Introducción
México es el primer productor de limón mexicano en el mundo con una superficie de 120 000 ha, de las cuales Michoacán tiene 75 000 ha y produce 900 000 t con una derrama económica de $2 595 mil millones de pesos (SIAP, 2022). Los cítricos son atacados por una gran cantidad de plagas y enfermedades que afectan su vigor, reducen la producción, calidad de fruto y en ocasiones la pérdida de árboles. Estos organismos atacan diversas partes del árbol, destacan por su importancia el psílido asiático de los cítricos, las escamas, trips y las arañas rojas (Miranda-Salcedo et al., 2020a).
En la actualidad el psílido asiático de los cítricos Diaphorina citri (Kuwayama) 1908 (Hemiptera: Liviidae) es la plaga más importante que ataca a los cítricos en México. El insecto se encuentra distribuido en toda la República Mexicana (López-Arroyo et al., 2008) y es el vector del Huanglongbing (HLB) la enfermedad más importante de los cítricos en el mundo (Bové, 2006; Stansly, 2012).
Su manejo se ha basado principalmente en el uso de diferentes ingredientes químicos (organofosforados, piretroides, neonicotinoides, hongos entomopatógenos y productos de origen vegetal) lo que ha ocasionado en el país el resurgimiento de nuevas plagas como: trips, escamas y arañas rojas al incrementarse el número de aplicaciones de plaguicidas; por ejemplo, en Michoacán alrededor de 40 aplicaciones por año lo cual afecta a los enemigos naturales y polinizadores (Miranda-Salcedo et al., 2020a).
En Michoacán, cada año SENASICA implementa un programa de Áreas de Manejo Epidemiológico Fitosanitario (AMEFIS) en aproximadamente 30 000 ha de cítricos (SENASICA, 2019). Sin embargo, existe un amplio gremio de enemigos naturales (Miranda-Salcedo y López-Arroyo, 2010) y no se hacen liberaciones de depredadores bajo un enfoque de control biológico inundativo. Una alternativa para mitigar esta problemática es evaluar nuevas moléculas de bajo impacto ambiental que afecten menos a los insectos benéficos (depredadores, parasitoides y polinizadores).
El conjunto de estas estrategias permitirá reducir el número de aspersiones y el nivel de daño económico. El objetivo del presente estudio fue evaluar insecticidas de generación relativamente reciente para el control del psílido asiático de los cítricos en limón mexicano. La hipótesis que se sustenta es que los insecticidas-acaricidas sintéticos y biorracionales para uso en cítricos provocan mortalidades superiores al 90% de Diaphorina citri y no impactan en organismos no objeto de control.
Materiales y métodos
La prueba de efectividad biológica se estableció en una huerta de limón mexicano con espinas de tres años ubicada en el Campo Experimental Valle de Apatzingán (19° 0’ 44.10” de latitud norte, 102° 13’ 38.57” de longitud oeste y 346 msnm). En este estudio se evaluaron las siguientes moléculas y dosis: 1) Flupyradifurone 1.56 ml L-1 agua; 2) Pyriproxyfen 1 ml L-1; 3) Pimetrozine 1.5 ml L-1; 4) Flonicamid 0.6 ml L-1; 5) Buprofezin 4 ml L-1; 6) Tolfenpyrad 2 ml L-1; 7) Fenpyiroximate 3 ml L-1; 8) Spirotetramat 1 ml L-1; 9) Cintraniliprole 0.8 ml L-1; 10) Clorantraniliprole 0.2 ml L-1; 11) Nim más aceite 4 + 6 ml L-1; 12) Nim más diatomeas 4 ml L-1 + 6 g L-1; 13) Silicio 6 g L-1; 14) Caolín 20 g L-1; 15) Bacillus amyloliquefaciens 5 g L-1; 16) sales potásicas 5 g L-1 y 17) testigo agua.
Cada tratamiento constó de diez réplicas (cada árbol fue una repetición), se utilizó un diseño completamente al azar, en donde en cada tratamiento los árboles se distribuían en una hilera independiente de otra. Para aplicar cada tratamiento se utilizó una aspersora manual de mochila marca Swissmex y se aplicó un litro de solución de insecticida por árbol, además de 1 m de adherente por litro de agua.
Para cuantificar los especímenes se usó la técnica del golpeteo, la cual consistió en seleccionar una rama a una altura de 1.5 m, con un palo se daban tres golpes y los especímenes se cuantificaban en una Cuadro de color morado de 38 x 21 cm (Miranda-Salcedo, 2019). Además, se usó otro método de muestreo que fue revisar de cada árbol un brote nuevo. La variable de respuesta fue: el número de adultos de D. citri. En el caso de los enemigos naturales (crisopas, coccinélidos y arañas) solo se registró su presencia por unidad de muestreo.
Posteriormente, las muestras se colectaron y se guardaron en recipientes con alcohol al 70% para su identificación con claves taxonómicas. Se realizó un muestreo previo a la aplicación y los posteriores a los 2, 8, 15, 20 y 29 días después de la aplicación. A los datos se les realizaron las pruebas de normalidad y homocedasticidad, posteriormente se corrió el Anova con la ayuda del programa estadístico SAS (2010), la prueba de comparación de media utilizada fue la de Duncan (p< 0.05).
Para convertir número de insectos de las variables en porciento se utilizó la ecuación 1.
1). Población de los artrópodos expresada en %.
Resultados y discusión
En el Valle de Apatzingán, Michoacán, D. citri se presenta a lo largo del año, debido a las condiciones ambientales y a las prácticas de manejo promovidas por los productores (Miranda-Salcedo y López-Arroyo 2009, 2010). Estos factores como los riegos al cultivo promueven una frecuente emisión de nuevos brotes vegetativos, lo que asegura disponibilidad de alimento y sitios de oviposición del insecto. En el caso de limón mexicano, se presentan al año cuatro picos poblacionales (septiembre, diciembre, abril y julio).
En este estudio se observó que después de los ochos días de que se aplicaron los tratamientos. Los tratamientos significativamente diferentes fueron el Tolfenpyrad®, Ciantraniliprole® y Spirotetramat (p< 0.0001), a los 15 días de aplicado el producto el mejor tratamiento fue el Tolfenpyrad®, a los 20 días el Buprofezin® y el Tolfenpyrad® y finalmente a los 29 días el Tolfenpyrad®, Ciantraniliprole® y Spirotetramat (Cuadro 1). En relación con la mortalidad ejercida, el Tolfenpyrad® presentó una mortalidad respecto del muestro previo del 97.5% a los ocho días, del 92.6% a los 15 días, del 95.1% a los 20 días y del 100% a los 29 días post aplicación.
Cuadro 1 Número de adultos de D. citri controlados con productos de bajo impacto ambiental en limón mexicano (Duncan 0.05).
| Tratamiento | Previo F16,153; p< 0.0001 | 8 días F16,153; p< 0.0001 | 15 días F16,153; p< 0.0001 | 20 días F16,153; p< 0.0001 | 29 días F16,153; p< 0.0001 |
|---|---|---|---|---|---|
| 1) Flupyridifurone | 4.1 bcd | 6.5 abc | 11.5 a | 3.5 bcde | 0.9 bc |
| 2) Pyriproxyfen | 3.1 cde | 3.9 bc | 11.3 ab | 3.1 cde | 1.5 abc |
| 3) Pimetrozine | 4.3 bcd | 6.7 ab | 7 bcd | 4.2 bc | 2.4 ab |
| 4) Flonicamid | 0.3 e | 5.8 abc | 4.9 cdef | 0.5 ed | 0.3 c |
| 5) Buprofezin | 4.1 bcd | 11.4 a | 1.5 efg | 0.2 e | 0.4 c |
| 6) Tolfenpyrad | 4.1 bcd | 0.1 c | 0.3 g | 0.2 e | 0 c |
| 7) Fenpiroxymate | 5.4 bc | 4.2 bc | 5.7 cde | 3.2 cde | 0.7 c |
| 8) Spirotetramat | 0.1 e | 0.2 c | 1.2 fg | 0.6 ed | 0.1 c |
| 9) Ciantraniliprole | 3.3 cde | 0.2 c | 1 fg | 0.6 ed | 0 c |
| 10) Clorantraniliprole | 7.6 b | 2.1 bc | 4.9 cdef | 1.9 cde | 0.5 c |
| 11) Nim-Aceite | 2.2 cde | 1.8 bc | 4.4 efg | 3.4 bcde | 0.5 c |
| 12) Nim-Diatomeas | 5.2 bc | 2.8 bc | 8.9 abc | 3.9 bcd | 0.6 c |
| 13) Silicio | 5.2 bc | 5 bc | 12.2 a | 6.7 ab | 0.8 c |
| 14) ) Caolín | 5.1 bc | 3.4 bc | 10.1 ab | 6.7 ab | 1.4 abc |
| 15) B. amyloquefaciens | 7.9 b | 2.4 bc | 8.3 abcd | 9.3 a | 2.6 a |
| 16) Sales Potásicas | 12.3 a | 7.2 ab | 8.5 abcd | 8.8 a | 2.7 a |
| 17) Testigo | 4.7 b | 5.7 abc | 11 ab | 8.6 a | 2.4 ab |
Los datos corresponden al número de adultos por unidad de muestreo, las letras indican diferencias significativas entre tratamientos.
En contraste, el Ciantraniliprole® fue del 93.9% a los ocho días; 69.7% a los 15 días; 81.81% a los 20 días y del 100% a los 29 días post aplicación. Los tratamientos Tolfenpyrad® y Ciantraniliprole® fueron los que mejor control de D. citri presentaron durante la prueba de efectividad biológica. En contraste, el Spirotetramat® también fue significativamente diferente al resto de los tratamientos a los 8, 15, 20 y 29 días pos aplicación; sin embargo, en el muestreo previo presentó la menor densidad 0.1 psílidos por unidad de muestreo.
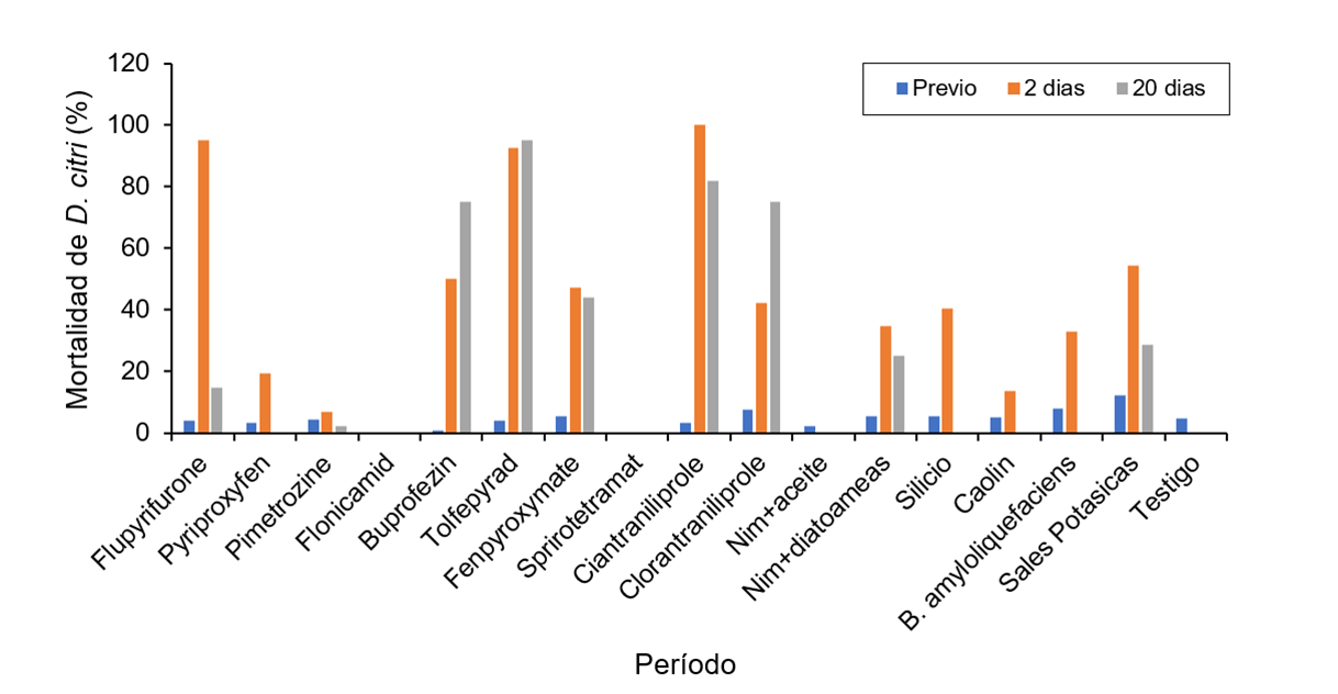
Los mejores productos después de los dos días de aplicados los productos fueron: el Flupyradifurones® (95% mortalidad), el Tolfenpyrad® (93% de mortalidad) y el Ciantraniliprole® (100% de mortalidad). Sin embargo, después de 20 días de aplicados los productos los mejores tratamientos fueron el Tolfenpyrad® (95% de mortalidad), Ciantraniliprole® (82% de mortalidad), Buprofezin® (75% de mortalidad) y el Clorantriniliprole® (75% de mortalidad). En contraste, el Pyriproxyfen®, Flonicamid®, Spirotetramat®, Nim más aceite, Silicio, Caolín, Bacillus amyloliquefaciens y el testigo presentaron un cero por ciento de la mortalidad (Figura 1 y 2).

Figura 1 Número de adultos de D. citri controlados con productos biorracionales en limón mexicano (julio, 2021).

Figura 2 Número de adultos muertos de D. citri con productos biorracionales en limón mexicano (julio, 2021).
En la Figura 3 se observa el efecto de los diferentes tratamientos en la presencia de adultos de D. citri por brote durante los cuatro muestreos posteriores a la aplicación (2, 8, 15 y 20 días). Con este tipo de muestreo la presencia de adultos fue baja. Sin embargo, los tratamientos Flonicamid®, Tolfenpyrad®, Ciantraniliprole® y Nim más aceite presentaron cero individuos por brote en todos los muestreos.

Figura 3 Número de adultos por brote de D. citri controlados con productos biorracionales en limón mexicano (julio, 2021).
Con relación a la presencia de enemigos naturales de D. citri en el Valle de Apatzingán, se encontró un amplio gremio y destacan: Chrysoperla rufilabris Burmeister 1839, Ceraeochrysa sp. nr. cincta (México) (Neuroptera: Chrysopidae); Cycloneda sanguinea (L., 1763), Hippodamia convergens Guerin-Meneville 1842, Olla v-nigrum (Mulsant, 1866) (Coleoptera: Coccinelidae), Zelus renardii (Kolenati, 1857) (Hemiptera: Reduvidae) y diferentes especies de arañas. Los más importantes por su abundancia fueron C. rufilabris y C. cincta.
Estos enemigos naturales son importantes reguladores del complejo de plagas que atacan al limón. En el caso de las crisopas dos de los productos más promisorios el Tolfenpyrad® y el Ciantraniliprole® no manifestaron presencia de crisopas ni de coccinélidos. En un estudio previo, donde se evaluó el Spirotetramat® y otros productos no incluidos en este bioensayo, afectó la presencia de crisópidos por 28 días después de la aplicación (Miranda-Salcedo et al., 2020a). Por lo tanto, se observó la alta susceptibilidad de las crisopas a productos como el Tolfenpyrad®, Ciantraniliprole® y Spirotetramat® (Figura 4 y 5).

Figura 4 Número de crisopas presentes con el control de productos biorracionales, contra Diaphorina citri en limón mexicano (julio, 2021).

Figura 5 Número de coccinélidos presentes con el control de productos biorracionales, contra Diaphorina citri en limón mexicano (julio, 2021).
Se puede concluir que el Tolfenpyrad®, Ciantraniliprole® y el Spirotetramat®, son una alternativa para el control de D. citri y pueden sustituir a insecticidas de alta toxicidad como organofosforados, piretroides y neonicotineoides que han manifestado ser resistentes al psílido asiático de los cítricos en diferentes zonas citrícolas del país (Osorio et al., 2019).
Es importante recalcar que varios productos biorresiduales actúan en sinergia e incrementan la bioresidualidad (mortalidad total que incluye al producto químico más la mortalidad producida por factores biológicos). Por ejemplo, el uso de crisópidos dentro de un programa de control biológico por aumento o por conservación (López y Villanueva, 2019). Se observó que las arañas presentaron poca presencia en la mayoría de los tratamientos con excepción del T15 Bacillus amyloquefaciens (Figura 6). Finalmente, varios de los productos evaluados pueden ser parte de un portafolio de alternativas amigables en el control de esta plaga.

Figura 6 Número de arañas presentes con el control de productos biorracionales, contra Diaphorina citri en limón mexicano (julio, 2021).
Finalmente, la interacción de los enemigos naturales, el ambiente, el manejo del productor y el muestreo, inciden en la toma de decisiones. Un punto para considerar es que la mayoría de los productores aplican por calendario y no tienen datos del muestreo, lo que ocasionó un exceso de aplicaciones químicas (Cortés-Moncada et al., 2010b; Villanueva-Jiménez et al., 2019; Miranda-Salcedo et al., 2020b). Ante ello, los productos de bajo impacto ambiental y el uso de enemigos naturales son una opción para el manejo integrado de la plaga (Ables y Ridgway, 1981).
En esta plaga se han realizado muchas pruebas de efectividad biológica; sin embargo, existen algunos insecticidas que son una alternativa para su manejo (Cuadro 2). El reducir una aplicación química en las 75 000 ha de cítricos del Valle de Apatzingán, representa un ahorro de 35 millones de pesos y sí se extrapola a las 40 aplicaciones ml L-1 que se realizan en promedio al año, el costo sería de 1 400 millones de pesos.
Cuadro 2 Insecticidas recomendados para el control de D. citri en limón mexicano.
| Producto | Dosis | Autor |
|---|---|---|
| Berni Labs-extracto de ajo + manzanilla | 2 ml L-1 | Miranda-Salcedo et al. (2020a) |
| Berni Labs-extracto de semilla de cítricos | 4 ml L-1 | |
| Preparado de extracto de reseda Reseda luteola (Resedaceae) al 5% | 4 ml L-1 | |
| Aceite parafinico de petróleo | 10 ml L-1 | Ruíz-Galván et al. (2015) |
| Spirotetramat® | 0.5 ml L-1 | |
| Biotech-aceite de ajo | 2 ml L-1 | Miranda-Ramírez et al. (2021) |
| Berni Labs-extracto de semilla de cítricos | 2 ml L-1 | |
| Nichino- Fenpyroximato® | 1.25 ml L-1 |
Para obtener un buen manejo de D. citri, es necesario antes de realizar cualquier aplicación efectuar un monitoreo en campo sobre la población de psílidos para determinar su densidad y así tomar una decisión bien fundamentada.
Es también importante el incluir dentro de un manejo sustentable de D. citri el uso del parasitoide Tamarixia radiata en ciertos periodos del año el cual ha sido reportado con un parasitismo del 59.6% en Sinaloa (Cortez-Mondaca et al., 2010a) y del 27% en huertas con un manejo agroecológico en el Valle de Apatzingán (Miranda-Salcedo, 2019). Otros estudios que reportan diferentes especies de depredadores en el control del psílido asiático son Cortés-Mondaca et al., 2010b; Lozano-Contreras y Jasso-Argumedo, 2012 y Kondo et al., 2017.
Conclusiones
Los productos que controlaron significativamente mejor a D. citri fueron el Tolfenpyrad®, Ciantraniliprole® y el Spirotetramat® . Sin embargo, algunos otros productos como: Clorantriniprole y el Nim mas aceite pueden ser una alternativa a baja densidad de la plaga. Los productos con mejor desempeño en el control de D. citri (Tolfenpyrad®, Ciantraniliprole® y el Spirotetramat®) afectaron la presencia de organismos no blanco como crisopas y coccinélidos. Los resultados obtenidos generan nuevas oportunidades de investigaciones con moléculas de bajo impacto ambiental y alternativas de control biológico por conservación.










texto em 


