G. Álvarez 2000. Construcción de una tarifa de cubicación con clasificación de productos para Pinus radiata D. Don en Galicia basado en una función de perfil del tronco. Invest. Agrar. Recur. For. 9 (2): 253-268. [ Links ]
Corral-Rivas, J. J., M. Bario-Anta, O. A. Aguirre-Calderón and U. Diéguez-Aranda. 2007. Use of stump diameter to estimate diameter at breast height and tree volumen for major pine species in El Salto, Durango (México). Forestry 80 (1): 29 - 40. [ Links ]
Diéguez A., U., M. Barrio A., F. Castedo D. y M. Balboa M. 2003. Estimación del diámetro normal y del volumen del tronco a partir de las dimensiones del tocón para seis especies forestales comerciales de Galicia. Invest. Agrar. Sist. Recur. For.12 (2): 131-139. [ Links ]
Gadow, K. V. and G. Hui. 1999. Modelling forest development. Kluwer Academic Publishers. AH. Dordrecht. The Netherlands. 205 p. [ Links ]
García M., E. 1981. Modificaciones al Sistema de Clasificación Climática de Köppen. Instituto de Geografía. Universidad Nacional Autónoma de México. 3a edición. México, D. F. México. 252 p. [ Links ]
Gujarati, D. N. 1999. Econometría. 2a. Parte. N/S. Estados Unidos. pp 127 - 131. [ Links ]
Hair, J. F., R. E. Anderson, R. L. Tatham y W. C. Blach 1999. Análisis multivariante. Quinta edición. Prentice Hall Iberia. Madrid, España. 832 p. [ Links ]
Huang, S. 2002. Validating and localizing growth and yield models: procedures, problems and prospects. In: Proceedings of IUFRO Workshop on Reality, Models and Parameter Estimation: the Forestry Scenario. Sesimbra, Portugal (2-5 de junio de 2002). [ Links ]
Instituto de Nacional de Estadística, Geografía e Informática (INEGI). 1993a. Cartas climáticas. G13-7, G13-8, G13-10 y G13-11. Escala 1:250,000. [ Links ]
Instituto de Nacional de Estadística, Geografía e Informática (INEGI). 1993b. Cartas de uso de suelo y vegetación. G13-7, G13-8, G13-10 y G13-11. Escala 1:250,000. [ Links ]
Instituto de Nacional de Estadística, Geografía e Informática (INEGI). 1993c. Cartas Edafológicas. G13-7, G13-8, G13-10 y G13-11. Escala 1:250,000. [ Links ]
Instituto de Nacional de Estadística, Geografía e Informática (INEGI). 1993d. Cartas Geológicas. G13-7, G13-8, G13-10 y G13-11. Escala 1:250,000. [ Links ]
Instituto de Nacional de Estadística, Geografía e Informática (INEGI). 1993e. Cartas temáticas en formato digital SHP. Aguas superficiales y subterraneas. G13c46, G13c47, G13c56 y G13c47. Escala 1:250,000. [ Links ]
McClure, J. P. 1968. Predicting tree dbh from stump measurements in the southeast. Southeastern Forest Experiment Station. USDA For. Ser. Res. Note SE-99. Asheville, NC. USA. 4 p. [ Links ]
Myers, C. A. 1963. Estimating volumes and diameters at breast height from stump diameters on southwestern ponderosa pine. Rocky Mountain Forest and Range Experiment Station. USDA For. Ser. Res. Note RM - 9. Fort Collins, CO. USA 2 p. [ Links ]
Nyland, R. D., 1977. Estimating volume from stump measurements for hardwoods. AFRI Res. Note 2. College of environmental Science and Forestry, Applied Forestry Research Institute. University of New York. Syracuse, NY. USA. 2 p. [ Links ]
Parresol, B. R. 1998. Prediction and error of baldcypress stem volume from stump diameter. South. J. Appl. For. 22 (2): 69 - 73. [ Links ]
Prodan M., R. Peters, Cox F. y P. Real. 1997. Mensura forestal. Instituto Interamericano de Cooperación para la Agricultura (IICA). [ Links ]
Programa de Manejo Forestal. 2006 [ Links ]
Robinson, A. P. and G. B. Wood. 1994. Individual tree volume estimation: A new look at new systems. Journal of Forestry 92 (12): 25-29. [ Links ]
Statistical Analysis System Institute INC. (SAS) 2003. SAS/STATTM User's guide, Release 9.1 Edition. Cary, NC. USA. 409 p. [ Links ]
Weigel, D. R. and P. S. Johnson 1997. Estimating dbh of southerm Indiana oaks from stump diameter. USDA For. Ser. Tech. Brief TB - NC - 4. North Central Experiment Station. University of Missouri. Columbia, MI. USA. 4 p. [ Links ]












= Valores observado, predicho y medio de la variable dependiente 
